Next Article in Journal
On Some Inequalities with Higher Fractional Orders
Previous Article in Journal
Real-Time Efficiency Prediction in Nonlinear Fractional-Order Systems via Multimodal Fusion
 
 
Font Type:
Arial Georgia Verdana
Font Size:
Aa Aa Aa
Line Spacing:
Column Width:
Background:
Article

Dynamic Analysis of a Fractional-Order SINPR Rumor Propagation Model with Emotional Mechanisms

by
Yuze Li
1,
Ying Liu
1,2,* and
Jianke Zhang
3
1
Center for Image and Information Processing, Xi’an University of Posts and Telecommunications, Xi’an 710121, China
2
International Joint Research Center for Wireless Communication and Information Processing, Xi’an University of Posts and Telecommunications, Xi’an 710121, China
3
School of Science, Xi’an University of Posts and Telecommunications, Xi’an 710121, China
*
Author to whom correspondence should be addressed.
Fractal Fract. 2025, 9(8), 546; https://doi.org/10.3390/fractalfract9080546
Submission received: 13 July 2025 / Revised: 11 August 2025 / Accepted: 16 August 2025 / Published: 19 August 2025

Abstract

The inherent randomness and concealment of rumors in social networks exacerbate their spread, leading to significant societal instability. To explore the mechanisms of rumor propagation for more effective control and mitigation of harm, we propose a novel fractional-order Susceptible-Infected-Negative-Positive-Removed (SINPR) rumor propagation model, which simultaneously incorporates emotional mechanisms by distinguishing between positive and negative emotion spreaders, as well as memory effects through fractional-order derivatives. The proposed model extends traditional frameworks by jointly capturing the bidirectional influence of emotions and the anomalous, history-dependent dynamics often overlooked by integer-order models. First, we calculate the equilibrium points and thresholds of the model, and analyze the stability of the equilibrium, along with the sensitivity and transcritical bifurcation associated with the basic reproduction number. Next, we validate the theoretical results through numerical simulations and analyze the individual effects of fractional-order derivatives and emotional mechanisms. Finally, we predict the rumor propagation process using real datasets. Comparative experiments with other models demonstrate that the fractional-order SINPR model achieves R-squared values of 0.9712 and 0.9801 on two different real datasets, underscoring its effectiveness in predicting trends in rumor propagation.

1. Introduction

Rumors [1] are unverified pieces of information or statements that circulate, often emerging in uncertain environments driven by emotional factors. Each piece of information not only reflects individual thoughts but is also significantly influenced by emotions, particularly during heightened anxiety and panic [2,3,4]. This emotional influence is vital for understanding the dynamic changes in rumor propagation, as it significantly affects how individuals perceive and share information. With the rise of internet accessibility and the increasing number of online users, social media has become a breeding ground for rumor propagation. These online rumors exhibit a “viral” propagation pattern, allowing them to spread exponentially within a brief period, which poses a substantial threat to social cohesion and public safety. If these rumors remain unaddressed, they could severely undermine public trust in authorities. Therefore, a thorough analysis of the dynamics and patterns of online rumor propagation, along with the development of a scientific propagation model that incorporates emotional mechanisms, holds significant guiding implications for both theoretical research and social governance.
The analysis of rumor propagation is inspired by the dynamics of infectious diseases. In 1964, Daley and Kendall [5] found that the process of information propagation is similar to that of disease spread by comparing rumors with epidemics. Based on this finding, they proposed the DK rumor propagation model, which draws upon the classic Susceptible-Infected-Recovered (SIR) [6] disease spread model. Subsequently, Maki and Thomson [7] developed the MT model based on the DK model and conducted an in-depth mathematical analysis of it. These two models established a solid theoretical foundation for the study of rumor propagation, offering representative findings that have propelled subsequent research forward.
In recent years, researchers have made ongoing enhancements to models of rumor dynamics, yielding many significant outcomes. To more accurately describe the dynamic processes of rumor propagation and individual characteristics, some researchers have begun to enhance models by incorporating network topologies. Zhang et al. [8] proposed a hypergraph-based Hyper-SIR rumor propagation model, which illustrates the complex interactions among nodes in a network. Additionally, Lv et al. [9] considered interactions between individuals and groups, analyzing the issue of rumor spread in both homogeneous and heterogeneous networks by accounting for network topology and time delays. At the same time, scholars have extensively focused on the influence of human behavior on the process of rumor propagation. Relevant studies have explored factors such as the forgetting mechanism [10,11], the hesitation mechanism [12], and the role of opinion leaders [13,14], finding that human activity patterns significantly impact the speed of information dissemination [15]. Furthermore, some scholars have conducted relevant studies on the impact of time and space on rumor propagation. Xia et al. [16] proposed an innovative reaction-diffusion SIR model featuring a generalized nonlinear spreading function, exploring the influence of spatial factors on rumor propagation. With the advancement of rumor detection technology, the public’s awareness of the harms of rumors, and the timely refutation of rumors by official agencies and relevant departments, many researchers have begun to focus on studies based on refutation mechanisms. Guo et al. [17] considered the joint effects of external refutation from media reports and internal refutation from counter individuals, proposing a novel model with a double refutation mechanism. Additionally, Yu et al. [18] introduced a new model that classifies spreaders into normal and malicious categories while analyzing the rumor propagation mechanism in conjunction with rumor clarifiers. In the same year, Yu et al. [19] refined the model by incorporating the impact of latent psychological factors on rumor spreading, proposing a new Ignorant-Rumor-Spreader-Lurker-TruthSpreader-Stifler (IRLTS) rumor propagation model.
The aforementioned research is significant for the study of rumor propagation. However, several bottleneck issues require further investigation. On one hand, the spreading of rumors in social networks is closely linked to users’ emotions. Existing studies largely overlook the emotional attributes of users. A few studies [2,20] incorporate emotions but primarily model the unidirectional influence from emotional spreaders to susceptibles, neglecting the bidirectional interactions between different types of emotional spreaders. In actual rumor propagation processes, the instigation of negative emotions and the purification of positive emotions coexist, which warrants in-depth exploration. On the other hand, the models developed in the aforementioned research are typically based on classical integer-order differential equations, which overlook the impact of historical information on the dynamics of rumor propagation. This limitation prevents them from fully explaining the lifecycle variations of rumors, particularly the “anomalous propagation” phenomenon where rumors initially spread rapidly before slowing down. In response, Zhang et al. [21] introduced memory effects into traditional integer-order differential equations, replacing fixed memory rates and emphasizing the cumulative nature of memory. Therefore, models based on fractional-order differential equations, with their unique memory effects and hereditary characteristics, are considered a more effective approach for developing rumor propagation models [22]. They better reflect historical influences on information dissemination and capture how repeated exposures to rumors affect spreading probabilities.
According the above analysis, we construct a fractional-order Susceptible-Infected-Negative-Positive-Removed (SINPR) model to investigate the issue of rumor propagation. This model not only takes into account the significant impact of emotional mechanisms on rumor spreading but also integrates the unique memory effects and hereditary characteristics of fractional-order derivatives, thereby enhancing our understanding of the dynamics of rumor propagation in social networks. The major contributions of this work are as follows.
  • We constructed a novel fractional-order rumor propagation model that accurately captures “anomalous propagation” in online rumors, addressing the limitations of traditional integer-order models by incorporating memory effects;
  • We introduced emotional mechanisms into the SINPR model, accounting for the mutual effects of positive and negative sentiments on rumor dynamics. This is achieved through dynamically designed rates for infection, incitement, purification, and recovery;
  • We conducted a thorough analysis of the model’s dynamics, calculating equilibrium points and thresholds, and demonstrated the stability and bifurcation phenomena that reveal the underlying mechanisms of rumor propagation;
  • We validated our theoretical findings with simulations, examining the effects of key parameters and assessing the model’s performance on real-world datasets through comparative experiments.
The remainder of this paper is organized as follows: Section 2 presents a fractional-order SINPR rumor propagation model. Section 3 provides a comprehensive dynamical analysis of the model. Section 4 validates the theoretical results through numerical simulations and experiments on real-world datasets. Finally, Section 5 offers a brief conclusion of this study.

2. The Fractional-Order SINPR Model Formulation

This chapter provides a detailed analysis of the formulation of the fractional-order SINPR rumor propagation model, focusing on the properties of the Conformable Fractional Derivative (CFD) and the assumptions of the model. Furthermore, it demonstrates that the model’s solutions are positive, bounded, and unique.

2.1. Conformable Fractional Derivative (CFD)

In recent years, the study of fractional derivatives has garnered widespread attention [23,24,25], with various definitions proposed, including Riemann–Liouville [26], Caputo [27], and Grünwald–Letnikov [28]. In 2014, Khalil et al. [29] introduced a type of local fractional derivative known as the CFD, which is considered a modification of classical integer-order derivatives in terms of both direction and magnitude for physical and geometric applications [30].
Unlike Riemann–Liouville or Caputo derivatives, the CFD possesses excellent mathematical properties. It exhibits linear characteristics similar to those of other fractional derivatives while also restoring fundamental properties such as the quotient rule, chain rule, and Leibniz rule [31,32,33]. Furthermore, CFD has demonstrated superior performance due to its excellent mathematical properties and its close relationship with traditional integer-order derivatives, making it widely applicable in various practical domains, including engineering and science [34,35]. Additionally, CFD, with its simplified definitions and robust analytical capabilities, is well-equipped to address complex nonlinear systems. It offers superior flexibility and consistency compared to traditional derivatives, such as Caputo derivatives. This advantage provides researchers with new insights and solutions for the analysis and visualization of physical phenomena [36]. The specific definition is as follows:
Definition 1
([29]). Let f ( t ) : [ 0 , ) R be a function such that for t > 0 and α ( 0 , 1 ] , the CFD of f is defined as
D t α f ( t ) = lim ε 0 f ( t + ε t 1 α ) f ( t ) ε ,
If f is α-differentiable in some interval ( 0 , α ) , and lim t 0 + D t α f ( t ) exists, then define
D t α f ( 0 ) = lim t 0 + D t α f ( t ) .
Theorem 1
([29]). Let α ( 0 , 1 ] and f, g be α-differentiable at a point t > 0 . Then, the following properties hold:
  • Linearity: D t α ( a f + b g ) = a D t α ( f ) + b D t α ( g ) ,
  • Leibniz Rule (Multiplication Rule): D t α ( f g ) = f D t α ( g ) + g D t α ( f ) ,
  • Power Rule: D t α ( t p ) = p t p α , p R ,
  • Quotient Rule: D t α f g = g D t α ( f ) f D t α ( g ) g 2 .
Theorem 2
([29]). Let α ( 0 , 1 ] and f be α-differentiable at a point t > 0 . Additionally, if f is differentiable at this point, then
D t α f ( t ) = t 1 α d f d t ( t ) .

2.2. Model Assumption

Given the important role of emotional mechanisms in rumor propagation, this paper extends the classical SIR model by incorporating the social network environment and introducing both positive and negative emotion spreaders, thereby establishing the SINPR rumor propagation model, which divides the population into five categories. The model categorizes the population as follows:
  • S (Susceptible): individuals who have not yet encountered the rumor;
  • I (Infected): individuals who have received the rumor and directly spread it;
  • N (Negative emotion spreaders): individuals who exaggerate or distort the rumor, incite negative emotions, and maliciously disseminate the rumor;
  • P (Positive emotion spreaders): individuals who are aware of the rumor’s truth and actively spread clarifications and positive information;
  • R (Removed): individuals who are immune to the rumor and no longer involved in its propagation.
At any time t, the densities of these categories are denoted as S ( t ) , I ( t ) , N ( t ) , P ( t ) , and R ( t ) , respectively. Figure 1 illustrates the state transition process in the SINPR model, where nodes represent individuals in the social network and edges denote information transmission paths or social connections. The associated parameters are detailed in Table 1.
Based on the above, the model assumptions are as follows:
  • The social network platform experiences population flow, including user registrations and deregistrations. The population inflow rate each time unit is denoted by Λ ; the outflow rate for each user category per unit time is denoted by d.
  • Upon exposure to rumors, susceptibles S undergo one of three spreading processes. A portion with strong discernment convert to positive emotion spreaders T with probability β 1 , spreading accurate and positive information. Another portion lacking discernment convert to rumor spreaders I with probability β 2 , directly spreading the rumor. The remainder may develop negative emotions and convert to negative emotion spreaders N with probability β 3 , actively malignantly propagating rumors and possibly fabricating new ones to incite negative emotions.
  • Rumor spreaders I undergo three transitions during propagation. Some individuals become positive emotion spreaders P with probability η 1 ; there is a positive interaction between I and P, as positive emotion spreaders can assist rumor spreaders in identifying the truth. Some individuals transition to negative emotion spreaders N at an instigation rate θ , and there is no direct interaction between I and N. The rest become immune with probability γ 2 , ceasing to spread rumors.
  • Positive emotion spreaders P upon completing their task of spreading factual and educational information and achieving the expected effect may become immune with probability γ 1 . Notably, the transition from P to N is absent, a deliberate assumption reflecting irreversible cognitive immunization upon accepting truth.
  • Negative emotion spreaders N, upon exposure to authoritative, objective and persuasive positive information, after undergoing self-reflection or cognitive conflict, have a probability η 2 of being transformed into positive emotion spreaders P and start spreading positive information; another portion abandons rumor propagating and becomes immune with probability γ 3 .
  • The infection rates, purification rates, and other parameters corresponding to each state category in the model are constants fixed within the model, and all parameter values belong to the closed interval [ 0 , 1 ] .

2.3. Model Formulation

Based on the above model assumptions and analysis, we propose a fractional-order SINPR rumor spreading model, whose propagation dynamics equations under the CFD definition are as follows:
D t α S ( t ) = Λ β 1 S ( t ) P ( t ) β 2 S ( t ) I ( t ) β 3 S ( t ) N ( t ) d S ( t ) , D t α I ( t ) = β 2 S ( t ) I ( t ) η 1 I ( t ) P ( t ) ( θ + γ 2 + d ) I ( t ) , D t α N ( t ) = β 3 S ( t ) N ( t ) η 2 N ( t ) P ( t ) + θ I ( t ) ( γ 3 + d ) N ( t ) , D t α P ( t ) = β 1 S ( t ) P ( t ) + η 1 I ( t ) P ( t ) + η 2 N ( t ) P ( t ) ( γ 1 + d ) P ( t ) , D t α R ( t ) = γ 1 P ( t ) + γ 2 I ( t ) + γ 3 N ( t ) d R ( t ) .
where α ( 0 , 1 ) denotes the order of the fractional differential operator, and the initial conditions satisfy S ( 0 ) , I ( 0 ) , N ( 0 ) , P ( 0 ) , R ( 0 ) 0 .
Theorem 3
(Positivity of solutions). The solutions of the fractional-order system (4) are non-negative for all t 0 within the positive cone
R + 5 = ( S ( t ) , I ( t ) , N ( t ) , P ( t ) , R ( t ) ) R 5 S ( t ) , I ( t ) , N ( t ) , P ( t ) , R ( t ) 0 .
Proof. 
Given that all parameters in system (4) are assumed to be positive, we can establish the following lower bounds for each equation:
D t α S ( t ) | S ( t ) = 0 = Λ 0 , D t α I ( t ) | I ( t ) = 0 = 0 , D t α N ( t ) | N ( t ) = 0 = θ I ( t ) 0 , D t α P ( t ) | P ( t ) = 0 = 0 , D t α R ( t ) | R ( t ) = 0 = γ 1 P ( t ) + γ 2 I ( t ) + γ 3 N ( t ) 0 .
It follows that when any variable reaches the zero boundary, its fractional derivative is non-negative, implying that the variable cannot enter the negative domain. The positive cone R + 5 is a positively invariant set for system (4), ensuring that the solution remains non-negative for all t 0 . □
Theorem 4
(Boundedness of solutions). The solutions of system (4) are bounded. Specifically, there exists a positively invariant set
Φ = ( S , I , N , P , R ) R + 5 S + I + N + P + R Λ d .
If the initial conditions lie in this set, the solutions remain in Φ for all future time.
Proof. 
Let the total population be denoted by T ( t ) , where
S ( t ) + I ( t ) + N ( t ) + P ( t ) + R ( t ) = T ( t ) .
Taking the fractional derivative on both sides of Equation (5), and substituting from Equation (4), we obtain
D t α T ( t ) = Λ d T ( t ) ,
By Theorem 2, Equation (7) can be written as an ordinary differential equation with a time-dependent coefficient:
d T d t + d t α 1 T ( t ) = Λ t α 1 ,
Consider the integrating factor μ ( t ) = exp d t α 1 d t = exp d α t α . Multiplying through by μ ( t ) , the equation becomes d d t T ( t ) μ ( t ) = Λ t α 1 μ ( t ) . Integrating over [ 0 , t ] and applying the initial condition T ( 0 ) = T 0 0 yields the explicit solution T ( t ) = e d α t α [ T 0 + Λ 0 t τ α 1 e d α τ α d τ ] .
If T ( t ) > Λ d , then Λ d T ( t ) < 0 , implying d T d t = t α 1 ( Λ d T ( t ) ) < 0 , so T ( t ) decreases on this interval. Conversely, if T ( t ) < Λ d , then Λ d T ( t ) > 0 , implying d T d t > 0 , and, thus, T ( t ) increases on this interval. Therefore, Λ d is an attractor, and T ( t ) remains bounded by Λ d .
Since each component is non-negative and satisfies T ( t ) Λ d , the solutions remain in the positively invariant bounded set Φ = ( S , I , N , P , R ) R + 5 S + I + N + P + R Λ d . □
Theorem 5
(Existence and uniqueness of solutions). For any initial condition Y ( 0 ) = Y 0 = ( S 0 , I 0 , N 0 , P 0 , R 0 ) , the system (4) admits a unique solution Y ( t ) Φ for all t 0 .
Proof. 
Let Y = ( S , I , N , P , R ) , Y 1 = ( S 1 , I 1 , N 1 , P 1 , R 1 ) Φ , and define the mapping H : Φ R 5 , H ( Y ) = ( H 1 ( Y ) , H 2 ( Y ) , H 3 ( Y ) , H 4 ( Y ) , H 5 ( Y ) ) , where
H 1 ( Y ) = Λ β 1 S P β 2 S I β 3 S N d S , H 2 ( Y ) = β 2 S I η 1 I P ( θ + γ 2 + d ) I , H 3 ( Y ) = β 3 S N η 2 N P + θ I ( γ 3 + d ) N , H 4 ( Y ) = β 1 S P + η 1 I P + η 2 N P ( γ 1 + d ) P , H 5 ( Y ) = γ 1 P + γ 2 I + γ 3 N d R .
For arbitrary Y , Y 1 Φ , we estimate
H ( Y ) H ( Y 1 ) = | H 1 ( Y ) H 1 ( Y 1 ) | + | H 2 ( Y ) H 2 ( Y 1 ) | + | H 3 ( Y ) H 3 ( Y 1 ) | + | H 4 ( Y ) H 4 ( Y 1 ) | + | H 5 ( Y ) H 5 ( Y 1 ) | = | Λ β 1 S P β 2 S I β 3 S N d S Λ + β 1 S 1 P 1 + β 2 S 1 I 1 + β 3 S 1 N 1 + d S 1 |     + | β 2 S I η 1 I P ( θ + γ 2 + d ) I β 2 S 1 I 1 + η 1 I 1 P 1 + ( θ + γ 2 + d ) I 1 |     + | β 3 S N η 2 N P + θ I ( γ 3 + d ) N β 3 S 1 N 1 + η 2 N 1 P 1 θ I 1 + ( γ 3 + d ) N 1 |     + | β 1 S P + η 1 I P + η 2 N P ( γ 1 + d ) P β 1 S 1 P 1 η 1 I 1 P 1 η 2 N 1 P 1 + ( γ 1 + d ) P 1 |     + | γ 1 P + γ 2 I + γ 3 N d R γ 1 P 1 γ 2 I 1 γ 3 N 1 + d R 1 | l 1 | S S 1 | + l 2 | I I 1 | + l 3 | N N 1 | + l 4 | P P 1 | + l 5 | R R 1 | L ( S , I , N , P , R ) ( S 1 , I 1 , N 1 , P 1 , R 1 ) L Y Y 1 ,
where the constants are defined as
L = max ( l 1 , l 2 , l 3 , l 4 , l 5 ) , l 1 = 2 β 1 + 2 β 2 + 2 β 3 + d , l 2 = 2 β 2 + 2 η 1 + 2 θ + 2 γ 2 + d , l 3 = 2 β 3 + 2 η 2 + 2 γ 3 + d , l 4 = 2 β 1 + 2 η 1 + 2 η 2 + 2 γ 1 + d , l 5 = d .
Therefore, H(Y) satisfies the Lipschitz condition [37]. Hence, system (4) admits a unique solution in the set Φ . □
The analysis shows that the first four equations of system (4) are independent of R ( t ) . For convenience, system (4) can be simplified as follows:
D t α S ( t ) = Λ β 1 S ( t ) P ( t ) β 2 S ( t ) I ( t ) β 3 S ( t ) N ( t ) d S ( t ) , D t α I ( t ) = β 2 S ( t ) I ( t ) η 1 I ( t ) P ( t ) ( θ + γ 2 + d ) I ( t ) , D t α N ( t ) = β 3 S ( t ) N ( t ) η 2 N ( t ) P ( t ) + θ I ( t ) ( γ 3 + d ) N ( t ) , D t α P ( t ) = β 1 S ( t ) P ( t ) + η 1 I ( t ) P ( t ) + η 2 N ( t ) P ( t ) ( γ 1 + d ) P ( t ) .
The reduction process does not alter the essential mathematical properties of the model, and the conclusions established in Theorems 3–5 remain valid for the reduced system (11). Its solutions remain within the positive invariant set Ω = { ( S , I , N , P ) R + 4 S + I + N + P Λ d } exhibiting positivity, boundedness, and uniqueness. Subsequent analysis will be conducted using the reduced system (11).

3. Dynamic Behaviors Analysis of the SINPR Model

This chapter systematically investigates the dynamic properties of the SINPR rumor propagation model, focusing on its equilibrium points, thresholds, and stability. By integrating parameter sensitivity and bifurcation theories, we further elucidate the effect of key parameters on propagation dynamics and local stability transitions. These findings provide a theoretical basis for subsequent numerical simulations and the design of effective rumor control strategies.

3.1. Equilibrium and Threshold

In rumor propagation models, equilibria are points where the state variables remain constant over time. To find the equilibria of the SINPR model, we set the time derivatives in system (11) to zero, yielding the following system of equations:
Λ β 1 S ( t ) P ( t ) β 2 S ( t ) I ( t ) β 3 S ( t ) N ( t ) d S ( t ) = 0 β 2 S ( t ) I ( t ) η 1 I ( t ) P ( t ) ( θ + γ 2 + d ) I ( t ) = 0 β 3 S ( t ) N ( t ) η 2 N ( t ) P ( t ) + θ I ( t ) ( γ 3 + d ) N ( t ) = 0 β 1 S ( t ) P ( t ) + η 1 I ( t ) P ( t ) + η 2 N ( t ) P ( t ) ( γ 1 + d ) P ( t ) = 0
By solving the system (12), eight non-negative equilibrium solutions are obtained:
When only susceptible individuals exist, i.e., I ( t ) = N ( t ) = P ( t ) = 0 , the rumor-free equilibrium E 0 is attained. If only one spreading category is present—meaning only one of I ( t ) , N ( t ) , or P ( t ) is nonzero—the boundary equilibria E 1 , E 2 , and E 3 arise, respectively. When rumor spreaders and emotion spreaders coexist, the system admits coexistence equilibria E 4 , E 5 , E 6 , and E 7 .
  • E 0 = ( S 0 , 0 , 0 , 0 ) , where S 0 = Λ d .
  • E 1 = ( S 1 , 0 , 0 , P 1 ) , where S 1 = γ 1 + d β 1 , and P 1 = Λ γ 1 + d d β 1 .
  • E 2 = ( S 2 , I 2 , 0 , 0 ) , where S 2 = θ + γ 2 + d β 2 , and I 2 = Λ θ + γ 2 + d d β 2 .
  • E 3 = ( S 3 , 0 , N 3 , 0 ) , where S 3 = γ 3 + d β 3 , and N 3 = Λ γ 3 + d d β 3 .
  • E 4 = ( S 4 , 0 , N 4 , P 4 ) , where S 4 = Λ η 2 Λ η 2 β 1 ( γ 3 + d ) + β 3 ( γ 1 + d ) , N 4 = γ 1 + d β 1 S 4 η 2 , and P 4 = β 3 S 4 + γ 3 + d η 2 .
  • E 5 = ( S 5 , I 5 , 0 , P 5 ) , where S 5 = Λ η 1 Λ η 1 + β 2 ( γ 1 + d ) β 1 ( γ 2 + d ) , I 5 = γ 1 + d β 1 S 5 η 1 , and P 5 = β 2 I 5 γ 2 d η 1 .
  • E 6 = ( S 6 , I 6 , N 6 , 0 ) , where S 6 = θ + γ 2 + d β 2 , I 6 = γ 3 + d β 3 S 6 γ 2 + d , and N 6 = θ Λ d S 6 S 6 β 2 ( γ 3 + d β 3 S 6 ) + β 3 θ .
  • E 7 = ( S 7 , I 7 , N 7 , P 7 ) , where S 7 = Λ β 2 I 7 + β 3 N 7 + β 1 P 7 + d , I 7 = η 2 P 7 + γ 3 + d β 3 S 7 θ , N 7 = θ ( γ 1 + d β 1 S 7 ) η 1 ( η 2 P 7 + γ 3 + d β 3 S 7 ) + θ η 2 , and P 7 = β 2 S 7 ( θ + γ 2 + d ) η 1 .
Having established the equilibrium points of the SINPR model, we now focus on the basic reproduction number R 0 [38], a key threshold parameter that determines whether rumors persist ( R 0 > 1 ) or die out ( R 0 < 1 ). This fundamental measure represents the average number of secondary cases generated by a single spreader in a fully susceptible population.
The next generation matrix method [39] is applied to compute the basic reproduction number R 0 , which is defined as the spectral radius of the next generation matrix.
Let X ( t ) = ( I ( t ) , N ( t ) , P ( t ) ) , system (11) can be rewritten as
D t α X ( t ) = F ( X ) V ( X ) ,
where
F ( X ) = β 2 S ( t ) I ( t ) β 3 S ( t ) N ( t ) β 1 S ( t ) P ( t ) + η 1 I ( t ) P ( t ) + η 2 N ( t ) P ( t ) , V ( X ) = η 1 I ( t ) P ( t ) + ( θ + γ 2 + d ) I ( t ) η 2 N ( t ) P ( t ) + ( γ 3 + d ) N ( t ) θ I ( t ) ( γ 1 + d ) P ( t ) .
The Jacobian matrices of F 0 ( X ) and V 0 ( X ) at the rumor-free equilibrium E 0 are computed, respectively. Hence, we have
F 0 ( E 0 ) = β 2 Λ d 0 0 0 β 3 Λ d 0 0 0 β 1 Λ d , V 0 ( E 0 ) = θ + γ 2 + d 0 0 θ γ 3 + d 0 0 0 γ 1 + d .
The next generation matrix F 0 V 0 1 is then calculated as
F 0 V 0 1 = β 2 Λ d ( θ + γ 2 + d ) 0 0 0 β 3 Λ d ( γ 3 + d ) 0 0 0 β 1 Λ d ( γ 1 + d ) .
The R 0 of system (11) is defined as the spectral radius of the matrix F 0 V 0 1 . We obtain R 0 = ρ ( F 0 V 0 1 ) = max { R 01 , R 02 , R 03 } , where
R 01 = β 2 Λ d ( θ + γ 2 + d ) , R 02 = β 3 Λ d ( γ 3 + d ) , R 03 = β 1 Λ d ( γ 1 + d ) .
Here, the quantities R 01 , R 02 , and R 03 represent the basic reproduction numbers associated with the rumor spreaders, negative emotion spreaders, and positive emotion spreaders subpopulations, respectively.
Furthermore, to capture the heterogeneity within the system, we introduce local reproduction numbers corresponding to distinct user categories and emotional states. Local reproduction numbers have been extensively employed to characterize differences in propagation potential among subpopulations [40]. They represent the propagation capacity of individual spreading categories in the absence of interference from others and serve as critical threshold indicators for differentiating the influence of various propagation pathways.
The local reproduction number is similarly derived using the next-generation matrix method. When the system (11) is at the boundary equilibrium E 1 , the obtained local reproduction number R 1 quantifies the spreading ability of positive emotion spreaders in the absence of interference from rumors and negative emotion spreaders. This metric assesses the ability of positive emotions to persistently propagate and maintain stability within the local subsystem.
The Jacobian matrices of F 1 ( X ) and V 1 ( X ) at the boundary equilibrium E 1 are respectively computed. Hence, we have
F 1 ( E 1 ) = β 2 S 1 0 0 β 3 S 1 , V 1 ( E 1 ) = η 1 P 1 θ + η 2 + d 0 θ η 2 P 1 + γ 3 + d .
The inverse of the matrix V 1 can be computed using the following formula:
V 1 1 = 1 η 1 P 1 θ + η 2 + d 0 θ ( η 2 P 1 + γ 3 + d ) ( η 1 P 1 θ + η 2 + d ) 1 η 2 P 1 + γ 3 + d .
The next generation matrix F 1 V 1 1 is calculated as
F 1 V 1 1 = β 2 S 1 η 1 P 1 + θ + γ 2 + d 0 0 β 3 S 1 η 2 P 1 + γ 3 + d .
The R 1 of system (11) is defined as the spectral radius of the matrix F 1 V 1 1 . We obtain R 1 = ρ ( F 1 V 1 1 ) = max { R 11 , R 12 } , where
R 11 = β 2 S 1 η 1 P 1 + θ + γ 2 + d , R 12 = β 3 S 1 η 2 P 1 + γ 3 + d .
Similarly, the local reproduction numbers R 2 and R 3 correspond to the boundary equilibria E 2 and E 3 , respectively. They represent the propagation capabilities of the rumor-only and negative emotion-only subsystems. Specifically, the local reproduction number R 2 serves as a critical indicator for assessing the stability and potential of rumor spread in the absence of other emotional interference, while R 3 characterizes the independent propagation strength of negative emotions.
More explicitly, the local reproduction numbers R 2 and R 3 are given by
R 2 = max { R 21 , R 22 } , R 3 = max { R 31 , R 32 }
where
R 21 = β 3 S 2 γ 3 + d , R 22 = β 1 S 2 + η 1 I 2 γ 1 + d , R 31 = β 2 S 3 θ + γ 2 + d , R 32 = β 1 S 3 + η 2 N 3 γ 1 + d .

3.2. Equilibrium Stability Analysis

To gain deeper insights into the dynamics of the model and the response to parameter variations, this section performs a local stability analysis of the equilibrium points. The analysis aids accurate prediction of the system’s steady states and provides a solid theoretical basis for numerical simulations.

3.2.1. Stability Analysis of the Rumor-Free Equilibrium

Theorem 6.
For system (11), the rumor-free equilibrium E 0 exhibits local asymptotic stability provided that R 0 < 1 .
Proof. 
The Jacobian matrix of system (11) at the rumor-free equilibrium E 0 = ( Λ d , 0 , 0 , 0 ) is obtained as follows:
J ( E 0 ) = d β 2 Λ d β 3 Λ d β 1 Λ d 0 β 2 Λ d ( θ + γ 2 + d ) 0 0 0 0 β 3 Λ d ( γ 3 + d ) 0 0 0 0 β 1 Λ d ( γ 1 + d )
The Jacobian matrix J ( E 0 ) has a strictly upper triangular structure. Thus, its eigenvalues are explicitly given by the diagonal entries as follows:
λ 01 = d , λ 02 = β 2 Λ d ( θ + γ 2 + d ) = d ( R 01 1 ) , λ 03 = β 3 Λ d ( γ 3 + d ) = d ( R 02 1 ) , λ 04 = β 1 Λ d ( γ 1 + d ) = d ( R 03 1 ) .
Since all eigenvalues λ 0 i ( i = 1 , 2 , 3 , 4 ) have negative real parts if and only if R 0 = max { R 01 , R 02 , R 03 } < 1 , the rumor-free equilibrium E 0 is locally asymptotically stable under this condition. Conversely, if R 0 > 1 , at least one eigenvalue has a positive real part, implying instability of E 0 . □

3.2.2. Stability Analysis of the Boundary Equilibria

Theorem 7.
For system (11), the boundary equilibrium E 1 exhibits local asymptotic stability provided that R 03 > 1 , and R 1 < 1 .
Proof. 
Firstly, the boundary equilibrium E 1 exists if and only if R 03 > 1 , and is given by
E 1 = ( S 1 , 0 , 0 , P 1 ) = γ 1 + d β 1 , 0 , 0 , Λ γ 1 + d d β 1 = S 0 R 03 , 0 , 0 , d ( R 03 1 ) β 1
Next, the Jacobian matrix of system (11) at E 1 is given by
J ( E 1 ) = β 1 P 1 d β 2 S 1 β 3 S 1 β 1 S 1 0 β 2 S 1 η 1 P 1 ( θ + γ 2 + d ) 0 0 0 θ β 3 S 1 η 2 P 1 ( γ 3 + d ) 0 β 1 P 1 η 1 P 1 η 2 P 1 0
The characteristic equation of J ( E 1 ) can be obtained as
( λ β 2 S 1 + η 1 P 1 + θ + γ 2 + d ) ( λ β 3 S 1 + η 2 P 1 + γ 3 + d ) ( λ 2 + ( β 1 P 1 + d ) λ + β 1 2 S 1 P 1 ) = 0
The first two eigenvalues are readily obtained as
λ 11 = β 2 S 1 η 1 P 1 ( θ + γ 2 + d ) = ( η 1 P 1 + θ + γ 2 + d ) ( R 11 1 ) , λ 12 = β 3 S 1 η 2 P 1 ( γ 3 + d ) = ( η 2 P 1 + γ 3 + d ) ( R 12 1 ) .
If λ 11 < 0 , the inequality ( η 1 P 1 + θ + γ 2 + d ) ( R 11 1 ) < 0 must hold. Given that η 1 P 1 + θ + γ 2 + d are all in the range (0, 1), it follows that ( R 11 1 ) < 0 , leading to R 11 < 1 . Similarly, the condition for λ 12 < 0 also results in R 12 < 1 .
Consequently, λ 11 and λ 12 have negative real parts if and only if both R 11 < 1 and R 12 < 1 . This can be summarized as R 1 = max { R 11 , R 12 } < 1 ensures λ 11 < 0 and λ 12 < 0 .
The remaining two eigenvalues, λ 13 and λ 14 , satisfy
λ 2 + ( β 1 P 1 + d ) λ + β 1 2 S 1 P 1 = 0 .
By the Routh–Hurwitz criterion, both roots have negative real parts as β 1 P 1 + d > 0 and β 1 2 S 1 P 1 > 0 . Therefore, all eigenvalues λ 1 i ( i = 1 , 2 , 3 , 4 ) have negative real parts if and only if R 03 > 1 and R 1 < 1 . This implies that the boundary equilibrium E 1 is locally asymptotically stable. □
Theorem 8.
For system (11), the boundary equilibrium E 2 exhibits local asymptotic stability provided that R 01 > 1 , and R 2 < 1 .
Proof. 
Firstly, the boundary equilibrium E 2 exists if and only if R 01 > 1 , and is given by
E 2 = ( S 2 , I 2 , 0 , 0 ) = θ + γ 2 + d β 2 , Λ θ + γ 2 + d d β 2 , 0 , 0 = S 0 R 01 , d ( R 01 1 ) β 2 , 0 , 0
Next, the Jacobian matrix of system (11) at E 2 is given by
J ( E 2 ) = β 2 I 2 d β 2 S 2 β 3 S 2 β 1 S 2 β 2 I 2 0 0 η 1 I 2 0 0 β 3 S 2 ( γ 3 + d ) 0 0 0 0 β 1 S 2 + η 1 I 2 ( γ 1 + d )
The characteristic equation of J ( E 2 ) can be obtained as
( λ β 1 S 2 η 1 I 2 + γ 1 + d ) ( λ β 3 S 2 + γ 3 + d ) ( λ 2 + ( β 2 I 2 + d ) λ + β 2 2 S 2 I 2 ) = 0
The first two eigenvalues are readily obtained as
λ 21 = β 1 S 2 + η 1 I 2 ( γ 1 + d ) = ( γ 1 + d ) ( R 22 1 ) , λ 22 = β 3 S 2 ( γ 3 + d ) = ( γ 3 + d ) ( R 21 1 ) .
If λ 21 < 0 , the inequality ( γ 1 + d ) ( R 22 1 ) < 0 must hold. Given that γ 1 + d are all in the range (0, 1), it follows that ( R 22 1 ) < 0 , leading to R 22 < 1 . Similarly, the condition for λ 22 < 0 also results in R 21 < 1 .
Consequently, λ 21 and λ 22 have negative real parts if and only if both R 22 < 1 and R 21 < 1 . This can be summarized as R 2 = max { R 21 , R 22 } < 1 ensures λ 21 < 0 and λ 22 < 0 .
The remaining two eigenvalues, λ 23 and λ 24 satisfy
λ 2 + ( β 2 I 2 + d ) λ + β 2 2 S 2 I 2 = 0 .
By the Routh–Hurwitz criterion, both roots have negative real parts as β 2 I 2 + d > 0 and β 2 2 S 2 I 2 > 0 . Therefore, all eigenvalues λ 2 i ( i = 1 , 2 , 3 , 4 ) have negative real parts if and only if R 01 > 1 and R 2 < 1 . This implies that the boundary equilibrium E 2 is locally asymptotically stable. □
Theorem 9.
For system (11), the boundary equilibrium E 3 exhibits local asymptotic stability provided that R 02 > 1 , and R 3 < 1 .
Proof. 
Firstly, the boundary equilibrium E 3 exists if and only if R 02 > 1 , and is given by
E 3 = ( S 3 , 0 , N 3 , 0 ) = γ 3 + d β 3 , 0 , Λ γ 3 + d d β 3 , 0 = S 0 R 02 , 0 , d ( R 02 1 ) β 3 , 0
Next, the Jacobian matrix of system (11) at E 3 is given by
J ( E 3 ) = ( β 3 N 3 + d ) β 2 S 3 β 3 S 3 β 1 S 3 0 β 2 S 3 ( θ + γ 2 + d ) 0 0 β 3 N 3 θ 0 η 2 N 3 0 0 0 β 1 S 3 + η 2 N 3 ( γ 1 + d )
The characteristic equation of J ( E 3 ) can be obtained as
( λ β 1 S 3 η 2 N 3 + γ 1 + d ) ( λ β 2 S 3 + θ + γ 2 + d ) ( λ 2 + ( β 3 N 3 + d ) λ + β 3 2 S 3 N 3 ) = 0
The first two eigenvalues are readily obtained as
λ 31 = β 1 S 3 + η 2 N 3 γ 1 d = ( γ 1 + d ) ( R 32 1 ) , λ 32 = β 2 S 3 θ γ 2 d = ( θ + γ 2 + d ) ( R 31 1 ) .
If λ 31 < 0 , the inequality ( γ 1 + d ) ( R 32 1 ) < 0 must hold. Given that γ 1 + d are all in the range (0, 1), it follows that ( R 32 1 ) < 0 , leading to R 32 < 1 . Similarly, the condition for λ 32 < 0 also results in R 31 < 1 .
Consequently, λ 31 and λ 32 have negative real parts if and only if both R 32 < 1 and R 31 < 1 . This can be summarized as R 3 = max { R 31 , R 32 } < 1 ensures λ 31 < 0 and λ 32 < 0 .
The remaining two eigenvalues, λ 33 and λ 34 , satisfy
λ 2 + ( β 3 N 3 + d ) λ + β 3 2 S 3 N 3 = 0 .
By the Routh–Hurwitz criterion, both roots have negative real parts as β 3 N 3 + d > 0 and β 3 2 S 3 N 3 > 0 . Therefore, all eigenvalues λ 3 i ( i = 1 , 2 , 3 , 4 ) have negative real parts if and only if R 02 > 1 and R 3 < 1 . This implies that the boundary equilibrium E 3 is locally asymptotically stable. □

3.2.3. Stability Analysis of the Coexistence Equilibria

Theorem 10.
For system (11), the coexistence equilibrium E 7 exhibits local asymptotic stability provided that R 0 > 1 , a 1 a 2 a 3 > 0 , and a 3 ( a 1 a 2 a 3 ) a 1 2 a 4 > 0 .
Proof. 
Firstly, E 7 = ( S 7 , I 7 , N 7 , P 7 ) represents the coexistence state of rumor spreaders and emotion spreaders within the system. The necessary and sufficient condition for the existence of this equilibrium is that at least one of the spreading groups in the system remains persistently “active” which means that the basic reproduction number satisfies R 0 = max { R 01 , R 02 , R 03 } > 1 .
Next, the Jacobian matrix of system (11) at E 7 is given by
J ( E 7 ) = β 1 P 7 β 2 I 7 β 3 N 7 d β 2 S 7 β 3 S 7 β 1 S 7 β 2 I 7 β 2 S 7 η 1 P 7 ( θ + γ 2 + d ) 0 η 1 I 7 β 3 N 7 θ β 3 S 7 η 2 P 7 ( γ 3 + d ) η 2 N 7 β 1 P 7 η 1 P 7 η 2 P 7 β 1 S 7 + η 1 I 7 + η 2 N 7 ( γ 1 + d )
The characteristic equation of J ( E 7 ) can be obtained as
λ 4 + a 1 λ 3 + a 2 λ 2 + a 3 λ + a 4 = 0
where,
  • a 1 = I 7 S 7 + N 7 Λ N 7 S 7 a 2 = I 7 S 7 β 1 2 + N 7 S 7 β 3 2 + P 7 S 7 β 1 2 + I 7 η 1 2 + N 7 η 2 2 + I 7 Λ N 7 S 7 a 3 = θ I 7 N 7 S 7 2 β 2 β 3 + I 7 2 S 7 S 7 β 2 2 + P 7 η 1 2 + N 7 2 P 7 η 2 2 Λ + I 7 P 7 S 7 2 β 1 2 + θ N 7 S 7 η 1 η 2 + N 7 η 1 2 Λ N 7 S 7 a 4 = I 7 P 7 N 7 2 S 7 2 ( β 3 η 1 β 2 η 2 ) 2 + I 7 η 1 2 Λ + θ N 7 S 7 2 β 1 ( β 2 η 2 β 3 η 1 ) + η 1 η 2 Λ N 7 S 7
Then, we can obtain
Δ 1 = a 1 , Δ 2 = a 1 1 a 3 a 2 = a 1 a 2 a 3 , Δ 3 = a 1 1 0 a 3 a 2 a 1 0 a 4 a 3 = a 1 a 2 a 3 a 1 2 a 4 a 3 2 .
By the Routh–Hurwitz criterion, both roots have negative real parts as a 1 a 2 a 3 > 0 and a 1 a 2 a 3 a 1 2 a 4 a 3 2 > 0 . Therefore, all eigenvalues λ 7 i ( i = 1 , 2 , 3 , 4 ) have negative real parts if and only if R 1 > 1 , a 1 a 2 a 3 > 0 and a 1 a 2 a 3 a 1 2 a 4 a 3 2 > 0 . This implies that the boundary equilibrium E 7 is locally asymptotically stable. Similarly, it can be proved that equilibria E 4 , E 5 , and E 6 are locally asymptotically stable. □

3.3. Sensitivity Analysis of R 0

Sensitivity analysis quantifies how variations in model parameters influence the R 0 of the rumor propagation model. The normalized forward sensitivity index (NFSI) [41] is employed to measure the relative impact of each parameter on R 0 , helping to identify crucial factors that govern rumor spread and providing insights for effective rumor control strategies.
Definition 2
([41]). For a model parameter ψ, NFSI of R 0 is defined as
A ψ = R 0 ψ · ψ R 0 .
This index quantifies the relative sensitivity of R 0 with respect to the parameter ψ.
Using the expression of R 0 and Equation (14), we obtain
A β i = R 0 β i · β i R 0 = 1 > 0 , i = 1 , 2 , 3 , A Λ = R 0 Λ · Λ R 0 = 1 > 0 , A d = R 0 d · d R 0 = 1 + d M i < 0 , A θ = R 0 θ · θ R 0 = θ θ + γ 2 + d < 0 , A γ j = R 0 γ j · γ j R 0 = γ j M j < 0 , j = 1 , 2 , 3 .
where
M 1 = θ + γ 2 + d , M 2 = γ 3 + d , M 3 = γ 1 + d .
In conclusion, the infection rates β i and the population inflow rate Λ are the most sensitive parameters positively correlated with R 0 . Conversely, the population outflow rate d, instigation rate θ , and immunity rates γ j have negative regulatory effects but lower sensitivity. Sensitivity analysis indicates that reducing β i and Λ or increasing d, θ , and γ j can effectively decrease R 0 .
The analysis results presented in this section will be further discussed in Section 4.2 to validate our theoretical findings and examine the sensitivity of the model.

3.4. Transcritical Bifurcation Analysis

Bifurcation theory studies how the qualitative behavior of a dynamical system changes as its parameters vary. A transcritical bifurcation occurs when the stability of two equilibrium points is exchanged as a parameter passes through a critical value. These bifurcations are essential in characterizing the local dynamics around equilibrium points.
Theorem 11.
If R 01 = 1 , then system (11) undergoes a transcritical bifurcation at the rumor-free equilibrium E 0 .
Proof. 
Consider system (11) and its rumor-free equilibrium E 0 , select β 2 as the bifurcation parameter. The critical bifurcation value β 2 * is defined by β 2 * = d ( θ + γ 2 + d ) Λ such that R 01 = 1 . This ensures that crossing the critical value β 2 * changes the stability of the rumor-free equilibrium, indicating the occurrence of a bifurcation.
Let ω = ( ω 1 , ω 2 , ω 3 , ω 4 ) be the right eigenvector associated with the zero eigenvalue. Here, J E 0 denotes the Jacobian matrix of system (11) evaluated at E 0 . Solving the eigenvalue equation J E 0 · ω = 0 , we establish a system of linear equations for ω i . By setting ω 2 = 1 as a free parameter, we solve for the remaining components as
ω 1 = β 2 * Λ d 2 + β 3 Λ d 2 θ β 3 Λ d ( γ 3 + d ) , ω 3 = θ β 3 Λ d ( γ 3 + d ) , ω 4 = 0 .
Furthermore, let the left eigenvector v = ( v 1 , v 2 , v 3 , v 4 ) satisfy the equation v · J E 0 = 0 with the normalization condition v · ω = 1 , where ω is the right eigenvector corresponding to the zero eigenvalue. Solving this yields
v = ( 0 , 1 , 0 , 0 ) .
To apply the transcritical bifurcation theorem, we compute the coefficients
m = k , i , j = 1 4 v k ω i ω j 2 f k x i x j ( E 0 , β 2 * ) , n = k , i = 1 4 v k ω i 2 f k x i β 2 ( E 0 , β 2 * ) ,
where f = ( f 1 , f 2 , f 3 , f 4 ) represents the right-hand side of system (11).
For the given system, the only nonzero second-order partial derivatives at ( E 0 , β 2 * ) are
2 f 2 S I = 2 f 2 I S = β 2 * .
Hence, the coefficients simplify to
m = 2 β 2 * 2 ω 1 , n = v 2 ω 2 Λ d .
Substituting ω 1 , ω 2 , and v 2 , we obtain
m = 2 β 2 * 2 β 2 * Λ d 2 + β 3 Λ d 2 θ β 3 Λ d ( γ 3 + d ) < 0 , n = Λ d > 0 .
Therefore, the conditions m < 0 and n > 0 are satisfied. By the transcritical bifurcation theorem [42], system (11) undergoes a transcritical bifurcation at E 0 as β 2 passes through the critical value β 2 * , corresponding to R 01 = 1 . Using the same method as above, it can be shown that transcritical bifurcations also occur at R 02 = 1 and R 03 = 1 . □

4. Numerical Simulations and Analysis

In this section, stability simulations of the equilibrium points are conducted with the initial densities set as S ( 0 ) = 0.7 , I ( 0 ) = 0.1 , N ( 0 ) = 0.1 , and P ( 0 ) = 0.1 . The fractional order is fixed at α = 0.95 to highlight the memory effects and nonlocal dynamics inherent in fractional-order differential models of rumor propagation. This choice aligns with existing studies [43,44] that have also adopted a similar fractional order parameter, thus supporting its appropriateness for reflecting rumor propagation behavior. Additionally, different initial conditions are considered to comprehensively investigate the stability behavior, namely, T 01 = ( 0.65 , 0.15 , 0.1 , 0.1 ) , T 02 = ( 0.6 , 0.15 , 0.15 , 0.1 ) , T 03 = ( 0.55 , 0.15 , 0.2 , 0.1 ) , T 04 = ( 0.5 , 0.15 , 0.25 , 0.1 ) , and T 05 = ( 0.45 , 0.15 , 0.3 , 0.1 ) . All other parameters are adopted as specified in Table 2.

4.1. Stability Simulation of Equilibrium Points

4.1.1. Stability Simulation of the Rumor-Free Equilibrium

Considering system (11) with the parameters in Data 1 of Table 2, calculating the thresholds R 01 0.105 < 1 , R 02 = 0.4 < 1 , and R 03 = 0.4 < 1 implies R 0 < 1 . According to Theorem 6, E 0 is locally asymptotically stable. As illustrated in Figure 2a, the system variables stabilize at E 0 = ( 1 , 0 , 0 , 0 ) . In particular, the phase diagram in Figure 2b shows that simulations with five different initial conditions all converge to E 0 , which agrees well with the theoretical predictions. Hence, the rumor ultimately dies out, and the system reaches a stable state consisting solely of susceptible individuals.

4.1.2. Stability Simulation of the Boundary Equilibria

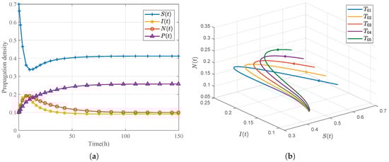
Considering system (11) with the parameters in Data 2 of Table 2, the thresholds satisfy R 03 = 2 > 1 , R 11 0.209 < 1 , and R 12 0.33 < 1 , which implies R 03 > 1 and R 1 < 1 . According to Theorem 7, the boundary equilibrium E 1 is locally asymptotically stable. Figure 3 shows that the system variables stabilize at E 1 = ( 0.5 , 0 , 0 , 0.396 ) under various initial conditions, consistent with the theoretical predictions. Hence, the system stabilizes at E 1 , where half of the population is susceptible, no individuals are infected or spreading negative emotions, and a persistent group of positive emotion spreaders effectively suppresses rumor propagation.
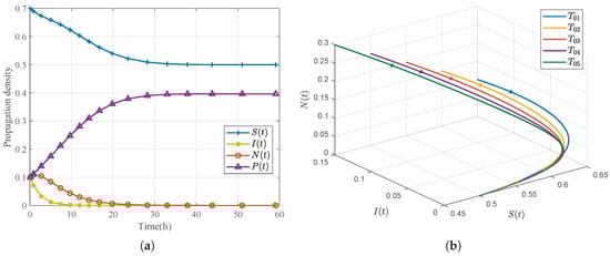
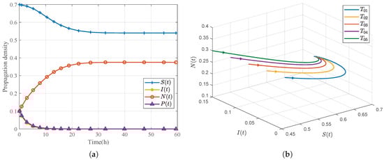
Considering system (11) with the parameters in Data 3 of Table 2, the thresholds satisfy R 01 = 2.4 > 1 , R 21 0.238 < 1 , and R 22 0.843 < 1 , which implies R 01 > 1 and R 2 < 1 . According to Theorem 8, the boundary equilibrium E 2 is locally asymptotically stable. Figure 4 illustrated that the system variables stabilize at E 2 = ( 0.416 , 0.466 , 0 , 0 ) under various initial conditions, consistent with the theoretical predictions. At equilibrium E 2 , the population consists of susceptible individuals and rumor-infected spreaders, with no emotional spreaders present. The rumor maintains itself solely through direct propagation between individuals, resulting in a persistent but stable state.
Considering system (11) with the parameters in Data 4 of Table 2, the thresholds satisfy R 02 1.851 > 1 , R 31 0.236 < 1 , and R 32 0.368 < 1 . It follows that R 02 > 1 and R 3 < 1 . According to Theorem 9, the boundary equilibrium E 3 is locally asymptotically stable. Figure 5 illustrated that the system variables stabilize at E 3 = ( 0.54 , 0 , 0.374 , 0 ) under various initial conditions, consistent with the theoretical predictions. At equilibrium point E 3 , active spreaders disappear, and the rumor is stably maintained by spreaders influenced by negative emotions. The local stability of E 3 indicates the robustness of this state. Incorporating emotional mechanisms enables the model to more comprehensively capture the complex dynamics of rumor propagation.

4.1.3. Stability Simulation of the Coexistence Equilibria

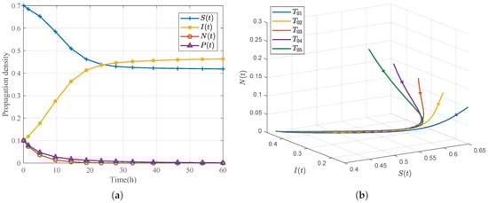
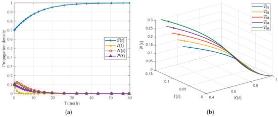
Considering system (11) with the parameters in Data 5 of Table 2, the thresholds satisfy R 01 2.965 > 1 , R 02 2.691 > 1 , and R 03 1.761 > 1 . It follows that R 0 > 1 , a 1 a 2 a 3 2.883 > 0 , and a 1 a 2 a 3 a 1 2 a 4 a 3 2 0.649 > 0 . According to Theorem 10, the boundary equilibrium E 7 is locally asymptotically stable. Figure 6 illustrated that the system variables stabilize at E 7 = ( 0.412 , 0.257 , 0.099 , 0.091 ) under various initial conditions, consistent with the theoretical predictions. At equilibrium E 7 , rumor and emotion spreaders coexist in a stable state, reflecting the coupled dynamics of rumor propagation and emotional influence maintaining system diversity and stability.

4.2. Sensitivity Analysis and Simulation of R 0

In this section, we employ the NFSI to analyze the effect of model parameters on R 0 , aiming to evaluate the critical roles of these parameters in rumor propagation. The parameter values listed in Table 3 are used to compute the sensitivity indices presented in Figure 7. The results indicate that the population inflow rate Λ and the infection rates β i are positively correlated with R 0 , whereas the population outflow rate d, instigation rate θ , and immunity rates γ i exhibit negative correlations. These findings are consistent with the theoretical derivations presented earlier.
The threshold R 0 determines whether a rumor can spread and includes three components: R 01 , R 02 , and R 03 . With parameters from Data 1 in Table 3 for system (11), the maximum value is R 0 max = R 01 = 1.25 , indicating that rumor spreaders primarily drive the overall propagation. To examine the impact of population flow on R 0 , we varied Λ and d within [ 0.1 , 1 ] . Figure 8a shows a positive linear relationship between Λ and R 01 , meaning more susceptible individuals increase rumor spread risk. Figure 8b shows a negative correlation between d and R 01 , indicating that faster outflow helps suppress rumor spreading. Figure 8c presents the combined effects of Λ and d, highlighting that regulating both is necessary for effective control.
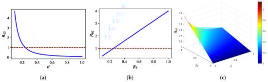
With parameters from Data 2 in Table 3 for system (11), the maximum threshold value is R 0 max = R 02 = 1.4 , indicating that negative emotion spreaders primarily drive overall propagation. We varied the outflow rate d and infection rate β 3 within the range [ 0.1 , 1 ] . Figure 9a illustrates a negative correlation between d and R 02 , while Figure 9b demonstrates that R 02 increases with β 3 , meaning higher infection rates of negative emotion spreaders raise the rumor propagation risk. Figure 9c reveals that at low outflow rate d, R 02 is highly sensitive to β 3 , whereas increasing d can suppress R 02 even when β 3 is high. These results highlight the importance of controlling both population flow and negative emotion infection rate to limit rumor spread.
With parameters from Data 3 in Table 3 for system (11), the maximum threshold value is R 0 max = R 03 = 1.33 , indicating that positive emotion spreaders primarily govern the overall propagation dynamics. We varied the infection rate β 1 and immunity rate γ 1 within the range [ 0.1 , 1 ] . Figure 10a demonstrates that the threshold R 03 grows linearly with the infection rate β 1 of positive emotion spreaders, while Figure 10b shows that R 03 decreases as immunity rate γ 1 increases. A higher R 03 indicates stronger rumor suppression by positive emotion spreaders. Figure 10c highlights that high β 1 combined with low γ 1 enhances positive emotion spread, effectively inhibiting rumor diffusion. Thus, increasing β 1 and maintaining appropriate γ 1 are key for rumor control.

4.3. Transcritical Bifurcation Simulation

According to Theorem 11, when R 0 = 1 , system (11) undergoes a transcritical bifurcation at the rumor-free equilibrium E 0 . Considering that the SINPR model includes three distinct spreader categories, this section presents numerical bifurcation analyses for R 01 , R 02 , and R 03 based on the parameter settings listed in Table 4.
Figure 11 illustrates the transcritical bifurcation process of the system’s state variables as the basic reproduction numbers R 01 , R 02 , and R 03 reach their respective critical values. It can be observed that when these reproduction numbers exceed their thresholds, the variables I ( t ) , N ( t ) , and P ( t ) exhibit a gradual increase from zero, indicating a transition from an inactive to an active state, thereby confirming the occurrence of transcritical bifurcations.

4.4. Effects of Parameters and Mechanisms on Dynamic Evolution

This section is dedicated to investigating the effects of key parameters and mechanisms on the dynamic evolution of rumor propagation within the fractional-order SINPR model. To ensure a rigorous and comprehensive analysis, we focus on three critical aspects: the fractional-order parameter, initial conditions, and emotional mechanisms. The values of the parameters employed in the simulations are based on empirical data and justified assumptions, as summarized in Table 5.

4.4.1. Impact of Fractional-Order on Dynamic Evolution

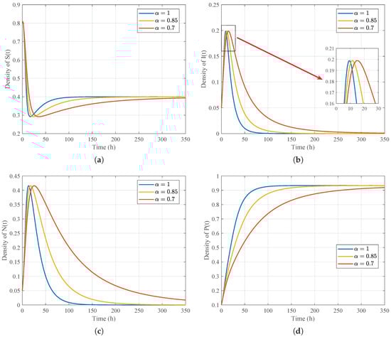
To evaluate the influence of fractional-order on the SINPR rumor propagation model, we performed fitting experiments using parameters from Table 5 (data 1) with fractional orders α = 1 , 0.85 , 0.7 . Here, α = 1 aligns with the classic integer-order model, establishing it as the baseline for comparison.
As illustrated in Figure 12, the density evolution for state variables S ( t ) , I ( t ) , N ( t ) , and P ( t ) reveals significant insights. The results indicate that higher α values lead to earlier peak times for all these variables, reflecting faster and more concentrated spreading. Conversely, lower α values cause slower dynamics, delayed peaks, and longer-lasting, smoother propagation and emotional changes. This is consistent with the memory effects and history dependence embodied by fractional-order derivatives, which explain the observed anomalous propagation of rumors.
This behavior highlights the memory effect inherent in fractional derivatives, which allows our model to effectively capture the nuances of individuals’ repeated exposure to rumors. Compared to traditional integer-order models, the fractional-order framework significantly enhances the model’s ability to portray the speed and duration of rumor spread accurately.

4.4.2. Influence of Initial Conditions on Rumor Propagation

Using parameters from Table 5 (data 2), we examined the influence of different initial conditions on the evolution of infected density I ( t ) within the SINPR model framework, as illustrated in Figure 13. Figure 13a shows that as S ( 0 ) increases, the peak of I ( t ) rises significantly and the rumor spreading duration is extended, indicating that a larger susceptible population promotes rumor diffusion. Figure 13b demonstrates that increasing I ( 0 ) not only elevates the infection peak but also accelerates the spreading rate, highlighting the critical influence of early infected individuals on transmission intensity. After incorporating negative and positive emotional spreading mechanisms, the rumor propagation process is modulated accordingly. Figure 13c indicates that an increase in N ( 0 ) slightly elevates the peak infected density, reflecting the facilitating effect of negative emotions on rumor spread; meanwhile, Figure 13d shows that although the mitigating effect of P ( 0 ) on the spreading trend is limited, positive emotional transmission still plays a positive role in rumor control, suggesting that multiple intervention strategies combined with emotional mechanisms are necessary to enhance governance effectiveness.

4.4.3. Effect of Emotional Mechanisms on Rumor Spread Dynamics

Based on the parameters from Table 5 (data 3 to data 6) and a fractional-order of 0.95 in the SINPR model, we investigated the effect of emotional mechanisms on rumor propagation dynamics, as demonstrated in Figure 14.
Figure 14a demonstrates that increasing the positive infection rate β 1 significantly reduces both the peak and duration of infection, indicating that positive emotions help suppress rumor spreading. Figure 14b shows that higher negative infection rate β 3 leads to an increased infection peak, thereby enhancing propagation intensity. Figure 14c,d illustrate the regulatory effects of positive emotion purification rates η 1 and η 2 ; the former markedly lowers the infection peak, while the latter exhibits a weaker but still noticeable inhibitory effect.
In summary, emotional mechanisms significantly influence rumor spread: Negative emotions accelerate propagation, whereas positive emotions suppress it through infection and purification processes, providing theoretical support for rumor control strategies.

4.5. Model Validation with Actual Datasets

To demonstrate practical utility and directly address real-world rumor dynamics, this section validates the fractional-order SINPR model using two actual Twitter datasets [45]. We selected events R6 (Harley-Davidson CEO rumor) and R12 (mail bomb suspect rumor) as representative case studies, mapping tweet status “r” to the infected state I ( t ) in our model. Key dataset statistics are summarized in Table 6, with full implementation steps detailed below.
The propagation of network rumors on social media often exhibits anomalous characteristics, with an initial acceleration followed by a gradual slowdown. Traditional integer-order models fail to accurately capture these phenomena. To tackle this issue, we propose a novel fractional-order SINPR model that uses a binary search method to apply different fractional-order parameters a across various time stages, enhancing the accuracy of rumor propagation predictions.
To more effectively capture the real-world rumor propagation patterns, we utilize the least squares method to estimate the model parameters for the first phase. Specifically, we calculate the cumulative propagation density of state I every 10 min, using the first 30 h of data from dataset 1 and the first 40 h of data from dataset 2 for parameter fitting. For dataset 1, the values of a are set as follows: a = 0.998 for t [ 0 , 40 ] ; a = 0.925 for t ( 40 , 120 ] ; and a = 0.811 for t ( 120 , 258 ] . The initial conditions for dataset 1 are defined as T d a t a s e t 1 ( R 6 ) ( 0 ) = ( 0.8 , 0.001 , 0.099 , 0.1 ) . For dataset 2, we set a = 0.998 for t [ 0 , 30 ] ; a = 0.985 for t ( 30 , 220 ] ; and a = 0.752 for t ( 220 , 456 ] . The initial conditions for dataset 2 are defined as T d a t a s e t 2 ( R 12 ) ( 0 ) = ( 0.8 , 0.005 , 0.095 , 0.1 ) . Table 7 presents the estimated model parameters, and Figure 15 illustrates the fit of the I state for both datasets compared to the actual data.
We utilized the parameters from Table 7 to predict the rumor propagation trends for the last 13 h of dataset 1 and the last 36 h of dataset 2 to validate the model’s effectiveness. Figure 16 and Figure 17 illustrate the predicted curves for the I state of the fractional-order SINPR model in both datasets, as well as the best fit effects of actual data and scatter plots comparing standardized predicted values with standardized actual values.
Finally, we compared the prediction performance of the traditional SIR model, integer-order SINPR model, and fractional-order SINPR model across the two rumor datasets, as shown in Figure 18. The results indicate that while the integer-order SINPR model improved the fit compared to the traditional SIR model, it still fell short of optimal performance, particularly in capturing the subtle changes in rumor propagation. In contrast, the fractional-order SINPR model outperformed other models in both fitting and predictive capabilities, making it more suitable for capturing the complex dynamic characteristics of rumor propagation.
Given that the overall changes in the density evolution curve of I ( t ) are minimal in the later stages, we selected the standardized R-squared, RMSE, and MSE as evaluation metrics for comparison. According to the results in Table 8, the fractional-order SINPR model delivers superior predictions across both datasets, achieving standardized R-squared values of 0.9712 for dataset 1 and 0.9801 for dataset 2. These results confirm the model’s practical capacity to forecast rumor propagation trends, enabling proactive intervention strategies for social media platforms.

5. Conclusions

Fractional-order derivatives serve as an optimal choice for constructing rumor propagation models because they provide additional degrees of freedom in determining the order of differentiation, allowing for a better description of the “anomalous propagation” characteristics of rumors. Furthermore, they can fit real-world data more accurately compared to integer-order models. This work presents a fractional-order SINPR rumor propagation model that incorporates emotional mechanisms and extends the classical SIR model. This model not only reveals the emotional interactions during the rumor propagation process but also offers deep insights into the propagation mechanisms through dynamic analysis, thereby providing a theoretical foundation for effective rumor control strategies. We prove several theorems regarding the positivity, boundedness, and uniqueness of solutions to the fractional-order model. Additionally, we calculate the model’s rumor-free equilibrium, boundary equilibria, coexistence equilibria, and threshold values, and examine the local asymptotic stability of the equilibrium points, as well as the sensitivity and transcritical bifurcation of R 0 . Subsequently, we validate the theoretical results through numerical simulations and analyze the effects of the fractional-order, initial conditions, and emotional mechanisms on the dynamic evolution of rumor propagation. Finally, drawing from real datasets, we fit the model parameters using the least squares method and compare the proposed fractional-order SINPR model with the traditional SIR model and integer-order SINPR model, further demonstrating the effectiveness of our fractional-order SINPR model in predicting trends in rumor propagation.

Author Contributions

Conceptualization, Y.L. (Yuze Li) and Y.L. (Ying Liu); methodology, softwar and validation, Y.L. (Yuze Li); writing—original draft preparation, Y.L. (Yuze Li); writing—review and editing, Y.L. (Yuze Li) and Y.L. (Ying Liu); supervision, J.Z.; project administration, Y.L. (Ying Liu) and J.Z. All authors have read and agreed to the published version of the manuscript.

Funding

This research was funded by the Xi’an University of Posts and Telecommunications Graduate Innovation Fund Project (Grant number CXJJBDL2024003).

Data Availability Statement

The original data presented in the study are openly available at https://doi.org/10.5281/zenodo.2563864.

Conflicts of Interest

The authors declare no conflicts of interest.

Abbreviations

The following abbreviations are used in this manuscript:
SINPRSusceptible-Infected-Negative-Positive-Removed
SIRSusceptible-Infected-Recovered
CFDConformable Fractional Derivative
NFSINormalized Forward Sensitivity Index

References

  1. Allport, G.W.; Postman, L. The Psychology of Rumor; Henry Holt: Oxford, UK, 1947; 247p. [Google Scholar]
  2. Dong, C.; Wang, H.; Zhou, S.; Zhong, H. SEIDR: Modeling the competitive propagation of rumor and anti-rumor in complex networks with emotional infection theory. Eur. Phys. J. Plus 2024, 139, 987. [Google Scholar] [CrossRef]
  3. Wang, R.; Li, J.C.; Sun, H.J.; Duan, S.R.; Zhang, G.G.; Xiao, Y.P. Rumor spreading model based on emotional characteristics and influence. Expert Syst. Appl. 2025, 274, 126952. [Google Scholar] [CrossRef]
  4. Pröllochs, N.; Bär, D.; Feuerriegel, S. Emotions in online rumor diffusion. EPJ Data Sci. 2021, 10, 51. [Google Scholar] [CrossRef]
  5. Daley, D.J.; Kendall, D.G. Epidemics and Rumours. Nature 1964, 204, 1118. [Google Scholar] [CrossRef] [PubMed]
  6. Kermack, W.O.; McKendrick, A.G. Contributions to the mathematical theory of epidemics—I. Bull. Math. Biol. 1991, 53, 33–55. [Google Scholar]
  7. Maki, D.; Thompson, M. Mathematical Models and Applications: With Emphasis on the Social, Life, and Management Sciences; Prentice-Hall: Englewood Cliffs, NJ, USA, 1974. [Google Scholar]
  8. Zhang, Z.Y.; Mei, X.H.; Jiang, H.J.; Luo, X.P.; Xia, Y. Dynamical analysis of Hyper-SIR rumor spreading model. Appl. Math. Comput. 2023, 446, 127887. [Google Scholar] [CrossRef]
  9. Lv, X.; Fan, D.; Li, Q.; Wang, J.; Zhou, L. Simplicial SIR rumor propagation models with delay in both homogeneous and heterogeneous networks. Phys. A 2023, 627, 129131. [Google Scholar] [CrossRef]
  10. Ding, H.X.; Xie, L. Simulating rumor spreading and rebuttal strategy with rebuttal forgetting: An agent-based modeling approach. Phys. A 2023, 612, 128488. [Google Scholar] [CrossRef]
  11. Cao, B.W.; Guan, G.; Shen, S.L.; Zhu, L.H. Dynamical behaviors of a delayed SIR information propagation model with forced silence function and control measures in complex networks. Eur. Phys. J. Plus 2023, 138, 402. [Google Scholar] [CrossRef]
  12. Tong, X.; Jiang, H.; Chen, X.; Yu, S.; Li, J. Dynamic Analysis and Optimal Control of Rumor Spreading Model with Recurrence and Individual Behaviors in Heterogeneous Networks. Entropy 2022, 24, 464. [Google Scholar] [CrossRef]
  13. Rehman, A.U.; Jiang, A.; Rehman, A.; Paul, A.; Din, S.; Sadiq, M.T. Identification and role of opinion leaders in information diffusion for online discussion network. J. Ambient Intell. Humaniz. Comput. 2023, 14, 15301–15313. [Google Scholar] [CrossRef]
  14. Jain, L. An entropy-based method to control COVID-19 rumors in online social networks using opinion leaders. Technol. Soc. 2022, 70, 102048. [Google Scholar] [CrossRef] [PubMed]
  15. Tang, Z.; Millerb, A.S.; Zhou, Z.; Warkentin, M. Understanding Rumor Combating Behavior on Social Media. J. Comput. Inf. Syst. 2022, 62, 1112–1124. [Google Scholar] [CrossRef]
  16. Xia, Y.; Jiang, H.J.; Yu, Z.Y.; Yu, S.Z.; Luo, X.P. Dynamic analysis and optimal control of a reaction-diffusion rumor propagation model in multi-lingual environments. J. Math. Anal. Appl. 2023, 521, 126967. [Google Scholar] [CrossRef]
  17. Guo, H.; Yan, X. Dynamic modeling and simulation of rumor propagation based on the double refutation mechanism. Inf. Sci. 2023, 630, 385–402. [Google Scholar] [CrossRef]
  18. Yu, Z.; Zi, H.; Zhang, Y.; Wu, S.; Cong, X.; Mostafa, A.M. Dynamic modeling and simulation of double-rumor spreaders in online social networks with IS2TR model. Nonlinear Dyn 2024, 113, 4369–4393. [Google Scholar] [CrossRef]
  19. Yu, Z.; Wu, S.; Zhang, Y.; Cong, X.; Wu, K. IRLTS rumor propagation model considering the influence of lurking psychology and the truth of rumors. Nonlinear Dyn. 2024, 112, 18593–18609. [Google Scholar] [CrossRef]
  20. Yin, F.; Xia, X.; Zhang, X.; Zhang, M.; Lv, J.; Wu, J. Modelling the dynamic emotional information propagation and guiding the public sentiment in the Chinese Sina-microblog. Appl. Math. Comput. 2021, 396, 125884. [Google Scholar] [CrossRef]
  21. Zhang, Y.; Xu, J.P. A Rumor Spreading Model considering the Cumulative Effects of Memory. Discret. Dyn. Nat. Soc. 2015, 2015, 204395. [Google Scholar] [CrossRef]
  22. Hamdan, N.; Kilicman, A. A fractional order SIR epidemic model for dengue transmission. Chaos Solitons Fractals 2018, 114, 55–62. [Google Scholar] [CrossRef]
  23. Liu, G.; Tan, Z.; Liang, Z.; Chen, H.; Zhong, X. Fractional optimal control for malware propagation in Internet of Underwater Things. IEEE Internet Things J. 2023, 11, 11632–11651. [Google Scholar] [CrossRef]
  24. Naik, P.A.; Zu, J.; Owolabi, K.M. Global dynamics of a fractional order model for the transmission of HIV epidemic with optimal control. Chaos Solitons Fractals 2020, 138, 109826. [Google Scholar] [CrossRef] [PubMed]
  25. Omar, O.A.; Ahmed, H.M.; Nofal, T.A.; Darwish, A.; Ahmed, A.S. Analysis and Optimal Control of Propagation Model for Malware in Multi-Cloud Environments with Impact of Brownian Motion Process. Math. Comput. Appl. 2025, 30, 8. [Google Scholar] [CrossRef]
  26. Liouville, J. Mémoire sur quelques questions de géométrie et de mécanique, et sur un nouveau genre de calcul pour résoudre ces questions. J. l’École Polytech. 1832, 13, 1–69. [Google Scholar]
  27. Caputo, M.; Fabrizio, M. A new definition of fractional derivative without singular kernel. Prog. Fract. Differ. Appl. 2015, 1, 73–85. [Google Scholar]
  28. Scherer, R.; Kalla, S.L.; Tang, Y.; Huang, J. The Grünwald–Letnikov method for fractional differential equations. Comput. Math. Appl. 2011, 62, 902–917. [Google Scholar] [CrossRef]
  29. Khalil, R.; Al Horani, M.; Yousef, A.; Sababheh, M. A new definition of fractional derivative. J. Comput. Appl. Math. 2014, 264, 65–70. [Google Scholar] [CrossRef]
  30. Zhao, D.; Luo, M. General conformable fractional derivative and its physical interpretation. Calcolo 2017, 54, 903–917. [Google Scholar] [CrossRef]
  31. Mitra, S.; Poddar, S.; Ghose-Choudhury, A.; Garai, S. Solitary wave characteristics in nonlinear dispersive media: A conformable fractional derivative approach. Nonlinear Dyn. 2022, 110, 1777–1788. [Google Scholar] [CrossRef]
  32. El-Ajou, A. A modification to the conformable fractional calculus with some applications. Alex. Eng. J. 2020, 59, 2239–2249. [Google Scholar] [CrossRef]
  33. Rabei, E.M.; Al-Masaeed, M.G.; Muslih, S.I.; Baleanu, D. Conformable Schrödinger equation in D-dimensional space. Int. J. Optimiz. Control 2025, 1, 71–81. [Google Scholar]
  34. Kengne, E. Conformable derivative in a nonlinear dispersive electrical transmission network. Nonlinear Dyn. 2024, 112, 2139–2156. [Google Scholar] [CrossRef]
  35. Ye, Y.; Fan, H.; Li, Y.; Liu, X.; Zhang, H. Conformable bilinear neural network method: A novel method for time-fractional nonlinear partial differential equations in the sense of conformable derivative. Nonlinear Dyn. 2025, 113, 7185–7200. [Google Scholar] [CrossRef]
  36. Yel, G.; Kayhan, M.; Ciancio, A. A new analytical approach to the (1+1)-dimensional conformable Fisher equation. Math. Model. Numer. Simul. Appl. 2022, 2, 211–220. [Google Scholar] [CrossRef]
  37. Lipschitz, R. Disamina della possibilità d’integrare completamente un dato sistema di equazioni differenziali ordinarie. Ann. Mat. Pura. Appl. 1868, 2, 288–302. [Google Scholar] [CrossRef]
  38. van den Driessche, P.; Watmough, J. Reproduction numbers and sub-threshold endemic equilibria for compartmental models of disease transmission. Math. Biosci. 2002, 180, 29–48. [Google Scholar] [CrossRef]
  39. Diekmann, O.; Heesterbeek, J.A.P.; Metz, J.A.J. On the definition and the computation of the basic reproduction ratio R0 in models for infectious diseases in heterogeneous populations. J. Math. Biol. 1990, 28, 365–382. [Google Scholar] [CrossRef]
  40. Wang, X.Y.; Yang, J.Y.; Luo, X.F. Asymptotical profiles of a viral infection model with multi-target cells and spatial diffusion. Comput. Math. Appl. 2019, 77, 389–406. [Google Scholar] [CrossRef]
  41. Chitnis, N.; Hyman, J.M.; Cushing, J.M. Determining Important Parameters in the Spread of Malaria Through the Sensitivity Analysis of a Mathematical Model. Bull. Math. Biol. 2008, 70, 1272–1296. [Google Scholar] [CrossRef]
  42. Castillo-Chavez, C.; Song, B. Dynamical models of tuberculosis and their applications. Math. Biosci. Eng. 2004, 1, 361–404. [Google Scholar] [CrossRef]
  43. De Santis, A.; Farsimadan, E.; Moradi, L.; Palmieri, F. Generalized Defensive Modeling of Fake News Propagation in Social Networks Using Fractional Differential Equations. IEEE Trans. Comput. Soc. Syst. 2025, 12, 622–634. [Google Scholar] [CrossRef]
  44. Yue, X.; Zhu, W. A Deterministic and Stochastic Fractional-Order ILSR Rumor Propagation Model Incorporating Media Reports and a Nonlinear Inhibition Mechanism. Symmetry 2024, 16, 602. [Google Scholar] [CrossRef]
  45. Bodaghi, A. Newly Emerged Rumors in Twitter [Data set]. Zenodo, 2019. Available online: https://zenodo.org/record/2563864 (accessed on 15 August 2025). [CrossRef]
Figure 1. The state transition diagram of the SINPR model.
Figure 1. The state transition diagram of the SINPR model.
Fractalfract 09 00546 g001
Figure 2. Rumor-free equilibrium E 0 : (a) time evolution of the densities S ( t ) , I ( t ) , N ( t ) , and P ( t ) ; (b) phase diagram for five distinct initial values.
Figure 2. Rumor-free equilibrium E 0 : (a) time evolution of the densities S ( t ) , I ( t ) , N ( t ) , and P ( t ) ; (b) phase diagram for five distinct initial values.
Fractalfract 09 00546 g002
Figure 3. Boundary equilibrium E 1 : (a) time evolution of the densities S ( t ) , I ( t ) , N ( t ) , and P ( t ) ; (b) phase diagram for five distinct initial values.
Figure 3. Boundary equilibrium E 1 : (a) time evolution of the densities S ( t ) , I ( t ) , N ( t ) , and P ( t ) ; (b) phase diagram for five distinct initial values.
Fractalfract 09 00546 g003
Figure 4. Boundary equilibrium E 2 : (a) time evolution of the densities S ( t ) , I ( t ) , N ( t ) , and P ( t ) ; (b) phase diagram for five distinct initial values.
Figure 4. Boundary equilibrium E 2 : (a) time evolution of the densities S ( t ) , I ( t ) , N ( t ) , and P ( t ) ; (b) phase diagram for five distinct initial values.
Fractalfract 09 00546 g004
Figure 5. Boundary equilibrium E 3 : (a) time evolution of the densities S ( t ) , I ( t ) , N ( t ) , and P ( t ) ; (b) phase diagram for five distinct initial values.
Figure 5. Boundary equilibrium E 3 : (a) time evolution of the densities S ( t ) , I ( t ) , N ( t ) , and P ( t ) ; (b) phase diagram for five distinct initial values.
Fractalfract 09 00546 g005
Figure 6. Coexistence equilibrium E 7 : (a) time evolution of the densities S ( t ) , I ( t ) , N ( t ) , and P ( t ) ; (b) phase diagram for five distinct initial values.
Figure 6. Coexistence equilibrium E 7 : (a) time evolution of the densities S ( t ) , I ( t ) , N ( t ) , and P ( t ) ; (b) phase diagram for five distinct initial values.
Fractalfract 09 00546 g006
Figure 7. Sensitivity indices with respect to different parameters: (a) R 01 , (b) R 02 , and (c) R 03 .
Figure 7. Sensitivity indices with respect to different parameters: (a) R 01 , (b) R 02 , and (c) R 03 .
Fractalfract 09 00546 g007
Figure 8. Threshold R 01 : (a) relationship between Λ and R 01 , (b) relationship between d and R 01 , and (c) combined effect of Λ and d on R 01 .
Figure 8. Threshold R 01 : (a) relationship between Λ and R 01 , (b) relationship between d and R 01 , and (c) combined effect of Λ and d on R 01 .
Fractalfract 09 00546 g008
Figure 9. Threshold R 02 : (a) relationship between d and R 02 , (b) relationship between β 3 and R 02 , and (c) combined effect of d and β 3 on R 02 .
Figure 9. Threshold R 02 : (a) relationship between d and R 02 , (b) relationship between β 3 and R 02 , and (c) combined effect of d and β 3 on R 02 .
Fractalfract 09 00546 g009
Figure 10. Threshold R 03 : (a) relationship between β 1 and R 03 , (b) relationship between γ 1 and R 03 , and (c) combined effect of β 1 and γ 1 on R 03 .
Figure 10. Threshold R 03 : (a) relationship between β 1 and R 03 , (b) relationship between γ 1 and R 03 , and (c) combined effect of β 1 and γ 1 on R 03 .
Fractalfract 09 00546 g010
Figure 11. Transcritical bifurcation at (a) R 01 , (b) R 02 , and (c) R 03 .
Figure 11. Transcritical bifurcation at (a) R 01 , (b) R 02 , and (c) R 03 .
Fractalfract 09 00546 g011
Figure 12. Density evolution of state variables under different fractional orders α : (a) S ( t ) , (b) I ( t ) , (c) N ( t ) , and (d) P ( t ) .
Figure 12. Density evolution of state variables under different fractional orders α : (a) S ( t ) , (b) I ( t ) , (c) N ( t ) , and (d) P ( t ) .
Fractalfract 09 00546 g012
Figure 13. Density evolution of I ( t ) under different initial conditions: (a) S ( 0 ) , (b) I ( 0 ) , (c) N ( 0 ) , and (d) P ( 0 ) .
Figure 13. Density evolution of I ( t ) under different initial conditions: (a) S ( 0 ) , (b) I ( 0 ) , (c) N ( 0 ) , and (d) P ( 0 ) .
Fractalfract 09 00546 g013
Figure 14. Impact of emotional mechanisms on the density I ( t ) of rumor spreaders with varying parameters: (a) β 1 , (b) β 3 , (c) η 1 , and (d) η 2 .
Figure 14. Impact of emotional mechanisms on the density I ( t ) of rumor spreaders with varying parameters: (a) β 1 , (b) β 3 , (c) η 1 , and (d) η 2 .
Fractalfract 09 00546 g014
Figure 15. The fitting curve for the I state and the actual data for the rumor datasets: (a) dataset 1 (R6); (b) dataset 2 (R12).
Figure 15. The fitting curve for the I state and the actual data for the rumor datasets: (a) dataset 1 (R6); (b) dataset 2 (R12).
Fractalfract 09 00546 g015
Figure 16. Dataset 1 (R6): (a) prediction curve for the I state and actual data in the last 13 h; (b) standardized predicted values vs. standardized actual values.
Figure 16. Dataset 1 (R6): (a) prediction curve for the I state and actual data in the last 13 h; (b) standardized predicted values vs. standardized actual values.
Fractalfract 09 00546 g016
Figure 17. Dataset 2 (R12): (a) prediction curve for the I state and actual data in the last 36 h; (b) standardized predicted values vs. standardized actual values.
Figure 17. Dataset 2 (R12): (a) prediction curve for the I state and actual data in the last 36 h; (b) standardized predicted values vs. standardized actual values.
Fractalfract 09 00546 g017
Figure 18. Comparison of the density evolution of I ( t ) for the traditional SIR model, integer-order SINPR model, and fractional-order SINPR model with different datasets: (a) dataset 1 (R6); (b) dataset 2 (R12).
Figure 18. Comparison of the density evolution of I ( t ) for the traditional SIR model, integer-order SINPR model, and fractional-order SINPR model with different datasets: (a) dataset 1 (R6); (b) dataset 2 (R12).
Fractalfract 09 00546 g018
Table 1. Description of parameters in the SINPR model.
Table 1. Description of parameters in the SINPR model.
CategorySymbolParameter Description
Inflow rate Λ Population inflow rate into the social network per unit time
Outflow ratedPopulation outflow rate from the social network per unit time
Infection rate β 1 Probability susceptibles are infected by positive emotion spreaders
β 2 Probability susceptibles are infected by rumor spreaders
β 3 Probability susceptibles are infected by negative emotion spreaders
Purification rate η 1 Conversion rate of rumor spreaders due to positive emotion purification
η 2 Conversion rate of negative emotion spreaders due to positive emotion purification
Instigation rate θ Rate at which rumor spreaders are driven by negative emotion instigation
Immunity rate γ 1 Rate at which positive emotion spreaders become immune
γ 2 Rate at which rumor spreaders become immune
γ 3 Rate at which negative emotion spreaders become immune
Table 2. Parameters for the local stability of E 0 , E 1 , E 2 , E 3 , and E 7 .
Table 2. Parameters for the local stability of E 0 , E 1 , E 2 , E 3 , and E 7 .
 Parameter Λ d β 1 β 2 β 3 θ η 1 η 2 γ 1 γ 2 γ 3
 Data 1 ( E 0 )0.150.150.10.10.10.70.20.20.10.10.1
 Data 2 ( E 1 )0.190.190.480.30.250.30.30.20.050.110.11
 Data 3 ( E 2 )0.20.20.250.60.200.50.050.20.050.15
 Data 4 ( E 3 )0.220.220.250.250.50.30.250.20.350.050.05
 Data 5 ( E 7 )0.160.160.370.860.550.080.250.350.050.050.05
Table 3. Parameters for the sensitivity of R 01 , R 02 , and R 03 .
Table 3. Parameters for the sensitivity of R 01 , R 02 , and R 03 .
 Parameter Λ d β 1 β 2 β 3 θ η 1 η 2 γ 1 γ 2 γ 3
 Data 1 ( R 01 )0.20.20.20.50.20.10.10.10.150.10.15
 Data 2 ( R 02 )0.20.20.30.40.350.20.10.10.100.150.05
 Data 3 ( R 03 )0.20.20.40.20.150.20.10.10.10.150.15
Table 4. Parameters for the transcritical bifurcation of R 01 , R 02 , and R 03 .
Table 4. Parameters for the transcritical bifurcation of R 01 , R 02 , and R 03 .
 Parameter Λ d β 1 β 2 β 3 θ η 1 η 2 γ 1 γ 2 γ 3
 Data 1 ( R 01 )0.20.20.2[0.001–1]0.20.10.10.150.150.10.15
 Data 2 ( R 02 )0.20.20.20.3[0.001–1]0.30.20.250.150.20.2
 Data 3 ( R 03 )0.20.2[0.001–1]0.40.40.250.30.250.10.150.2
Table 5. Parameters influencing dynamic evolution of rumor propagation.
Table 5. Parameters influencing dynamic evolution of rumor propagation.
 Parameter Λ d β 1 β 2 β 3 θ η 1 η 2 γ 1 γ 2 γ 3
Data 10.140.070.30.550.50.040.100.150.050.080.04
Data 20.160.060.280.500.550.050.120.140.0450.070.06
Data 30.150.13[0.2–1]0.80.550.050.250.350.050.050.05
Data 40.150.130.60.8[0.6–1]0.050.250.350.050.050.05
Data 50.150.130.60.80.550.05[0.1–0.5]0.350.050.050.05
Data 60.150.130.60.90.050.050.25[0.2–1]0.050.030.01
Table 6. Information of rumor datasets for experimental analysis.
Table 6. Information of rumor datasets for experimental analysis.
Dataset IDDescriptionTotal TweetsRumor TweetsCollection Period
Dataset 1 (R6)Harley-Davidson’s chief executive officer Matthew Levatich called President Trump “a moron”.754140[‘2018’, ‘Jun’, ‘28’, ‘23:49:04’] [‘2018’, ‘Jun’, ‘30’, ‘17:55:51’]
Dataset 2 (R12)A screenshot from MyLife.com confirms that mail bomb suspect Cesar Sayoc was registered as a Democrat.32,07914,931[‘2018’, ‘Oct’, ‘26’, ‘16:01:36’] [‘2018’, ‘Oct’, ‘29’, ‘20:03:27’]
Table 7. Parameter values obtained by fitting.
Table 7. Parameter values obtained by fitting.
Parameter Λ d β 1 β 2 β 3 θ η 1 η 2 γ 1 γ 2 γ 3
Data 10.17820.24050.37940.82710.58750.01260.24840.34380.06850.07650.0256
Data 20.27270.20670.33970.34830.24730.00010.20310.00160.13840.04180.0862
Table 8. Model performance metrics for different datasets.
Table 8. Model performance metrics for different datasets.
DatasetsModelStandardized R 2 RMSEMSE
Dataset 1 (R6)Traditional SIR0.66830.04880.0024
Integer-order SINPR0.92020.02590.0007
Fractional-order SINPR0.97120.00900.0001
Dataset 2 (R12)Traditional SIR0.83580.05630.0032
Integer-order SINPR0.94270.01740.0003
Fractional-order SINPR0.98010.00060.0001
The best results are shown in bold.
Disclaimer/Publisher’s Note: The statements, opinions and data contained in all publications are solely those of the individual author(s) and contributor(s) and not of MDPI and/or the editor(s). MDPI and/or the editor(s) disclaim responsibility for any injury to people or property resulting from any ideas, methods, instructions or products referred to in the content.

Share and Cite

MDPI and ACS Style

Li, Y.; Liu, Y.; Zhang, J. Dynamic Analysis of a Fractional-Order SINPR Rumor Propagation Model with Emotional Mechanisms. Fractal Fract. 2025, 9, 546. https://doi.org/10.3390/fractalfract9080546

AMA Style

Li Y, Liu Y, Zhang J. Dynamic Analysis of a Fractional-Order SINPR Rumor Propagation Model with Emotional Mechanisms. Fractal and Fractional. 2025; 9(8):546. https://doi.org/10.3390/fractalfract9080546

Chicago/Turabian Style

Li, Yuze, Ying Liu, and Jianke Zhang. 2025. "Dynamic Analysis of a Fractional-Order SINPR Rumor Propagation Model with Emotional Mechanisms" Fractal and Fractional 9, no. 8: 546. https://doi.org/10.3390/fractalfract9080546

APA Style

Li, Y., Liu, Y., & Zhang, J. (2025). Dynamic Analysis of a Fractional-Order SINPR Rumor Propagation Model with Emotional Mechanisms. Fractal and Fractional, 9(8), 546. https://doi.org/10.3390/fractalfract9080546

Article Metrics

Back to TopTop