nutrients-logo

Journal Browser

Journal Browser

Promotion of a Healthy Nutrition and an Active Lifestyle Across the Lifespan and in Different Settings

A special issue of Nutrients (ISSN 2072-6643). This special issue belongs to the section "Nutritional Policies and Education for Health Promotion".

Deadline for manuscript submissions: 5 June 2026 | Viewed by 110

Special Issue Editor


E-Mail Website
Guest Editor
Department of Community Medicine, Research Center in Preventive Medicine, Health Promotion and Sustainable Development, Iuliu Hatieganu University of Medicine and Pharmacy, Cluj-Napoca, Romania
Interests: health promotion across the lifespan; hygiene; nutrition education and policies, formal and informal education for health and well-being; community medicine; community engagement
Special Issues, Collections and Topics in MDPI journals

Special Issue Information

Dear Colleagues,

The promotion of a healthy nutrition and an active lifestyle acroos the lifespan is very important for appropriate growth and development as well as physical, mental, and social health and well-being. In order to achieve this, policies, measures, and programmes should target different population groups using different settings as an access point for them.

This Special Issue focuses on data gathering, developing, implementing, and evaluating different initiatives with regard to promotion of healthy nutrition and an active lifestyle across the lifespan.

This Special Issue is open to reviews and original research papers addressing themes such as:

  • Assessment of knowledge, attitudes, and behaviours related to nutrition, food safety and physical activity among different population groups;
  • Analyses of measures and policies which targets nutrition and physical activities in different countries;
  • Development, implementation and evaluation of educational programes which promotes healthy nutrition and physical activity in different settings;
  • Formal and informal education related to nutrition, physical activity and well-being among different population groups;
  • The use of creative and inspiring communication strategies to promote a healthy lifestyle in the digital era;

Creation of suportive environments which encourage and enable a healthy lifestyle.

Prof. Dr. Lucia Maria Lotrean
Guest Editor

Manuscript Submission Information

Manuscripts should be submitted online at www.mdpi.com by registering and logging in to this website. Once you are registered, click here to go to the submission form. Manuscripts can be submitted until the deadline. All submissions that pass pre-check are peer-reviewed. Accepted papers will be published continuously in the journal (as soon as accepted) and will be listed together on the special issue website. Research articles, review articles as well as short communications are invited. For planned papers, a title and short abstract (about 100 words) can be sent to the Editorial Office for announcement on this website.

Submitted manuscripts should not have been published previously, nor be under consideration for publication elsewhere (except conference proceedings papers). All manuscripts are thoroughly refereed through a single-blind peer-review process. A guide for authors and other relevant information for submission of manuscripts is available on the Instructions for Authors page. Nutrients is an international peer-reviewed open access semimonthly journal published by MDPI.

Please visit the Instructions for Authors page before submitting a manuscript. The Article Processing Charge (APC) for publication in this open access journal is 2900 CHF (Swiss Francs). Submitted papers should be well formatted and use good English. Authors may use MDPI's English editing service prior to publication or during author revisions.

Keywords

  • healthy nutrition
  • active lifestyle
  • educational programmes
  • health communication
  • nutrition policies

Benefits of Publishing in a Special Issue

  • Ease of navigation: Grouping papers by topic helps scholars navigate broad scope journals more efficiently.
  • Greater discoverability: Special Issues support the reach and impact of scientific research. Articles in Special Issues are more discoverable and cited more frequently.
  • Expansion of research network: Special Issues facilitate connections among authors, fostering scientific collaborations.
  • External promotion: Articles in Special Issues are often promoted through the journal's social media, increasing their visibility.
  • Reprint: MDPI Books provides the opportunity to republish successful Special Issues in book format, both online and in print.

Further information on MDPI's Special Issue policies can be found here.

Published Papers (1 paper)

Order results
Result details
Select all
Export citation of selected articles as:

Research

14 pages, 1152 KB  
Article
Age-Stratified Trends in Nutrition and Lifestyle Transitions in Korea: Findings from KNHANES 2013–2022
by Seongryu Bae and Hyuntae Park
Nutrients 2025, 17(20), 3282; https://doi.org/10.3390/nu17203282 (registering DOI) - 19 Oct 2025
Abstract
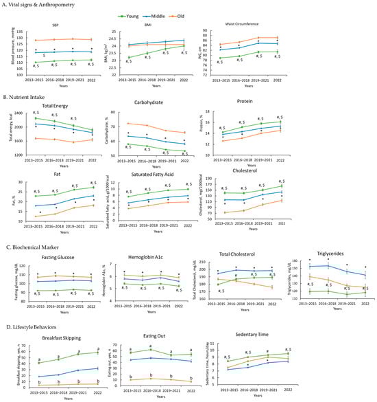
Background: Rapid aging and dietary Westernization in Korea have raised concerns about shifting nutrition and lifestyle patterns. Objectives: This study examined 10-year trends in nutrient intake, biochemical indicators, meal-related behaviors, and sedentary time among Korean adults, stratified by age group. Methods: Data [...] Read more.
Background: Rapid aging and dietary Westernization in Korea have raised concerns about shifting nutrition and lifestyle patterns. Objectives: This study examined 10-year trends in nutrient intake, biochemical indicators, meal-related behaviors, and sedentary time among Korean adults, stratified by age group. Methods: Data were drawn from the 6th–9th waves (2013–2022) of the Korea National Health and Nutrition Examination Survey (KNHANES) for a cross-sectional analysis, including 61,688 participants (18–39 years: 17,225; 40–64 years: 28,045; ≥65 years: 16,218). Survey-weighted linear and logistic regression analyses were used to test linear trends and between-period contrasts (2013–2015 vs. 2020–2022). Results: Total energy intake declined significantly from 2087 kcal in 2013–2015 to 1823 kcal in 2022 (p for trend < 0.001), accompanied by a decrease in carbohydrate share (62.8% to 58.3%, p < 0.001) and increases in protein (13.8% to 15.4%, p < 0.001) and fat (19.0% to 23.4%, p < 0.001). Saturated fat and cholesterol intake increased significantly, particularly among older adults (+50.9% and +46.4%, respectively; both p < 0.001). The proportion of breakfast skippers increased significantly, more than 35% in 2022 (p < 0.001). Conversely, the frequency of eating out decreased (p < 0.001), with a particularly pronounced decline during the COVID-19 period. Sedentary time steadily and significantly increased over the decade (p < 0.001). Conclusions: Over the past decade, Korean adults have shifted toward lower energy and carbohydrate intake, higher protein and fat consumption, and more sedentary lifestyles. Differences in vulnerability by age emphasize the need for personalized public health strategies: promoting protein intake and reducing sedentary time for older adults, while improving dietary patterns and managing weight for younger generations. Full article
Show Figures

Figure 1

Back to TopTop