Journal Description
Physiologia
Physiologia
is an international, peer-reviewed, open access journal on physiology published quarterly online by MDPI.
- Open Access free for readers, with article processing charges (APC) paid by authors or their institutions.
- High Visibility: indexed within ESCI (Web of Science), AGRIS, and other databases.
- Journal Rank: JCR - Q2 (Physiology)
- Rapid Publication: manuscripts are peer-reviewed and a first decision is provided to authors approximately 18.5 days after submission; acceptance to publication is undertaken in 3.8 days (median values for papers published in this journal in the first half of 2025).
- Recognition of Reviewers: APC discount vouchers, optional signed peer review and reviewer names are published annually in the journal.
- Physiologia is a companion journal of Life.
Impact Factor:
2.3 (2024);
5-Year Impact Factor:
2.3 (2024)
Latest Articles
Height, Sex, and Sport as Correlates of Tendon Stiffness in Elite Athletes
Physiologia 2025, 5(4), 56; https://doi.org/10.3390/physiologia5040056 - 12 Dec 2025
Abstract
Background/Objectives: Understanding the factors that influence tendon mechanical properties is essential for optimizing performance and preventing injuries in elite athletes. This study aimed to identify the strongest correlates of the biomechanical properties (frequency, stiffness, logarithmic decrement, relaxation, and creep) in the Achilles and
[...] Read more.
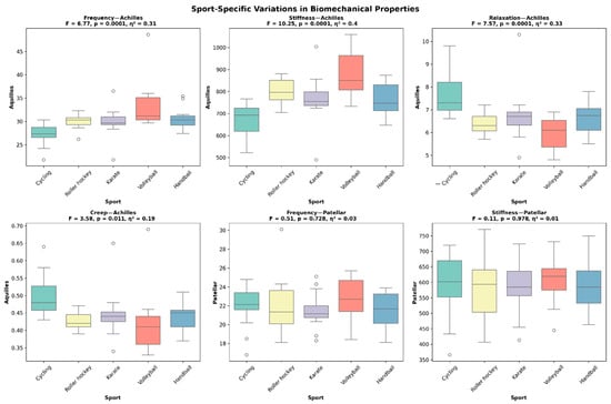
Background/Objectives: Understanding the factors that influence tendon mechanical properties is essential for optimizing performance and preventing injuries in elite athletes. This study aimed to identify the strongest correlates of the biomechanical properties (frequency, stiffness, logarithmic decrement, relaxation, and creep) in the Achilles and patellar tendons in elite international athletes. Methods: A cross-sectional study was conducted with 111 elite athletes from 11 sports disciplines assessed at a high-performance training center. Tendon properties were measured bilaterally using MyotonPRO. Anthropometric (height, weight, age), demographic (sex, limb dominance defined as the preferred limb for sport-specific activities), and sport-specific variables were analyzed using correlation, multiple regression, and machine learning approaches. Results: Height showed the strongest correlations with tendon frequency and stiffness, particularly for the Achilles tendon (r = 0.52 for frequency; r = 0.53 for stiffness; p ≤ 0.001, large effects). Sex differences were evident across all measures, with men showing higher stiffness and frequency, and women greater relaxation and creep (partial η2 = 0.35–0.48, Cohen’s d = 0.84–1.16). Sports discipline explained substantial variance in tendon properties (η2 > 0.40), and limb dominance influenced Achilles stiffness, with left-dominant athletes showing higher values (p < 0.05). Age showed minimal associations (r < 0.10). Conclusions: Height, sex, and sports discipline were the strongest correlates of Achilles and patellar tendon mechanical properties in elite athletes, with large and practically meaningful effects across sports. This comprehensive analysis, utilizing multivariate and machine learning approaches, provides insights that can inform individualized training, injury prevention, and performance optimization strategies in high-performance sports.
Full article
(This article belongs to the Topic The Mechanics of Movement: Biomechanics in Sports Performance)
►
Show Figures
Open AccessReview
Gravity in the Eye: How ‘Gravitational Ischemia’ in the Retina May Be Released and Resolved Through Rapid Eye Movement (REM), a Component of Gravity Opposition Physiology
by
J. Howard Jaster, Joshua Ong and Giulia Ottaviani
Physiologia 2025, 5(4), 55; https://doi.org/10.3390/physiologia5040055 - 12 Dec 2025
Abstract
►▼
Show Figures
This narrative review of rapid eye movement (REM) focuses on its primary etiology and how it fits into the larger framework of neurophysiology and general physiology. Arterial blood flow in the retina may be sensitive to the full overlying ‘weight’ of its adjacent
[...] Read more.
This narrative review of rapid eye movement (REM) focuses on its primary etiology and how it fits into the larger framework of neurophysiology and general physiology. Arterial blood flow in the retina may be sensitive to the full overlying ‘weight’ of its adjacent and contiguous vitreous humor caused by the humoral mass effect in the Earth’s gravitational field. During waking hours of the day, this ‘weight’ is continuously shifted in position due to changing head position and eye movements associated with ordinary environmental observations. This reduces its impact on any one point on the retinal field. However, during sleep, the head may maintain a relatively constant position (often supine), and observational eye movements are minimal, leaving essentially one retinal area exposed at the ‘bottom’ of each eye, relative to gravity. During sleep, REM may provide a mechanism for frequently repositioning the retina with respect to the weight it incurs from its adjacent (overlying) vitreous humor. Our findings were consistent with the intermittent terrestrial nocturnal development of ‘gravitational ischemia’ in the retina, wherein the decreased blood flow is accompanied metabolically by decreased oxygen tension, a critically important metric, with a detrimental influence on nerve-related tissue generally. However, the natural mechanisms for releasing and resolving gravitational ischemia, which likely involve glymphatics and cerebrospinal fluid shifts, as well as REM, may gradually fail in old age. Concurrently associated with old age in some individuals is the deposition of alpha-synuclein and/or tau in the retina, together with similar deposition in the brain, and it is also associated with the development of Parkinson’s disease and/or Alzheimer’s disease, possibly as a maladaptive attempt to release and resolve gravitational ischemia. This suggests that a key metabolic parameter of Parkinson’s disease and Alzheimer’s disease may be a lack of oxygen in some neural tissues. There is some evidence that oxygen therapy (hyperbaric oxygen) may be an effective supplemental treatment. Many of the cardinal features of spaceflight-associated neuro-ocular syndrome (SANS) may potentially be explained as features of gravity opposition physiology, which becomes unopposed by gravity during spaceflight. Gravity opposition physiology may, in fact, create significant challenges for humans involved in long-duration space travel (long-term microgravity). Possible solutions may include the use of artificial gravitational fields in space, such as centrifuges.
Full article

Figure 1
Open AccessArticle
One Week of a Betalain-Rich Beetroot Concentrate Does Not Improve 4 km Time-Trial Performance but Impairs Repeated Sprint Cycling Performance in Trained Cyclists
by
Steven Vitti, Meghan E. Smith, Sean Killip, Alyssa Sarkisov, Grace Frattellone, Craig Mattern and Justin Faller
Physiologia 2025, 5(4), 54; https://doi.org/10.3390/physiologia5040054 - 5 Dec 2025
Abstract
Purpose: We aimed to assess the effects of one-week betalain-rich beetroot concentrate (BRC) supplementation on high-intensity cycling performance in trained cyclists. Methods: Eighteen male (n = 15) and female (n = 3) cyclists (age: 38.83 ± 8.09; weight: 73.23 ± 10.95
[...] Read more.
Purpose: We aimed to assess the effects of one-week betalain-rich beetroot concentrate (BRC) supplementation on high-intensity cycling performance in trained cyclists. Methods: Eighteen male (n = 15) and female (n = 3) cyclists (age: 38.83 ± 8.09; weight: 73.23 ± 10.95 kg; height: 176.86 ± 9.60 cm) were supplemented with a BRC or a placebo (PLA) for six days prior to the experimental trials. On the seventh day, a final dose was administered, and participants completed three all-out 15 s cycling sprints back-to-back, followed by a 4 km cycling time trial (TT). Physiological indicators related to performance were measured throughout the 4 km TT. Results: Sprint performance remained unchanged following PLA treatment. However, BRC treatment led to significant reductions in sprint performance during sprints 2 and 3 compared to sprint 1 (p < 0.05). Time trial performance did not differ between treatments (p > 0.05). Significant increases in physiological and psychological responses during the 4-km time trial were observed following both treatments (p < 0.05). However, heart rate was higher at 2 km compared to 1 km, the respiratory exchange ratio was slightly elevated at 2 km and 4 km relative to 1 km, and VO2 was slightly higher at 3 km and 4 km compared to pre-TT following BRC treatment only (p < 0.05). Conclusions: One week of a BRC does not enhance 4 km TT performance but may impair repeated-sprint performance in trained cyclists.
Full article
(This article belongs to the Special Issue Exercise Physiology and Biochemistry: 3rd Edition)
►▼
Show Figures

Figure 1
Open AccessArticle
Validation of a Smartphone Application for Measuring Peak Torque During the Nordic Hamstring Exercise in Recreational Athletes
by
Amândio Dias, Bruno Lopes, Francisco Machado, João Fonseca, Ricardo Santos and Rodrigo Alves
Physiologia 2025, 5(4), 53; https://doi.org/10.3390/physiologia5040053 - 5 Dec 2025
Abstract
Background/Objectives: Hamstring injuries are highly prevalent in sports and often occur, particularly among recreational and professional athletes. Assessing eccentric hamstring strength is critical for injury prevention and rehabilitation, with isokinetic dynamometry being considered the gold standard. However, its accessibility is limited by cost
[...] Read more.
Background/Objectives: Hamstring injuries are highly prevalent in sports and often occur, particularly among recreational and professional athletes. Assessing eccentric hamstring strength is critical for injury prevention and rehabilitation, with isokinetic dynamometry being considered the gold standard. However, its accessibility is limited by cost and logistics. This study aimed to evaluate the validity and reliability of the My Jump Lab (version 4.0) mobile application in estimating eccentric peak torque in the break-point angle, compared with isokinetic dynamometry. Methods: Twenty-seven recreational athletes (twenty-six male, one female) were assessed bilaterally using the mobile application and isokinetic dynamometer, which is considered the gold standard for this type of strength assessment. Statistical analysis included Pearson’s correlation, intraclass correlation coefficient (ICC), standard error of measurement (SEM), coefficient of variation (CV), and Bland–Altman plots. Results: Results showed excellent inter-rater reliability (ICC = 0.999; CV = 0.66%) for both smartphone application evaluators and good comparative validity and reliability (ICC ≈ 0.76 with confidence interval: 0.5367–0.876; p < 0.001 and r ≈ 0.705;) when comparing with isokinetic dynamometry. Conclusions: My Jump Lab is a mobile application which can provide a practical and accessible mean for monitoring eccentric hamstring strength in field settings. The app may serve as a feasible field-based alternative to laboratory dynamometry for eccentric strength monitoring.
Full article
(This article belongs to the Special Issue Exercise Physiology and Biochemistry: 3rd Edition)
►▼
Show Figures

Figure 1
Open AccessArticle
Effects of Bodypump Training on Blood Pressure and Physical Fitness in Sedentary Older Adults with Hypertension: A Randomized Trial
by
Manuel Jesús Rodríguez Chavarría, Manuel Chavarrías-Olmedo and Jorge Pérez-Gómez
Physiologia 2025, 5(4), 52; https://doi.org/10.3390/physiologia5040052 - 30 Nov 2025
Abstract
►▼
Show Figures
Background/Objectives: Hypertension is a leading cause of cardiovascular morbidity and mortality, particularly in older adults, pharmacological therapy is effective, but side effects and limited adherence highlight the need for non-pharmacological alternatives. This study investigated the effects of a structured Bodypump (BoP) programme,
[...] Read more.
Background/Objectives: Hypertension is a leading cause of cardiovascular morbidity and mortality, particularly in older adults, pharmacological therapy is effective, but side effects and limited adherence highlight the need for non-pharmacological alternatives. This study investigated the effects of a structured Bodypump (BoP) programme, a choreographed group-based resistance training intervention, on blood pressure (BP) and functional fitness in sedentary older adults with hypertension. Methods: Thirty-two participants (65.4 ± 7.7 years) diagnosed with hypertension were randomly allocated to a BoP group (n = 16) or a control group (CG) (n = 16). The intervention lasted 8-week and consisted of 3 supervised sessions per week. Resting systolic BP (SBP) and diastolic BP (DBP) were measured using a validated automated device (Omron M3 Intellisense, HEM-7051-E), functional capacity was assessed with the Senior Fitness Test (SFT) battery. Results: After the intervention, BoP exhibited significant reductions in SBP (−24.4 ± 4.7 mmHg; p < 0.001) and DBP (−6.4 ± 2.7 mmHg; p = 0.025) compared to CG. BoP improved functional fitness, lower- and upper-body strength, aerobic endurance and agility (p < 0.05), with no changes in the CG. Conclusions: 8-week of BoP programme reduced BP and enhanced physical function in sedentary hypertensive older adults. Given its accessible, motivating and socially engaging format, BoP represents a promising non-pharmacological strategy for hypertension management and functional fitness of healthy ageing.
Full article

Figure 1
Open AccessSystematic Review
Physical Activity and the Optimization of Bone Mineral Density in Adolescents: A Systematic Review
by
Yoel Antoranz, Manuel Ruiz Freire and Carlos Mª Tejero-González
Physiologia 2025, 5(4), 51; https://doi.org/10.3390/physiologia5040051 - 30 Nov 2025
Abstract
Background/Objectives: Osteoporosis is a global health issue characterized by decreased bone mineral density (BMD), which increases the risk of fractures in adulthood. Adolescence, particularly the pubertal stage, is a critical period for maximizing BMD, and physical activity is a key modifiable factor
[...] Read more.
Background/Objectives: Osteoporosis is a global health issue characterized by decreased bone mineral density (BMD), which increases the risk of fractures in adulthood. Adolescence, particularly the pubertal stage, is a critical period for maximizing BMD, and physical activity is a key modifiable factor in this process. The aim of this study was to conduct a systematic review of physical exercise interventions aimed at improving BMD in adolescents. Methods: The PRISMA methodology was applied, with searches conducted in PubMed, Web of Science, and SPORTDiscus. Included studies involved participants aged 11 to 18 years, structured physical activity interventions, and valid methods for assessing bone quality. Studies that included supplementation, lacked sufficient intervention details, or had no comparison group were excluded. Results: A total of 1464 articles were identified, of which 17 met the inclusion criteria and were analyzed. The results suggest that strength training programs and impact activities (such as football, volleyball, plyometric exercises, or running) appear to show benefits for bone development compared to control groups or non-osteogenic activities. The combination of strength and impact may reduce the time required to achieve measurable improvements. Non-osteogenic activities such as swimming and cycling showed no benefits on their own but may be beneficial when combined with resistance or impact training. The qualitative analysis indicates a certain risk of bias across the studies included. Conclusions: Although available evidence indicates that exercise programs involving strength or impact activities of around 8 months in duration and with a frequency of three sessions per week can be beneficial, these recommendations should be interpreted with caution due to the heterogeneity and limited number of studies, as well as the low certainty of the evidence. The combination of strength and impact exercises seems to shorten the intervention time required to achieve measurable improvements to approximately 6 months. These interventions appear to be most effective during early and middle adolescence, but current data do not consistently support sex-related differences.
Full article
(This article belongs to the Section Exercise Physiology)
►▼
Show Figures

Figure 1
Open AccessReview
Beyond Calories: Redox Interactions in Adipose Tissue That Lead to Metabolic Pathologies
by
Alfredo Miranda-Martínez, Erika Rodríguez-Martínez, Pamela Barragán-Reséndiz and Selva Rivas-Arancibia
Physiologia 2025, 5(4), 50; https://doi.org/10.3390/physiologia5040050 - 24 Nov 2025
Abstract
►▼
Show Figures
Adipose tissue is an organ with a high metabolic rate, functioning as a storage site for potential energy derived from food. It is a heterogeneous tissue composed of various cell types that respond differently to stimuli. Polyunsaturated fatty acids are lipids characterized by
[...] Read more.
Adipose tissue is an organ with a high metabolic rate, functioning as a storage site for potential energy derived from food. It is a heterogeneous tissue composed of various cell types that respond differently to stimuli. Polyunsaturated fatty acids are lipids characterized by the presence of multiple double bonds in their molecular structure. These fatty acids are particularly vulnerable to oxidation by Reactive Oxygen Species, a process known as lipoperoxidation. While the oxidized lipids can serve important physiological roles within adipose tissue, they can also enter the bloodstream, where they associate with lipoproteins, leading to cellular damage and increased systemic oxidative stress. In cases of obesity, adipose tissue displays an exaggerated inflammatory and immune response that can affect multiple body systems, contributing to the onset of chronic degenerative diseases. Therefore, adipose tissue is a complex organ in which metabolic, endocrine, and immune response processes are intricately regulated and coordinated. This paper explains the role of alterations in redox balance, lipogenic, and inflammatory functions in adipose tissue as important risk factors for the development of chronic degenerative diseases, including those affecting the central nervous system. For this study, we searched multiple databases, including PubMed, Scopus, Google Scholar, the Cochrane Library, and Medscape, from 2015 to the present.
Full article

Figure 1
Open AccessReview
Oral Health as a Determinant of Alzheimer’s Disease
by
Josh Bryan Landers, Cody Walker, John Teed, Rian Mcfarlane and Geoff Halversen
Physiologia 2025, 5(4), 49; https://doi.org/10.3390/physiologia5040049 - 21 Nov 2025
Abstract
►▼
Show Figures
Oral health represents a complex interplay between local microbial ecology, host immune responses, and systemic physiology. Far from being an isolated entity, the oral cavity is the entry point of the gastrointestinal and respiratory tracts and harbors up to one trillion microorganisms. While
[...] Read more.
Oral health represents a complex interplay between local microbial ecology, host immune responses, and systemic physiology. Far from being an isolated entity, the oral cavity is the entry point of the gastrointestinal and respiratory tracts and harbors up to one trillion microorganisms. While commensal species maintain ecological balance, pathogenic bacteria such as Porphyromonas gingivalis drive inflammatory conditions like gingivitis and periodontitis. Studies suggest that as chronic inflammation persists and is manifested through sustained breakdown of periodontal tissues, systemic dissemination of oral pathogens contributes to bacteremia, endothelial dysfunction, and neuroinflammation. As a result, increasing evidence has been found linking these oral pathogens and inflammatory mediators to systemic conditions including Alzheimer’s disease, cardiovascular disease, and arthritis. This narrative review synthesizes current evidence linking oral health to systemic disease while addressing practical strategies to strengthen preventive care. Evidence-based interventions are presented as accessible tools for reducing both oral and systemic inflammatory burden. Importantly, this article emphasizes the public health imperative of bridging mechanistic insights with actionable oral hygiene practices. By promoting evidence-based strategies such as scaling and root planing, dietary sugar reduction, and judicious use of antimicrobial agents, individuals may reduce their risk of chronic inflammatory and degenerative diseases. Future interdisciplinary research is needed to clarify causal mechanisms and optimize preventive frameworks integrating oral-systemic health.
Full article

Figure 1
Open AccessReview
Systems Theory in Oncology: A Narrative Review of an Integrative Framework for Understanding Cancer Complexity
by
Olivian Savencu, Horia-Dan Lișcu and Nicolae Verga
Physiologia 2025, 5(4), 48; https://doi.org/10.3390/physiologia5040048 - 20 Nov 2025
Abstract
The Systems Theory provides a valuable conceptual framework for analyzing biological complexity, particularly in oncology, where the multiple interactions between biological subsystems can influence tumor initiation, progression, and treatment response. This approach facilitates the integration of data derived from genomics, metabolomics, routine medical
[...] Read more.
The Systems Theory provides a valuable conceptual framework for analyzing biological complexity, particularly in oncology, where the multiple interactions between biological subsystems can influence tumor initiation, progression, and treatment response. This approach facilitates the integration of data derived from genomics, metabolomics, routine medical analyses, and the clinical examination of the patient, thus overcoming the limitations of the reductionist model. By applying the principles of living systems, new tumor vulnerabilities can be identified, as well as models of cellular, metabolic, and informational organization. The use of systems theory in oncology may contribute to the development of personalized and precision medicine, improving diagnostic and prognostic methods, and enhancing the efficiency of personalized therapies with the aim of improving therapeutic outcomes and the patient’s quality of life.
Full article
(This article belongs to the Special Issue Feature Papers in Human Physiology—3rd Edition)
►▼
Show Figures

Graphical abstract
Open AccessArticle
Perceptual Reorganization of Tinnitus Lateralization: A Clinical Marker of Multimodal Neuromodulation-Induced Plasticity
by
Bianca Rossi Botim, Bruna Cabugueira, Kariny Realino Ferreira, Thaís Carvalho Oliveira, Michelle Almeida Barbosa, Gabriela Lopes Gama and Alexandre Carvalho Barbosa
Physiologia 2025, 5(4), 47; https://doi.org/10.3390/physiologia5040047 - 14 Nov 2025
Abstract
Background/Objectives: Tinnitus lateralization, a perceptual characteristic often neglected in clinical assessment, may reflect underlying auditory plasticity. This study aimed to investigate whether changes in tinnitus lateralization following a multimodal neuromodulation protocol are associated with improved clinical outcomes, particularly regarding tinnitus severity and discomfort.
[...] Read more.
Background/Objectives: Tinnitus lateralization, a perceptual characteristic often neglected in clinical assessment, may reflect underlying auditory plasticity. This study aimed to investigate whether changes in tinnitus lateralization following a multimodal neuromodulation protocol are associated with improved clinical outcomes, particularly regarding tinnitus severity and discomfort. Methods: A retrospective interventional study was conducted with 104 adults diagnosed with chronic tinnitus. All participants underwent a combined protocol involving transcutaneous auricular vagus nerve stimulation (taVNS), cervical transcutaneous electrical nerve stimulation (TENS), and photobiomodulation (PBM) targeting auditory pathways. Clinical assessments included the Tinnitus Handicap Inventory (THI), Visual Analog Scales (VAS) for loudness and discomfort, and lateralization reports before and after treatment. Lateralization patterns were categorized and compared using ANOVA and Kruskal–Wallis tests. Linear models explored demographic and clinical predictors of symptom change. Results: Substantial changes in lateralization were observed post-treatment. Participants who shifted from bilateral to unilateral tinnitus or from unilateral to non-perception showed the greatest symptom reductions (p < 0.001). The Bilateral → Unilateral group presented the most marked THI reduction (−20.82 ± 7.12), while minimal changes were observed in the Bilateral → Bilateral group. Loudness and discomfort improvements followed similar trends. No significant influence of age or sex on clinical response was identified, whereas longer tinnitus duration showed a modest positive association with symptom improvement. Conclusions: Perceptual reorganization of tinnitus lateralization may serve as a clinical marker of response to neuromodulation. Tracking lateralization could provide a simple, cost-effective adjunct to outcome monitoring in tinnitus management.
Full article
(This article belongs to the Special Issue Feature Papers in Human Physiology—3rd Edition)
►▼
Show Figures

Figure 1
Open AccessArticle
Cerebral Oxygenation and Cardiac Responses in Adult Women’s Rugby: A Season-Long Study
by
Ben Jones, Mohammadreza Jamalifard, Mike Rogerson, Javier Andreu-Perez, Jay Perrett, Ed Hope, Lachlan Carpenter, Tracy Lewis, J. Patrick Neary, Chris E. Cooper and Sally Waterworth
Physiologia 2025, 5(4), 46; https://doi.org/10.3390/physiologia5040046 - 13 Nov 2025
Abstract
Background: Sport-related concussion is common in rugby union, yet female players remain underrepresented in research. This study examined seasonal changes in cerebral oxygenation, cardiac function, and concussion symptomology in adult female rugby players, and explored acute physiological responses following a single documented concussion.
[...] Read more.
Background: Sport-related concussion is common in rugby union, yet female players remain underrepresented in research. This study examined seasonal changes in cerebral oxygenation, cardiac function, and concussion symptomology in adult female rugby players, and explored acute physiological responses following a single documented concussion. Methods: A total of 29 adult females (19 amateur rugby, 10 control) completed pre-, mid-, and end-season assessments. Measures included functional near-infrared spectroscopy (fNIRS) of the pre-frontal cortex, seismocardiography (SCG)-derived cardiac timing indices, and Sport Concussion Assessment Tool 6 (SCAT6). Group and time effects were analysed using general linear models and statistical parametric mapping. Typical error (TE) and its 90% confidence intervals (90% CI) were used to determine meaningful changes post-concussion. Results: Rugby players reported more SCAT6 symptoms (number: p = 0.006, η2p = 0.23; severity: p = 0.020, η2p = 0.17). They also had shorter systolic time (p = 0.002, η2p = 0.19) and higher twist force values (p = 0.014, η2p= 0.21) than controls. fNIRS revealed higher right-hemisphere oxyhaemoglobin (ΔO2Hb) responses for both tasks (ps < 0.001, η2p = 0.77 and η2p = 0.80) and lower activation in specific prefrontal channels. No seasonal changes occurred in global oxygenation or frequency band activity. In the exploratory single-concussion case, symptomology, SCG twist force, ΔO2Hb, and cardiac band power exceeded TE and its 90% CI at 5 days post-injury. Conclusions: The multimodal approach detected stable group-level physiology alongside localised cortical and cardiac differences, and acute changes following concussion. While these results highlight the potential of combined fNIRS and SCG measures to capture physiological disturbances, the small sample size and single-concussion case necessitate cautious interpretation. Further validation in larger, longitudinal cohorts is required before any biomarker utility can be inferred.
Full article
(This article belongs to the Section Exercise Physiology)
►▼
Show Figures

Figure 1
Open AccessSystematic Review
Exploring Sex Activity Impact on Biological Biomarkers and Athletic Parameters in Sexually and Physically Active Healthy Adults: A Systematic Review of Clinical Trials
by
Diego Fernández-Lázaro, Jesús Seco-Calvo, José María Izquierdo, Juan Mielgo-Ayuso, Enrique Roche and Gema Santamaría
Physiologia 2025, 5(4), 45; https://doi.org/10.3390/physiologia5040045 - 3 Nov 2025
Abstract
Background: A sexually active lifestyle is generally associated with positive effects on physical condition and health. However, engaging in sexual activity prior to a sports competition could affect athletic performance. This systematic review examines the current literature on the impact of pre-exercise
[...] Read more.
Background: A sexually active lifestyle is generally associated with positive effects on physical condition and health. However, engaging in sexual activity prior to a sports competition could affect athletic performance. This systematic review examines the current literature on the impact of pre-exercise sexual activity on sports performance, with particular attention paid to its effects on physiological, hormonal, cognitive, and perceptual markers. Method: Based on the Preferred Reporting Items for Systematic Reviews and Meta-Analyses (PRISMA) guidelines, we systematically reviewed original studies published within the last 25 years. Eligible studies were randomized or non-randomized controlled design and indexed on PubMed, Scopus, Dialnet, and Cochrane. Additional sources were consulted including a network diagram with Connected Papers®. Two methodological quality scales, McMaster University Occupational Therapy Evidence-Based Practice Research Group and Physiotherapy Evidence Database (PEDro), were used. The study was registered in PROSPERO (#CRD42023426555). Results: A total of 244 records were identified through the search process, of which 7 studies met the inclusion criteria. The studies involved 117 (115 men) physically and sexually active subjects including 29 elite top athletes. When comparing the sexual activity condition/group (SexG) to abstinence (AbsG), significant (p < 0.05) decreases were observed in average speed and maximum strength. In contrast, non-significant trends towards improvement (p > 0.05) were observed in exercise capacity, reaction time, and muscular endurance. No significant changes (p > 0.05) were found in physiological and hormonal biomarkers and fatigue perception. However, perceived exertion was significantly higher (p < 0.05) in SexG compared to AbsG. Conclusions: Current evidence does not conclusively support the influence of pre-exercise sexual activity on sports performance, or physiological and hormonal biomarkers. However, it could contribute to increased perception of exercise intensity.
Full article
(This article belongs to the Section Exercise Physiology)
►▼
Show Figures

Figure 1
Open AccessArticle
Real-Time Electroencephalography-Guided Binaural Beat Audio Enhances Relaxation and Cognitive Performance: A Randomized, Double-Blind, Sham-Controlled Repeated-Measures Crossover Trial
by
Chanaka N. Kahathuduwa, Jessica Blume, Chinnadurai Mani and Chathurika S. Dhanasekara
Physiologia 2025, 5(4), 44; https://doi.org/10.3390/physiologia5040044 - 24 Oct 2025
Abstract
►▼
Show Figures
Background/Objectives: Binaural beat audio has gained popularity as a non-invasive tool to promote relaxation and enhance cognitive performance, though empirical support has been inconsistent. We developed a novel algorithm integrating real-time electroencephalography (EEG) feedback to dynamically tailor binaural beats to induce relaxed brain
[...] Read more.
Background/Objectives: Binaural beat audio has gained popularity as a non-invasive tool to promote relaxation and enhance cognitive performance, though empirical support has been inconsistent. We developed a novel algorithm integrating real-time electroencephalography (EEG) feedback to dynamically tailor binaural beats to induce relaxed brain states. This study aimed to examine the efficacy and feasibility of this algorithm in a clinical trial. Methods: In a randomized, double-blinded, sham-controlled crossover trial, 25 healthy adults completed two 30 min sessions (EEG-guided intervention versus sham). EEG (Fp1) was recorded using a consumer-grade single-electrode headset, with auditory stimulation adjusted in real time based on EEG data. Outcomes included EEG frequency profiles, stop signal reaction time (SSRT), and novelty encoding task performance. Results: The intervention rapidly reduced dominant EEG frequency in all participants, with 100% achieving <8 Hz and 96% achieving <4 Hz within median 7.4 and 9.0 min, respectively. Compared to the sham, the intervention was associated with an faster novelty encoding reaction time (p = 0.039, dz = −0.225) and trends towards improved SSRT (p = 0.098, dz = −0.209), increased boundary separation in stop trials (p = 0.065, dz = 0.350), and improved inhibitory drift rate (p = 0.067, dz = 0.452) within the limits of the exploratory nature of these findings. Twenty-four (96%) participants reached a target level of <4 Hz with the intervention, while none reached this level with the sham. Conclusions: Real-time EEG-guided binaural beats may rapidly induce low-frequency brain states while potentially preserving or enhancing aspects of executive function. These findings support the feasibility of personalized, closed-loop auditory entrainment for promoting “relaxed alertness.” The results are preliminary and hypothesis-generating, warranting larger, multi-channel EEG studies in ecologically valid contexts.
Full article

Figure 1
Open AccessBrief Report
The Effects of Spermidine on Functional and Transcriptomic Markers in Human Primary Keratinocytes
by
Derick A. Anglin, Madison L. Mattingly, Nicholas J. Kontos and Michael D. Roberts
Physiologia 2025, 5(4), 43; https://doi.org/10.3390/physiologia5040043 - 15 Oct 2025
Abstract
►▼
Show Figures
Recent enthusiasm has surrounded the homeostatic roles that polyamines have in a variety of cell types. Thus, the purpose of this exploratory in vitro study was to determine how spermidine (SPD), a polyamine commonly consumed as a nutritional supplement, affected general markers of
[...] Read more.
Recent enthusiasm has surrounded the homeostatic roles that polyamines have in a variety of cell types. Thus, the purpose of this exploratory in vitro study was to determine how spermidine (SPD), a polyamine commonly consumed as a nutritional supplement, affected general markers of cellular health and function in human primary epidermal keratinocytes. Commercial HEKa cells were seeded onto either six-well (transcriptomics and immunoblotting) or 96-well culture plates (viability, ATP, and JC-1 assays) and cultured to ~90+% confluency through complete growth media (CGM) changes every 48 h. Once cells reached this level of growth, treatments included either CGM + phosphate-buffered saline (PBS control, or CTL), CGM + 1 µM SPD, and CGM + 10 µM SPD for either 6 or 24 h depending upon the outcome being assessed. Cellular ATP levels were not significantly affected by 1 µM or 10 µM SPD treatments lasting 24 h. However, cell counts were 9% greater (p = 0.007) when comparing 24 h 10 µM versus CTL treatments indicating increased cell viability. Transcriptomic analyses indicated that 6 h treatments with 10 µM SPD significantly altered 162 transcripts versus non-treated CTL cells (65 up-regulated and 97 down-regulated, p < 0.01). Four pathways were predicted to be enriched based on differential gene expression including protein deubiquitination (GO:0016579), membrane lipid biosynthesis (GO:0046467), DNA metabolic process (GO:0006259), and cell cycle process (GO:0022402). Additionally, the HR gene (essential for keratinocyte hair follicle formation) was significantly up-regulated at the mRNA level with 6 h 10 µM SPD, and immunoblotting confirmed a 96% increase in protein levels with 24 h 10 µM SPD treatments, albeit this did not reach statistical significance (p = 0.102). Pan-keratin protein content was also 60% greater in the 1 µM and 10 µM 24 h treatments than CTL (p ≤ 0.029). Finally, although select markers of mitochondrial content and biogenesis were not significantly altered with 6 h and 24 h treatments, mitochondrial membrane potential (an aspect of mitochondrial function) was 84% greater with 24 h 1 µM versus CTL (p < 0.001). In conclusion, these preliminary screening experiments in unperturbed human keratinocytes suggest that exogenous SPD positively affects various aspects of homeostasis by stimulating transcriptomic and functional alterations (e.g., increased cell viability and enhanced keratinocyte protein levels).
Full article

Figure 1
Open AccessArticle
Objective Evaluation of Fatigue-Associated Facial Expressions Using Measurements of Eye-Opening Degree, Motion Capture, and Heart Rate Variability Spectrum Analysis
by
Yoshinao Nagashima, Kouichi Takamoto, Makiko Hiraishi, Etsuro Hori, Kiyoshi Kataoka and Hisao Nishijo
Physiologia 2025, 5(4), 42; https://doi.org/10.3390/physiologia5040042 - 14 Oct 2025
Abstract
Background/Objectives: This study aimed to objectively assess fatigue levels using facial expressions. Methods: This study included 25 female nurses aged between 30 and 50 years. We compared their subjective and objective fatigue levels after a night shift, when accumulated fatigue was assumed, with
[...] Read more.
Background/Objectives: This study aimed to objectively assess fatigue levels using facial expressions. Methods: This study included 25 female nurses aged between 30 and 50 years. We compared their subjective and objective fatigue levels after a night shift, when accumulated fatigue was assumed, with those after a day off, when recovery was expected. Fatigue levels were subjectively assessed using questionnaires and were also quantified by the Visual Analog Scale (VAS). Objective evaluations included (1) the degree of eye-opening, (2) the maximum distance and speed of facial skin movement by tracking changes in coordinate values of facial markers on the skin during intentional smiling, and (3) analysis of high-frequency (HF) components and the low frequency-to-high frequency (LF/HF) ratio in heart rate variability (HRV). Results: After a night shift, compared to after a day off, subjective assessments of mental and physical fatigue in the questionnaires and VAS values of own fatigue were significantly elevated. Concurrently, objective evaluations revealed that the degree of eye-opening, along with the maximum movement distance and speed of the lower eyelid, cheek, and mouth corners during intentional smiling, were significantly reduced. Furthermore, the HF component, an index of parasympathetic activity, significantly decreased, whereas the LF/HF ratio, an index of sympathetic activity, significantly increased. Additionally, significant correlations were observed between subjective VAS estimation of fatigue levels and each objective parameter examined. Conclusions: Measuring facial parameters is an effective method for objectively assessing facial expressions of fatigue, and these changes are mediated through reduced parasympathetic nervous activity and increased sympathetic nervous activity during fatigue.
Full article
(This article belongs to the Special Issue Feature Papers in Human Physiology—3rd Edition)
►▼
Show Figures

Figure 1
Open AccessArticle
Emotional Salience of Evolutionary and Modern Disgust-Relevant Threats Measured Through Electrodermal Activity
by
Tereza Hladíková, Iveta Štolhoferová, Daniel Frynta and Eva Landová
Physiologia 2025, 5(4), 41; https://doi.org/10.3390/physiologia5040041 - 11 Oct 2025
Abstract
►▼
Show Figures
Background: The study of psychophysiological responses to disgust-evoking stimuli has long been neglected in favour of other emotional stimuli, especially those evoking fear. While the basic cascade of responses to a frightening stimulus is relatively well-understood, psychophysiological responses to disgust-related threats, such as
[...] Read more.
Background: The study of psychophysiological responses to disgust-evoking stimuli has long been neglected in favour of other emotional stimuli, especially those evoking fear. While the basic cascade of responses to a frightening stimulus is relatively well-understood, psychophysiological responses to disgust-related threats, such as parasites or rotten food, are scarcely studied. Methods: Here, we aimed to assess skin resistance (SR) change as a measure of electrodermal response to visual cues that signal the presence of disgust-relevant threats. To this aim, we recruited 123 participants and presented them with one of the following varieties of disgust-relevant threats: disgust-evoking animals (e.g., parasites, worms), spoiled food, threat of pandemic, or pollution and toxicity. The latter two represented modern threats to test whether also these modern stimuli can initiate immediate automatic reaction. Results: We found significant differences between the categories: Participants responded with the highest probability to disgust-evoking animals (38%) and sneezing (52%), suggesting that only ancestral cues of pathogen disgust trigger automatic physiological response. Moreover, we found significant inter-sexual differences: women exhibited more SR change responses than men, and the amplitude of these responses was overall larger. Finally, we report a weak effect of subjectively perceived disgust intensity on reactivity to threat stimuli. Conclusions: We discuss heterogeneity of disgust-relevant threats, their adequate behavioural responses, and subsequent heterogeneity of respective SR responses. We conclude that large interindividual variability might eclipse systematic differences between participants with high or low sensitivity to disgust, and that subjectively perceived intensity of disgust is only a weak predictor of electrodermal response to its elicitor.
Full article

Figure 1
Open AccessArticle
Effects of Acute Morning Melatonin Supplementation Versus Placebo on Cardiometabolic Responses to High-Intensity Interval Exercise: A Randomized Crossover Trial in Active Men
by
Naiara Ribeiro Almeida, Diego Alves dos Santos, Kaio Lages dos Santos, Diego Ignácio Valenzuela Pérez, Felipe J. Aidar, Walesca Agda Silva Miranda, Bianca Miarka, Andreia Cristiane Carrenho Queiroz and Ciro José Brito
Physiologia 2025, 5(4), 40; https://doi.org/10.3390/physiologia5040040 - 9 Oct 2025
Abstract
Aims: The present study evaluated the acute morning effect of melatonin supplementation (5 mg) on cardiometabolic responses. Methods: For this purpose, 12 physically active men (22.1 ± 1.3 years; 1.7 ± 01 m; 74.7 ± 12.1 kg; 24.3 ± 2.7 m/kg2;
[...] Read more.
Aims: The present study evaluated the acute morning effect of melatonin supplementation (5 mg) on cardiometabolic responses. Methods: For this purpose, 12 physically active men (22.1 ± 1.3 years; 1.7 ± 01 m; 74.7 ± 12.1 kg; 24.3 ± 2.7 m/kg2; VO2max: 46.9 ± 2.3 mL/kg/min; 17.3 ± 5.2%F) were measured in a double-blind crossover protocol, where participants were measured before, during, and after a high-intensity interval exercise (HIIE) protocol [4 × 4 min at 95% of maximum heart rate (HRmax) with a 3 min interval at 60–70% of HRmax] followed by 30 min of recovery. At rest, the following variables were measured: HR, systolic blood pressure (SBP), diastolic blood pressure (DBP), lactate, and maximum oxygen consumption (VO2max). At the end of each stage and interval, VO2, respiratory exchange ratio (RER), and HR were measured. During recovery, VO2, VCO2, RER, SBP, DBP, and HR were measured. Results: Melatonin significantly enhanced recovery metabolism, as evidenced by increased VO2 at Interval 3 (+2.2 mL/kg/min, p = 0.03, d = 0.69) and 5 min postexercise (+2.4 mL/kg/min, p = 0.02, d = 0.81). The RER was higher during Sprint 4 (+0.08, p = 0.01, d = 0.84), indicating greater carbohydrate reliance. Cardiovascular recovery was also improved, with a reduced HR at 30 min (−5 bpm, p = 0.04, d = 0.66) and lower SBP at 15 min (−8 mmHg, p = 0.02, d = 0.75). Lactate concentration at 30 min was lower with melatonin (−0.7 mmol/L, p = 0.03, d = 0.72). No significant effects were observed at rest or during early exercise. Conclusions: Acute morning melatonin intake may amplify metabolic responses to HIIE while facilitating cardiometabolic recovery. This dual-phase action may benefit athletes aiming to optimize energy expenditure, fat metabolism, and recovery during early-day training.
Full article
(This article belongs to the Special Issue Exercise Physiology and Biochemistry: 3rd Edition)
►▼
Show Figures

Graphical abstract
Open AccessArticle
Effects of Respiratory Muscle Training on Performance and Inspiratory Strength in Female CrossFit Athletes: A Randomized Controlled Trial
by
Juliana Andrade Assis, Lúcio Marques Vieira-Souza, Diego Valenzuela Pérez, Cristiano Diniz da Silva, Carlos Fuentes Veliz, Naiara Ribeiro Almeida, Bianca Miarka, Otávio Toledo Nóbrega and Ciro José Brito
Physiologia 2025, 5(4), 39; https://doi.org/10.3390/physiologia5040039 - 6 Oct 2025
Abstract
Background: The high-intensity demands of CrossFit induce respiratory muscle fatigue, potentially impairing performance via the metaboreflex. Respiratory muscle training (RMT) may mitigate this effect, but evidence in female athletes remains limited. Objective: We aimed to investigate the effects of RMT on sport-specific performance
[...] Read more.
Background: The high-intensity demands of CrossFit induce respiratory muscle fatigue, potentially impairing performance via the metaboreflex. Respiratory muscle training (RMT) may mitigate this effect, but evidence in female athletes remains limited. Objective: We aimed to investigate the effects of RMT on sport-specific performance and maximal inspiratory pressure (PIMAX) in recreational female CrossFit practitioners. Design: We conducted a parallel-group randomized controlled trial. Setting: The study was conducted in a CrossFit-affiliated gym. Participants: We recruited twenty-nine recreational female practitioners (age: 30.3 ± 7.9 years) with ≥1 year of uninterrupted training who were free from respiratory diseases. Interventions: Participants were randomized to a CrossFit-only group (n = 14) or CrossFit + RMT group (n = 15). Both trained 5 days/week for 6 weeks; the RMT group additionally performed 30 inspiratory efforts at 50% of PIMAX, 5 days/week, with weekly load adjustment. Main Outcome Measures: Primary: Sport-specific performance (total repetitions in a 10-min AMRAP [As Many Rounds As Possible] test). Secondary: PIMAX (cmH2O). Measurements were taken pre- and post-intervention. Results: Baseline performance and PIMAX were similar between groups. After 6 weeks, the CrossFit + RMT group improved in performance more (Δ = +10.5 ± 10.7 reps, p = 0.03, ηp2 = 0.168) than the CrossFit-only group (Δ = +2.3 ± 8.1). PIMAX gains were also greater with RMT (Δ = +19.6 ± 8.4 cmH2O, p = 0.043, ηp2 = 0.148) vs. control (Δ = +10.1 ± 9.7). No adverse events occurred. Conclusions: Adding RMT to CrossFit training enhanced sport-specific performance and inspiratory strength in recreational female practitioners more than CrossFit alone. RMT appears to be a safe and effective complementary strategy for high-intensity functional training.
Full article
(This article belongs to the Special Issue Exercise Physiology and Biochemistry: 3rd Edition)
►▼
Show Figures

Graphical abstract
Open AccessArticle
Analysis of the Physiological Characteristics of Elite Male and Female Junior Rowers During Extreme Exercise
by
István Barthalos, Zoltán Alföldi, Imre Soós, Anna Horváth Pápai, Ádám Balog, László Suszter and Ferenc Ihász
Physiologia 2025, 5(4), 38; https://doi.org/10.3390/physiologia5040038 - 3 Oct 2025
Abstract
Background: Rowing is a highly demanding endurance sport, requiring simultaneous work of approximately 70% of the body’s muscle mass and the combined contribution of aerobic and anaerobic energy systems. Objective: This study aimed to analyze the cardiorespiratory responses and performance characteristics of elite
[...] Read more.
Background: Rowing is a highly demanding endurance sport, requiring simultaneous work of approximately 70% of the body’s muscle mass and the combined contribution of aerobic and anaerobic energy systems. Objective: This study aimed to analyze the cardiorespiratory responses and performance characteristics of elite junior male and female rowers during maximal effort over 2000 m on a rowing ergometer. Methods: Fifteen junior rowers (six males aged 15–17 and nine females aged 15–18) participated in the study. Anthropometric data (body height, weight, and body surface area) were recorded. All participants performed a maximal 2000 m test on a Concept2 D-model ergometer. Throughout the test, oxygen uptake (VO2), carbon dioxide production (VCO2), heart rate, and ventilation parameters were continuously measured. Performance and physiological data were analyzed in three intensity zones, defined by ventilatory thresholds (VT1–VT3), as well as at peak exercise. Results: Significant anthropometric differences were observed between genders. In terms of performance, males completed the 2000 m test significantly faster than females (208.83 ± 87.66 s vs. 333.78 ± 97.51 s, p = 0.0253). Relative VO2 at peak exercise was higher in males (58.73 ± 5.25 mL·kg−1·min−1) than females (48.32 ± 6.09 mL·kg−1·min−1, p = 0.0046). In most cardiorespiratory parameters, males outperformed females significantly, except for heart rate and ventilatory equivalents. Ranking analysis revealed that higher VO2max values were generally associated with a better placement in both genders, though this relationship was not perfectly linear. Performance time was negatively correlated with VO2Peak (r = −0.8286; p < 0.001), rVO2Peak (r = −0.6781; p < 0.01), and O2PPeak (r = −0.7729; p < 0.01). Conclusions: The findings confirm significant gender differences in anthropometric and cardiorespiratory characteristics of elite junior rowers and reinforce VO2max as a key determinant of performance. Yet, deviations from a direct VO2max–rank correlation highlight the influence of tactical, psychological, and biomechanical factors. Future research should provide practical recommendations for monitoring performance and tailoring training to optimize adaptation and long-term athlete development.
Full article
(This article belongs to the Special Issue Exercise Physiology and Biochemistry: 3rd Edition)
►▼
Show Figures

Figure 1
Open AccessReview
The Serotonergic System and Its Role in Thermoregulation
by
Andrei-Ionuţ Negoiţă, Bogdan Amuzescu, Dan Florin Mihăilescu and Cristina Bordea
Physiologia 2025, 5(4), 37; https://doi.org/10.3390/physiologia5040037 - 1 Oct 2025
Abstract
Serotonin (5-hydroxytryptamine—5-HT) is an important neurotransmitter that exerts a remarkably large array of biological roles in the central nervous system and at the body level. It is involved in generating emotions, being a natural mood stabilizer; it reduces depression, anxiety, modulates sleep, and
[...] Read more.
Serotonin (5-hydroxytryptamine—5-HT) is an important neurotransmitter that exerts a remarkably large array of biological roles in the central nervous system and at the body level. It is involved in generating emotions, being a natural mood stabilizer; it reduces depression, anxiety, modulates sleep, and has many other effects. It is also involved in fetal and postnatal brain development. This variety of biological effects, particularly in the central nervous system, with influence on behavior and cognitive functions, relies on a large number of pre- and postsynaptic serotonin receptor (5-HTR) isoforms spread throughout the brain. They can be grouped in seven large families and include over 18 subtypes, identified based on gene sequences, expression patterns, and pharmacological responses. While in vertebrates these receptors have been properly characterized and described, their correspondents in invertebrates have been far less explored, despite the assumption that they may have similar properties to those described in vertebrates. This paper summarizes the current knowledge in several important areas that together define the entire scope of serotonin receptor research, with a particular emphasis on the role of serotonergic central pathways and circuitry in thermoregulation and correlations with neurologic and psychiatric pathology.
Full article
(This article belongs to the Special Issue Feature Papers in Human Physiology—3rd Edition)
►▼
Show Figures

Figure 1
Highly Accessed Articles
Latest Books
E-Mail Alert
News
Topics
Topic in
Cells, IJMS, Metabolites, Physiologia, Life
Animal Models of Human Disease 3.0
Topic Editors: Sigrun Lange, Jameel M. InalDeadline: 31 December 2025
Topic in
Animals, Antioxidants, Metabolites, Physiologia
Redox Modulation, Antioxidants, and Metabolites in Animals Through the One Health Concept
Topic Editors: Francesca Ciani, Simona Tafuri, Immaculata De VivoDeadline: 31 March 2026
Topic in
Antioxidants, IJMS, JFMK, Life, Physiologia
Skeletal Muscle Adaptations to Oxidative Stress
Topic Editors: Guglielmo Duranti, Zsolt RadakDeadline: 30 April 2026
Topic in
Biology, Brain Sciences, Sports, Biomechanics, JFMK, Physiologia
The Mechanics of Movement: Biomechanics in Sports Performance
Topic Editors: Mario Bernardo-Filho, Danúbia Da Cunha De Sá-Caputo, Redha TaiarDeadline: 31 July 2026
Special Issues
Special Issue in
Physiologia
Advances in Cardiac Physiology and Pathophysiology
Guest Editor: Peter AngellDeadline: 31 December 2025
Special Issue in
Physiologia
Feature Papers in Human Physiology—3rd Edition
Guest Editor: Philip J. AthertonDeadline: 31 December 2025
Special Issue in
Physiologia
Exercise Physiology and Biochemistry: 3rd Edition
Guest Editors: Michael Koutsilieris, Anastassios PhilippouDeadline: 30 June 2026
Special Issue in
Physiologia
Resistance Training Is Medicine: 2nd Edition
Guest Editor: Daniel J. McDonoughDeadline: 25 July 2026



