Abstract
Background: The high-intensity demands of CrossFit induce respiratory muscle fatigue, potentially impairing performance via the metaboreflex. Respiratory muscle training (RMT) may mitigate this effect, but evidence in female athletes remains limited. Objective: We aimed to investigate the effects of RMT on sport-specific performance and maximal inspiratory pressure (PIMAX) in recreational female CrossFit practitioners. Design: We conducted a parallel-group randomized controlled trial. Setting: The study was conducted in a CrossFit-affiliated gym. Participants: We recruited twenty-nine recreational female practitioners (age: 30.3 ± 7.9 years) with ≥1 year of uninterrupted training who were free from respiratory diseases. Interventions: Participants were randomized to a CrossFit-only group (n = 14) or CrossFit + RMT group (n = 15). Both trained 5 days/week for 6 weeks; the RMT group additionally performed 30 inspiratory efforts at 50% of PIMAX, 5 days/week, with weekly load adjustment. Main Outcome Measures: Primary: Sport-specific performance (total repetitions in a 10-min AMRAP [As Many Rounds As Possible] test). Secondary: PIMAX (cmH2O). Measurements were taken pre- and post-intervention. Results: Baseline performance and PIMAX were similar between groups. After 6 weeks, the CrossFit + RMT group improved in performance more (Δ = +10.5 ± 10.7 reps, p = 0.03, ηp2 = 0.168) than the CrossFit-only group (Δ = +2.3 ± 8.1). PIMAX gains were also greater with RMT (Δ = +19.6 ± 8.4 cmH2O, p = 0.043, ηp2 = 0.148) vs. control (Δ = +10.1 ± 9.7). No adverse events occurred. Conclusions: Adding RMT to CrossFit training enhanced sport-specific performance and inspiratory strength in recreational female practitioners more than CrossFit alone. RMT appears to be a safe and effective complementary strategy for high-intensity functional training.
1. Introduction
CrossFit is a high-intensity training methodology characterized by constantly varied functional movements integrating Olympic weightlifting, gymnastics, and cardiovascular conditioning [1,2]. Typical workouts incorporate modalities such as snatches, clean and jerks, squats, running, rowing, and complex bodyweight exercises (e.g., handstand push-ups, muscle-ups) [3,4,5]. Its rapid global expansion is attributed to scalability, a competitive environment, and quantifiable outcomes [1,6]. Training sessions usually comprise three phases: warm-up/mobility, skill/strength development, and the workout of the day (WOD), a high-intensity circuit challenging both aerobic and anaerobic systems through time- or task-priority formats [7,8]. The extreme metabolic stress inherent to these workouts places significant demands on cardiorespiratory endurance, making respiratory efficiency a critical determinant of performance.
The extreme metabolic stress inherent to these workouts places significant demands on cardiorespiratory endurance, making respiratory efficiency a critical determinant of performance. Recent studies using portable gas analysis have quantified these demands, showing that CrossFit workouts elicit high levels of oxygen consumption (e.g., reaching >90% of VO2max) and significant contributions from both aerobic (~60–75%) and anaerobic (~25–40%) energy systems, depending on the protocol’s duration and structure [9,10,11,12]. Some studies have also detailed the strenuous ventilatory responses, such as high minute ventilation (V˙E), and the rapid oxygen uptake kinetics required to sustain effort in tasks like ‘Fran’ or ‘Fight Gone Bad’ [9,11,13,14].
During such intense exercise, the diaphragm and accessory respiratory muscles accumulate metabolites, leading to fatigue. This, in turn, may limit oxygen delivery to working muscles by activating the respiratory muscle metaboreflex [15,16]. This reflex induces sympathetic vasoconstriction in limb musculature, redirecting blood flow and oxygen to the fatigued respiratory muscles at the expense of peripheral perfusion, thus compromising exercise tolerance and ventilatory efficiency [16,17,18,19]. Such limitations are particularly relevant in the context of CrossFit, where the high-intensity, sustained efforts quantified by the aforementioned studies occur within short recovery intervals.
Respiratory muscle training (RMT) has been proposed as a strategy to counteract these limitations by improving the strength and endurance of inspiratory and expiratory muscles [20,21]. Chronic RMT can enhance respiratory efficiency, optimize oxygen economy, reduce dyspnea, and improve blood flow redistribution to locomotor muscles [22,23]. These adaptations may benefit aerobic capacity, delay fatigue onset, and attenuate lactate accumulation in anaerobic contexts [24,25]. Although numerous studies have examined RMT in endurance and strength sports [25,26], research in mixed-modal, high-intensity modalities like CrossFit remains scarce.
Furthermore, female athletes are underrepresented in this literature, with most evidence derived from male or mixed cohorts, despite known sex-related differences in CrossFit performance and respiratory responses to training [27,28]. Given the high demands of CrossFit on respiratory efficiency and muscular endurance, along with potential sex-specific adaptations to RMT [29,30], there is a need for targeted investigations in this population. Therefore, the aim of this study was to examine the effects of a six-week RMT intervention on sport-specific performance and maximal inspiratory pressure (PIMAX) in female CrossFit athletes. We hypothesized that RMT would enhance performance and increase PIMAX through improved respiratory muscle efficiency and delayed fatigue.
2. Results
No adverse events were reported during the intervention period, and no participants withdrew due to discomfort or complications related to the protocol. One participant failed to complete the final assessments and was excluded from the analysis, resulting in a final sample size of 29. Table 1 presents the basal anthropometric characteristics of the groups; no differences were observed (p > 0.05).
Table 1.
Age and anthropometric characteristics of participants.
Preliminary correlation analyses revealed a very high correlation between BMI and body mass (r = 0.924, p < 0.001), suggesting problematic multicollinearity. To prevent collinearity-related issues in the covariate models, BMI was excluded. The final set of covariates included age, body mass, height, body fat percentage, baseline PIMAX, and baseline CrossFit test performance. No other strong intercorrelations (r > 0.80) were observed among the remaining variables. Figure 1 showed the correlation matrix of covariates used in our statistical model.
Figure 1.
Correlation matrix heatmap of variables used in ANCOVA.
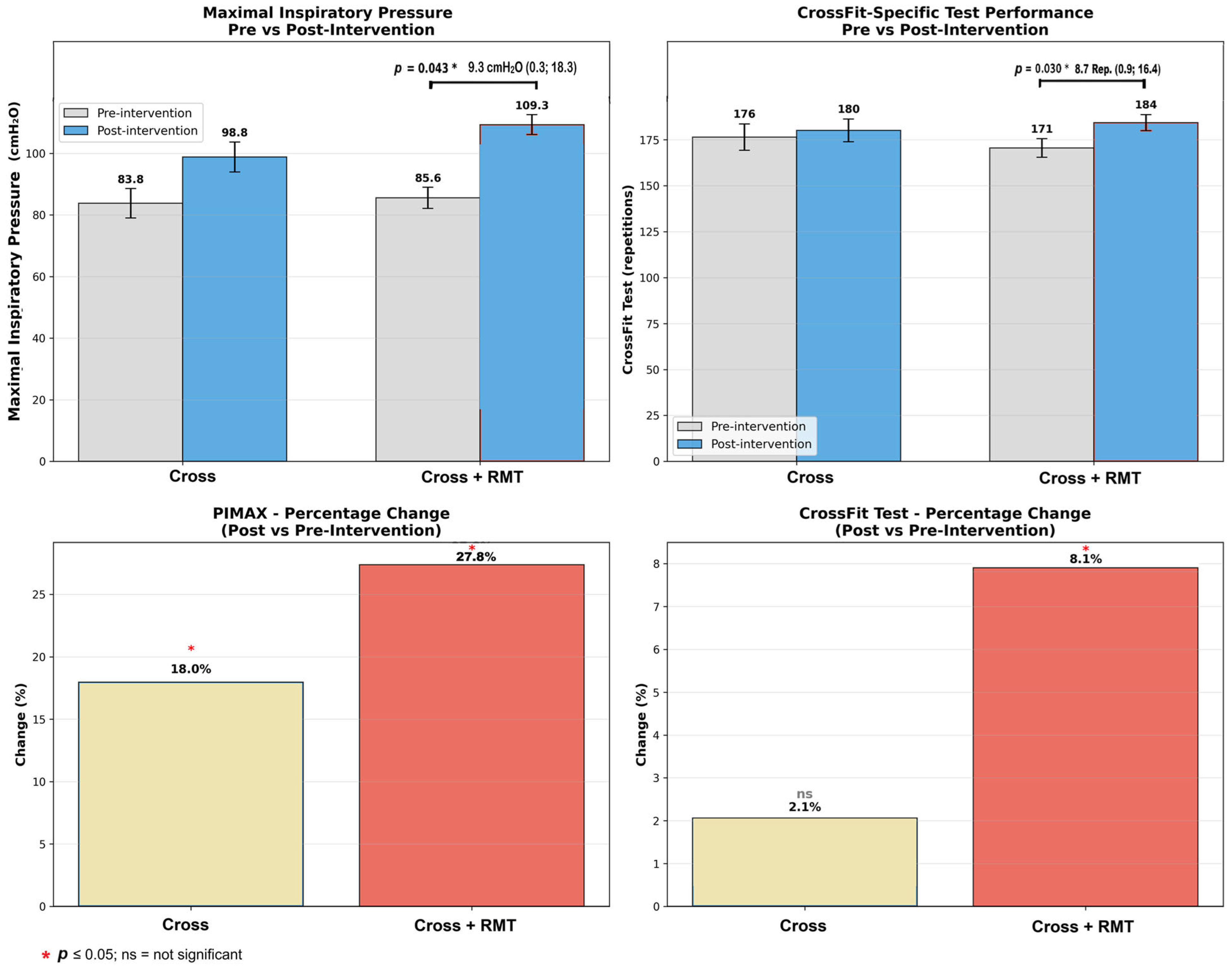
Both groups demonstrated significant within-group improvements in PIMAX following the 6-week intervention (Cross: +18.0%, p = 0.001; Cross + RMT: +27.8%, p < 0.001), with the RMT group showing substantially greater improvement (+9.8 percentage points). For sport-specific performance, only the Cross + RMT group showed significant improvement (+8.1%, p < 0.001) compared to minimal change in the Cross group (+2.1%, p = 0.276).
Initial between-group comparisons using independent t-tests revealed no significant differences in post-intervention values for either performance (t(27) = −0.561, p = 0.579, Cohen’s d = 0.208) or PIMAX (t(27) = −1.818, p = 0.080, Cohen’s d = 0.676). However, given baseline differences in performance measures (Cross: 176.5 ± 26.9 reps; Cross + RMT: 170.5 ± 19.5 reps) despite statistical non-significance (p > 0.05), we employed ANCOVA to adjust for these initial values. After controlling for baseline measurements, ANCOVA revealed significant between-group differences favoring the RMT group for both performance (F(1,26) = 5.252, p = 0.030, ηp2 = 0.168) and PIMAX (F(1,26) = 4.534, p = 0.043, ηp2 = 0.148), representing medium-to-large effect sizes. The models explained substantial variance in post-intervention values (performance: R2 = 0.760; PIMAX: R2 = 0.511), indicating robust intervention effects beyond baseline differences. Figure 2 displays the post-intervention results for both the sport-specific CrossFit test and PIMAX.
Figure 2.
Comparisons between the specific maximum performance and maximal inspiratory pressure between the Cross and Cross + RMT in the pre- and post-intervention. * p ≤ 0.05 vs. Pre-intervention.
3. Discussion
The present study confirmed our initial hypothesis that RMT would enhance sport-specific performance and PIMAX through improved respiratory muscle efficiency and delayed fatigue. Specifically, the RMT group showed significantly greater improvements in both outcomes compared to controls, with a +27.8% vs. +18.0% increase in PIMAX and a +8.1% vs. +2.1% improvement in CrossFit performance. These differences remained significant after adjusting for baseline values, with medium-to-large effect sizes. These findings align with previous research showing RMT’s ergogenic potential in athletic populations [20], and extend this evidence to female CrossFit athletes specifically. For context, VO2max—defined as the maximal rate of oxygen uptake and the gold-standard indicator of cardiorespiratory fitness—represents a key physiological determinant of exercise performance. Although not directly assessed in our trial, improvements in ventilatory efficiency and respiratory muscle function induced by RMT may contribute indirectly to better oxygen utilization and endurance capacity.
Recent bioenergetic analyses have elucidated the energy system demands during CrossFit benchmark workouts. Rios, et al. [11] demonstrated that the Fran workout elicits energy from aerobic (62%), anaerobic lactic (26%), and alactic (12%) pathways, highlighting the primary role of aerobic metabolism even during short, intense efforts. Similarly, Rios, et al. [31] showed that the Isabel workout relies on oxidative phosphorylation (40%), glycolytic (45%), and phosphagen (15%) systems, with a balanced demand on oxygen-dependent and independent metabolism despite its brief duration. Additionally, Rios, et al. [12] found that these workouts recruit energy from both aerobic and anaerobic sources, with the proportion varying across rounds. These findings underscore the critical importance of aerobic capacity in CrossFit performance, a notion supported by a systematic review from Oliver-López, et al. [32], which concluded that CrossFit chronically enhances cardiovascular and respiratory endurance.
Previous research has demonstrated that RMT can enhance exercise tolerance and ventilatory efficiency, particularly in aerobic modalities such as cycling and rowing [20,33,34]. Specifically, respiratory muscle endurance training has been shown to improve cycling performance by 4.7% in time trial tests, with increases in respiratory muscle endurance capacity of 12% and enhanced ventilatory output during constant work-rate exercise [35]. These benefits have been attributed to improved function of the diaphragm and accessory respiratory muscles [17,22], with studies reporting increases in PIMAX of 14–14.3% and maximal expiratory pressure of 27% following 6 weeks of training [36]. Such improvements increase the efficiency of ventilatory mechanics, facilitate greater oxygen uptake [23,37], and delay the onset of respiratory muscle fatigue. Furthermore, inspiratory muscle training has demonstrated improvements in cycling time trial performance of 10.17% in normoxia and 6.62% in hypoxia, with strong correlations between performance and respiratory muscle strength (r2 = 0.695) and oxygen uptake efficiency slope (r2 = 0.647) [38]. In our study, the observed improvements in ventilatory efficiency during high-intensity functional training likely reflect these same physiological adaptations. Although CrossFit differs from traditional endurance sports by combining strength and conditioning tasks with rapid transitions, the repeated bouts of high ventilatory demand appear to benefit from enhanced respiratory muscle performance in a comparable manner. Thus, the alignment with previous findings is direct in terms of the underlying mechanisms, improved respiratory muscle strength and endurance and indirect in terms of their application, as our results extend these benefits beyond cyclical endurance modalities to mixed-modal exercise.
Previous research has shown that RMT can enhance exercise tolerance and ventilatory efficiency, particularly in aerobic modalities such as cycling and rowing [20,33,34]. These benefits have been attributed to improved function of the diaphragm and accessory respiratory muscles [17,22], which increase the efficiency of ventilatory mechanics, facilitate greater oxygen uptake [23,37], and delay the onset of respiratory muscle fatigue. In our study, the observed improvements in ventilatory efficiency during high-intensity functional training likely reflect these same physiological adaptations. Although CrossFit differs from traditional endurance sports by combining strength and conditioning tasks with rapid transitions, the repeated bouts of high ventilatory demand appear to benefit from enhanced respiratory muscle performance in a comparable manner. Thus, the alignment with previous findings is direct in terms of the underlying mechanisms, improved respiratory muscle strength, endurance and indirect in terms of their application, as our results extend these benefits beyond cyclical endurance modalities to mixed-modal exercise.
Although CrossFit differs from cyclical endurance sports in its anaerobic load profile, its repeated high-intensity bouts likely trigger similar respiratory constraints, including activation of the metaboreflex [18]. Studies in high-intensity intermittent sports such as repeated sprint training [39], wrestling [40], and combat sports [41] have also reported performance gains with RMT. Hackett and Sabag [42] found that RMT improved ventilatory efficiency and reduced perceived exertion in weightlifting, an activity mechanically and metabolically comparable to many CrossFit movements. Together, these findings reinforce that RMT benefits are not exclusive to aerobic endurance but may extend to anaerobic-dominant performance contexts.
The PIMAX gains observed here have broader implications for health and functional capacity, with correlation data suggesting a potential causal relationship between inspiratory muscle strength and performance enhancement. The strong correlation between PIMAX and cycling performance (r2 = 0.695) [38], combined with our observed concurrent improvements in PIMAX (10.6%) and functional performance, supports the hypothesis that enhanced inspiratory muscle strength may directly contribute to improved exercise tolerance by reducing work of breathing and delaying respiratory muscle fatigue during high-intensity exercise. Higher PIMAX has been associated with improved pulmonary function [43], dynamic balance in older adults [44], and greater diaphragm strength even in individuals with musculoskeletal disorders [45]. The temporal relationship in our study, where PIMAX improvements preceded functional gains, provides additional evidence for a causal rather than correlational relationship. Notably, pre-intervention respiratory muscle weakness (PIMAX < 62 cmH2O) was present in two participants (one in each group) but resolved in all participants post-intervention, with larger improvements in the RMT group [46]. This normalization of respiratory muscle strength concurrent with performance improvements reinforces the potential causal link between inspiratory muscle capacity and functional outcomes. This suggests that RMT can be an effective adjunct not only for performance enhancement but also for respiratory health optimization in active females.
A key strength of this study is its exclusive focus on female athletes, addressing a persistent gap in RMT literature [25]. Sex-specific physiological responses to respiratory training have been reported [27,30], underscoring the need for sex-stratified analyses. Additionally, the intervention applied here combined inspiratory and expiratory muscle training using PowerBreathe® devices, a protocol previously associated with greater respiratory adaptations than inspiratory-only approaches [22]. However, limitations must be considered. First, the sample size, while powered for PIMAX, may limit generalizability and the detection of smaller effects in performance outcomes. Second, we employed per-protocol analysis to evaluate the efficacy of RMT under controlled adherence conditions, as our primary objective was to assess the intervention’s biological effect rather than its real-world implementation. Given the high compliance rates (96.7% completion) and absence of a sham device, per-protocol analysis reduces misclassification bias and aligns with our hypothesis-testing framework [47]. Although this approach reduces misclassification bias given the high compliance rates (96.7%) and absence of a sham device, it may overestimate effects compared to intention-to-treat analysis. Third, the lack of a sham device control means we cannot fully rule out a potential placebo effect, particularly given the modest absolute improvement in repetitions. Fourth, the loads during WODs were standardized rather than individually prescribed, which may have led to variations in relative intensity among participants. Fifth, potential confounders such as menstrual cycle phase, dietary intake, and baseline aerobic capacity (VO2max) were not controlled. Sixth, the six-week duration, though sufficient for initial adaptations, may not capture the full scope of RMT benefits or their retention. Lastly, physiological markers such as lactate concentration, ventilatory threshold, or muscle oxygenation were not measured, limiting insight into the mechanisms underlying the observed improvements. Future research should include larger, sham-controlled trials incorporating individualized intensity monitoring, direct physiological measurements, and longer follow-up periods to confirm and expand upon these results. Investigations comparing inspiratory-only versus combined respiratory muscle protocols, as well as sex-specific responses, are also warranted.
Practical Applications
Our findings demonstrate that RMT can be feasibly and effectively integrated into recreational training environments such as CrossFit. From a practical standpoint, RMT is a low-cost, time-efficient strategy (≈5 min per session) that can be implemented without modifying the existing workout structure. Coaches may incorporate RMT during warm-up or cool-down routines to minimize disruption. For practical prescription, RMT can be performed using handheld inspiratory resistance devices. A commonly recommended protocol consists of 30 breaths at an intensity of ~50–60% of PIMAX, once or twice daily, at least 4–5 days per week. This dosage has been consistently shown to improve inspiratory muscle strength, ventilatory efficiency, and exercise tolerance. In CrossFit or other mixed-modal settings, one daily session (≈5 min) is sufficient when integrated into warm-up or recovery routines. Beyond enhancing ventilatory efficiency and exercise tolerance, RMT may lower perceived exertion, delay fatigue, and support performance during repeated high-intensity efforts. Additionally, it may serve as a preventive strategy against respiratory muscle fatigue during periods of high training load, and as a tool to facilitate return-to-play in athletes recovering from respiratory illness or detraining.
4. Materials and Methods
4.1. Experimental Approach
This study employed a parallel-group, randomized controlled trial design with a 1:1 allocation ratio, comparing two interventions: CrossFit training alone (control group—Cross) versus CrossFit training combined with respiratory muscle training (experimental group—Cross + RMT). The trial was conducted at a single CrossFit-affiliated gym to ensure standardization of environment, equipment, and coaching. All participants completed a 6-week training protocol consisting of structured sessions including warm-up, strength/skill development, high-intensity WODs, and cool-down (details in Supplementary Table S1). Outcome measures (sport-specific performance test and maximal inspiratory pressure) were assessed pre- and post-intervention. The study protocol was approved by the local ethics committee (no. 6.221.128, CAAE: 71453423.1.0000.5112) and registered in the Brazilian Clinical Trials Registry (REBEC—RBR-2bd7gnb; registration date: 18 September 2025). The registration occurred after the enrollment of the first participant due to administrative delays in the submission process. However, the trial methodology and outcomes had been fully specified in the ethics-approved protocol prior to recruitment, and no modifications were made after enrollment began. The full protocol is available from the corresponding author upon request.
4.2. Participants
The sample size was estimated using G*Power software (v.3.1), based on previous studies investigating RMT in athletic populations [23,48]. With PIMAX as the primary outcome, a minimum of 13 participants per group was required to detect a between-group difference of 16 cmH2O, with 80% power and alpha of 0.05. Accounting for potential attrition (~8%), we enrolled 30 participants. Participants were recruited between June and October 2023 from a CrossFit-affiliated gym. Eligibility criteria included: (a) female gender; (b) age 20–56 years; (c) ≥1 year of uninterrupted recreational CrossFit training; (d) medical clearance for high-intensity exercise; and (e) no current use of bronchodilator medication. Exclusion criteria were: (a) any medical contraindication to high-intensity exercise; (b) inability to commit to the full 6-week protocol; or (c) participation in formal respiratory muscle training within the previous 6 months.
After screening, participants were randomized into RMT (n = 15) or control (n = 14) groups using a computer-generated sequence stratified by age and anthropometric characteristics. Allocation was concealed via sealed, opaque envelopes opened after baseline assessments by an independent researcher not involved in outcome assessment. Due to the physical nature of the RMT intervention, participant blinding was not feasible. However, outcome assessors were blinded during PIMAX and WOD performance testing. While a sham protocol using lower %PIMAX could have improved blinding, our primary aim was to assess efficacy rather than isolate placebo effects. All training sessions were supervised by CrossFit Level 1 certified coaches who recorded attendance using Supplementary Table S1. Participants missing >3 of 29 sessions were excluded from analysis. One participant failed to complete post-testing, resulting in a final sample of 29 recreational female (CROSS: n = 14; CROSS + RMT: n = 15). Figure 3 shows the participant flow diagram.
Figure 3.
Flow chart of participant selection for Cross and Cross + RMT groups.
4.3. Training Protocol
The 6-week training program consisted of 29 sessions. Both groups followed the same standardized CrossFit training protocol, which was structured as follows for each session:
- (a)
- Warm-up (15 min): This phase included 10 min of stretching and joint mobility exercises focused on major muscle groups, followed by 5 min of dynamic activation drills specific to CrossFit (e.g., air squats, push-up progressions).
- (b)
- Strength & Skill Development (20 min): This segment combined dynamic exercises (e.g., Olympic lifts) and static holds (e.g., hollow body positions) to develop technical proficiency and power.
- (c)
- WOD (8–15 min): The core component of each session involved high-intensity interval training or As Many Rounds As Possible (AMRAP) circuits. The specific exercises, repetitions, and schemes for each WOD across the 6-week period are detailed in Supplementary Table S1.
- (d)
- Cool-down (5 min): Each session concluded with guided breathing exercises and low-intensity mobility movements to promote recovery.
Outcome assessors were instructed not to discuss training protocols with participants during assessment sessions. Assessment sessions were scheduled to minimize interaction between participants from different groups. No placebo or sham device was provided to the control group, as this was deemed unnecessary for the study objectives and would have introduced additional complexity without meaningful benefit. No significant changes were made to the trial protocol after commencement. All outcome measures and analytical approaches were prespecified and adhered to throughout the study period.
4.4. Experimental Procedures
All participants were recruited from a single CrossFit affiliate to ensure standardization of the training program and coaching methodology throughout the 6-week intervention period. This duration was selected based on previous evidence indicating it represents the minimum time required to observe meaningful physiological adaptations to RMT [23,33,49]. Following informed consent, baseline assessments were conducted in the following order: (1) anthropometric measurements (body mass: Welmi® 104A scale; Sao Paulo, Brazil, height: Alturexata® stadiometer, Sao Paulo, Brazil). Body fat percentage was determined using the Jackson, et al. [43] three-site skinfold protocol specifically validated for female populations (triceps, suprailiac, and thigh). Measurements were taken using a calibrated Lange skinfold caliper (Beta Technology Inc., Cambridge, MD, USA) with an accuracy of ±1 mm. All assessments were performed by a Level 2 ISAK-certified anthropometrist. Triplicate measurements were taken at each site, and the mean value was used for analysis. Technical error of measurement was maintained below 5% for all skinfold measurements, ensuring reliability and consistency across assessments. (2) PIMAX assessment; and (3) sport-specific CrossFit performance testing. All measurements were repeated following the 6-week intervention period under identical conditions.
4.5. Specific Performance Test in CrossFit
The primary outcome measure was sport-specific CrossFit performance, assessed using a standardized 10-min AMRAP test. This test was specifically designed by the research team based on existing CrossFit competition formats and consisted of completing as many rounds as possible within 10 min, with each round comprising: (a) 5 shuttle runs (10 m length per repetition); (b) 10 target burpees (performing a burpee followed by jumping to touch both hands to a gymnastic bar positioned 25 cm above extended arm reach); (c) 15 sit-ups (abdominal exercise performed from sitting position with soles of feet together); and (d) 20 dumbbell squats (free squats while carrying a 14 kg dumbbell). The total number of completed repetitions was recorded and used as the performance metric.
The test structure aligns with the sport’s philosophical emphasis on assessing work capacity across broad time and modal domains, as established in previous CrossFit research [4,8]. The 10-min duration was selected to create significant metabolic stress while maintaining practicality for pre-post intervention assessment, reflecting the typical time domain of many CrossFit workouts. This approach ensures ecological validity while providing a sensitive measure of performance changes specific to the physiological demands of high-intensity functional training. Figure 4 shows the exercises used in the specific test.
Figure 4.
Exercises which composed the specific CrossFit performance test.
Exercises sequency.
Exercises sequency.
4.6. Measurement of Respiratory Muscle Strength
PIMAX was assessed using a calibrated digital pressure transducer (PowerBreathe® K3, HaB International, Southam, UK), a device validated for respiratory muscle strength testing in athletes [50]. Measurements were performed with participants seated upright with hips flexed at 90°, wearing a nose clip to prevent air leakage. Following standardized procedures from the European Respiratory Society, participants performed three maximal inspiratory efforts against a closed shutter after a full exhalation to residual volume. Each effort was maintained for 3 s, with 60-s rest intervals between trials. The highest value obtained from three technically acceptable trials was recorded for analysis.
4.7. RMT Protocol
The RMT group completed their specific training before their regular CrossFit sessions under direct supervision of the same certified coaches. The protocol consisted of 30 dynamic inspiratory efforts daily (5 days/week) at 50% of the weekly assessed PIMAX value, using PowerBreathe® Plus devices (HaB International, Southam, UK). This intensity was selected based on established protocols demonstrating its efficacy for improving respiratory strength in athletes Salazar-Martínez, et al. [38]. The training load was adjusted weekly following reassessment of PIMAX each Monday to maintain the relative intensity throughout the 6-week intervention. The progressive overload principle was thus maintained through periodic recalibration rather than increasing the percentage of PIMAX.
4.8. Statistical Analysis
Data normality was assessed using the Shapiro–Wilk test, and homogeneity of variances was evaluated with Levene’s test. Multicollinearity among covariates was examined through variance inflation factor (VIF) analysis and correlation matrices. Due to severe multicollinearity detected in the initial model (mean VIF = 161.4), a reduced covariate model was implemented, retaining only age, pre-intervention CrossFit test scores, and pre-intervention PIMAX values (mean VIF = 23.1). Analysis of covariance (ANCOVA) was performed to examine group differences in post-intervention outcomes (CrossFit test performance and PIMAX), controlling for the reduced set of covariates. When significant multivariate effects were observed, analyses of variance (ANOVA) were conducted for each dependent variable. Effect sizes were calculated using partial eta-squared (ηp2) and interpreted as small (0.01), medium (0.06), or large (≥0.14) [51]. Cohen’s d was computed for between-group comparisons. Paired t-tests were used to assess within-group changes from pre- to post-intervention. Statistical significance was set at α = 0.05, with trends toward significance considered at p ≤ 0.10. All analyses were performed using Python 3.11 with statsmodels and scipy libraries.
5. Conclusions
This randomized controlled trial provides evidence that adding RMT to regular CrossFit practice improves both PIMAX and sport-specific performance in female athletes. These findings extend previous evidence from endurance and strength sports to mixed-modal, high-intensity functional training contexts. The results highlight RMT as a practical, low-cost, and time-efficient adjunct capable of enhancing ventilatory function and supporting performance in competitive or recreational CrossFit settings.
Supplementary Materials
The following supporting information can be downloaded at: https://www.mdpi.com/article/10.3390/physiologia5040039/s1, Table S1: Weekly training program for the CROSS and CROS + RMT groups.
Author Contributions
Conceptualization, C.J.B., J.A.A. and D.V.P.; methodology, C.J.B. and D.V.P.; software, D.V.P. and C.F.V.; formal analysis, C.J.B. and N.R.A.; investigation, C.J.B., J.A.A. and N.R.A.; resources, D.V.P. and O.T.N.; data curation, L.M.V.-S. and O.T.N.; writing—original draft preparation, C.J.B., B.M., N.R.A. and O.T.N.; writing—review and editing, D.V.P. and C.F.V.; supervision, C.J.B.; project administration, C.J.B. and D.V.P.; funding acquisition, C.D.d.S., O.T.N. and L.M.V.-S. All authors have read and agreed to the published version of the manuscript.
Funding
N.R.A. received a scholarship by Federal University of Juiz de Fora—“PBPG—Educação Física”, grant number #705.
Institutional Review Board Statement
The study was conducted in accordance with the Declaration of Helsinki and approved by the Ethics Committee of University of Minas Gerais State (protocol code 6.221.128 CAAE: 71453423.1.0000.5112 and date of 4 August 2023).
Informed Consent Statement
Informed consent was obtained from all subjects involved in the study.
Data Availability Statement
The database of this study is part of a larger project and may be used in another future analysis, so the authors will keep the data. However, the database will be made available immediately upon request.
Conflicts of Interest
Author Carlos Fuentes Veliz was employed by the company Doctor’s Choice. The remaining authors declare that the research was conducted in the absence of any commercial or financial relationships that could be construed as a potential conflict of interest.
Abbreviations
The following abbreviations are used in this manuscript:
| ALT | Alternate |
| AMRAP | As many rounds as possible |
| ANCOVA | Analysis of Covariance |
| BJ | Box jump |
| BOB | Burpee Over the Bar |
| BP | Burpee |
| BSU | Box step-up |
| Cal | Calories |
| CAAE | Ethical approval code |
| DB | Dumbbell |
| DL | Deadlift |
| DU | Double under |
| HC | Hang clean |
| HSPU | Handstand push-up |
| KTB | Kettlebell swing |
| MB | Medicine ball |
| PIMAX | Maximal inspiratory pressure |
| Mon | Monday |
| OHS | Overhead squat |
| PC | Power clean |
| PU | Pull-up |
| RC | Rope climb |
| REBEC | Brazilian clinical trials registry |
| RMT | Respiratory muscle training |
| SDHP | Sumo deadlift high pull |
| SNT | Snatch |
| SQ | Squat |
| TTB | Toes-to-bar |
| Tue | Tuesday |
| VO2max | Maximal oxygen uptake |
| WB | Wall ball |
| Wed | Wednesday |
| WOD | Workout of the day |
| WW | Wall walk |
| yrs | Years |
| ηp2 | Partial eta squared |
| cmH2O | Centimeters of water |
References
- Meyer, J.; Morrison, J.; Zuniga, J. The benefits and risks of CrossFit: A systematic review. Workplace Health Saf. 2017, 65, 612–618. [Google Scholar] [CrossRef]
- Schlegel, P. CrossFit® training strategies from the perspective of concurrent training: A systematic review. J. Sports Sci. Med. 2020, 19, 670. [Google Scholar] [PubMed]
- Jacob, N.; Novaes, J.S.; Behm, D.G.; Vieira, J.G.; Dias, M.R.; Vianna, J.M. Characterization of hormonal, metabolic, and inflammatory responses in CrossFit® training: A systematic review. Front. Physiol. 2020, 11, 1001. [Google Scholar] [CrossRef] [PubMed]
- Mangine, G.T.; Stratton, M.T.; Almeda, C.G.; Roberts, M.D.; Esmat, T.A.; VanDusseldorp, T.A.; Feito, Y. Physiological differences between advanced CrossFit athletes, recreational CrossFit participants, and physically-active adults. PLoS ONE 2020, 15, e0223548. [Google Scholar] [CrossRef] [PubMed]
- Oliver-López, A.; Vega-Díaz, M.; Sáenz, A.; González-García, H. Relationships Among Physical Self-Concept Profiles, Orthorexia Nervosa, and Exercise Addiction in Crossfitters. J. Clin. Sport Psychol. 2024, 1, 1–18. [Google Scholar] [CrossRef]
- Wagener, S.; Hoppe, M.W.; Hotfiel, T.; Engelhardt, M.; Javanmardi, S.; Baumgart, C.; Freiwald, J. CrossFit®–development, benefits and risks. Sports Orthop. Traumatol. 2020, 36, 241–249. [Google Scholar] [CrossRef]
- Aravena-Sagardia, P.; Barramuño-Medina, M.; Vásquez, B.P.; Pichinao Pichinao, S.; Sepúlveda, P.R.; Herrera-Valenzuela, T.; Hernandez-Martinez, J.; Levín-Catrilao, Á.; Villagrán-Silva, F.; Vásquez-Carrasco, E. Effects of a CrossFit Training Program on Body Composition and Physical Fitness in Novice and Advanced Practitioners: An Inter-Individual Analysis. Appl. Sci. 2025, 15, 3554. [Google Scholar] [CrossRef]
- Bellar, D.; Hatchett, A.; Judge, L.W.; Breaux, M.; Marcus, L. The relationship of aerobic capacity, anaerobic peak power and experience to performance in in CrossFit exercise. Biol. Sport 2015, 32, 315–320. [Google Scholar] [CrossRef]
- Escobar, K.A.; Morales, J.; Vandusseldorp, T.A. The Effect of a Moderately Low and High Carbohydrate Intake on Crossfit Performance. Int. J. Exerc. Sci. 2016, 9, 460–470. [Google Scholar] [CrossRef]
- Feito, Y.; Heinrich, K.M.; Butcher, S.J.; Poston, W.S.C. High-Intensity Functional Training (HIFT): Definition and Research Implications for Improved Fitness. Sports 2018, 6, 76. [Google Scholar] [CrossRef]
- Rios, M.; Becker, K.M.; Monteiro, A.S.; Fonseca, P.; Pyne, D.B.; Reis, V.M.; Moreira-Gonçalves, D.; Fernandes, R.J. Effect of the Fran CrossFit Workout on Oxygen Uptake Kinetics, Energetics, and Postexercise Muscle Function in Trained CrossFitters. Int. J. Sports Physiol. Perform. 2024, 19, 299–306. [Google Scholar] [CrossRef]
- Rios, M.; Zacca, R.; Azevedo, R.; Fonseca, P.; Pyne, D.B.; Reis, V.M.; Moreira-Gonçalves, D.; Fernandes, R.J. Bioenergetic Analysis and Fatigue Assessment During the Fran Workout in Experienced Crossfitters. Int. J. Sports Physiol. Perform. 2023, 18, 786–792. [Google Scholar] [CrossRef] [PubMed]
- Butcher, S.J.; Neyedly, T.J.; Horvey, K.J.; Benko, C.R. Do physiological measures predict selected CrossFit(®) benchmark performance? Open Access J. Sports Med. 2015, 6, 241–247. [Google Scholar] [CrossRef] [PubMed]
- Shaw, S.B.; Dullabh, M.; Forbes, G.; Brandkamp, J.-L.; Shaw, I. Analysis of physiological determinants during a single bout of Crossfit. Int. J. Perform. Anal. Sport 2015, 15, 809–815. [Google Scholar] [CrossRef]
- Gama, G.; Farinatti, P.; Rangel, M.V.d.S.; Mira, P.A.d.C.; Laterza, M.C.; Crisafulli, A.; Borges, J.P. Muscle metaboreflex adaptations to exercise training in health and disease. Eur. J. Appl. Physiol. 2021, 121, 2943–2955. [Google Scholar] [CrossRef]
- Gomes, F.; Lopes, T.; Silva, B. Dose-response relationship between muscle metaboreflex intensity and voluntary exercise intensity in regulating pulmonary ventilation and pulmonary gas exchange. Physiology 2025, 40, 0617. [Google Scholar] [CrossRef]
- Koizumi, J.; Ohya, T. Effects of high-intensity inspiratory muscle warm-up on inspiratory muscle strength and accessory inspiratory muscle activity. Resp. Physiol. Neurobiol. 2023, 313, 104069. [Google Scholar] [CrossRef]
- Sato, K.; Kamoda, T.; Sakamoto, R.; Katayama, K.; Neki, T.; Katayose, M.; Iwamoto, E. Effects of inspiratory muscle metaboreflex on cerebral circulation at rest and during light-intensity exercise in healthy males. Resp. Physiol. Neurobiol. 2025, 336, 104422. [Google Scholar] [CrossRef]
- Yamada, Y.; Hammert, W.B.; Kataoka, R.; Song, J.S.; Kang, A.; Kassiano, W.; Loenneke, J.P. The role of the muscle metaboreflex on cardiovascular responses to submaximal resistance exercise with different pressures and modes of blood flow restriction. Appl. Physiol. Nutr. Metab. 2025, 50, 1–9. [Google Scholar] [CrossRef]
- HajGhanbari, B.; Yamabayashi, C.; Buna, T.R.; Coelho, J.D.; Freedman, K.D.; Morton, T.A.; Palmer, S.A.; Toy, M.A.; Walsh, C.; Sheel, A.W. Effects of respiratory muscle training on performance in athletes: A systematic review with meta-analyses. J. Strength Cond. Res. 2013, 27, 1643–1663. [Google Scholar] [CrossRef]
- Shei, R.-J.; Paris, H.L.; Sogard, A.S.; Mickleborough, T.D. Time to move beyond a “one-size fits all” approach to inspiratory muscle training. Front. Physiol. 2022, 12, 2452. [Google Scholar] [CrossRef]
- Fabero-Garrido, R.; Del Corral, T.; Angulo-Díaz-Parreño, S.; Plaza-Manzano, G.; Martín-Casas, P.; Cleland, J.A.; Fernandez-de-Las-Penas, C.; López-de-Uralde-Villanueva, I. Respiratory muscle training improves exercise tolerance and respiratory muscle function/structure post-stroke at short term: A systematic review and meta-analysis. Ann. Phys. Rehabil. Med. 2022, 65, 101596. [Google Scholar] [CrossRef] [PubMed]
- Fernández-Lázaro, D.; Gallego-Gallego, D.; Corchete, L.A.; Fernández Zoppino, D.; González-Bernal, J.J.; García Gómez, B.; Mielgo-Ayuso, J. Inspiratory muscle training program using the powerbreath®: Does it have ergogenic potential for respiratory and/or athletic performance? a systematic review with meta-analysis. Int. J. Environ. Res. Public Health 2021, 18, 6703. [Google Scholar] [CrossRef] [PubMed]
- Grachan, J.; Essick, E.E. The effects of respiratory muscle resistance training on lactate threshold: A potential effort to prevent muscle fatigue during exercise. Bios 2019, 90, 263–268. [Google Scholar] [CrossRef]
- Xavier, D.M.; Miranda, J.P.d.; Figueiredo, P.H.S.; Lima, V.P. The effectiveness of respiratory muscular training in athletes: A systematic review and meta-analysis. J. Bodyw. Mov. Ther. 2025, 42, 777–792. [Google Scholar] [CrossRef]
- Kowalski, T.; Obmiński, Z.; Waleriańczyk, W.; Klusiewicz, A. The acute effect of respiratory muscle training on cortisol, testosterone, and testosterone-to-cortisol ratio in well-trained triathletes-exploratory study. Resp. Physiol. Neurobiol. 2025, 331, 104353. [Google Scholar] [CrossRef]
- Klusiewicz, A.; Dlugolecka, B.; Charmas, M. Characteristics of the respiratory muscle strength of women and men at different training levels. Pol. J. Sport Tourism 2014, 21, 82. [Google Scholar] [CrossRef]
- Ponce-García, T.; García-Romero, J.; Carrasco-Fernández, L.; Castillo-Domínguez, A.; Benítez-Porres, J. Sex differences in anaerobic performance in CrossFit® athletes: A comparison of three different all-out tests. PeerJ 2025, 13, e18930. [Google Scholar] [CrossRef]
- Jowsey, J.R.; Haff, G.G.; Comfort, P.; Ripley, N.J. Performance in Multi-Joint Force-Plate Assessments in Male and Female CrossFit® Athletes. Biomechanics 2025, 5, 35. [Google Scholar] [CrossRef]
- Rios, M.; Cardoso, R.; Reis, V.M.; Moreira-Gonçalves, D.; Pyne, D.B.; Fernandes, R.J. Sex-related differences in the acute physiological response to a high-intensity CrossFit® workout. Curr. Res. Physiol. 2025, 8, 100148. [Google Scholar] [CrossRef]
- Rios, M.; Becker, K.M.; Cardoso, F.; Pyne, D.B.; Reis, V.M.; Moreira-Gonçalves, D.; Fernandes, R.J. Assessment of Cardiorespiratory and Metabolic Contributions in an Extreme Intensity CrossFit® Benchmark Workout. Sensors 2024, 24, 513. [Google Scholar] [CrossRef]
- Oliver-López, A.; García-Valverde, A.; Sabido, R. Summary of the evidence on responses and adaptations derived from CrossFit training. A systematic review. Retos 2022, 46, 309–322. [Google Scholar] [CrossRef]
- Guenette, J.A.; Martens, A.M.; Lee, A.L.; Tyler, G.D.; Richards, J.C.; Foster, G.E.; Warburton, D.E.; Sheel, A.W. Variable effects of respiratory muscle training on cycle exercise performance in men and women. Appl. Physiol. Nutr. Metab. 2006, 31, 159–166. [Google Scholar] [CrossRef] [PubMed]
- Volianitis, S.; McConnell, A.K.; Koutedakis, Y.; McNaughton, L.R.; Backx, K.; Jones, D.A. Inspiratory muscle training improves rowing performance. Med. Sci. Sports Exerc. 2001, 33, 803–809. [Google Scholar] [CrossRef] [PubMed]
- Holm, P.; Sattler, A.; Fregosi, R.F. Endurance training of respiratory muscles improves cycling performance in fit young cyclists. BMC Physiol. 2004, 4, 9. [Google Scholar] [CrossRef] [PubMed]
- Al-Otaibi, H.M.; Sartor, F.; Kubis, H.-P. The influence of low resistance respiratory muscle training on pulmonary function and high intensity exercise performance. J. Exerc. Sci. Fit. 2024, 22, 179–186. [Google Scholar] [CrossRef]
- Salazar-Martínez, E. Breathing Pattern Response after 6 Weeks of Inspiratory Muscle Training during Exercise. Adv. Resp. Med. 2024, 92, 58–65. [Google Scholar] [CrossRef]
- Salazar-Martínez, E.; Gatterer, H.; Burtscher, M.; Naranjo Orellana, J.; Santalla, A. Influence of inspiratory muscle training on ventilatory efficiency and cycling performance in normoxia and hypoxia. Front. Physiol. 2017, 8, 133. [Google Scholar] [CrossRef]
- Akınoğlu, B.; Kocahan, T.; Özkan, T. The relationship between peripheral muscle strength and respiratory function and respiratory muscle strength in athletes. J. Exerc. Rehab 2019, 15, 44–49. [Google Scholar] [CrossRef]
- Tosun, M.I.; Demirkan, E.; Kaplan, A.; Ari Yilmaz, Y.; Eker Arici, I.; Favre, M.; Aslan, V.; Kutlu, M. Respiratory muscle training improves aerobic capacity and respiratory muscle strength in youth wrestlers. Front. Physiol. 2025, 16, 1492446. [Google Scholar] [CrossRef]
- Koç, M.; Saritas, N. The Effect of Respiratory Muscle Training on Aerobic and Anaerobic Strength in Adolescent Taekwondo Athletes. J. Edu. Train. Stud. 2019, 7, 103–110. [Google Scholar] [CrossRef]
- Hackett, D.A.; Sabag, A. Lung function and respiratory muscle strength and their relationship with weightlifting strength and body composition in non-athletic males. Respir. Physiol. Neurobiol. 2021, 286, 103616. [Google Scholar] [CrossRef]
- Jackson, A.S.; Pollock, M.L.; Ward, A. Generalized equations for predicting body density of women. Med. Sci. Sports Exerc. 1980, 12, 175–181. [Google Scholar] [CrossRef]
- Jiroumaru, T. Relationship between respiratory muscle strength and dynamic balance in older persons requiring care or support: Focusing on the maximal single step length test and maximal double step length test as dynamic balance indices. Gait Posture 2024, 109, 64–69. [Google Scholar] [CrossRef]
- Colak, G.Y.; Ozyurek, S.; Sengul, Y.S.; Kalemci, O. Differences of diaphragmatic muscle contraction between female patients with chronic neck pain and asymptomatic controls: A case-control study based on ultrasonography. Musculoskelet. Sci. Pract. 2024, 69, 102894. [Google Scholar] [CrossRef]
- Lista-Paz, A.; Langer, D.; Barral-Fernández, M.; Quintela-del-Río, A.; Gimeno-Santos, E.; Arbillaga-Etxarri, A.; Torres-Castro, R.; Casamitjana, J.V.; de la Fuente, A.B.V.; Veguillas, C.S. Maximal respiratory pressure reference equations in healthy adults and cut-off points for defining respiratory muscle weakness. Arch. Bronconeumol. 2023, 59, 813–820. [Google Scholar] [CrossRef] [PubMed]
- Hernandez, M.; Lee, P.J.; Yeap, S.B.; Ye, R.; Foote, M.R.; Busse, M.P.; Patel, M.S.; Dagan, M.R.; Snider, M.J.; Mohammed, M.M.N.; et al. The Reality of Randomized Controlled Trials for Assessing the Benefit of Proton Therapy: Critically Examining the Intent-to-Treat Principle in the Presence of Insurance Denial. Adv. Radiat. Oncol. 2020, 6, 100635. [Google Scholar] [CrossRef] [PubMed]
- Sales, A.T.d.N.; Fregonezi, G.A.d.F.; Ramsook, A.H.; Guenette, J.A.; Lima, I.N.D.; Reid, W.D. Respiratory muscle endurance after training in athletes and non-athletes: A systematic review and meta-analysis. Phys. Ther. Sport. 2016, 17, 76–86. [Google Scholar] [CrossRef] [PubMed]
- Beaumont, M.; Forget, P.; Couturaud, F.; Reychler, G. Effects of inspiratory muscle training in COPD patients: A systematic review and meta-analysis. Clin. Resp. J. 2018, 12, 2178–2188. [Google Scholar] [CrossRef]
- Laveneziana, P.; Albuquerque, A.; Aliverti, A.; Babb, T.; Barreiro, E.; Dres, M.; Dubé, B.-P.; Fauroux, B.; Gea, J.; Guenette, J.A. ERS statement on respiratory muscle testing at rest and during exercise. Eur. Respir. J. 2019, 53, 1801214. [Google Scholar] [CrossRef]
- Yagin, F.H.; Pinar, A.; de Sousa Fernandes, M.S. Statistical effect sizes in sports science. J. Exerc. Sci. Phys. Act. Rev. 2024, 2, 164–171. [Google Scholar] [CrossRef]
Disclaimer/Publisher’s Note: The statements, opinions and data contained in all publications are solely those of the individual author(s) and contributor(s) and not of MDPI and/or the editor(s). MDPI and/or the editor(s) disclaim responsibility for any injury to people or property resulting from any ideas, methods, instructions or products referred to in the content. |
© 2025 by the authors. Licensee MDPI, Basel, Switzerland. This article is an open access article distributed under the terms and conditions of the Creative Commons Attribution (CC BY) license (https://creativecommons.org/licenses/by/4.0/).



