Effects of Acute Morning Melatonin Supplementation Versus Placebo on Cardiometabolic Responses to High-Intensity Interval Exercise: A Randomized Crossover Trial in Active Men
Abstract
1. Introduction
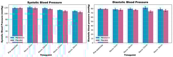
2. Results
3. Discussion
Practical Applications
4. Materials and Methods
4.1. Experimental Approach
4.2. Participants
4.3. Pre-Experimental Procedures
4.4. Data Collection
4.5. Statistical Analysis
5. Conclusions
Author Contributions
Funding
Institutional Review Board Statement
Informed Consent Statement
Data Availability Statement
Conflicts of Interest
Abbreviations
| BC | Body Composition |
| BMI | Body Mass Index |
| BP | Blood Pressure |
| CAAE | Certificate of Presentation for Ethical Consideration |
| CD36 | Fatty Acid Translocase |
| CONSORT | Consolidated Standards of Reporting Trials |
| COPD | Chronic Obstructive Pulmonary Disease |
| DBP | Diastolic Blood Pressure |
| HIIE | High-Intensity Interval Exercise |
| H | Hour |
| HR | Heart Rate |
| HRmax | Maximum Heart Rate |
| IPAQ | International Physical Activity Questionnaire |
| LA | Blood Lactate |
| min | Minute |
| NIH | National Institutes of Health |
| REBEC | Brazilian Registry of Clinical Trials |
| RER | Respiratory Exchange Ratio |
| RHR | Resting Heart Rate |
| SBP | Systolic Blood Pressure |
| VO2 | Oxygen Consumption |
| VO2max | Maximum Oxygen Consumption |
| WHO | World Health Organization |
References
- Auld, F.; Maschauer, E.L.; Morrison, I.; Skene, D.J.; Riha, R.L. Evidence for the efficacy of melatonin in the treatment of primary adult sleep disorders. Sleep. Med. Rev. 2017, 34, 10–22. [Google Scholar] [CrossRef]
- Celorrio San Miguel, A.M.; Roche, E.; Herranz-López, M.; Celorrio San Miguel, M.; Mielgo-Ayuso, J.; Fernández-Lázaro, D. Impact of Melatonin Supplementation on Sports Performance and Circulating Biomarkers in Highly Trained Athletes: A Systematic Review of Randomized Controlled Trials. Nutrients 2024, 16, 1011. [Google Scholar] [CrossRef] [PubMed]
- Amini, Z.; Moeini, M.; Etminani, N. Comparing the Effects of Melatonin and Zolpidem on Mental Health and Sexual Function in Men With Opioid Addiction: Evidence From a Randomized Clinical Trial. Front. Psychiatry 2022, 13, 850480. [Google Scholar] [CrossRef] [PubMed]
- Liu, Z.; Gan, L.; Zhang, T.; Ren, Q.; Sun, C. Melatonin alleviates adipose inflammation through elevating α-ketoglutarate and diverting adipose-derived exosomes to macrophages in mice. J. Pineal Res. 2018, 64, e12455. [Google Scholar] [CrossRef] [PubMed]
- Souissi, A.; Yousfi, N.; Dabboubi, R.; Aloui, G.; Haddad, M.; Souissi, N. Effect of acute melatonin administration on physiological response to prolonged exercise. Biol. Rhythm. Res. 2020, 51, 980–987. [Google Scholar] [CrossRef]
- Mahdi, N.; Delleli, S.; Jebabli, A.; Ben Maaoui, K.; Del Coso, J.; Chtourou, H.; Ardigò, L.P.; Ouergui, I. Melatonin Supplementation Enhances Next-Day High-Intensity Exercise Performance and Recovery in Trained Males: A Placebo-Controlled Crossover Study. Sports 2025, 13, 190. [Google Scholar] [CrossRef]
- Paryab, N.; Taheri, M.; Irandoust, K.; Mirmoezzi, M. Effects of melatonin on neurological function and maintenance of physical and motor fitness in collegiate student-athletes following sleep deprivation. Int. J. Sport. Stud. Health 2020, 3, e110657. [Google Scholar] [CrossRef]
- Beck, W.R.; Botezelli, J.D.; Pauli, J.R.; Ropelle, E.R.; Gobatto, C.A. Melatonin Has an Ergogenic Effect but Does Not Prevent Inflammation and Damage in Exhaustive Exercise. Sci. Rep. 2015, 5, 18065. [Google Scholar] [CrossRef]
- Cheikh, M.; Makhlouf, K.; Ghattassi, K.; Graja, A.; Ferchichi, S.; Kallel, C.; Houda, M.; Souissi, N.; Hammouda, O. Melatonin ingestion after exhaustive late-evening exercise attenuate muscle damage, oxidative stress, and inflammation during intense short term effort in the following day in teenage athletes. Chronobiol. Int. 2020, 37, 236–247. [Google Scholar] [CrossRef]
- Beck, W.R.; Messias, L.H.D.; Silva, F.C.d.; Manchado-Gobatto, F.B.; Gobatto, C.A. Acute melatonin administration enhances aerobic tolerance: An analysis of biochemical and hematological parameters. Motriz 2018, 24, e1018169. [Google Scholar] [CrossRef]
- Cavallo, A.; Daniels, S.R.; Dolan, L.M.; Khoury, J.; Bean, J.A. Blood Pressure Response to Melatonin in Type 1 Diabetes. Pediatr. Diabetes 2004, 5, 26–31. [Google Scholar] [CrossRef] [PubMed]
- Ashour, A.M. The Effect of Melatonin Supplement on High Arterial Blood Pressure: An Overview From Clinicaltrials.gov. J. Multidiscip. Health 2024, 17, 517–520. [Google Scholar] [CrossRef] [PubMed]
- Al-Rawaf, H.A.; Gabr, S.A.; Iqbal, A.; Alghadir, A.H. Effects of High-Intensity Interval Training on Melatonin Function and Cellular Lymphocyte Apoptosis in Sedentary Middle-Aged Men. Medicina 2023, 59, 1201. [Google Scholar] [CrossRef] [PubMed]
- Kılıç, M.; Demirhan, B.; Patlar, S.; Baltacı, A.K.; Moğulkoç, R. Effects of Diurnal and Nocturnal Strenuous Exercise on Serum Melatonin Levels. Rev. Bras. Med. Esporte 2016, 22, 436–438. [Google Scholar] [CrossRef]
- Moayeri, A.; Mokhtari, T.; Hedayatpour, A.; Abbaszadeh, H.A.; Mohammadpour, S.; Ramezanikhah, H.; Shokri, S. Impact of Melatonin Supplementation in the Rat Spermatogenesis Subjected to Forced Swimming Exercise. Andrologia 2017, 50, e12907. [Google Scholar] [CrossRef]
- Al-Sharman, A.; Khalil, H.; El-Salem, K.; Aldughmi, M.; Aburub, A. The Effects of Aerobic Exercise on Sleep Quality Measures and Sleep-Related Biomarkers in Individuals With Multiple Sclerosis: A Pilot Randomised Controlled Trial. Neurorehab 2019, 45, 107–115. [Google Scholar] [CrossRef]
- López-Flores, M.; Luque-Nieto, R.; Costa Moreira, O.; Suárez-Iglesias, D.; Villa-Vicente, J.G. Effects of melatonin on sports performance: A systematic review. J. Exerc. Physiol. Online 2018, 21. [Google Scholar]
- Borges, L.d.S.; Dermargos, A.; Junior, E.P.d.S.; Weimann, E.; Lambertucci, R.H.; Hatanaka, E. Melatonin decreases muscular oxidative stress and inflammation induced by strenuous exercise and stimulates growth factor synthesis. J. Pineal Res. 2015, 58, 166–172. [Google Scholar] [CrossRef]
- Almendros-Ruiz, A.; López-Moro, A.; Conde-Pipó, J.; Santalla, A.; Requena, B.; Mariscal-Arcas, M. The Effects of Melatonin Supplementation on Professional Football Player Performance: A Systematic Review. Nutrients 2023, 15, 4467. [Google Scholar] [CrossRef]
- Souissi, A.; Dergaa, I. An overview of the potential effects of melatonin supplementation on athletic performance. Int. J. Sport. Stud. Health 2021, 4, e121714. [Google Scholar] [CrossRef]
- Kruk, J.; Aboul-Enein, B.H.; Duchnik, E. Exercise-induced oxidative stress and melatonin supplementation: Current evidence. J. Phys. Sci. 2021, 71, 27. [Google Scholar] [CrossRef]
- Skubic, C.; Zevnik, U.; Nahtigal, K.; Dolenc Grošelj, L.; Rozman, D. Circadian Biomarkers in Humans: Methodological Insights into the Detection of Melatonin and Cortisol. Biomolecules 2025, 15, 1006. [Google Scholar] [CrossRef] [PubMed]
- Yin, H.; Zhang, J.; Lian, M.; Zhang, Y. A systematic review and meta-analysis of the effectiveness of high-intensity interval training for physical fitness in university students. BMC Public Health 2025, 25, 1601. [Google Scholar] [CrossRef] [PubMed]
- Farjallah, M.; Hammouda, O.; Zouch, M.; Ghattassi, K.; Graja, A.; Driss, T.; Chamari, K.; Souissi, N. Effect of melatonin ingestion on physical performance, metabolic responses, and recovery after an intermittent training session. Physiol. Int. 2018, 105, 358–370. [Google Scholar] [CrossRef] [PubMed]
- Farjallah, M.A.; Graja, A.; Ghattassi, K.; Ben Mahmoud, L.; Elleuch, H.; Ayadi, F.; Driss, T.; Jammoussi, K.; Sahnoun, Z.; Souissi, N.; et al. Melatonin Ingestion Prevents Liver Damage and Improves Biomarkers of Renal Function Following a Maximal Exercise. Res. Q. Exerc. Sport. 2023, 94, 869–879. [Google Scholar] [CrossRef]
- Force, M.T.; Owens, J.; Simakajornboon, N.; Kotagal, S.; Gringras, P.; The International Pediatric Sleep Association (IPSA) Practice and Policy Committee, the IPSA Board of Directors. Melatonin Use in Managing Insomnia in Typically Developing (TD) Children: A Technical Report. Sleep. Med. 2025, 128, 89–94. [Google Scholar] [CrossRef]
- Faria, V.S.; Pejon, T.M.M.; Gobatto, C.A.; de Araujo, G.G.; Cornachione, A.S.; Beck, W.R. Acute melatonin administration improves exercise tolerance and the metabolic recovery after exhaustive effort. Sci. Rep. 2021, 11, 19228. [Google Scholar] [CrossRef]
- Faria, V.S.; Manchado-Gobatto, F.B.; Scariot, P.P.M.; Zagatto, A.M.; Beck, W.R. Melatonin Potentiates Exercise-Induced Increases in Skeletal Muscle PGC-1 α and Optimizes Glycogen Replenishment. Front. Physiol. 2022, 13, 803126. [Google Scholar] [CrossRef]
- Habtemariam, S.; Daglia, M.; Sureda, A.; Selamoglu, Z.; Fuat Gulhan, M.; Mohammad Nabavi, S. Melatonin and respiratory diseases: A review. Curr. Top. Med. Chem. 2017, 17, 467–488. [Google Scholar] [CrossRef]
- Mazaheri, R.; Schmied, C.; Niederseer, D.; Guazzi, M. Cardiopulmonary exercise test parameters in athletic population: A review. J. Clin. Med. 2021, 10, 5073. [Google Scholar] [CrossRef]
- Souissi, A.; Ben Maaouia, G.; Dergaa, I.; Ghram, A.; Ben Saad, H. The fat burning ability of melatonin during submaximal exercise. Biol. Rhythm. Res. 2023, 54, 307–321. [Google Scholar] [CrossRef]
- Radina Eshtiaghi Ali Reza, K. Serum Melatonin Level Disturbance Is Related to Metabolic Syndrome and Subclinical Arterial Dysfunction in Shift Working Healthy Men. J. Metab. Syndr. 2013, 2, 128. [Google Scholar] [CrossRef]
- Czuczejko, J.; Sielski, Ł.; Woźniak, B.; Woźniak, A.; Szewczyk-Golec, K. Melatonin supplementation improves oxidative and inflammatory state in the blood of professional athletes during the preparatory period for competitions. Free Radic. Res. 2019, 53, 198–209. [Google Scholar] [CrossRef] [PubMed]
- Hadi, A.; Ghaedi, E.; Moradi, S.; Pourmasoumi, M.; Ghavami, A.; Kafeshani, M. Effects of Melatonin Supplementation on Blood Pressure: A Systematic Review and Meta-Analysis of Randomized Controlled Trials. Horm. Metab. Res. 2019, 51, 157–164. [Google Scholar] [CrossRef] [PubMed]
- Laudon, M.; Grossman, E.; Zisapel, N. Effect of Melatonin on Nocturnal Blood Pressure: Meta-Analysis of Randomized Controlled Trials. Vasc. Health Risk Manag. 2011, 7, 577–584. [Google Scholar] [CrossRef]
- Ochoa, J.J.; Díaz-Castro, J.; Kajarabille, N.; García, C.; Guisado-Requena, I.M.; Teresa, C.d.; Guisado, R. Melatonin Supplementation Ameliorates Oxidative Stress and Inflammatory Signaling Induced by Strenuous Exercise in Adult Human Males. J. Pineal Res. 2011, 51, 373–380. [Google Scholar] [CrossRef]
- Marrin, K.; Drust, B.; Gregson, W.; Morris, C.J.; Chester, N.; Atkinson, G. Diurnal Variation in the Salivary Melatonin Responses to Exercise: Relation to Exercise-Mediated Tachycardia. Eur. J. Appl. Physiol. 2011, 111, 2707–2714. [Google Scholar] [CrossRef]
- Coretti, M.; Donatello, N.N.; Bianco, G.; Cidral-Filho, F.J. An integrative review of the effects of high-intensity interval training on the autonomic nervous system. Sports Med. Health Sci. 2025, 7, 77–84. [Google Scholar] [CrossRef]
- Li, L.; Liu, X.; Shen, F.; Xu, N.; Li, Y.; Xu, K.; Li, J.; Liu, Y. Effects of High-Intensity Interval Training Versus Moderate-Intensity Continuous Training on Blood Pressure in Patients With Hypertension: A Meta-Analysis. Medicine 2022, 101, e32246. [Google Scholar] [CrossRef]
- Lee, M.C.; Chung, Y.C.; Thenaka, P.C.; Wang, Y.; Lin, Y.-L.; Kan, N.W. Effects of Different HIIT Protocols on Exercise Performance, Metabolic Adaptation, and Fat Loss in Middle-Aged and Older Adults With Overweight. Int. J. Med. Sci. 2024, 21, 1689–1700. [Google Scholar] [CrossRef]
- Hopewell, S.; Chan, A.W.; Collins, G.S.; Hróbjartsson, A.; Moher, D.; Schulz, K.F.; Tunn, R.; Aggarwal, R.; Berkwits, M.; Berlin, J.A.; et al. CONSORT 2025 statement: Updated guideline for reporting randomised trials. BMJ 2025, 389, e081123. [Google Scholar] [CrossRef] [PubMed]
- Hallal, P.C.; Gomez, L.F.; Parra, D.C.; Lobelo, F.; Mosquera, J.; Florindo, A.A.; Reis, R.S.; Pratt, M.; Sarmiento, O.L. Lessons learned after 10 years of IPAQ use in Brazil and Colombia. J. Phys. Act. Health 2010, 7, S259–S264. [Google Scholar] [CrossRef] [PubMed]
- Trionfante, C.P.; Davis, G.R.; Farney, T.M.; Miskowiec, R.W.; Nelson, A.G. A pre-exercise dose of melatonin can alter substrate use during exercise. Int. J. Exerc. Sci. 2017, 10, 1029. [Google Scholar] [CrossRef] [PubMed]
- Hallal, P.C.; Victora, C.G. Reliability and validity of the international physical activity questionnaire (IPAQ). Med. Sci. Sports Exerc. 2004, 36, 556. [Google Scholar] [CrossRef]
- Food and Agriculture Organization of the United Nations. Human Energy Requirements: Report of a Joint FAO/WHO/UNU Expert Consultation; FAO: Rome, Italy, 2001. [Google Scholar]
- Biological Sciences Curriculum Study; National Institutes of Health (US). Information about Energy Balance. In NIH Curriculum Supplement Series [Internet]; National Institutes of Health (US): Bethesda, MD, USA, 2007. [Google Scholar]
- De Melo Cazal, M.; Alfenas, R.d.C.G.; Peluzio, M.d.C.G.; dos Santos Amorim, P.R.; Tomaz, P.A.; Marins, J.C.B. The effect of a breakfast’s glycaemic index and type of hydration on metabolism and cycling performance: A crossover, randomized, controlled clinical trial. Rev. Int. Cienc. Del Deporte 2021, 17, 251–263. [Google Scholar] [CrossRef]
- DeMuro, R.L.; Nafziger, A.N.; Blask, D.E.; Menhinick, A.M.; Bertino, J.S., Jr. The absolute bioavailability of oral melatonin. J. Clin. Pharmacol. 2000, 40, 781–784. [Google Scholar] [CrossRef]
- Petroski, E.L.; Neto, C.S.P. Validação de equações antropométricas para a estimativa da densidade corporal em homens. Rev. Bras. Ativ. Fis. Saúde 1996, 1, 5–14. [Google Scholar] [CrossRef]
- Jackson, A.S.; Blair, S.N.; Mahar, M.T.; Wier, L.T.; Ross, R.M.; Stuteville, J.E. Prediction of functional aerobic capacity without exercise testing. Med. Sci. Sports Exerc. 1990, 22, 863–870. [Google Scholar] [CrossRef]
- Tjønna, A.E.; Lee, S.J.; Rognmo, Ø.; Stølen, T.O.; Bye, A.; Haram, P.M.; Loennechen, J.P.l.; Al-Share, Q.Y.; Skogvoll, E.; Slørdahl, S.A. Aerobic interval training versus continuous moderate exercise as a treatment for the metabolic syndrome: A pilot study. Circulation 2008, 118, 346–354. [Google Scholar] [CrossRef]
- Tanaka, H.; Monahan, K.D.; Seals, D.R. Age-predicted maximal heart rate revisited. J. Am. Coll. Cardiol. 2001, 37, 153–156. [Google Scholar] [CrossRef]
- Buchheit, M.; Laursen, P.B.; Ahmaidi, S. Effect of prior exercise on pulmonary O2 uptake and estimated muscle capillary blood flow kinetics during moderate-intensity field running in men. J. Appl. Physiol. 2009, 107, 460–470. [Google Scholar] [CrossRef]
- Crisafulli, A.; Scott, A.C.; Wensel, R.; Davos, C.H.; Francis, D.P.; Pagliaro, P.; Coats, A.J.; Concu, A.; Piepoli, M.F. Muscle metaboreflex-induced increases in stroke volume. Med. Sci. Sports Exerc. 2003, 35, 221–228; discussion 229. [Google Scholar] [CrossRef]






| Outcome | Timepoint | Δ Melatonin– Placebo | Statistics | Effect Size d’ |
|---|---|---|---|---|
| VO2 (mL/kg/min) | Recovery 5 min | ↑ +2.4 | t (11) = 2.8; p = 0.02 | d = 0.81 |
| Interval 3 | ↑ +2.2 | t (11) = 2.4; p = 0.03 | d = 0.69 | |
| HR (bpm) | Recovery 30 min | ↓ −5 | t (11) = 2.3; p = 0.04 | d = 0.66 |
| Lactate (mmol/L) | Recovery 30 min | ↓ −0.7 | t (11) = 2.5; p = 0.03 | d = 0.72 |
| SBP (mmHg) | Recovery 15 min | ↓ −8 | t (11) = 2.6; p = 0.02 | d = 0.75 |
| RER | Sprint 4 | ↑ +0.08 | t (11) = 2.9; p = 0.01 | d = 0.84 |
| Meal | Protein (g) | Lipids (g) | Carbohydrate (g) | Calories (kcal) |
|---|---|---|---|---|
| Morning meal | 23.4 g | 29.4 g | 92.4 g | 706 kcal |
| Midday meal | 41.2 g | 11.9 g | 70.5 g | 529 kcal |
| Afternoon snack | 23.4 g | 29.4 g | 92.4 g | 706 kcal |
| Evening meal | 41.2 g | 11.9 g | 70.5 g | 529 kcal |
| Total dietary intake | 129.3 g | 82.7 g | 325.8 g | 2472 kcal |
Disclaimer/Publisher’s Note: The statements, opinions and data contained in all publications are solely those of the individual author(s) and contributor(s) and not of MDPI and/or the editor(s). MDPI and/or the editor(s) disclaim responsibility for any injury to people or property resulting from any ideas, methods, instructions or products referred to in the content. |
© 2025 by the authors. Licensee MDPI, Basel, Switzerland. This article is an open access article distributed under the terms and conditions of the Creative Commons Attribution (CC BY) license (https://creativecommons.org/licenses/by/4.0/).
Share and Cite
Almeida, N.R.; dos Santos, D.A.; dos Santos, K.L.; Pérez, D.I.V.; Aidar, F.J.; Miranda, W.A.S.; Miarka, B.; Queiroz, A.C.C.; Brito, C.J. Effects of Acute Morning Melatonin Supplementation Versus Placebo on Cardiometabolic Responses to High-Intensity Interval Exercise: A Randomized Crossover Trial in Active Men. Physiologia 2025, 5, 40. https://doi.org/10.3390/physiologia5040040
Almeida NR, dos Santos DA, dos Santos KL, Pérez DIV, Aidar FJ, Miranda WAS, Miarka B, Queiroz ACC, Brito CJ. Effects of Acute Morning Melatonin Supplementation Versus Placebo on Cardiometabolic Responses to High-Intensity Interval Exercise: A Randomized Crossover Trial in Active Men. Physiologia. 2025; 5(4):40. https://doi.org/10.3390/physiologia5040040
Chicago/Turabian StyleAlmeida, Naiara Ribeiro, Diego Alves dos Santos, Kaio Lages dos Santos, Diego Ignácio Valenzuela Pérez, Felipe J. Aidar, Walesca Agda Silva Miranda, Bianca Miarka, Andreia Cristiane Carrenho Queiroz, and Ciro José Brito. 2025. "Effects of Acute Morning Melatonin Supplementation Versus Placebo on Cardiometabolic Responses to High-Intensity Interval Exercise: A Randomized Crossover Trial in Active Men" Physiologia 5, no. 4: 40. https://doi.org/10.3390/physiologia5040040
APA StyleAlmeida, N. R., dos Santos, D. A., dos Santos, K. L., Pérez, D. I. V., Aidar, F. J., Miranda, W. A. S., Miarka, B., Queiroz, A. C. C., & Brito, C. J. (2025). Effects of Acute Morning Melatonin Supplementation Versus Placebo on Cardiometabolic Responses to High-Intensity Interval Exercise: A Randomized Crossover Trial in Active Men. Physiologia, 5(4), 40. https://doi.org/10.3390/physiologia5040040

