Journal Description
Journal of Risk and Financial Management
Journal of Risk and Financial Management
is an international, peer-reviewed, open access journal on risk and financial management, published monthly online by MDPI.
- Open Access— free for readers, with article processing charges (APC) paid by authors or their institutions.
- High Visibility: indexed within Scopus, EconBiz, EconLit, RePEc, and other databases.
- Journal Rank: CiteScore - Q1 (Business, Management and Accounting (miscellaneous))
- Rapid Publication: manuscripts are peer-reviewed and a first decision is provided to authors approximately 20.5 days after submission; acceptance to publication is undertaken in 4.6 days (median values for papers published in this journal in the first half of 2025).
- Recognition of Reviewers: reviewers who provide timely, thorough peer-review reports receive vouchers entitling them to a discount on the APC of their next publication in any MDPI journal, in appreciation of the work done.
Latest Articles
The Feldstein–Horioka Puzzle, a Global Glut of Savings, and Omitted Variable Bias: 1970–2023
J. Risk Financial Manag. 2025, 18(12), 676; https://doi.org/10.3390/jrfm18120676 (registering DOI) - 27 Nov 2025
Abstract
Feldstein and Horioka in 1980 estimated (I/GDP)i = α + β(S/GDP)i where “i” is for a given country over time, “I” is domestic investment, and “S” is domestic savings. Feldstein and Horioka found βs that were insignificantly different from one and
[...] Read more.
Feldstein and Horioka in 1980 estimated (I/GDP)i = α + β(S/GDP)i where “i” is for a given country over time, “I” is domestic investment, and “S” is domestic savings. Feldstein and Horioka found βs that were insignificantly different from one and significantly different from zero. According to Feldstein and Horioka, these results conflict with an assumption of perfect capital mobility because, if capital were perfectly mobile, then β should be zero. We estimated (I/GDP)it = α + β(S/GDP)it using data from 22 countries from 1970 to 2023, where i denotes the country and t denotes the year. We found βs to be significantly less than 1 but greater than 0. We then used Reiterative Truncated Projected Least Squares, which was designed to solve the omitted variable problem (and helps a researcher visualize the effects of heteroscedasticity), to estimate a βit for every observation. We find that βit decreases for countries that export capital and increases for countries that import capital. We argue that the Feldstein-Horioka “puzzle” is based on a confusion—when the effect of both exporting and importing capital is considered, β should equal approximately one. Feldstein and Horioka focus on single countries, but when pairs of savings exporters and importers are considered, their “puzzle” disappears. However, the fact that βit is now much less than 1 and falling over time suggests that a global glut of savings is worsening.
Full article
(This article belongs to the Special Issue Advanced Studies in Empirical Macroeconomics and Finance)
►
Show Figures
Open AccessArticle
The Impact of AI-Integrated ESG Reporting on Firm Valuation in Emerging Markets: A Multimodal Analytical Approach
by
Michael Akinola Aruwaji and Matthys J. Swanepoel
J. Risk Financial Manag. 2025, 18(12), 675; https://doi.org/10.3390/jrfm18120675 (registering DOI) - 27 Nov 2025
Abstract
This study examines the impact of Artificial Intelligence (AI)-enhanced Environmental, Social, and Governance (ESG) reporting on firm valuation in emerging markets. It aims to explore how AI integration enhances the interpretability and predictive accuracy of ESG metrics in shaping market perceptions and investor
[...] Read more.
This study examines the impact of Artificial Intelligence (AI)-enhanced Environmental, Social, and Governance (ESG) reporting on firm valuation in emerging markets. It aims to explore how AI integration enhances the interpretability and predictive accuracy of ESG metrics in shaping market perceptions and investor decisions. This study employs a panel dataset from 2018 to 2024, analysing publicly listed non-financial firms across five major sectors: manufacturing, energy, telecommunications, consumer goods, and industrials. This study contributed by employing AI-powered multimodal analysis with conventional ESG scoring methods and integrating Fixed-Effects Regression with machine learning (ML) algorithms including Extreme Gradient Boosting (XGBoost) and Random Forest to identify complex, non-linear relationships within ESG data and firm valuation. The results show empirical evidence that integrating ML enhances the explanatory power of ESG data. Findings indicate that ESG performance is positively correlated with higher market valuations, particularly in Environmental and Social dimensions. Governance metrics are more inconsistent, which may be due to heterogeneity in governance practices, regulatory enforcement and the challenges of quantifying governance quality beyond compliance indicators across the focus emerging markets. Firms identified in ESG controversies tend to face valuation penalties, which stresses market sensitivity to reputational risks. ML algorithms outperform conventional techniques in predictive accuracy, revealing complex, non-linear interactions within ESG data. This study contributes to both the academic literature and practice showing how next-generation ESG reporting can robust valuation models, address limitations of conventional ESG scoring, and ensure a reliable outlook for investors and policymakers of industries in emerging markets.
Full article
(This article belongs to the Section Business and Entrepreneurship)
►▼
Show Figures

Figure 1
Open AccessArticle
Persisting Stickiness in Backwardation Among Major Agricultural Commodities
by
Peter Cincinelli, Ameeta Jaiswal-Dale and Giovanna Zanotti
J. Risk Financial Manag. 2025, 18(12), 674; https://doi.org/10.3390/jrfm18120674 (registering DOI) - 27 Nov 2025
Abstract
In this paper, we investigate the relationship between spot and futures contracts in the context of spot prices being higher than futures (backwardation). We focus on the persistence in stickiness during backwardation periods by covering major agricultural commodities (corn, oats, soybeans, soybean oil,
[...] Read more.
In this paper, we investigate the relationship between spot and futures contracts in the context of spot prices being higher than futures (backwardation). We focus on the persistence in stickiness during backwardation periods by covering major agricultural commodities (corn, oats, soybeans, soybean oil, wheat, and hard red wheat). The period of investigation, January 2000–August 2022, comprises many subperiods, including the pre-2008 global financial crisis, the global financial crisis, the single event of 2014, and the post-2014 stability and growth in world trade. We find the presence of price backwardation and its stickiness for corn and wheat, with the most significant determinants being convenience yield and interest risk.
Full article
(This article belongs to the Section Financial Markets)
►▼
Show Figures

Figure 1
Open AccessArticle
Unpacking Alpha in Innovation-Driven ETFs: A Comparative Study of Artificial Intelligence and Blockchain Funds
by
Davinder K. Malhotra
J. Risk Financial Manag. 2025, 18(12), 673; https://doi.org/10.3390/jrfm18120673 - 26 Nov 2025
Abstract
This paper evaluates the performance and portfolio role of Artificial Intelligence (AI) and Blockchain exchange-traded funds (ETFs) based on monthly returns from 2010 to 2025. The findings show that both AI and Blockchain ETFs generate positive alpha and high standalone returns but also
[...] Read more.
This paper evaluates the performance and portfolio role of Artificial Intelligence (AI) and Blockchain exchange-traded funds (ETFs) based on monthly returns from 2010 to 2025. The findings show that both AI and Blockchain ETFs generate positive alpha and high standalone returns but also display considerable drawdown risk. Their weak correlations with each other and with broad indices highlight diversification benefits, particularly when combined with U.S. benchmarks. Portfolio optimization reveals that Global Minimum Variance (GMV) and Tangency portfolios ascribe lower weights to these ETFs, while Risk Parity portfolios have a more balanced exposure, helping to diversify risks. Efficient frontier analysis highlights that the inclusion of AI and Blockchain ETFs improves the attainable risk–return profiles, even if they are not a dominant allocation. The findings stress that AI and Blockchain ETFs are suitable as satellite holdings. When applied judiciously, they offer the potential to improve diversification and risk-adjusted performance; however, concentrated bets subject investors to undue downside risks. Positioning portfolios around broad-based indices and overlaying modest thematic tilts emerges as a prudent approach to capturing innovation-driven upsides without compromising long-term portfolio resilience.
Full article
(This article belongs to the Special Issue Investment Data Science with Generative AI)
Open AccessArticle
The Determinants of Green Bond Issuance in Indonesia: An Analysis of Sustainable Financial Instruments
by
Endri Endri, Irwan Mangara Harahap and Anton Hindardjo
J. Risk Financial Manag. 2025, 18(12), 672; https://doi.org/10.3390/jrfm18120672 - 26 Nov 2025
Abstract
Green Bonds (GBs) have emerged as one of the most prominent innovations in sustainable finance instruments in recent times, necessitating an understanding of the factors determining their issuance. However, empirical literature on the factors driving GB issuance in Indonesia is limited. This study
[...] Read more.
Green Bonds (GBs) have emerged as one of the most prominent innovations in sustainable finance instruments in recent times, necessitating an understanding of the factors determining their issuance. However, empirical literature on the factors driving GB issuance in Indonesia is limited. This study aims to investigate the impact of bond characteristics and macroeconomic factors on Government and Corporate Bond issuance from 2018 to 2023 using a random-effects panel regression model. The results confirm that all factors, except economic growth, have a significant effect on GB issuance; however, the impact of some factors differs between government-issued GBs and corporate-issued GBs. Among them, the green stock market and exchange rate have a positive effect on Corporate GB issuance, but the opposite is true for Government GB issuance. Furthermore, increases in interest rates and coupon rates encourage more government GB issuance but have the opposite effect on Corporate GB issuance. Our results contribute to the literature on sustainable finance, providing policymakers, issuers, and investors with valuable practical insights to encourage the development of the green bond market.
Full article
(This article belongs to the Topic Sustainable and Green Finance)
Open AccessArticle
Predictors of Digital Fraud: Evidence from Thailand
by
Tanpat Kraiwanit, Pongsakorn Limna, Rattaphong Sonsuphap and Veraphong Chutipat
J. Risk Financial Manag. 2025, 18(12), 671; https://doi.org/10.3390/jrfm18120671 - 26 Nov 2025
Abstract
This study examined the complex interplay of demographic characteristics, behavioral patterns, and technological factors that contribute to digital fraud victimization within the context of a developing economy, focusing specifically on Thailand. Utilizing data collected from 1200 respondents and applying binary logistic regression analysis,
[...] Read more.
This study examined the complex interplay of demographic characteristics, behavioral patterns, and technological factors that contribute to digital fraud victimization within the context of a developing economy, focusing specifically on Thailand. Utilizing data collected from 1200 respondents and applying binary logistic regression analysis, the research identified key predictors of fraud exposure, including age, income, student status, use of portable devices, and social media engagement. A paradoxical finding emerged: stronger perceived digital security was associated with higher fraud risk, indicating that overconfidence in platform safeguards may unintentionally increase vulnerability. Interestingly, users’ perceptions of digital security—such as confidence in identity verification and password protocols—were positively associated with fraud victimization, indicating potential cognitive biases and overconfidence in digital environments. The findings revealed a high prevalence of fraud experiences among participants, highlighting the gap between perceived and actual digital safety. These results emphasized the urgent need for user-centered fraud prevention measures, enhanced digital literacy, and targeted public awareness campaigns. The study contributes to the broader understanding of cybersecurity challenges in emerging markets and offers policy-relevant insights for strengthening digital financial resilience.
Full article
(This article belongs to the Section Risk)
►▼
Show Figures

Figure 1
Open AccessArticle
PCA-Based Investor Attention Index and Its Impact on the KSE-100 Excess Returns
by
Eleftherios Thalassinos, Samina Parveen, Riffat Mughal, Hassan Zada and Shakeel Ahmed
J. Risk Financial Manag. 2025, 18(12), 670; https://doi.org/10.3390/jrfm18120670 - 25 Nov 2025
Abstract
The study employs principal component analysis (PCA) to construct an investor attention index derived from seven key variables: abnormal trading volume, extreme returns, past returns, nearness to the 52-week high, nearness to the historical high, Google search volume, and mutual fund inflows. Subsequently,
[...] Read more.
The study employs principal component analysis (PCA) to construct an investor attention index derived from seven key variables: abnormal trading volume, extreme returns, past returns, nearness to the 52-week high, nearness to the historical high, Google search volume, and mutual fund inflows. Subsequently, the research examines the impact of the investor attention index on the KSE-100 index excess returns. The analysis covers monthly data from January 2004 to December 2024. The PCA identified four components and constructed attention indices: has highest weights of nearness to the 52-week high, abnormal trading volume, past returns, and mutual funds inflows; has major weights of abnormal trading volume, extreme returns, past returns, and Google search volume; has nearness to the 52-week high, nearness to the historical high, extreme returns, and mutual funds inflows; and has nearness to the historical high, extreme returns, Google search volume, and mutual funds inflows. The and have a positive and significant impact on the excess returns of the KSE-100 index. This suggests that when investors are more motivated to invest, herding behavior increases, leading to improved index performance and higher returns. Subsequently, has a negative but significant impact on index returns, indicating that a lack of investor interest leads to reduced trading activity and weaker index performance. The findings of this study have important implications for policymakers, investors, and mutual fund managers to understand the patterns of investor attention, creating policies and procedures to make the financial markets more transparent and protect the investor’s rights.
Full article
(This article belongs to the Special Issue Financial Synergy: Driving Innovation at the Intersection of Business, Technology, Education, and Economic Sustainability)
►▼
Show Figures

Figure 1
Open AccessArticle
Does Litigation Risk Affect Meeting-or-Beating Earnings Expectations? Evidence from Quasi-Natural Experiment
by
Junwoo Kim and Jason Shin
J. Risk Financial Manag. 2025, 18(12), 669; https://doi.org/10.3390/jrfm18120669 - 25 Nov 2025
Abstract
This paper examines the impact of litigation risk on meeting-or-beating earnings expectations (MBE). Whether and how litigation risk affects MBE is largely inconclusive due to potential reverse causality and measurement error. To find a causal effect, this study employs differences-in-differences tests based on
[...] Read more.
This paper examines the impact of litigation risk on meeting-or-beating earnings expectations (MBE). Whether and how litigation risk affects MBE is largely inconclusive due to potential reverse causality and measurement error. To find a causal effect, this study employs differences-in-differences tests based on the unanticipated legal event that decreased litigation risk for firms headquartered in the U.S. Ninth Circuit states. The result indicates that Ninth Circuit firms are more likely to meet or beat their earnings target after the ruling, suggesting that litigation risk negatively affects the likelihood of MBE. Further analyses show that investors’ reactions are less positive to MBE premium for firms with a decrease in litigation risk. Taken together, this study contributes to the literature by documenting that litigation risk is a significant factor influencing managers’ benchmark beating behavior.
Full article
(This article belongs to the Special Issue Financial Reporting Quality and Capital Markets Efficiency)
Open AccessArticle
Construction of an Optimal Portfolio of Gold, Bonds, Stocks and Bitcoin: An Indonesian Case Study
by
Vera Mita Nia, Hermanto Siregar, Roy Sembel and Nimmi Zulbainarni
J. Risk Financial Manag. 2025, 18(12), 668; https://doi.org/10.3390/jrfm18120668 - 25 Nov 2025
Abstract
This study explores how surprise shocks in Indonesia’s macroeconomic environment—specifically interest rates, inflation, and exchange rates—affect the returns and volatility of key financial assets, including gold, Bitcoin (BTC), stocks (JKSE), and government bonds. Utilizing the EGARCH(1,1) model, this research demonstrates that gold exhibits
[...] Read more.
This study explores how surprise shocks in Indonesia’s macroeconomic environment—specifically interest rates, inflation, and exchange rates—affect the returns and volatility of key financial assets, including gold, Bitcoin (BTC), stocks (JKSE), and government bonds. Utilizing the EGARCH(1,1) model, this research demonstrates that gold exhibits enduring resilience as a safe-haven during periods of rising inflation and interest rate fluctuations. In contrast, Bitcoin is marked by pronounced speculative dynamics, showing persistent, asymmetric, and extreme volatility, yet delivering attractive gains when market conditions are strong. The findings indicate that stocks and bonds are particularly susceptible to changes in macroeconomic variables, thereby illustrating the vulnerabilities typical of emerging markets. Through portfolio optimization employing the Mean-Variance approach, gold dominates the optimal asset allocation, while Bitcoin provides notable diversification benefits. The results of backtesting using the Kupiec and Basel Traffic Light procedures confirm that GARCH-family risk estimations are robust and meet international regulatory standards. Furthermore, analysis of the Sharpe ratio and cumulative returns reveals that Mean-Variance portfolios consistently outperform equally weighted alternatives by delivering higher risk-adjusted returns and lower overall volatility. By integrating advanced econometric methods with real-world macroeconomic shocks in an Indonesian context, this research offers practical insights for both investors and policymakers addressing asset allocation under uncertainty, while laying the groundwork for future work involving broader asset universes and sophisticated modeling techniques.
Full article
(This article belongs to the Section Economics and Finance)
►▼
Show Figures

Figure 1
Open AccessArticle
Board Tenure and Specific Skills as Determinants of ESG Reporting: Evidence from ASEAN Listed Companies
by
Bella and Arie Pratama
J. Risk Financial Manag. 2025, 18(12), 667; https://doi.org/10.3390/jrfm18120667 - 25 Nov 2025
Abstract
This study investigates the influence of board characteristics—specifically board tenure and board-specific skills—on the quality of ESG reporting among listed firms in five ASEAN countries (Indonesia, Malaysia, Singapore, Thailand, and the Philippines) from 2021 to 2023. Using panel data of 609 firms (1827
[...] Read more.
This study investigates the influence of board characteristics—specifically board tenure and board-specific skills—on the quality of ESG reporting among listed firms in five ASEAN countries (Indonesia, Malaysia, Singapore, Thailand, and the Philippines) from 2021 to 2023. Using panel data of 609 firms (1827 firm-year observations) obtained from Refinitiv Eikon, ESG reporting is measured through the reporting score, while board tenure is proxied by the average years of directors’ service and board-specific skills by the proportion of directors with financial or industry expertise. The analysis employs fixed-effects regression with firm-level clustered standard errors to account for unobserved heterogeneity and robust inference. The findings reveal that board tenure has no significant effect on ESG reporting, suggesting that accumulated experience does not necessarily enhance disclosure. In contrast, board-specific skills exhibit a positive and significant impact, highlighting the importance of technical competence in driving transparency. Control variables show that firm age contributes positively to ESG disclosure, while robustness checks confirm the stability of results across alternative specifications and clustering dimensions. Sub-sample country analyses further indicate institutional variations, with board expertise mattering more in Singapore and Indonesia, and firm age in Malaysia, Thailand, and the Philippines. The study offers theoretical and policy implications for strengthening governance reforms and advancing ESG transparency in emerging markets.
Full article
(This article belongs to the Section Sustainability and Finance)
Open AccessArticle
Impact of Environmental, Social, and Governance Parameters on Financial Performance of Firms: A Cross-Country Analysis
by
Souvik Banerjee, Amarnath Mitra and Shalini Aggarwal
J. Risk Financial Manag. 2025, 18(12), 666; https://doi.org/10.3390/jrfm18120666 - 25 Nov 2025
Abstract
The investor community has emphasized the role of firms’ environmental, social, and governance (ESG) practices in the last few years. The present study is motivated by existing studies that have not provided conclusive evidence on the relationship between a firm’s ESG practices and
[...] Read more.
The investor community has emphasized the role of firms’ environmental, social, and governance (ESG) practices in the last few years. The present study is motivated by existing studies that have not provided conclusive evidence on the relationship between a firm’s ESG practices and financial performance and whether a country’s economic development status influences this relationship. This study used data from 1917 non-financial firms across the top 13 countries over 10 years to investigate. The results conclusively indicate that the ESG score, by and large, positively impacts firms’ financial performance. The further examination of the results shows that while the impact is positive in the context of developed countries, in the case of firms from emerging economies such as China and India, the ESG score does not impact their financial performance, indicating that for emerging economies, growth takes precedence over ESG concerns. Overall, this study concludes that a country’s economic development status does influence the relationship between a firm’s ESG practices and financial performance.
Full article
(This article belongs to the Special Issue Corporate Sustainability and Firm Performance: Models, Practices and Policy Perspective)
Open AccessArticle
Capital Structure in French Family Firms After COVID-19: A Pecking Order Reassessment
by
Faten Chibani and Jamel Eddine Henchiri
J. Risk Financial Manag. 2025, 18(12), 665; https://doi.org/10.3390/jrfm18120665 - 23 Nov 2025
Abstract
We examine how firms finance deficits when cash is tight, focusing on French private family firms and the COVID-19 period. In an under-studied, bank-based setting (France, 2003–2024), we reassess whether pecking-order behavior is stronger under family control and whether the gap with non-family
[...] Read more.
We examine how firms finance deficits when cash is tight, focusing on French private family firms and the COVID-19 period. In an under-studied, bank-based setting (France, 2003–2024), we reassess whether pecking-order behavior is stronger under family control and whether the gap with non-family firms widened after 2020. We find that family firms consistently use debt to bridge shortfalls, whereas comparable non-family firms rely less on new borrowing; this difference increases post-COVID, in line with policy-driven easing of bank credit and the importance of relationship lending. The amplification is stronger in credit-intensive sectors and for firms with deeper bank ties. The results, presented without strong causal claims, connect control preservation and intermediation to marginal financing choices and highlight a policy trade-off between short-run stabilization and later deleveraging.
Full article
(This article belongs to the Section Business and Entrepreneurship)
Open AccessArticle
ChatGPT as a Financial Advisor: A Re-Examination
by
Minh Tam Tammy Schlosky and Sterling Raskie
J. Risk Financial Manag. 2025, 18(12), 664; https://doi.org/10.3390/jrfm18120664 - 23 Nov 2025
Abstract
Building on prior research, we revisited the 21 personal finance scenarios using OpenAI’s newer ChatGPT-4o to observe whether its financial guidance has meaningfully evolved. Our qualitative analysis relied on expert assessments to examine both the content and tone of the model’s advice, considering
[...] Read more.
Building on prior research, we revisited the 21 personal finance scenarios using OpenAI’s newer ChatGPT-4o to observe whether its financial guidance has meaningfully evolved. Our qualitative analysis relied on expert assessments to examine both the content and tone of the model’s advice, considering how prompt engineering influenced ChatGPT outputs. We observed that ChatGPT-4o often produced more thorough suggestions and paid closer attention to tax implications—though it still overlooked some important details. It also showed more creative thinking in certain situations. However, some of the same shortcomings persisted: Generalizations remained too broad with respect to certain topics, legal references were occasionally misleading, and emotional empathy continued to feel artificial, even with carefully crafted prompts. We also extended our analysis to the newest ChatGPT model (ChatGPT-5). We found that the recommendations generated by ChatGPT-5 were quite similar to those generated by ChatGPT-4o, but the accuracy in the numerical problems was better under ChatGPT-5. While not a replacement for financial professionals, ChatGPT appears to be maturing into a more useful supporting tool for both advisors and clients. Our findings not only suggest cautious optimism but also underscore the need for careful oversight when using such tools in personal financial decision-making.
Full article
(This article belongs to the Special Issue Investment Data Science with Generative AI)
►▼
Show Figures

Figure 1
Open AccessArticle
How Do Stock Returns Respond to a Currency Devaluation Announcement?
by
Wael Ahmed Elgharib, Mahmoud Elmarzouky and Doaa Shohaieb
J. Risk Financial Manag. 2025, 18(12), 663; https://doi.org/10.3390/jrfm18120663 - 22 Nov 2025
Abstract
This study investigates how the Egyptian stock market responded to the 2024 devaluation of the Egyptian Pound (EGP) and evaluates whether price adjustments reflect semi-strong form market efficiency. Using daily data for EGX30 firms, we estimate abnormal returns around the devaluation announcement and
[...] Read more.
This study investigates how the Egyptian stock market responded to the 2024 devaluation of the Egyptian Pound (EGP) and evaluates whether price adjustments reflect semi-strong form market efficiency. Using daily data for EGX30 firms, we estimate abnormal returns around the devaluation announcement and document largely insignificant market-wide reactions, indicating weak evidence of semi-strong efficiency. However, notable cross-firm heterogeneity emerges export-oriented and foreign-revenue-generating firms showed greater resilience, while companies dependent on imported inputs experienced sharper declines. These findings highlight how differences in currency exposure shape firms’ sensitivity to exchange rate shocks in emerging markets with recent dual-rate dynamics. From a practical perspective, the results emphasise the importance of transparent policy communication during major currency adjustments and underline the need for investors to account for firms’ FX risk profiles when constructing portfolios in devaluation-prone environments. The findings also offer insights for regulators seeking to strengthen disclosure practices and improve informational efficiency in the Egyptian capital market.
Full article
(This article belongs to the Section Sustainability and Finance)
►▼
Show Figures

Figure 1
Open AccessArticle
A Two-Stage Machine Learning Approach to Bankruptcy Prediction: Integrating Full-Feature Modeling and Optimized Feature Selection
by
Masanobu Matsumaru and Hideki Katagiri
J. Risk Financial Manag. 2025, 18(12), 662; https://doi.org/10.3390/jrfm18120662 - 22 Nov 2025
Abstract
Corporate bankruptcy prediction has become increasingly critical amid economic uncertainty. This study proposes a novel two-stage machine learning approach to enhance bankruptcy prediction accuracy, applied to Tokyo Stock Exchange-listed companies. First, models were trained using 173 financial indicators. Second, a wrapper-based feature selection
[...] Read more.
Corporate bankruptcy prediction has become increasingly critical amid economic uncertainty. This study proposes a novel two-stage machine learning approach to enhance bankruptcy prediction accuracy, applied to Tokyo Stock Exchange-listed companies. First, models were trained using 173 financial indicators. Second, a wrapper-based feature selection process was employed to reduce dimensionality and eliminate noise, thereby identifying an optimal seven-feature set. Two ensemble learning methods, Random Forest and Light Gradient Boosting Machine (LightGBM), were used. Random Forest correctly predicted 566 bankruptcies using the reduced feature set (88 more than when using all features) compared with 451 by LightGBM (31 more than when using all features). LightGBM is a gradient boosting–based ensemble learning method that employs a leaf-wise tree growth strategy, enabling fast computation and high predictive accuracy, especially in large-scale and high-dimensional datasets. The study also addresses challenges posed by imbalanced data by employing resampling techniques (SMOTE, SMOTE-ENN, and KMeans). Additionally, the need for industry-specific modeling is recognized by constructing models for the six industry sectors. These findings highlight the importance of feature selection and ensemble learning for improving model generalizability and uncovering industry-specific patterns. This study contributes to the field of bankruptcy prediction by providing a robust framework for accurate and interpretable predictions for both academic research and practical applications. Future work will focus on further enhancing prediction accuracy to identify more potential bankruptcies.
Full article
(This article belongs to the Section Financial Technology and Innovation)
►▼
Show Figures

Figure 1
Open AccessArticle
Balancing Carbon and Profitability in Aviation: A Risk and Policy Perspective
by
Namryoung Lee and Jiyong Lee
J. Risk Financial Manag. 2025, 18(12), 661; https://doi.org/10.3390/jrfm18120661 - 22 Nov 2025
Abstract
This study examines the intricate relationship between carbon emissions and sustainable financial performance in the global airline industry, a sector increasingly scrutinized for its environmental impact. Building upon the win–win hypothesis, trade-off theory, and emerging perspectives on non-linear environmental–financial linkages, this study explores
[...] Read more.
This study examines the intricate relationship between carbon emissions and sustainable financial performance in the global airline industry, a sector increasingly scrutinized for its environmental impact. Building upon the win–win hypothesis, trade-off theory, and emerging perspectives on non-linear environmental–financial linkages, this study explores how firm profitability is influenced not only by emission intensity but also by contextual factors such as temperature anomalies and the adoption of Sustainable Aviation Fuel (SAF). Using panel data from 29 major airlines headquartered across seven global regions, the analysis reveals a curvilinear relationship: while increased emissions are initially linked to higher profitability, likely reflecting operational scale, excessive emissions may diminish financial returns. The findings also underscore the moderating role of temperature anomalies, which can intensify both the initial benefits and the subsequent costs of emissions. Furthermore, the adoption of SAF appears to mitigate the financial risks of emissions under heightened climate-related pressure. Although initially costly and negatively associated with profitability, SAF investment shows potential long-term benefits, suggesting a non-linear payoff structure. Overall, the findings suggest that firms in carbon-intensive industries must carefully calibrate environmental strategies and investments to achieve long-term financial resilience. The study offers new insight into how internal decisions and external pressures jointly shape the emissions–performance dynamic.
Full article
(This article belongs to the Section Business and Entrepreneurship)
Open AccessArticle
News vs. Social Media: Sentiment Impact on Stock Performance of Big Tech Companies
by
Hyunsun Kim-Hahm, Ahmed S. Abou-Zaid and Abidalrahman Mohd
J. Risk Financial Manag. 2025, 18(12), 660; https://doi.org/10.3390/jrfm18120660 - 22 Nov 2025
Abstract
With the growing prominence of large technology firms and the shift in news dissemination driven by social media, scholars have increasingly examined how public discourse about these companies shapes financial markets. Focusing on Apple, Amazon, and Microsoft during the transitional period of January
[...] Read more.
With the growing prominence of large technology firms and the shift in news dissemination driven by social media, scholars have increasingly examined how public discourse about these companies shapes financial markets. Focusing on Apple, Amazon, and Microsoft during the transitional period of January 2015–January 2020, this study evaluates attention and sentiment across traditional news media, social media, and web search in relation to stock market outcomes. We use relatively fine-grained weekly data to link media attention and sentiment to stock returns, volatility, and trading volume. To compare media sentiment across sources, we apply FinBERT-based sentiment analysis, drawing on advances in domain-specific language modeling tailored to financial texts. Results show that social media sentiment (Twitter), exerts a consistently positive and significant influence, while the effects of traditional news media (New York Times) and web search activity (Google Trends) are more irregular. The impact also varies across firms: Twitter sentiment is strongly related to trading volume and volatility for Amazon and Microsoft, but appears less influential for Apple, whose large trading base may dilute the effect. These findings offer a historical baseline for media–finance interactions and highlight how text analysis illuminates the pre-COVID era of big technology firms.
Full article
(This article belongs to the Section Financial Markets)
►▼
Show Figures

Figure 1
Open AccessArticle
Bayesian Estimation of Extreme Quantiles and the Distribution of Exceedances for Measuring Tail Risk
by
Douglas E. Johnston
J. Risk Financial Manag. 2025, 18(12), 659; https://doi.org/10.3390/jrfm18120659 - 21 Nov 2025
Abstract
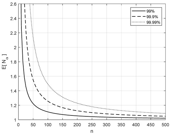
Estimating extreme quantiles and the number of future exceedances is an important task in financial risk management. More important than estimating the quantile itself is to insure zero coverage error, which implies the quantile estimate should, on average, reflect the desired probability of
[...] Read more.
Estimating extreme quantiles and the number of future exceedances is an important task in financial risk management. More important than estimating the quantile itself is to insure zero coverage error, which implies the quantile estimate should, on average, reflect the desired probability of exceedance. In this research, we show that for unconditional distributions isomorphic to the exponential, a Bayesian quantile estimate results in zero coverage error. This compares to the traditional maximum likelihood method, where the coverage error can be significant under small sample sizes even though the quantile estimate is unbiased. More generally, we prove a sufficient condition for an unbiased quantile estimator to result in coverage error and we show our result holds by virtue of using a Jeffreys prior for the unknown parameters and is independent of the true prior. We derive a new, predictive distribution, and the moments, for the number of quantile exceedances, and highlight its superior performance. We extend our results to the conditional tail of distributions with asymptotic Paretian tails and, in particular, those in the Fréchet maximum domain of attraction which are typically encountered in finance. We illustrate our results using simulations for a variety of light and heavy-tailed distributions.
Full article
(This article belongs to the Special Issue Tail Risk and Quantile Methods in Financial Econometrics)
►▼
Show Figures

Figure 1
Open AccessArticle
The Rise of the Chaebol: A Bibliometric Analysis of Business Groups in South Korea
by
Artur F. Tomeczek
J. Risk Financial Manag. 2025, 18(11), 658; https://doi.org/10.3390/jrfm18110658 - 20 Nov 2025
Abstract
South Korea has become one of the most important economies in Asia. The largest Korean multinational firms are affiliated with influential family-owned business groups known as the chaebol. Despite the surging academic popularity of the chaebol, there is a considerable knowledge gap in
[...] Read more.
South Korea has become one of the most important economies in Asia. The largest Korean multinational firms are affiliated with influential family-owned business groups known as the chaebol. Despite the surging academic popularity of the chaebol, there is a considerable knowledge gap in the bibliometric analysis of business groups in Korea. In an attempt to fill this gap, the article aims to provide a systematic review of the chaebol and the role that business groups have played in the economy of Korea. Three distinct bibliometric networks are analyzed, namely the scientific collaboration network, bibliographic coupling network, and keyword co-occurrence network.
Full article
(This article belongs to the Special Issue Economic and Financial Institutions: Their Development and Performance Throughout History)
►▼
Show Figures

Figure 1
Open AccessArticle
Normalizing Pandemic Data for Credit Scoring
by
Joseph L. Breeden
J. Risk Financial Manag. 2025, 18(11), 657; https://doi.org/10.3390/jrfm18110657 - 20 Nov 2025
Abstract
The COVID-19 pandemic created abnormal credit risk conditions that did not align well with pre-2020 credit scores. Since the pandemic, most organizations have either excluded the period 2020–2021 from their modeling or included it without adjustment, leaving it as noise in the data.
[...] Read more.
The COVID-19 pandemic created abnormal credit risk conditions that did not align well with pre-2020 credit scores. Since the pandemic, most organizations have either excluded the period 2020–2021 from their modeling or included it without adjustment, leaving it as noise in the data. Model validators and examiners have been divided about requiring one of these approaches or defaulting to model developer judgment. None of this is ideal from a model development perspective. This paper presents a unique technical solution that allows for the inclusion of pandemic data while constructing credit scores and actually produces scores that perform better and have long-term stability across the entire economic cycle. This result negates the common belief that credit scores must be frequently rebuilt in order to maintain rank order accuracy. This analysis uses lifecycle and environment outputs from an Age-Period-Cohort analysis as fixed offsets to credit score development. Panel data is used, so the credit score is developed with a discrete time survival model approach. Logistic regression and stochastic gradient boosted regression trees were tested as estimators with the panel data and APC inputs.
Full article
(This article belongs to the Special Issue AI and Machine Learning for Credit Risk and Financial Distress Prediction)
►▼
Show Figures

Figure 1
Highly Accessed Articles
Latest Books
E-Mail Alert
News
Topics
Topic in
Clean Technol., Economies, FinTech, JRFM, Sustainability
Green Technology Innovation and Economic Growth
Topic Editors: David (Xuefeng) Shao, Miaomiao Tao, Selena ShengDeadline: 31 December 2025
Topic in
Economies, IJFS, JRFM, Risks, Sustainability
Insurance and Risk Management Advances in the 4A Era—AI, Aging, Abruptions, and Adoptions
Topic Editors: Xiaojun Shi, Lingyan Suo, Feng Gao, Baorui DuDeadline: 30 May 2026
Topic in
Economies, JRFM, Risks, Sustainability
The Future of Global Finance and Business: Trends, Policies and Market Evolution
Topic Editors: John Malindretos, Giuliana Andreopoulos, Eleftherios I. Thalassinos, Ana Cristina SiqueiraDeadline: 31 July 2026
Topic in
Economies, IJFS, Sustainability, Businesses, JRFM
Sustainable and Green Finance
Topic Editors: Otilia Manta, Maria PalazzoDeadline: 31 October 2026
Conferences
Special Issues
Special Issue in
JRFM
Fintech, Digital Finance, and Socio-Cultural Factors
Guest Editors: Mandella Osei-Assibey Bonsu, Yongsheng GuoDeadline: 30 November 2025
Special Issue in
JRFM
Featured Papers in Climate Finance
Guest Editors: Christopher Gan, Linh HoDeadline: 30 November 2025
Special Issue in
JRFM
The Role of AI in Elevating Accounting and Financial Reporting Quality
Guest Editors: Hany Elbardan, Hassan Yazdifar, Moataz Elmassri, Mayada Abd El Aziz YoussefDeadline: 30 November 2025
Special Issue in
JRFM
Lending, Credit Risk and Financial Management
Guest Editor: Xiaolu HuDeadline: 30 November 2025
Topical Collections
Topical Collection in
JRFM
Quantitative Advances and Risks in Asian Financial Markets
Collection Editors: Svetlozar (Zari) Rachev, Shigeyuki Hamori, Yasushi Hamao, Shuangzhe Liu, Ali Jaffri



