Analysis of the Microscopic Pore Structure Characteristics of Sandstone Based on Nuclear Magnetic Resonance Experiments and Nuclear Magnetic Resonance Logging Technology
Abstract
1. Introduction
2. Geological Background Study
3. Experimental and Analytical Methods
3.1. Source of Sandstone Samples
3.2. Rock Cast Thin Slices
3.3. Scanning Electron Microscope
3.4. Nuclear Magnetic Resonance Experiments
3.5. Nuclear Magnetic Resonance Logging
3.6. Fractal Method
4. Results and Analysis
4.1. Petrological and Physical Properties Characteristics
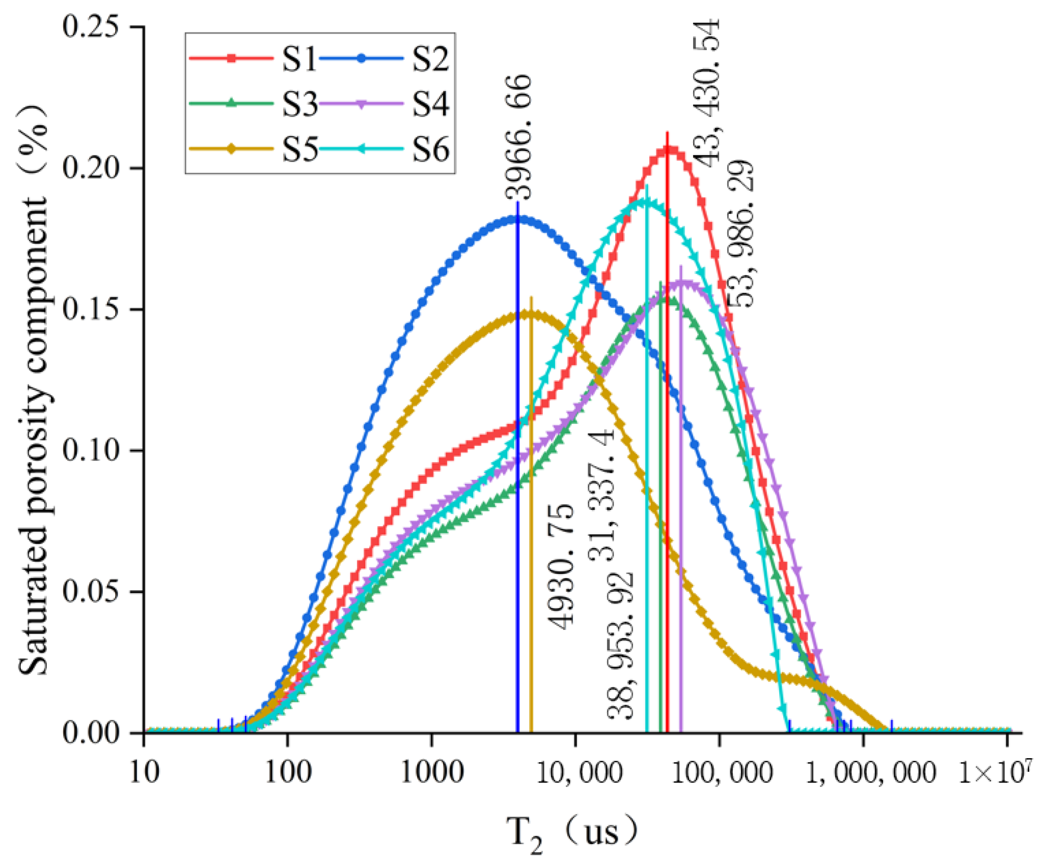
4.2. Pore Structure Characteristics Based on Nuclear Magnetic Resonance
4.3. Fractal Characteristics Based on Nuclear Magnetic Resonance Experiments
4.4. Pore Structure Characteristics Based on Nuclear Magnetic Resonance Logging
5. Discussion
5.1. Analysis of Pore Morphology in Tight Sandstone
5.2. The Influence of Mineral Composition on the Fractal Characteristics of Pore Structure
5.3. Fractal Dimension Control of Sandstone Pore Reservoir and Seepage Characteristics
6. Conclusions
- The tight sandstone samples from the Linxing region generally exhibit bimodal T2 spectra, dominated by short relaxation components, indicating that bound pores are predominant. Based on the T2cutoff classification, the fractal dimensions of bound and movable pores range from 2.512 to 2.918 and from 2.260 to 2.970, respectively, with average values of 2.713 and 2.808. This suggests that movable pores possess greater structural complexity.
- A significant correlation exists between fractal dimensions and mineral composition. An increase in quartz content is typically accompanied by a rise in Dc2, indicating enhanced complexity in the movable pore structure due to the development of secondary quartz. Conversely, an increase in feldspar content generally leads to a decrease in Dc2, primarily attributed to the dissolution of feldspar during late diagenesis, which forms secondary dissolution pores, thereby reducing the heterogeneity of movable pores.
- The results of nuclear magnetic logging indicated that the bound pores in the evaluated well interval exhibited significantly higher porosity compared to the movable pores. Furthermore, the variation trend of the PMF/BVI ratio aligned closely with the experimental data, suggesting that microporous-bound pore structures exert a major influence on the fluid occurrence conditions. The relationship between Dc1 and permeability remains weak, while Dc2 demonstrates a clear negative association. This confirms that fractal dimensions not only characterize pore complexity but also serve as effective indicators for assessing reservoir flow potential.
- This study employed the box-counting model, integrating NMR experiments and logging data to investigate pore structure and flow characteristics across multiple scales. However, the traditional fractal dimension D has limitations, especially when exceeding the theoretical threshold of 3.0, where its physical meaning becomes ambiguous. Future research is encouraged to introduce multifractal theory and incorporate methods such as CT scanning, mercury intrusion, and low-temperature gas adsorption. Combined with well logging, these approaches could build a multi-scale, coupled pore–flow characterization framework to improve the applicability and accuracy of fractal analysis in tight reservoir evaluation.
Author Contributions
Funding
Data Availability Statement
Conflicts of Interest
Abbreviations
| NMR | Nuclear Magnetic Resonance |
| T2 | Transverse Relaxation Time |
| PMF | Porosity Model Function |
| BVI | Bulk Volume Irreducible |
| SEM | Scanning Electron Microscopy |
| HPMI | High-Pressure Mercury Intrusion |
| BET/N2-BET | Brunauer–Emmett–Teller Nitrogen Adsorption |
| CT | Computed Tomography |
References
- Chen, L.; Jiang, Z.X.; Liu, K.Y.; Wang, P.F.; Ji, W.M.; Gao, F.L.; Li, P.; Hu, T.; Zhang, B.; Huang, H.X. Effect of lithofacies on gas storage capacity of marine and continental shales in the Sichuan Basin, China. J. Nat. Gas Sci. Eng. 2016, 36, 773–785. [Google Scholar] [CrossRef]
- Huang, H.X.; Li, R.X.; Jiang, Z.X.; Li, J.; Chen, L. Investigation of variation in shale gas adsorption capacity with burial depth: Insights from the adsorption potential theory. J. Nat. Gas Sci. Eng. 2020, 73, 103043. [Google Scholar] [CrossRef]
- Fu, J.H.; Deng, X.Q.; Wang, Q.; Li, J.H.; Qiu, J.L.; Hao, L.W.; Zhao, Y.D. Densification and hydrocarbon accumulation of Triassic Yanchang Formation Chang 8 Member, Ordos Basin, NW China: Evidence from geochemistry and fluid inclusions. Pet. Explor. Dev. 2017, 44, 48–57. [Google Scholar] [CrossRef]
- Yuan, H.Q.; Deng, X.Y.; Du, H.Y.; Yu, H.Y.; Xu, F.M. Characterizing the heterogeneity of tight sandstone in outcropped Permian Shanxi Formation, Liujiang Basin. Pet. Geol. 2024, 44, 468–479, (In Chinese with English Abstract). [Google Scholar] [CrossRef]
- Zou, C.N.; Zhu, R.K.; Liu, K.Y.; Su, L.; Bai, B.; Zhang, X.X.; Yuan, X.J.; Wang, J.H. Tight gas sandstone reservoirs in China: Characteristics and recognition criteria. J. Pet. Sci. Eng. 2012, 88–89, 82–91. [Google Scholar] [CrossRef]
- Yao, Y.B.; Liu, D.M. Comparison of low-field NMR and mercury intrusion porosimetry in characterizing pore size distributions of coals. Fuel 2012, 95, 152–158. [Google Scholar] [CrossRef]
- Lai, J.; Wang, G.W.; Wang, Z.Y.; Chen, J.; Pang, X.J.; Wang, S.C.; Zhou, L.Z.; He, Z.B.; Qin, Z.Q.; Fan, X.Q. A review on pore structure characterization in tight sandstones. Earth Sci. Rev. 2018, 177, 436–457. [Google Scholar] [CrossRef]
- Peta, K.; Stemp, W.J.; Stocking, T.; Chen, R.; Love, G.; Gleason, M.A.; Houk, B.A.; Brown, C.A. Multiscale Geometric Characterization and Discrimination of Dermatoglyphs (Fingerprints) on Hardened Clay—A Novel Archaeological Application of the GelSight Max. Materials 2025, 18, 2939. [Google Scholar] [CrossRef]
- Shi, Y.; Yassin, M.R.; Dehghanpour, H. A modified model for spontaneous imbibition of wetting phase into fractal porous media. Colloids Surf. A Physicochem. Eng. Asp. 2018, 543, 64–75. [Google Scholar] [CrossRef]
- Miao, H.; Jiang, Z.X.; Gong, X.; Li, C.M.; Wang, D.D.; Wu, Q.Z. The shale gas migration capacity of the Qiongzhusi Formation: Implications for its enrichment model. Phys. Fluids 2025, 37, 056603. [Google Scholar] [CrossRef]
- Zhang, L.; Liu, J.F.; He, X.J.; Feng, F.; Li, W.; Wang, M.; Zhu, W.J.; Zhu, Y.S. Fractal Characteristics and Influencing Factors of Pore Structure in Tight Sandstone: A Case Study from Chang 6 Member of the Southwestern Yishan Slope. Processes 2025, 13, 988. [Google Scholar] [CrossRef]
- Zhang, S.L.; Yang, Y.T.; Zhang, L.; Cao, Y.H. Formation Mechanism of Secondary Quartz in the Second Member of Xujiahe Formation in Western Sichuan Depression and Its Impact on Reservoir Physical Properties. XinJiang Pet. Geol. 2023, 44, 25–32, (In Chinese with English Abstract). [Google Scholar]
- Zhan, H.M.; Li, X.Z.; Hu, Z.M.; Chen, L.Q.; Shen, W.J.; Guo, W.; He, W.K.; Zhou, Y.H. Effect of Particle Size on Pore Structure and Fractal Characteristics of Deep Siliceous Shales in Southern Sichuan, China, Measured Using Small-Angle Neutron Scattering and Low-Pressure Nitrogen Adsorption. Fractal Fract. 2025, 9, 165. [Google Scholar] [CrossRef]
- Clarkson, C.R.; Freeman, M.; He, L.; Agamalian, M.; Melnichenko, Y.B.; Mastalerz, M.; Bustin, M.R.; Radliński, A.P.; Blach, T.P. Characterization of tight gas reservoir pore structure using USANS/SANS and gas adsorption analysis. Fuel 2021, 95, 371–385. [Google Scholar] [CrossRef]
- Meng, M.M.; Ge, H.K.; Ji, W.M.; Shen, Y.H.; Su, S. Monitor the process of shale spontaneous imbibition in co-current and counter-current displacing gas by using low field nuclear magnetic resonance method. J. Nat. Gas Sci. Eng. 2015, 27, 336–345. [Google Scholar] [CrossRef]
- Gao, H.; Li, H.Z.A. Pore structure characterization, permeability evaluation and enhanced gas recovery techniques of tight gas sandstones. J. Nat. Gas Sci. Eng. 2016, 28, 536–547. [Google Scholar] [CrossRef]
- Zhang, N.; Wang, S.; Wu, J.; Li, Z.; Wang, X. Full-Scale Pore Structure Characterization and Its Impact on Methane Adsorption Capacity and Seepage Capability: Differences between Shallow and Deep Coal from the Tiefa Basin in Northeastern China. Fractal Fract. 2024, 8, 48. [Google Scholar] [CrossRef]
- Li, X.M.; Wang, Y.R.; Lin, W.; Ma, L.H.; Liu, D.X.; Liu, J.R.; Zhang, Y. Micro-pore structure and fractal characteristics of deep shale from Wufeng Formation to Longmaxi Formation in Jingmen exploration area, Hubei Province, China. J. Nat. Gas Sci. Eng. 2022, 7, 121–132. [Google Scholar] [CrossRef]
- Han, C.; Li, G.; Dan, S.; Yang, Y.; He, X.; Qi, M.; Liu, G. Study of Fractal and Multifractal Features of Pore Structure in Tight Sandstone Reservoirs of the Permian Lucaogou Formation, Jimsar Sag, Junggar Basin, Northwest China. ACS Omega 2022, 7, 31352–31366. [Google Scholar] [CrossRef]
- Noorddin, H.A.; Hossain, M.E.; Al-Yousef, H.; Okasha, T. Comparison of permeability models using mercury injection capillary pressure data on carbonate rock samples. J. Pet. Sci. Eng. 2014, 121, 9–22. [Google Scholar] [CrossRef]
- Zhu, F.; Hu, W.X.; Cao, J.; Sun, F.N.; Liu, Y.F.; Sun, Z.M. Micro/nanoscale pore structure and fractal characteristics of tight gas sandstone: A case study from the Yuanba area, northeast Sichuan Basin, China. Mar. Pet. Geol. 2018, 98, 116–132. [Google Scholar] [CrossRef]
- Li, K.W. Analytical derivation of Brooks-Corey type capillary pressure models using fractal geometry and evaluation of rock Heterogeneity. J. Pet. Sci. Eng. 2010, 73, 20–26. [Google Scholar] [CrossRef]
- Shao, X.H.; Pang, X.Q.; Li, H.; Zhang, X. Fractal Analysis of Pore Network in Tight Gas Sandstones Using NMR Method: A Case Study from the Ordos Basin, China. Energy Fuels 2017, 31, 10358–10368. [Google Scholar] [CrossRef]
- Teng, Y.; Er, C.; Zhao, J.; Guo, Q.; Shen, C.; Tan, S. Pore structure characterization based on NMR experiment: A case from the Shanxi Formation tight sandstones in the Daning-Jixian area, eastern Ordos Basin. Energy Geosci. 2023, 4, 100192. [Google Scholar] [CrossRef]
- Shen, J.; Li, K.X.; Zhang, H.W.; Shabbiri, K.; Hu, Q.J.; Zhang, C. The geochemical characteristics, origin, migration and accumulation modes of deep coal-measure gas in the west of Linxing block at the eastern margin of Ordos Basin. J. Nat. Gas Sci. Eng. 2021, 91, 103965. [Google Scholar] [CrossRef]
- Deng, J.M.; Zeng, H.; Wu, P.; Du, J.; Gao, J.X.; Zhao, F.; Jiang, Z.X. Pore Structure Differentiation between Deltaic and Epicontinental Tight Sandstones of the Upper Paleozoic in the Eastern Linxing Area, Ordos Basin, China. Geofluids 2021, 2021, 1–17. [Google Scholar] [CrossRef]
- Lyu, C.H.; Zhong, L.G.; Ning, Z.F.; Wang, Q.; Cole, D.R. Characterization of Nanoscale Pores in Tight Gas Sandstones Using Complex Techniques: A Case Study of a Linxing Tight Gas Sandstone Reservoir. Geofluids 2021, 2021, 1–10. [Google Scholar] [CrossRef]
- Qiao, P.; Ju, Y.W.; Cai, J.C.; Zhao, J.; Zhu, H.J.; Yu, K.; Qi, Y.; Meng, S.Z.; Li, W.Y.; Sun, Y. Micro-Nanopore Structure and Fractal Characteristics of Tight Sandstone Gas Reservoirs in the Eastern Ordos Basin, China. J. Nanosci. Nanotechnol. 2021, 21, 234–245. [Google Scholar] [CrossRef]
- Wang, Z.Y.; Zhou, N.W.; Lu, S.F.; Liu, Y.C.; Lin, L.M.; Liu, Y.; Song, B. Generation, accumulation, and distribution of Upper Paleozoic tight sandstone gas in the northeastern margin of the Ordos Basin. Mar. Pet. Geol. 2023, 156, 106463. [Google Scholar] [CrossRef]
- Shi, S.; He, J.X.; Zhang, X.L.; Wu, H.C.; Yu, Z.Q.; Wang, J.; Yang, T.T.; Wang, W. Fractal analysis of pore structures in transitional shale gas reservoirs in the Linxing area, Ordos Basin. Front. Earth Sci. 2022, 10, 979039. [Google Scholar] [CrossRef]
- Li, T.; Ren, D.Z.; Sun, H.P.; Wang, H.; Tian, T.; Li, Q.H.; Yan, Z. Imbibition Characteristics and Influencing Factors of the Fracturing Fluid in a Tight Sandstone Reservoir. Acs Omega 2024, 9, 17204–17216. [Google Scholar] [CrossRef]
- SY/T 5368-2016; Rock Thin Section Identification. Code of China: Beijing, China, 2016.
- SY/T 5162-2021; Analytical Method for Rock Samples via Scanning Electron Microscopy. Code of China: Beijing, China, 2021.
- Li, P.; Zheng, M.; Bi, H.; Wu, S.T.; Wang, X.R. Pore throat structure and fractal characteristics of tight oil sandstone: A case study in the Ordos Basin, China. J. Pet. Sci. Eng. 2017, 149, 665–674. [Google Scholar] [CrossRef]
- Wu, H.; Ji, Y.L.; Liu, R.; Zhang, C.L.; Chen, S. Pore structure and fractal characteristics of a tight gas sandstone: A case study of Sulige area in the Ordos Basin, China. Energy Explor. Exploit. 2018, 36, 1438–1460. [Google Scholar] [CrossRef]
- Song, Z.Z.; Liu, G.D.; Yang, W.W.; Zou, H.Y.; Sun, M.L.; Wang, X.L. Multi-fractal distribution analysis for pore structure characterization of tight sandstone-A case study of the Upper Paleozoic tight formations in the Longdong District, Ordos Basin. Mar. Pet. Geol. 2018, 92, 842–854. [Google Scholar] [CrossRef]
- Zhu, Y. Characterization and Typeification Evaluation of Pore Structure in Tight Sandstone Reservoirs of Shahejie Formation in Szechwan Szechwan Dongying Sag; Chengdu University of Technology: Chengdu, China, 2022. [Google Scholar]
- Guan, Y.; Ye, Q.; Zhang, C.; Chen, J.; Tang, X.Y. Pore Structure Characteristics and Typeification Evaluation of High-Pressure Low-Permeability Clastic Rock Reservoirs: A Case Study of the Huangliu Formation in Yinggehai Basin. J. Northeast Pet. Univ. 2024, 48, 75–89. [Google Scholar]
- Gao, X.D.; Wang, Y.B.; Li, Y.; Guo, H.; Ni, X.M.; Wu, X.; Zhao, S.H. Characteristics of Tight Sandstone Reservoirs and Controls of Reservoir Quality: A Case Study of He 8 Sandstones in the Linxing Area, Eastern Ordos Basin, China. Acta Geol. Sin.-Engl. Ed. 2019, 93, 637–659. [Google Scholar] [CrossRef]
- Miao, H.; Jiang, Z.X.; Lu, J.M.; Zhang, C.J.; Shi, L.; Sun, L.; Yang, L.; Shang, P. Hydrocarbon Source and Relationship between Hydrocarbon Charging Process and Reservoir Tight Period of the Denglouku Formation Tight Sandstone Gas Reservoirs in the Xujiaweizi Fault Depression, Songliao Basin. Nat. Resour. Res. 2024, 33, 1675–1684. [Google Scholar] [CrossRef]
- Wang, R.; Liu, K.; Shi, W.Z.; Qin, S.; Zhang, W.; Qi, R.; Xu, L.T. Reservoir Densification, Pressure Evolution, and Natural Gas Accumulation in the Upper Paleozoic Tight Sandstones in the North Ordos Basin, China. Energies 2022, 15, 1990. [Google Scholar] [CrossRef]
- Zhu, P.; Meng, X.H.; Wang, X.; Dong, Y.X.; Li, X.W.; Zhang, C.H.; Li, Z.Q.; Ma, T.; Wei, W.; Guo, J. Geochemical characteristics of diagenetic fluid and densification model of tight gas sandstone reservoirs in Linxing Area, the eastern margin of Ordos Basin, China. Mar. Pet. Geol. 2022, 138, 105496. [Google Scholar] [CrossRef]
- Xu, H.J.; Fan, Y.R.; Hu, F.L.; Li, C.X.; Yu, J.; Liu, Z.C.; Wang, F.Y. Characterization of Pore Throat Size Distribution in Tight Sandstones with Nuclear Magnetic Resonance and High-Pressure Mercury Intrusion. Energies 2019, 12, 1528. [Google Scholar] [CrossRef]
- Zhang, Z.Y.; Weller, A. Fractal dimension of pore-space geometry of an Eocene sandstone formation. Geophysics 2014, 79, 377–387. [Google Scholar] [CrossRef]
- Golsanami, N.; Sun, J.M.; Zhang, Z.Y. A review on the applications of the nuclear magnetic resonance (NMR) technology for investigating fractures. J. Appl. Geophys. 2016, 133, 30–38. [Google Scholar] [CrossRef]
- Wu, X.B.; Du, Z.W.; Qiang, X.L.; Lei, T.; Jiang, T.T.; Wang, W.; Zhu, Y.S. Binary pore structure and fractal characteristics of tight sandstone: A case study of Chang 7 Member of Triassic Yanchang Formation in Ordos Basin. Pet. Geol. Recovery Effic. 2024, 31, 45–56. [Google Scholar]
- Wang, W.; Wang, R.Y.; Wang, L.N.; Qu, Z.Y.; Ding, X.Y.; Gao, C.L.; Meng, W.C. Pore Structure and Fractal Characteristics of Tight Sandstones Based on Nuclear Magnetic Resonance: A Case Study in the Triassic Yanchang Formation of the Ordos Basin, China. ACS Omega 2023, 8, 16284–16297. [Google Scholar] [CrossRef]












| Sample | Depth (m) | Ø (%) | K (mD) | Minerals (wt. %) | ||||||
|---|---|---|---|---|---|---|---|---|---|---|
| Quartz | Feldspar | Calcite | Dolomite | Clay | Mica | Other | ||||
| S1 | 1368.42 | 6.370 | 0.080 | 77 | 3 | 1 | 0 | 9 | 30 | 2 |
| S2 | 1382.80 | 9.740 | 0.310 | 73 | 5 | 0 | 0 | 6 | 5 | 4 |
| S3 | 1326.72 | 6.370 | 0.220 | 72 | 6 | 1 | 0 | 5 | 2 | 4 |
| S4 | 1421.11 | 6.250 | 0.200 | 70 | 5 | 0 | 5 | 8 | 10 | 2 |
| S5 | 1387.28 | 8.930 | 0.490 | 67 | 6 | 3 | 0 | 3 | 4 | 3 |
| S6 | 1394.23 | 6.750 | 0.190 | 73 | 4 | 1 | 0 | 5 | 5 | 2 |
| Model | Sample | T2cutoff | Bound Pore | Movable Pore | ||
|---|---|---|---|---|---|---|
| Dc1 | R2 | Dc2 | R2 | |||
| Box model | S1 | 65.604 | 2.839 | 0.905 | 2.927 | 0.922 |
| S2 | 32.069 | 2.683 | 0.879 | 2.770 | 0.870 | |
| S3 | 17.522 | 2.512 | 0.898 | 2.970 | 0.932 | |
| S4 | 26.844 | 2.612 | 0.909 | 2.958 | 0.930 | |
| S5 | 27.243 | 2.918 | 0.926 | 2.260 | 0.900 | |
| S6 | 40.181 | 2.716 | 0.879 | 2.964 | 0.899 | |
Disclaimer/Publisher’s Note: The statements, opinions and data contained in all publications are solely those of the individual author(s) and contributor(s) and not of MDPI and/or the editor(s). MDPI and/or the editor(s) disclaim responsibility for any injury to people or property resulting from any ideas, methods, instructions or products referred to in the content. |
© 2025 by the authors. Licensee MDPI, Basel, Switzerland. This article is an open access article distributed under the terms and conditions of the Creative Commons Attribution (CC BY) license (https://creativecommons.org/licenses/by/4.0/).
Share and Cite
Li, S.; Tao, C.; Fu, H.; Miao, H.; Qiu, J. Analysis of the Microscopic Pore Structure Characteristics of Sandstone Based on Nuclear Magnetic Resonance Experiments and Nuclear Magnetic Resonance Logging Technology. Fractal Fract. 2025, 9, 532. https://doi.org/10.3390/fractalfract9080532
Li S, Tao C, Fu H, Miao H, Qiu J. Analysis of the Microscopic Pore Structure Characteristics of Sandstone Based on Nuclear Magnetic Resonance Experiments and Nuclear Magnetic Resonance Logging Technology. Fractal and Fractional. 2025; 9(8):532. https://doi.org/10.3390/fractalfract9080532
Chicago/Turabian StyleLi, Shiqin, Chuanqi Tao, Haiyang Fu, Huan Miao, and Jiutong Qiu. 2025. "Analysis of the Microscopic Pore Structure Characteristics of Sandstone Based on Nuclear Magnetic Resonance Experiments and Nuclear Magnetic Resonance Logging Technology" Fractal and Fractional 9, no. 8: 532. https://doi.org/10.3390/fractalfract9080532
APA StyleLi, S., Tao, C., Fu, H., Miao, H., & Qiu, J. (2025). Analysis of the Microscopic Pore Structure Characteristics of Sandstone Based on Nuclear Magnetic Resonance Experiments and Nuclear Magnetic Resonance Logging Technology. Fractal and Fractional, 9(8), 532. https://doi.org/10.3390/fractalfract9080532

