Multifractal Characterization of Heterogeneous Pore Water Redistribution and Its Influence on Permeability During Depletion: Insights from Centrifugal NMR Analysis
Abstract
1. Introduction
2. Materials and Methods
2.1. Sample Collection and Preparation
2.2. Experimental Methods
2.2.1. Centrifugal Drainage Simulation
2.2.2. Gas Permeability Measurement
2.3. Data Processing Methods
2.3.1. Single Fractal Analysis Based on LF-NMR
2.3.2. Multifractal Analysis
3. Results and Discussion
3.1. Spatial Distribution Characteristics of Pore Water During Reservoir Drainage
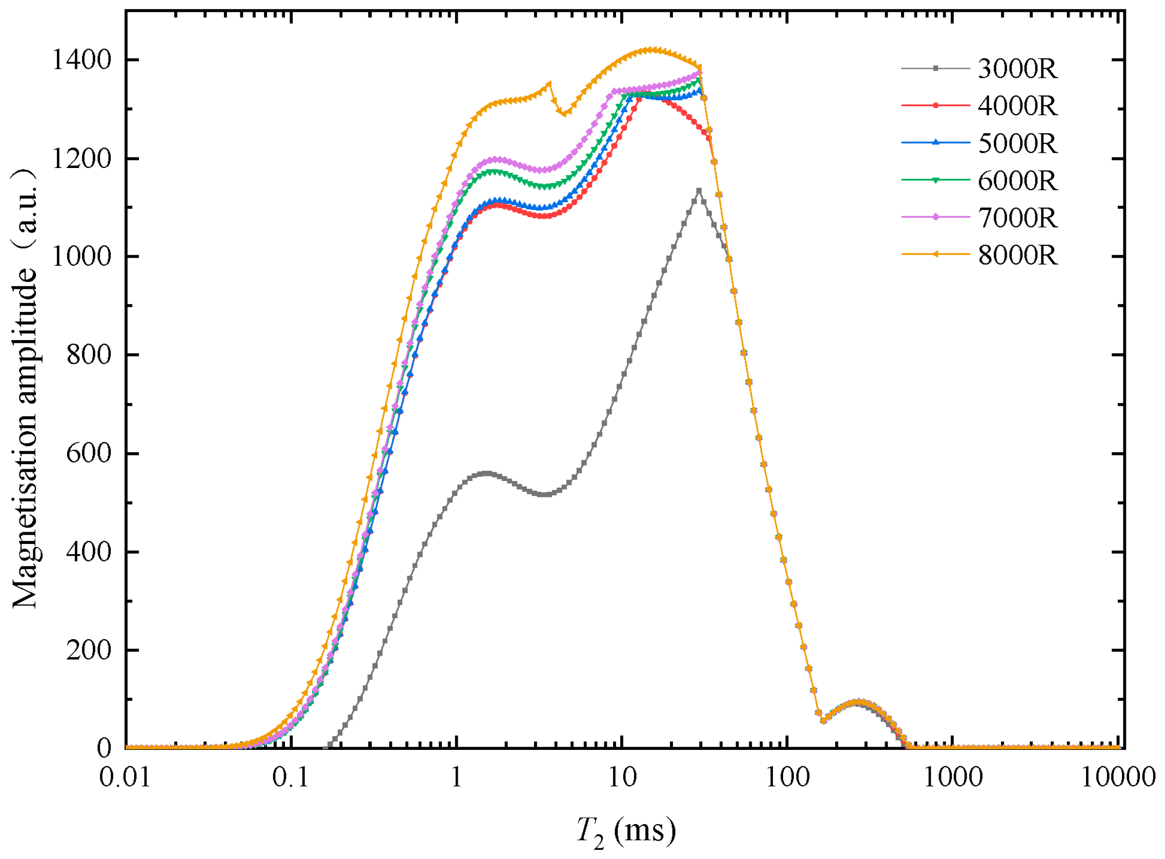
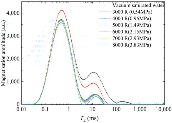
3.2. Fractal Mechanisms Governing Pore Fluid Redistribution
3.3. Influence of Reservoir Pore Fluid Distribution on Permeability
4. Conclusions
- (1)
- Dual-stage pore water redistribution mechanism: Reservoir drainage exhibits scale-dependent fluid migration governed by capillary-adsorption competition. Low-pressure stages (0–0.54 MPa) trigger rapid drainage of fracture and seepage pore water (11.8% total volume loss), while high-pressure stages (0.54–3.83 MPa) concentrate residual water in adsorption pores (95.8% of retained volume). This dual “macropore drainage–micropore retention” behavior underscores the critical role of strong physisorption and nanoconfinement in sustaining structural water heterogeneity under depletion.
- (2)
- Multifractal evolution of pore networks: Multifractal parameters resolve distinct structural controls across drainage phases. At low centrifugal pressure, reduced singularity strength range (Δα: −36.4%) and capacity-information dimension gap (D−10: −62.1%) signal enhanced macropore connectivity, facilitating initial permeability gains. Conversely, high-pressure regimes amplify adsorption pore heterogeneity (D0–D2: +7.8%), reflecting localized water entrapment and interfacial roughness that impede sustained fluid mobility.
- (3)
- Permeability–structure coupling model: A quadratic function links fractal parameters to permeability (R2 ≥ 0.99), demonstrating synergistic control by pore volume expansion and structural homogenization. Permeability escalates 3.6-fold as water saturation declines from 1.0 to 0.64, with 63.6% of this enhancement attributable to macropore connectivity gains during early drainage. The nonlinear permeability–water saturation relationship highlights the dominance of flow-path optimization over mere volumetric desaturation.
- (4)
- This work reaffirms the importance of characterizing dynamic permeability evolution within the broader context of reservoir development phases. Each experimental pressure stage corresponds to a specific zone—ranging from early-stage planning to deep mining-affected conditions—each governed by unique capillary pressure, stress regimes, and pore structure evolution. Our findings show that early transition zones facilitate free-water drainage from macropores, while later zones are dominated by the retention of adsorption-bound water in micropores. These insights emphasize the need for adaptive drainage strategies tailored to zone-specific pore characteristics. Moreover, this study establishes a predictive multifractal–permeability coupling framework, deepening our understanding of connectivity thresholds in heterogeneous pore systems. The results offer both theoretical guidance for evaluating dynamic permeability variations and practical strategies for optimizing coalbed methane production in multistage reservoir settings.
- (5)
- Limitations of the study: This work is based on laboratory-scale centrifugal-NMR experiments conducted on a single coal seam sample under controlled conditions. The imposed pressure gradients and small core dimensions may not fully replicate field-scale heterogeneity, reservoir temperature, or geochemical influences. Additionally, coal rank and mineral composition vary across basins, potentially affecting multifractal parameters. Other influencing factors, such as initial saturation conditions, boundary constraints, and centrifuge acceleration profiles, should be systematically investigated in future studies.
Author Contributions
Funding
Data Availability Statement
Conflicts of Interest
References
- Yu, L.; Li, X.; Chong, Z.; Xie, H. Spatial Distribution and Diffusion Characterisation of Water in Coal Samples: An Experimental Study. Processes 2024, 12, 671. [Google Scholar] [CrossRef]
- Zhang, J.; Wei, C.; Chu, X.; Vandeginste, V.; Ju, W. Multifractal Analysis in Characterizing Adsorption Pore Heterogeneity of Middle- and High-Rank Coal Reservoirs. ACS Omega 2020, 5, 19385–19401. [Google Scholar] [CrossRef]
- Tao, S.; Chen, S.; Pan, Z. Current status, challenges, and policy suggestions for coalbed methane industry development in China: A review. Energy Sci. Eng. 2019, 7, 1059–1074. [Google Scholar] [CrossRef]
- Duan, C.; Fu, X.; Deng, Z.; Kang, J.; Zhang, B.; Lu, J.; Hong, X.; Dai, R.; Li, X. Pore Structure Multifractal Characteristics of Coal Reservoirs in the Central and Eastern Qinshui Basin and Influencing Factors. Processes 2023, 11, 286. [Google Scholar] [CrossRef]
- Qin, L.; Lv, S.; Li, S.; Wang, H.; Liu, P.; Mu, M.; Li, J. Freeze–Thaw Response of Permeability and Absorption Channel Structure and Moisture Distribution in Different Coal Ranks. Nat. Resour. Res. 2025, 34, 1103–1122. [Google Scholar] [CrossRef]
- Cheng, G.; Jiang, B.; Li, M.; Li, F.; Xu, S. Quantitative characterization of fracture structure in coal based on image processing and multifractal theory. Int. J. Coal Geol. 2020, 228, 103566. [Google Scholar] [CrossRef]
- Wang, J.; Liu, L.; Cui, Z.; Wang, H.; Li, T.; Duan, L.; Cheng, Y.; Su, P.; Li, M.; Wei, X. Multi-fractal characteristics of pore structure for coal during the refined upgrading degassing temperatures. J. Pet. Explor. Prod. Technol. 2021, 11, 2931–2942. [Google Scholar] [CrossRef]
- Yao, P.; Zhang, J.; Lv, D.; Vandeginste, V.; Chang, X.; Zhang, X.; Wang, D.; Han, S.; Liu, Y. Effect of water occurrence in coal reservoirs on the production capacity of coalbed methane by using NMR simulation technology and production capacity simulation. Geoenergy Sci. Eng. 2024, 243, 213353. [Google Scholar] [CrossRef]
- Zhang, J.; Chu, X.; Wei, C.; Zhang, P.; Zou, M.; Wang, B.; Quan, F.; Ju, W. Review on the Application of Low-Field Nuclear Magnetic Resonance Technology in Coalbed Methane Production Simulation. ACS Omega 2022, 7, 26298–26307. [Google Scholar] [CrossRef]
- Zou, M.; Wei, C.; Zhang, M.; Lv, X. Quantification of gas and water transfer between coal matrix and cleat network during drainage process. J. Energy Resour. Technol. 2018, 140, 32905. [Google Scholar] [CrossRef]
- Ma, Z.; Tao, S.; Gao, L.; Cui, Y.; Jing, Q.; Chen, S.; He, W.; Guo, J.; Hai, L. Detailed characterization of microscopic pore structure in low-rank coal: A case study of zhalainuoer coalfield. Nat. Resour. Res. 2024, 33, 2261–2277. [Google Scholar] [CrossRef]
- Cai, J.; Qin, X.; Xia, X.; Jiao, X.; Chen, H.; Wang, H.; Xia, Y. Numerical modeling of multiphase flow in porous media considering micro-and nanoscale effects: A comprehensive review. Gas. Sci. Eng. 2024, 131, 205441. [Google Scholar] [CrossRef]
- Jahanbakhsh, A.; Wlodarczyk, K.L.; Hand, D.P.; Maier, R.R.J.; Maroto-Valer, M.M. Review of microfluidic devices and imaging techniques for fluid flow study in porous geomaterials. Sensors 2020, 20, 4030. [Google Scholar] [CrossRef]
- Pan, J.; Du, X.; Wang, X.; Hou, Q.; Wang, Z.; Yi, J.; Li, M. Pore and permeability changes in coal induced by true triaxial supercritical carbon dioxide fracturing based on low-field nuclear magnetic resonance. Energy 2024, 286, 129492. [Google Scholar] [CrossRef]
- Wang, X.; Pan, J.; Jin, Y.; Du, X.; Wang, Z.; Cheng, N.; Hou, Q. Morphology and propagation of supercritical carbon dioxide-induced fractures in coal based on a non-destructive surface extraction method. Fuel 2025, 384, 133948. [Google Scholar] [CrossRef]
- Bohaienko, V.; Diele, F.; Difonzo, F.V.; Marangi, C.; Martiradonna, A.; Provenzale, A. Vertical modeling of carbon sequestration in coastal wetlands using fractional-order derivatives and moisture dynamics. Math. Comput. Simul. 2025, 233, 369–388. [Google Scholar] [CrossRef]
- Wang, Z.; Pan, J.; Hou, Q.; Niu, Q.; Tian, J.; Wang, H.; Fu, X. Changes in the anisotropic permeability of low-rank coal under varying effective stress in Fukang mining area, China. Fuel 2018, 234, 1481–1497. [Google Scholar] [CrossRef]
- Li, Q.; Xu, J.; Shu, L.; Yan, F.; Pang, B.; Peng, S. Exploration of the induced fluid-disturbance effect in CBM co-production in a superimposed pressure system. Energy 2023, 265, 126347. [Google Scholar] [CrossRef]
- Pandey, R.; Harpalani, S. An imaging and fractal approach towards understanding reservoir scale changes in coal due to bioconversion. Fuel 2018, 230, 282–297. [Google Scholar] [CrossRef]
- Yu, X.; Xu, H.; Zhai, C.; Regenauer-Lieb, K.; Sang, S.; Sun, Y.; Jing, Y. Characterization of water migration behavior during spontaneous imbibition in coal: From the perspective of fractal theory and NMR. Fuel 2024, 355, 129499. [Google Scholar] [CrossRef]
- Hou, X.; Zhu, Y.; Chen, S.; Wang, Y.; Liu, Y. Investigation on pore structure and multifractal of tight sandstone reservoirs in coal bearing strata using LF-NMR measurements. J. Pet. Sci. Eng. 2020, 187, 106757. [Google Scholar] [CrossRef]
- Zhang, N.; Guo, S.; Wang, S.; Tong, Y.; Li, Z.; Wu, J. Fractal and Multifractal Characteristics on Pore Structure of Coal-Based Sedimentary Rocks Using Nuclear Magnetic Resonance. SPE J. 2024, 29, 2624–2637. [Google Scholar] [CrossRef]
- Zhang, N.; Wang, X.; Wang, S.; Wang, R.; Wu, J.; Li, Z.; Song, Y. Multifractal characteristics on pore structure of Longmaxi shale using nuclear magnetic resonance (NMR). Geoenergy Sci. Eng. 2024, 241, 213176. [Google Scholar] [CrossRef]
- Tao, S.; Chen, S.; Tang, D.; Zhao, X.; Xu, H.; Li, S. Material composition, pore structure and adsorption capacity of low-rank coals around the first coalification jump: A case of eastern Junggar Basin, China. Fuel 2018, 211, 804–815. [Google Scholar] [CrossRef]
- Zhang, Z.; Liu, G.; Liu, H.; Wang, X.; Lin, J.; Barakos, G.; Chang, P. Fractal characterization on methane adsorption in coal molecular structure. Phys. Fluids 2024, 36, 126611. [Google Scholar] [CrossRef]
- Zheng, S.; Sang, S.; Yao, Y.; Liu, D.; Liu, S.; Wang, M.; Feng, G. A multifractal-based method for determination NMR dual T2 cutoffs in coals. J. Pet. Sci. Eng. 2022, 214, 110488. [Google Scholar] [CrossRef]
- Zou, M.; Wei, C.; Huang, Z.; Zhang, M.; Lv, X. Experimental study on identification diffusion pores, permeation pores and cleats of coal samples. J. Energy Resour. Technol. 2016, 138, 21201. [Google Scholar] [CrossRef]
- SY/T 5346-2005; Petroleum and Natural Gas Industry Standard. Rock Capillary Pressure Measurement. National Development and Reform Commission of China: Beijing, China, 2005. (In Chinese)
- Wei, B.; Quan, F.; Song, Y.; Feng, S. Analysis of a middle-rank coal reservoir on a triple porosity/dual permeability model. Nat. Resour. Res. 2023, 32, 2197–2222. [Google Scholar] [CrossRef]
- SY/T 5336-2006; Petroleum and Natural Gas Industry Standard. Core Analysis Method. National Development and Reform Commission of China: Beijing, China, 2006. (In Chinese)
- Mandelbrot, B.B. The Fractal Geometry of Nature; W.H. Freeman: New York, NY, USA, 1982; Volume 1. [Google Scholar]
- Friesen, W.I.; Mikula, R.J. Fractal dimensions of coal particles. J. Colloid. Interf. Sci. 1987, 120, 263–271. [Google Scholar] [CrossRef]
- Liu, J.; Jiang, B.; Song, Y.; Li, F. Structure and fractal characteristic of micro-and meso-pores in low, middle-rank tectonic deformed coals by CO2 and N2 adsorption. Micropor Mesopor Mat. 2017, 253, 191–202. [Google Scholar]
- Martínez, F.S.J.; Martín, M.; Caniego, F.; Tuller, M.; Guber, A.; Pachepsky, Y.; García-Gutiérrez, C. Multifractal analysis of discretized X-ray CT images for the characterization of soil macropore structures. Geoderma 2010, 156, 32–42. [Google Scholar] [CrossRef]
- Zhang, J.; Wei, C.; Ju, W.; Yan, G.; Lu, G.; Hou, X.; Kai, Z. Stress sensitivity characterization and heterogeneous variation of the pore-fracture system in middle-high rank coals reservoir based on NMR experiments. Fuel 2019, 238, 331–344. [Google Scholar] [CrossRef]
- Zhou, S.; Liu, D.; Cai, Y.; Yao, Y. Fractal characterization of pore–fracture in low-rank coals using a low-field NMR relaxation method. Fuel 2016, 181, 218–226. [Google Scholar] [CrossRef]
- Yao, Y.; Liu, D. Comparison of low-field NMR and mercury intrusion porosimetry in characterizing pore size distributions of coals. Fuel 2012, 95, 152–158. [Google Scholar] [CrossRef]
- Yao, Y.; Liu, D.; Che, Y.; Tang, D.; Tang, S.; Huang, W. Non-destructive characterization of coal samples from China using microfocus X-ray computed tomography. Int. J. Coal Geol. 2009, 80, 113–123. [Google Scholar] [CrossRef]
- Zou, M.; Liu, Y.; Huang, Z.; Zhang, M.; Zhang, P. Geological control of irreducible water within the coal matrix and its quantified evaluation model. ACS Omega 2020, 5, 9540–9549. [Google Scholar] [CrossRef]
- Shen, J.; Qin, Y.; Wang, G.X.; Fu, X.; Wei, C.; Lei, B. Relative permeabilities of gas and water for different rank coals. Int. J. Coal Geol. 2011, 86, 266–275. [Google Scholar] [CrossRef]
- Han, L.; Shen, J.; Qu, J.; Ji, C.; Cheng, H. The analysis of the micro-occurrence state of irreducible water in anthracite fracture network based on digital core. Aapg Bull. 2023, 107, 1781–1797. [Google Scholar] [CrossRef]
- Zhang, J.; Quan, F.; Zhang, H.; Shao, Y.; Han, Y.; Yang, Y.; Chang, X.; Zhang, X. Multi-method characterization of sandstone pore size distribution heterogeneity and its influence on porosity and permeability variation. Front. Earth Sci. 2024, 18, 814–830. [Google Scholar] [CrossRef]
- Tian, T.; Zhang, D.; Shi, Y.; Quan, F.; Qin, Z. Pore-Fracture System Distribution Heterogeneity by Using the T2 Spectral Curve under a Centrifugal State. Processes 2024, 12, 1812. [Google Scholar] [CrossRef]
- Li, H.; He, J.; Lu, J.; Lin, B.; Lu, Y.; Shi, S.; Ye, Q. A review of laboratory study on enhancing coal seam permeability via chemical stimulation. Fuel 2022, 330, 125561. [Google Scholar] [CrossRef]
- Connell, L.D. A new interpretation of the response of coal permeability to changes in pore pressure, stress and matrix shrinkage. Int. J. Coal Geol. 2016, 162, 169–182. [Google Scholar] [CrossRef]










| Sample ID | Ro, max (%) | Ad (%) | Vdaf (%) | FCd (%) | Vitrinite (%) | Inertinite (%) | Exinite (%) |
|---|---|---|---|---|---|---|---|
| 8-2 | 0.72 | 4.32 | 32.25 | 58.33 | 58.3 | 41.2 | 0.5 |
| Displacement Pressure (MPa) | Total T2 Area (a.u.) | Adsorption Pores (a.u.) | Seepage Pores (a.u.) | Fractures (a.u.) |
|---|---|---|---|---|
| 0.00 | 193,978.36 | 152,267.14 | 39,546.62 | 2164.60 |
| 0.54 | 171,162.30 | 149,172.98 | 21,788.78 | 200.53 |
| 0.96 | 136,595.25 | 127,252.43 | 9198.12 | 144.70 |
| 1.49 | 135,396.04 | 126,945.55 | 8447.69 | 2.80 |
| 2.15 | 132,623.29 | 124,795.68 | 7825.95 | 1.66 |
| 2.93 | 130,951.44 | 123,897.22 | 7052.60 | 1.62 |
| 3.83 | 123,937.35 | 118,806.42 | 5130.77 | 0.16 |
| Centrifugal Speed (rpm) | Initial State | 3000R | 4000R | 5000R | 6000R | 7000R | 8000R | |
|---|---|---|---|---|---|---|---|---|
| Centrifugal Force (MPa) | 0.000 | 0.540 | 0.960 | 1.490 | 2.150 | 2.930 | 3.830 | |
| All pores | Slope | 1.063 | 1.600 | 1.644 | 1.689 | 1.684 | 1.684 | 1.703 |
| Fractal Dimension (D) | 1.937 | 1.400 | 1.356 | 1.311 | 1.316 | 1.316 | 1.297 | |
| R2 | 0.539 | 0.621 | 0.621 | 0.627 | 0.626 | 0.626 | 0.627 | |
| Adsorption pores | Slope | 2.990 | 2.968 | 2.958 | 2.959 | 2.954 | 2.955 | 2.953 |
| Fractal Dimension (D) | 0.010 | 0.032 | 0.042 | 0.041 | 0.046 | 0.045 | 0.047 | |
| R2 | 0.774 | 0.768 | 0.767 | 0.767 | 0.766 | 0.766 | 0.765 | |
| Seepage pores | Slope | 0.118 | 0.079 | 0.031 | 0.028 | 0.025 | 0.020 | 0.008 |
| Fractal Dimension (D) | 2.882 | 2.921 | 2.969 | 2.972 | 2.975 | 2.980 | 2.992 | |
| R2 | 0.999 | 0.998 | 0.986 | 0.984 | 0.978 | 0.966 | 0.785 | |
| Fractures | Slope | 0.047 | 0.048 | 0.035 | 0.038 | 0.037 | 0.036 | 0.032 |
| Fractal Dimension (D) | 2.953 | 2.952 | 2.965 | 2.963 | 2.963 | 2.964 | 2.968 | |
| R2 | 0.807 | 0.927 | 0.962 | 0.973 | 0.969 | 0.965 | 0.975 | |
| Centrifugal Speed (rpm) | 3000 | 4000 | 5000 | 6000 | 7000 | 8000 |
|---|---|---|---|---|---|---|
| Centrifugal pressure (MPa) | 0.540 | 0.960 | 1.490 | 2.150 | 2.930 | 3.830 |
| D−10 | 9.289 | 6.156 | 6.126 | 6.284 | 6.160 | 5.929 |
| D10 | 0.682 | 0.700 | 0.701 | 0.699 | 0.699 | 0.690 |
| Δα | 9.523 | 6.093 | 6.058 | 6.230 | 6.093 | 5.848 |
| D0 | 1.000 | 1.000 | 1.000 | 1.000 | 1.000 | 1.000 |
| D2 | 0.742 | 0.729 | 0.729 | 0.726 | 0.725 | 0.722 |
| D0–D2 | 0.258 | 0.271 | 0.271 | 0.274 | 0.275 | 0.278 |
| D−10–D0 | 8.289 | 5.156 | 5.126 | 5.284 | 5.160 | 4.929 |
| D0–D10 | 0.318 | 0.300 | 0.299 | 0.301 | 0.301 | 0.310 |
| D−10–D10 | 8.606 | 5.456 | 5.425 | 5.584 | 5.461 | 5.239 |
| Centrifugal Speed (rpm) | 0 | 3000 | 4000 | 5000 | 6000 | 7000 | 8000 | Fully Dry |
|---|---|---|---|---|---|---|---|---|
| Centrifugal pressure (MPa) | 0 | 0.540 | 0.960 | 1.490 | 2.150 | 2.930 | 3.830 | |
| Water saturation | 1.000 | 0.882 | 0.704 | 0.698 | 0.684 | 0.675 | 0.639 | 0.882 |
| Gas permeability (mD) | 0.321 | 0.558 | 1.124 | 1.317 | 1.326 | 1.437 | 1.473 | 7.252 |
Disclaimer/Publisher’s Note: The statements, opinions and data contained in all publications are solely those of the individual author(s) and contributor(s) and not of MDPI and/or the editor(s). MDPI and/or the editor(s) disclaim responsibility for any injury to people or property resulting from any ideas, methods, instructions or products referred to in the content. |
© 2025 by the authors. Licensee MDPI, Basel, Switzerland. This article is an open access article distributed under the terms and conditions of the Creative Commons Attribution (CC BY) license (https://creativecommons.org/licenses/by/4.0/).
Share and Cite
Quan, F.; Lu, W.; Song, Y.; Sheng, W.; Qin, Z.; Luo, H. Multifractal Characterization of Heterogeneous Pore Water Redistribution and Its Influence on Permeability During Depletion: Insights from Centrifugal NMR Analysis. Fractal Fract. 2025, 9, 536. https://doi.org/10.3390/fractalfract9080536
Quan F, Lu W, Song Y, Sheng W, Qin Z, Luo H. Multifractal Characterization of Heterogeneous Pore Water Redistribution and Its Influence on Permeability During Depletion: Insights from Centrifugal NMR Analysis. Fractal and Fractional. 2025; 9(8):536. https://doi.org/10.3390/fractalfract9080536
Chicago/Turabian StyleQuan, Fangkai, Wei Lu, Yu Song, Wenbo Sheng, Zhengyuan Qin, and Huogen Luo. 2025. "Multifractal Characterization of Heterogeneous Pore Water Redistribution and Its Influence on Permeability During Depletion: Insights from Centrifugal NMR Analysis" Fractal and Fractional 9, no. 8: 536. https://doi.org/10.3390/fractalfract9080536
APA StyleQuan, F., Lu, W., Song, Y., Sheng, W., Qin, Z., & Luo, H. (2025). Multifractal Characterization of Heterogeneous Pore Water Redistribution and Its Influence on Permeability During Depletion: Insights from Centrifugal NMR Analysis. Fractal and Fractional, 9(8), 536. https://doi.org/10.3390/fractalfract9080536

