Journal Description
Crystals
Crystals
is an international, peer-reviewed, open access journal on crystallography published monthly online by MDPI. The Professional Committee of Key Materials and Technology for Electronic Components (PC-KMTEC) is affiliated with Crystals and its members receive discounts on the article processing charges.
- Open Access— free for readers, with article processing charges (APC) paid by authors or their institutions.
- High Visibility: indexed within Scopus, SCIE (Web of Science), Inspec, Ei Compendex, CAPlus / SciFinder, and other databases.
- Journal Rank: JCR - Q2 (Crystallography) / CiteScore - Q2 (Condensed Matter Physics)
- Rapid Publication: manuscripts are peer-reviewed and a first decision is provided to authors approximately 12.7 days after submission; acceptance to publication is undertaken in 2.3 days (median values for papers published in this journal in the second half of 2025).
- Recognition of Reviewers: reviewers who provide timely, thorough peer-review reports receive vouchers entitling them to a discount on the APC of their next publication in any MDPI journal, in appreciation of the work done.
Impact Factor:
2.4 (2024);
5-Year Impact Factor:
2.4 (2024)
Latest Articles
Coloration Mechanisms of Paleozoic Marbles of Central Anatolia: Mineralogical and Geochemical Evidence from White, Blue, and Grayish-Blue Calcites, Kırşehir, Türkiye
Crystals 2026, 16(1), 42; https://doi.org/10.3390/cryst16010042 - 6 Jan 2026
Abstract
Blue calcite mineral formations occurring within Paleozoic marbles of Central Anatolia have been investigated in terms of their mineralogical and geochemical characteristics, as well as their potential for use as ornamental stones or decorative objects. XRD analyses of samples with different color tones
[...] Read more.
Blue calcite mineral formations occurring within Paleozoic marbles of Central Anatolia have been investigated in terms of their mineralogical and geochemical characteristics, as well as their potential for use as ornamental stones or decorative objects. XRD analyses of samples with different color tones (white, grayish-blue, and blue) revealed that the white sample contains only calcite, the grayish-blue samples include calcite and dolomite, while the blue sample contains calcite and quartz. XRF and ICP-MS analyses indicate a marked enrichment of trace elements such as Fe, Cr, and Ni in the blue sample, and Mn and Fe in the grayish-blue samples, suggesting these elements may influence the observed color variations. The presence of dolomite in grayish-blue samples and quartz in the blue sample corresponds to elevated MgO and SiO2 contents, respectively. Based on their distinct colors, textures, transparency, and other aesthetic properties, the grayish-blue and blue marbles show significant potential for use as decorative stones or ornamental objects.
Full article
(This article belongs to the Section Mineralogical Crystallography and Biomineralization)
Open AccessArticle
Adjustable Cryogenic Near-Zero Thermal Expansion and Magnetic Properties in Antiperovskite Mn3Cu0.5Ge0.5N0.78C0.22
by
Zhishan Hu, Cuihong Han, Hao Zhang, Yongjuan Dai and Zhonghua Sun
Crystals 2026, 16(1), 41; https://doi.org/10.3390/cryst16010041 - 4 Jan 2026
Abstract
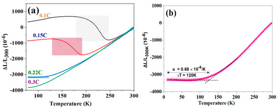
An attractive cryogenic near-zero thermal expansion (ZTE) behavior was achieved in the Mn3Cu0.5Ge0.5N0.78C0.22 compound, spanning a broad temperature window of 120 K (5 K to 125 K) with an average coefficient of thermal expansion
[...] Read more.
An attractive cryogenic near-zero thermal expansion (ZTE) behavior was achieved in the Mn3Cu0.5Ge0.5N0.78C0.22 compound, spanning a broad temperature window of 120 K (5 K to 125 K) with an average coefficient of thermal expansion (CTE) of α = 0.68 × 10−6 K−1. Furthermore, the effect of sintering temperature and holding time on thermal expansion and magnetic properties were investigated. Two distinct magnetic phase transitions are evident in the magnetization–temperature (M-T) curve of Mn3Cu0.5Ge0.5N0.78C0.22, which precede the near-ZTE behavior. These two antiferromagnetic (AFM)-like ordering transitions are hypothesized to play a pivotal role in governing the ZTE behavior, as they induce two episodes of negative thermal expansion (NTE). The realization of ZTE behavior is thus attributed to the counterbalance of these two NTE contributions, which can be effectively tuned by varying the carbon content or optimizing the sintering process parameters. Collectively, these results demonstrate significant potential for the design of diverse cryogenic functional materials.
Full article
(This article belongs to the Section Inorganic Crystalline Materials)
►▼
Show Figures

Figure 1
Open AccessArticle
Effects of 147 MeV Kr Ions on the Structural, Optical and Luminescent Properties of Gd3Ga5O12
by
Zhakyp T. Karipbayev, Gulnara M. Aralbayeva, Kuat K. Kumarbekov, Askhat B. Kakimov, Amangeldy M. Zhunusbekov, Abdirash Akilbekov, Mikhail G. Brik, Marina Konuhova, Sergii Ubizskii, Yevheniia Smortsova, Yana Suchikova, Snežana Djurković, Sergei Piskunov and Anatoli I. Popov
Crystals 2026, 16(1), 40; https://doi.org/10.3390/cryst16010040 - 3 Jan 2026
Abstract
The optical and vibrational responses of Gd3Ga5O12 (GGG) single crystals to 147 MeV Kr-ion irradiations were systematically investigated to clarify defect formation pathways and their influence on luminescence mechanisms. Absorption spectra measured at room temperature reveal a stepwise
[...] Read more.
The optical and vibrational responses of Gd3Ga5O12 (GGG) single crystals to 147 MeV Kr-ion irradiations were systematically investigated to clarify defect formation pathways and their influence on luminescence mechanisms. Absorption spectra measured at room temperature reveal a stepwise redshift of the fundamental edge and the progressive development of a broad sub-band-gap tail between 4.4 and 5.3 eV, indicating the accumulation of F- and F+-type oxygen-vacancy centers and increasing structural disorder. Raman spectroscopy shows that, despite substantial track overlap at fluences up to 1014 ions/cm2, the crystal preserves its phonon frequencies and linewidths, while peak intensities decrease due to a growing disordered volume fraction. Low-temperature (13 K) photoluminescence demonstrates the persistence of a dominant broad band near 2.4 eV and the emergence of an additional irradiation-induced band at ~2.75 eV whose width increases with fluence, reflecting the formation of vacancy-related defect complexes. Excitation spectra transform from band-edge-dominated behavior in the pristine crystal to defect-tail-mediated excitation in heavily irradiated samples. These results provide a consistent spectroscopic picture of ion-track-induced disorder in GGG and identify the defect states governing its luminescence under extreme irradiation conditions.
Full article
(This article belongs to the Special Issue Research Progress of Photoluminescent Materials)
►▼
Show Figures

Figure 1
Open AccessArticle
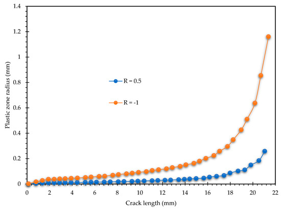
Numerical Analysis of Curvilinear Fatigue Crack Growth and Plastic Zone Evolution in Haynes 230 Superalloy Under Variable Stress Ratios
by
Yahya Ali Fageehi and Abdulnaser M. Alshoaibi
Crystals 2026, 16(1), 39; https://doi.org/10.3390/cryst16010039 - 1 Jan 2026
Abstract
This paper presents a high-fidelity numerical simulation of curvilinear fatigue crack growth (FCG) through a modified Compact Tension (CT) specimen made of Haynes 230 nickel-based superalloy. The specimen’s design, featuring three extra holes, was intentionally chosen to induce mixed-mode loading and complex, non-linear
[...] Read more.
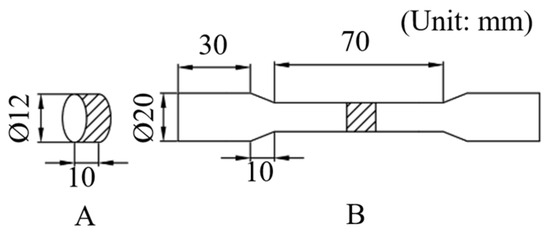
This paper presents a high-fidelity numerical simulation of curvilinear fatigue crack growth (FCG) through a modified Compact Tension (CT) specimen made of Haynes 230 nickel-based superalloy. The specimen’s design, featuring three extra holes, was intentionally chosen to induce mixed-mode loading and complex, non-linear crack paths. Crucially, this configuration allows for a thorough examination of how the specimen’s geometry, restraints, or minor manufacturing discrepancies affect the localized stress state. Experimental data corresponding to three different initial crack patterns were utilized to validate the numerical model implemented within the ANSYS simulation environment. The comparison demonstrated that the present simulated crack trajectory was significantly closer to the experimental results than those obtained from earlier numerical simulations using ZFEM-TERF and FRANC3D. Furthermore, the current study critically examined the validity of Linear Elastic Fracture Mechanics (LEFM) by analyzing the evolution of the Cyclic Plastic Zone (CPZ) size for two distinct stress ratio values: R = 0.5 and R = −1. The findings confirm the full satisfaction of the Small-Scale Yielding (SSY) criterion throughout the crack growth history for the positive stress ratio (R = 0.5). Conversely, the negative stress ratio (R = −1) caused a significant violation of the SSY assumption in the later stages of propagation. This highlights how the applicability of LEFM is largely dependent on the loading regime and underscores the necessity of employing Elastic–Plastic Fracture Mechanics (EPFM) for fully reversed cycles. This research establishes a well-founded and valuable protocol for predicting Fatigue Crack Growth (FCG) in complex superalloy components.
Full article
(This article belongs to the Special Issue Fatigue and Fracture of Crystalline Metal Structures)
►▼
Show Figures

Figure 1
Open AccessArticle
Crystal Structures of Novel Phenyl Fulgides
by
Yingchun Li, Sameh Abdelwahed, Nattamai Bhuvanesh, Joseph Reibenspies and Zhenhuan Yi
Crystals 2026, 16(1), 38; https://doi.org/10.3390/cryst16010038 - 1 Jan 2026
Abstract
Fulgides are a class of organic compounds that exhibit photochromic behavior in both the solid state and in solution. These compounds have attracted considerable research interest due to their wide range of potential applications, including photochromic eyewear, smart windows, optical switches, data storage,
[...] Read more.
Fulgides are a class of organic compounds that exhibit photochromic behavior in both the solid state and in solution. These compounds have attracted considerable research interest due to their wide range of potential applications, including photochromic eyewear, smart windows, optical switches, data storage, and chemical and biological sensors. Here, we report the synthesis and crystal structures of fulgides bearing four different para-substituents on the phenyl moiety. All four molecules crystallize in space groups containing an inversion center. The distances between the two carbon atoms that would form the single C–C bond in the cyclized products fall within the range of 3.301–3.475 Å. The observed structural variations are attributed to intermolecular interactions based on Hirshfeld surface analysis. The fulgides exhibit photochromism, but they are not expected to display ferroelectric behavior due to their crystallization in centrosymmetric space groups.
Full article
(This article belongs to the Section Organic Crystalline Materials)
►▼
Show Figures

Figure 1
Open AccessReview
Stoichiometry-Controlled Surface Reconstructions in Epitaxial ABO3 Perovskites for Sustainable Energy Applications
by
Habib Rostaghi Chalaki, Ebenezer Seesi, Gene Yang, Mohammad El Loubani and Dongkyu Lee
Crystals 2026, 16(1), 37; https://doi.org/10.3390/cryst16010037 - 1 Jan 2026
Abstract
ABO3 perovskite oxides are a versatile class of materials whose surfaces and interfaces play essential roles in sustainable energy technologies, including catalysis, solid oxide fuel and electrolysis cells, thermoelectrics, and energy-relevant oxide electronics. The interplay between point defects and surface reconstructions strongly
[...] Read more.
ABO3 perovskite oxides are a versatile class of materials whose surfaces and interfaces play essential roles in sustainable energy technologies, including catalysis, solid oxide fuel and electrolysis cells, thermoelectrics, and energy-relevant oxide electronics. The interplay between point defects and surface reconstructions strongly affects interfacial stability, charge transport, and catalytic activity under operating conditions. This review summarizes recent progress in understanding how oxygen vacancies, cation nonstoichiometry, and electronic defects couple to atomic-scale surface rearrangements in representative perovskite systems. We first revisit Tasker’s classification of ionic surfaces and clarify how defect chemistry provides compensation mechanisms that stabilize otherwise polar or metastable terminations. We then discuss experimental and theoretical insights into defect-mediated reconstructions on perovskite surfaces and how they influence the performance of energy conversion devices. Finally, we conclude with a perspective on design strategies that leverage defect engineering and surface control to enhance functionality in energy applications, aiming to connect fundamental surface science with practical materials solutions for the transition to sustainable energy.
Full article
(This article belongs to the Special Issue Exploring New Materials for the Transition to Sustainable Energy)
►▼
Show Figures

Figure 1
Open AccessReview
Rational Engineering in Protein Crystallization: Integrating Physicochemical Principles, Molecular Scaffolds, and Computational Design
by
Sho Ito and Tatsuya Nishino
Crystals 2026, 16(1), 36; https://doi.org/10.3390/cryst16010036 - 31 Dec 2025
Abstract
X-ray crystallography remains the gold standard for high-resolution structural biology, yet obtaining diffraction-quality crystals continues to pose a major bottleneck due to inherently low success rates. This review advocates a paradigm shift from probabilistic screening to rational engineering, reframing crystallization as a controllable
[...] Read more.
X-ray crystallography remains the gold standard for high-resolution structural biology, yet obtaining diffraction-quality crystals continues to pose a major bottleneck due to inherently low success rates. This review advocates a paradigm shift from probabilistic screening to rational engineering, reframing crystallization as a controllable self-assembly process. We provide a comprehensive overview of strategies that connect fundamental physicochemical principles to practical applications, beginning with contact design, which involves the active engineering of crystal contacts through surface entropy reduction (SER), introduction of electrostatic patches. Complementing these molecular approaches, we discuss physicochemical strategies that exploit heterogeneous nucleation on functionalized surfaces and gold nanoparticles (AuNPs) to lower the energy barrier for crystal formation. We also address scaffold design, utilizing rigid fusion partners and polymer-forming chaperones to promote crystallization even from low-concentration solutions. Furthermore, we highlight principles for controlling the behavior of multi-component complexes, based on our experimental experience. Finally, we examine de novo lattice design, which leverages AI tools such as AlphaFold and RFdiffusion to program crystal lattices from first principles. Together, these strategies establish an integrated workflow that links thermodynamic stability with crystallizability.
Full article
(This article belongs to the Special Issue Reviews of Crystal Engineering)
►▼
Show Figures

Figure 1
Open AccessRetraction
RETRACTED: Hamza et al. Chemical Characterization of Taif Rose (Rosa damascena Mill var. trigentipetala) Waste Methanolic Extract and Its Hepatoprotective and Antioxidant Effects Against Cadmium Chloride (CdCl2)-Induced Hepatotoxicity and Potential Anticancer Activities Against Liver Cancer Cells (HepG2). Crystals 2022, 12, 460
by
Reham Z. Hamza, Hatim M. Al-Yasi, Esmat F. Ali, Mustafa A. Fawzy, Tharwat G. Abdelkader and Tarek M. Galal
Crystals 2026, 16(1), 35; https://doi.org/10.3390/cryst16010035 - 31 Dec 2025
Abstract
The journal retracts the article titled “Chemical Characterization of Taif Rose (Rosa damascena Mill var [...]
Full article
Open AccessArticle
Dual-Soft-Template-Assisted PEG-CTAB Surface Regulation of Co3V2O8 Toward Superior Water Oxidation
by
Mrunal Bhosale, Aditya A. Patil and Chan-Wook Jeon
Crystals 2026, 16(1), 34; https://doi.org/10.3390/cryst16010034 - 30 Dec 2025
Abstract
The electrochemical water splitting process represents a promising and sustainable route for generating high-purity hydrogen with minimal environmental impact. The development of efficient and economically viable electrocatalysts is crucial for enhancing the kinetics of the oxygen evolution reaction (OER), which is a major
[...] Read more.
The electrochemical water splitting process represents a promising and sustainable route for generating high-purity hydrogen with minimal environmental impact. The development of efficient and economically viable electrocatalysts is crucial for enhancing the kinetics of the oxygen evolution reaction (OER), which is a major bottleneck in overall water splitting. In this study, a Co3V2O8/PEG-CTAB electrocatalyst was synthesized and systematically evaluated for its OER activity in alkaline conditions. The nanosheet-like architecture of the PEG-CTAB-assisted Co3V2O8 electrocatalyst facilitates effective interfacial contact, thereby improving charge transport and catalytic accessibility. Among the examined compositions, the Co3V2O8/PEG-CTAB catalyst exhibited superior OER performance, requiring a low overpotential of 298 mV to deliver a current density of 10 mA cm−2 and displaying a Tafel slope of 90 mV dec−1 in 1 M KOH. Furthermore, the catalyst demonstrated outstanding durability, retaining its electrocatalytic activity after 5000 consecutive CV cycles and prolonged chronopotentiometric testing. The Co3V2O8/PEG-CTAB || Pt-C asymmetric cell required a cell voltage of 1.83 V to reach the threshold current density, confirming its ability to efficiently sustain overall water splitting under alkaline conditions. The enhanced performance is attributed to the synergistic effect of the electrocatalyst, which promotes active site exposure and structural stability. These findings highlight the potential of the Co3V2O8/PEG-CTAB system as a cost-effective and robust electrocatalyst for practical water oxidation applications.
Full article
(This article belongs to the Special Issue Advances in Electrocatalyst Materials)
►▼
Show Figures

Figure 1
Open AccessArticle
Calculation and Simulation of the Mechanical Properties and Surface Structures for η′ Precipitate in Al-Zn-Mg-Cu Alloys
by
Jian-Gang Yao, Ming-Chun Zhao and Deng-Feng Yin
Crystals 2026, 16(1), 33; https://doi.org/10.3390/cryst16010033 - 30 Dec 2025
Abstract
Existing experiments have shown that in Al-Zn-Mg-Cu alloys, solute Cu, when substituting for Al atoms, can enter the interior of precipitate, changing its composition significantly, but the mechanical properties of the compound containing dissolved Cu has not yet been
[...] Read more.
Existing experiments have shown that in Al-Zn-Mg-Cu alloys, solute Cu, when substituting for Al atoms, can enter the interior of precipitate, changing its composition significantly, but the mechanical properties of the compound containing dissolved Cu has not yet been explored. In this study, we conducted a theoretical prediction to investigate the effect of dissolved Cu on the mechanical properties of the compound (Al4Mg2Zn3). The results indicate that Cu, substituted for Al, tends to reduce the volume, increase the hardness, and raise the Debye temperature of the crystal. Although dissolved Cu weakly increases the brittleness of the crystal, the still retains its ductile nature. Additionally, we simulated the surface structure of the (0001) surface and discovered that there are five distinct surface terminations, namely Al1, Al2, Mg1, Mg2, and Zn. Exact calculations reveal that the surface energies of different terminations are influenced not only by the electronic structure of the surface atoms but also by the distance between the surface layer and the sub-surface layer of the corresponding surface supercell.
Full article
(This article belongs to the Section Crystalline Metals and Alloys)
►▼
Show Figures

Figure 1
Open AccessArticle
Characterization of Copper-Modified Clinoptilolite for the Photocatalytic Removal of Congo Red Dye from Wastewater
by
Hristina Lazarova, Liliya Tsvetanova, Borislav Barbov, Stela Atanasova-Vladimirova and Aleksandar Nikolov
Crystals 2026, 16(1), 32; https://doi.org/10.3390/cryst16010032 - 30 Dec 2025
Abstract
In this study, the photocatalytic performance of natural clinoptilolite was enhanced through copper modification, achieved via ion exchange followed by KOH-induced precipitation, leading to materials with different copper speciation. Physicochemical characterization using WDXRF, PXRD, FTIR and N2 physisorption revealed a transition from
[...] Read more.
In this study, the photocatalytic performance of natural clinoptilolite was enhanced through copper modification, achieved via ion exchange followed by KOH-induced precipitation, leading to materials with different copper speciation. Physicochemical characterization using WDXRF, PXRD, FTIR and N2 physisorption revealed a transition from exchanged Cu2+ species at low loading to the formation of copper-bearing phases such as brochantite, Cu(OH)2 and CuO at higher alkalinity. The Cu-modified samples were evaluated for the photocatalytic degradation of Congo red under UV irradiation. Among them, sample NZ-Cu3 exhibited the highest activity, achieving approximately 91% dye degradation within 30–40 min. Kinetic analysis demonstrated that the degradation process is better described by the pseudo-second-order model, indicating that chemisorption plays a dominant role. Radical scavenger experiments revealed that photogenerated holes (h⁺) are the primary reactive species responsible for dye degradation, while hydroxyl radicals contribute to a lesser extent. The enhanced photocatalytic performance is attributed to the synergistic effect of photocatalytic degradation, improved charge separation and the presence of surface copper species, highlighting Cu-modified clinoptilolite as a promising low-cost photocatalyst for wastewater treatment.
Full article
(This article belongs to the Special Issue Exploring New Materials for the Transition to Sustainable Energy)
►▼
Show Figures

Figure 1
Open AccessArticle
Effect of Mg Alloying on the Mechanical Properties and Phase Transformation of Lithium
by
Nicolás Amigo, Rodrigo Vargas-Osorio, Facundo Esquivel and Gonzalo Gutiérrez
Crystals 2026, 16(1), 31; https://doi.org/10.3390/cryst16010031 - 30 Dec 2025
Abstract
This work presents an atomistic investigation of the structural and mechanical properties of Li–Mg alloys with 5, 10, and 20 at.% Mg using Monte Carlo and Molecular Dynamics simulations, elastic constant calculations, and uniaxial tensile tests. Structural equilibration revealed that Mg species promote
[...] Read more.
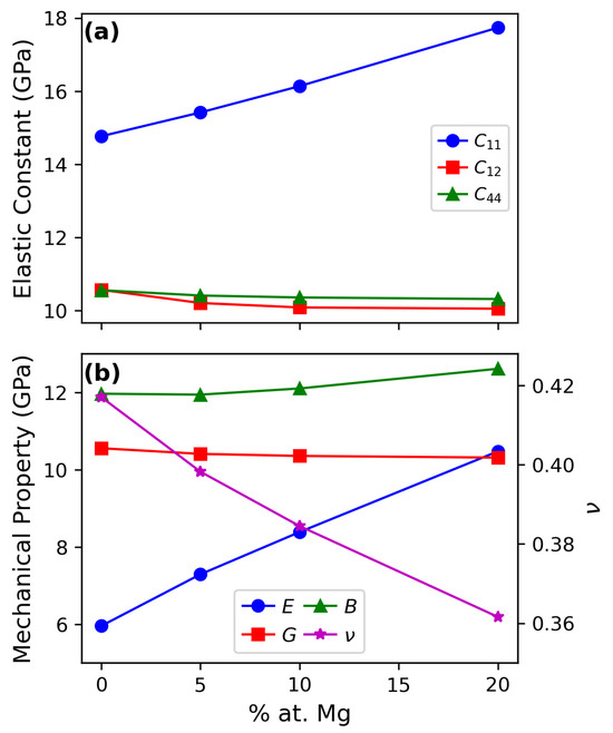
This work presents an atomistic investigation of the structural and mechanical properties of Li–Mg alloys with 5, 10, and 20 at.% Mg using Monte Carlo and Molecular Dynamics simulations, elastic constant calculations, and uniaxial tensile tests. Structural equilibration revealed that Mg species promote enhanced relaxation and a tendency to form B2-type ordering. The elastic constants showed that Mg primarily increases the longitudinal stiffness while the shear-related components remained nearly unchanged. Derived mechanical properties confirm this strengthening trend, and comparison with recent experimental data shows good qualitative agreement. Tensile tests showed composition-dependent deformation mechanisms: the 0 and 5 at.% Mg samples underwent complete BCC-to-FCC transformation accompanied by strong stress reduction, the 10 at.% Mg alloy exhibited a similar transition while preserving positive stresses, and the 20 at.% Mg alloy displayed an abrupt shear-band instability that interrupted the transformation. These results provide insights into the role of Mg as an element that enhances the structural stability and mechanical stiffness of Li-Mg alloys, supporting their improved performance as electrode materials.
Full article
(This article belongs to the Special Issue Exploring New Materials for the Transition to Sustainable Energy)
►▼
Show Figures

Figure 1
Open AccessArticle
Phase-Engineered Electrospun Poly(vinylidene fluoride) Nanofibers with Enhanced Piezoelectricity
by
Seung Kwan Hong, Jae-Jin Lee and Suk-Won Choi
Crystals 2026, 16(1), 30; https://doi.org/10.3390/cryst16010030 - 30 Dec 2025
Abstract
Poly(vinylidene fluoride) (PVDF) nanofibers have emerged as promising materials for flexible piezoelectric sensors, yet their performance is fundamentally constrained by the limited formation and alignment of the electroactive β-phase. In this study, we report a phase-engineering strategy that integrates ionic functionalization, inorganic nanofiller
[...] Read more.
Poly(vinylidene fluoride) (PVDF) nanofibers have emerged as promising materials for flexible piezoelectric sensors, yet their performance is fundamentally constrained by the limited formation and alignment of the electroactive β-phase. In this study, we report a phase-engineering strategy that integrates ionic functionalization, inorganic nanofiller incorporation, and post-fabrication corona poling to achieve enhanced crystalline ordering and electromechanical coupling in electrospun PVDF nanofibers. Tetrabutylammonium perchlorate increases solution conductivity, enabling uniform, bead-free fiber formation, while barium titanate nanoparticles act as nucleation centers that promote β-phase crystallization at the expense of the non-polar α-phase. Subsequent corona poling further aligns molecular dipoles and strengthens remnant polarization within both the PVDF matrix and embedded nanoparticles. Structural analyses confirm the synergistic evolution of crystalline phases, and piezoelectric measurements demonstrate a substantial increase in peak-to-peak output voltage under dynamic loading conditions. This combined phase-engineering approach provides a simple and scalable route to high-performance PVDF-based piezoelectric sensors and highlights the importance of coupling crystallization control with dipole alignment in designing next-generation wearable electromechanical materials.
Full article
(This article belongs to the Section Materials for Energy Applications)
►▼
Show Figures

Figure 1
Open AccessArticle
Tuning Crystallization Pathways via Phase Competition: Heat-Treatment-Induced Microstructural Evolution
by
Yan Pan, Yulong Wu, Jiahui Zhang, Yanping Ma, Minghan Li and Hong Jiang
Crystals 2026, 16(1), 29; https://doi.org/10.3390/cryst16010029 - 30 Dec 2025
Abstract
Spinel-based glass-ceramics face challenges such as a narrow crystallization window for the target phase and the difficulty in suppressing the competitive LixAlxSi1−xO2 crystals. This study proposes a method to regulate the phase formation in ZnO-MgO-Al2
[...] Read more.
Spinel-based glass-ceramics face challenges such as a narrow crystallization window for the target phase and the difficulty in suppressing the competitive LixAlxSi1−xO2 crystals. This study proposes a method to regulate the phase formation in ZnO-MgO-Al2O3-SiO2 glass by precisely controlling the heat treatment temperature. The microstructural evolution was analyzed by DSC, XRD, Raman spectroscopy, SEM, TEM, and XPS. The results indicate that the heat treatment at a nucleation temperature of 780 °C for 2 h and a crystallization temperature of 880 °C for 2 h effectively inhibits the precipitation of the LixAlxSi1−xO2 secondary phase, yielding a glass-ceramic with nano-sized MgAl2O4, ZnAl2O4 spinel as the primary crystalline phase. The obtained glass-ceramic exhibits excellent mechanical properties, including a Vickers hardness of 922.6 HV, a flexural strength of 384 MPa, and an elastic modulus of 113 GPa, while maintaining a high visible light transmittance of 84.3%. This work provides a clear processing window and theoretical basis for fabricating high-performance, highly transparent spinel-based glass-ceramics through tailored heat treatment.
Full article
(This article belongs to the Section Inorganic Crystalline Materials)
►▼
Show Figures

Figure 1
Open AccessArticle
Effect of Yttrium on Iron-Rich Phases and Mechanical Properties of As-Cast Al-Fe Alloy with Low Si Concentration
by
Wenjie Wu, Wenxia Lai, Ziteng Cao, Chengdong Li and Mei Zhao
Crystals 2026, 16(1), 28; https://doi.org/10.3390/cryst16010028 - 30 Dec 2025
Abstract
In Al–Fe alloys, the mechanical properties are determined by the morphology of iron-rich phases. In this work, AA8176(Al-1Fe)-nY (n = 0, 0.3, 0.5, 0.7, and 0.9 wt.%) alloys were prepared by the cast method. The effects of yttrium (Y) addition on the
[...] Read more.
In Al–Fe alloys, the mechanical properties are determined by the morphology of iron-rich phases. In this work, AA8176(Al-1Fe)-nY (n = 0, 0.3, 0.5, 0.7, and 0.9 wt.%) alloys were prepared by the cast method. The effects of yttrium (Y) addition on the microstructure and mechanical properties of AA8176 alloy were studied using various techniques including optical microscopy (OM), scanning electron microscopy (SEM), transmission electron microscopy (TEM), X-ray diffraction (XRD), cooling curve analysis and tensile tests. The results revealed that the optimal refinement effect was achieved when the amount of Y content was 0.5 wt.%. When the Y content increased from 0 to 0.5 wt.%, the coarse needle-like Al13Fe4 phases were gradually transformed into short rod-like morphology and some fine Al10Fe2Y phases were formed around the Al13Fe4 phases. The average length of iron-rich phases was decreased from 10.01 μm to 2.65 μm. Additionally, as the Y content increased from 0 to 0.5 wt.%, the secondary dendrite arm spacing (SDAS) of AA8176 alloy was reduced from 31.33 μm to 20.24 μm. Furthermore, the mechanical properties of the AA8176 alloy were improved due to the modified microstructure. With the addition of 0.5 wt.% Y, the ultimate tensile strength, yield strength, elongation, and Vickers hardness were improved to 96.86 MPa, 57.21 MPa, 23.1%, and 30.55 HV, respectively, compared to 84.47 MPa, 50.71 MPa, 18.6%, and 27.28 HV for the unmodified AA8176 alloy. It is proposed that the growth of α-Al dendrite and Al13Fe4 phases were effectively inhibited by segregation of Y atoms around α-Al dendrite and Al13Fe4 phases during solidification. And the Al10Fe2Y phases were formed by these Y atoms with Al and Fe elements. However, the formation of coarse Al10Fe2Y phases was promoted by excessive Y content, resulting in a substantial degradation in mechanical properties.
Full article
(This article belongs to the Special Issue Design, Development and Processing of Aluminium Alloys and Their Composite Materials)
►▼
Show Figures

Figure 1
Open AccessArticle
The Modulated Hot Spot Formation of Void Defects During Laser Initiation in RDX Energetic Crystals
by
Zhonghua Yan, Jiaojun Yang, Shuhuai Zhang, Jiangen Zheng, Weiping Li, Nana Pan, Xiang Chen, Xia Xiang, Xiaotao Zu, Bisheng Tan, Xiaodong Yuan and Ranran Fang
Crystals 2026, 16(1), 27; https://doi.org/10.3390/cryst16010027 - 30 Dec 2025
Abstract
The interaction between laser irradiation and energetic materials is critically influenced by microstructural void defects that determine local energy deposition and initiation sensitivity. In this work, a three-dimensional finite-difference time-domain (3D-FDTD) method was employed to investigate the modulation effects of void defects on
[...] Read more.
The interaction between laser irradiation and energetic materials is critically influenced by microstructural void defects that determine local energy deposition and initiation sensitivity. In this work, a three-dimensional finite-difference time-domain (3D-FDTD) method was employed to investigate the modulation effects of void defects on optical field distributions and hot spot formation in RDX energetic crystals. The influences of void geometry, spatial position, and void number on the modulation of the incident laser beam were systematically analyzed. It reveals that void defects exhibit strong focusing and scattering behavior, leading to localized high-intensity regions both inside RDX bulk crystals and in void defects. For a single void defect, increasing either the width or depth can significantly enhance the peak electric field and thus the laser sensitivity of RDX crystals. When two voids are present, the number of high-intensity spots first increases and then decreases with increasing separation distance, and the strongest modulation effects are obtained at separations of 0.75λ–3λ. Furthermore, as the number of void defects increases, the modulation effect intensifies, promoting the formation of more hot spots. These findings provide quantitative insight into how void structures govern laser–matter interactions in energetic crystals, offering guidance for understanding and controlling laser initiation behavior.
Full article
(This article belongs to the Section Inorganic Crystalline Materials)
►▼
Show Figures

Figure 1
Open AccessArticle
Racemic and Enantiomeric Alkoxycyanobiphenyls Bearing Terminal Vicinal Fluorine Substituents: Synthesis and Mesogenic Behavior
by
Kiran Agrahari, Evangelos Smith, Manos Mavrikakis, Jeffrey D. Mighion and Robert J. Twieg
Crystals 2026, 16(1), 26; https://doi.org/10.3390/cryst16010026 - 30 Dec 2025
Abstract
►▼
Show Figures
Fascinated by the influence of fluorine atom substitution in liquid crystal mesogens and building on our previous research on the influence of fluorination in liquid crystal mesogens, a novel project was undertaken where racemates and enantiomers of alkoxycyanobiphenyls with two adjacent fluorine atoms,
[...] Read more.
Fascinated by the influence of fluorine atom substitution in liquid crystal mesogens and building on our previous research on the influence of fluorination in liquid crystal mesogens, a novel project was undertaken where racemates and enantiomers of alkoxycyanobiphenyls with two adjacent fluorine atoms, one on each of two terminal carbon atoms, were synthesized to study their phase properties. The compounds were synthesized via Mitsunobu reaction, alkylation, epoxidation, hydrolytic kinetic resolution, fluoride opening, and deoxyfluorination. Racemates showed a monotropic nematic phase, while enantiomers showed a monotropic cholesteric phase. The dipole moments of the final difluorinated mesogens were also evaluated. The phase behavior of all the epoxy and fluorohydrin intermediates was also measured. This article provides data on the phase behavior of a handful of racemic compounds and their enantiomers. Additionally, the phase behavior of the enantiomerically impure and enantiomerically pure compounds is compared.
Full article

Graphical abstract
Open AccessArticle
Preparation and Characterization of Electrodeposited Ni-Al2O3 Coatings Applied to Cylinder Liner
by
Chaoyu Li, Yong Wang, Hao Ma, Gang Chen, Hao Gao, Lei Qiang, Mengyu Cao, Fei Qi and Sijie Qiu
Crystals 2026, 16(1), 25; https://doi.org/10.3390/cryst16010025 - 28 Dec 2025
Abstract
In this article, electrodeposited Ni-Al2O3 coatings were fabricated on the surface of a cylinder liner to enhance its corrosion resistance. The effect of current density on the surface morphology, phase structure, and corrosion resistance of the Ni-Al2O3
[...] Read more.
In this article, electrodeposited Ni-Al2O3 coatings were fabricated on the surface of a cylinder liner to enhance its corrosion resistance. The effect of current density on the surface morphology, phase structure, and corrosion resistance of the Ni-Al2O3 coatings was investigated using a scanning electron microscope (SEM), X-ray diffraction (XRD) instrument, and electrochemical workstation, respectively. The observed results show that a dense, flat morphology emerged on the surface of the Ni-Al2O3 coatings prepared under a current density of 3.5 A/dm2. Furthermore, among three Ni-Al2O3 coatings, the Al content of the one prepared under a current density of 3.5 A/dm2 was the highest, with a value of 5.4 wt.%. XRD patterns demonstrated that the average nickel grain size of the Ni-Al2O3 coatings prepared at 3.5 A/dm2 was only 251.6 nm, which was obviously smaller than those deposited under current densities of 2.5 A/dm2 and 4.5 A/dm2. Meanwhile, the adhesion strength of the Ni-Al2O3 coatings prepared under a current density of 3.5 A/dm2 was the largest, with a value of 40.9 N. Polarization curves indicated the corrosion potential of the Ni-Al2O3 coatings prepared under a current density of 3.5 A/dm2 was the highest, with a value of −0.42 V, while the corrosion current density of the coatings fabricated under a current density of 3.5 A/dm2 was the lowest, with a value of 2.17 × 10−7 A/cm2. In addition, the corrosive mass loss of Ni-Al2O3 coatings manufactured at 3.5 A/dm2 was only 2.8 mg, illustrating excellent corrosion resistance. This study could enhance the service life and corrosion resistance of cylinder liners in internal combustion engines.
Full article
(This article belongs to the Section Inorganic Crystalline Materials)
►▼
Show Figures

Figure 1
Open AccessReview
From Waste to Value: A Comprehensive Review of Perovskite Solar Cell Recycling Technologies
by
Yaoxu Gao, Baheila Jumayi, Peng Wei, Chenxi Song, Shuying Wang and Xiangqian Shen
Crystals 2026, 16(1), 24; https://doi.org/10.3390/cryst16010024 - 28 Dec 2025
Abstract
The rapid progress of perovskite solar cells (PSCs) has established them as a groundbreaking technology for sustainable energy. However, the sustainability of their lifecycle is still hindered by challenges related to material toxicity and end-of-life management. This review comprehensively assesses emerging recycling technologies,
[...] Read more.
The rapid progress of perovskite solar cells (PSCs) has established them as a groundbreaking technology for sustainable energy. However, the sustainability of their lifecycle is still hindered by challenges related to material toxicity and end-of-life management. This review comprehensively assesses emerging recycling technologies, with a particular focus on their effectiveness in recovering perovskite compounds, transparent conductive oxides, and metallic contacts. Mechanical separation, solvent-based dissolution, thermal decomposition, and hybrid methods are compared in terms of recovery rates, purity levels, energy consumption, and scalability. Current challenges, such as the generation of secondary waste, the instability of recovered perovskites, and economic barriers, are critically analyzed alongside emerging solutions, including the use of non-toxic solvents, vacuum-assisted recovery, and the integration of closed-loop manufacturing. By evaluating lifecycle impacts and cost–benefit trade-offs, this work outlines pathways for transforming PSC waste into high-value secondary resources, thereby promoting both environmental sustainability and industrial competitiveness.
Full article
(This article belongs to the Special Issue Growth and Properties of Photovoltaic Materials)
►▼
Show Figures

Figure 1
Open AccessReview
Research Progress of ODS FeCrAl Alloys—A Review on Preparation, Microstructure, and Properties
by
Xi Wang, Zhenzhong Yin and Xinpu Shen
Crystals 2026, 16(1), 23; https://doi.org/10.3390/cryst16010023 - 28 Dec 2025
Abstract
The research and development of new accident-tolerant fuel cladding materials has emerged as a critical focus in international academic and engineering fields following the Fukushima nuclear accident. Due to the outstanding resistances in corrosion and radiation as well as high-temperature creep properties, oxide
[...] Read more.
The research and development of new accident-tolerant fuel cladding materials has emerged as a critical focus in international academic and engineering fields following the Fukushima nuclear accident. Due to the outstanding resistances in corrosion and radiation as well as high-temperature creep properties, oxide dispersion-strengthened (ODS) FeCrAl alloys have been studied extensively during the past decade. Current review articles in this field have primarily focused on the effects of chemical composition on the anti-corrosion performance and species of nano-oxide. However, several key issues have not been given adequate attention, including processing methods and parameters, high-temperature stability mechanisms, post-deformation microstructural evolution and high-temperature mechanical properties. This paper reviews the progress of basic research on ODS FeCrAl alloys, including preparation methods, the effects of preparation parameters, the thermal stability and irradiation stability of oxides, the microstructural deformation, and the mechanical properties at elevated temperatures. The aspects mentioned above not only provide valuable references for understanding the effects of preparation parameters on the microstructure and properties of ODS FeCrAl alloys but also offer a comprehensive framework for the subsequent optimization of ODS FeCrAl alloys for nuclear reactor applications.
Full article
(This article belongs to the Special Issue Phase Transformation and Microstructure Evolution of Alloys)
►▼
Show Figures

Figure 1
Journal Menu
► ▼ Journal Menu-
- Crystals Home
- Aims & Scope
- Editorial Board
- Reviewer Board
- Topical Advisory Panel
- Instructions for Authors
- Special Issues
- Topics
- Sections & Collections
- Article Processing Charge
- Indexing & Archiving
- Editor’s Choice Articles
- Most Cited & Viewed
- Journal Statistics
- Journal History
- Journal Awards
- Society Collaborations
- Conferences
- Editorial Office
Journal Browser
► ▼ Journal BrowserHighly Accessed Articles
Latest Books
E-Mail Alert
News
Topics
Topic in
Alloys, Applied Sciences, Coatings, Crystals, Materials
Environmental Sensitivity and Safety Assessment of Materials, 2nd Edition
Topic Editors: Jian Chen, Daokui Xu, Fanjiang Meng, James Noël, Baojie WangDeadline: 25 February 2026
Topic in
Buildings, Construction Materials, Crystals, Materials, Solids, Infrastructures, CivilEng
Rehabilitation and Strengthening Techniques for Reinforced Concrete
Topic Editors: Firas Al Mahmoud, George WardehDeadline: 31 March 2026
Topic in
Nanomaterials, Polymers, Photonics, Nanomanufacturing, Crystals, Applied Sciences, Optics
Nanomaterials for Photonics and Optoelectronics: Practical Applications and Advances
Topic Editors: Luciana R. P. Kassab, Raul Rangel-Rojo, Rafael Salas-MontielDeadline: 31 May 2026
Topic in
Alloys, Applied Mechanics, Crystals, J. Compos. Sci., Powders, Nanomaterials
Multiscale Characterization, Mechanical Behavior and Computational Simulation of Bulk Materials, Metallic Powders and/or Nanoparticles
Topic Editors: Xiangnan Pan, Qing Peng, Hui Qi, Raj DasDeadline: 30 June 2026
Conferences
Special Issues
Special Issue in
Crystals
Metamaterials and Their Devices, Second Edition
Guest Editor: Youngpak LeeDeadline: 10 January 2026
Special Issue in
Crystals
Surface Modification Treatments of Metallic Materials (2nd Edition)
Guest Editors: Yong Wang, Zongwei Ren, Jiaqiang DangDeadline: 10 January 2026
Special Issue in
Crystals
Structure and Characterization of Enzymes
Guest Editor: Jung-Min ChoiDeadline: 10 January 2026
Special Issue in
Crystals
2D Crystalline Nanomaterials (2nd Edition)
Guest Editor: Yao YaoDeadline: 10 January 2026
Topical Collections
Topical Collection in
Crystals
Topic Collection: Mineralogical Crystallography
Collection Editor: Vladislav V. Gurzhiy
Topical Collection in
Crystals
Liquid Crystals and Their Applications
Collection Editors: Ana Almeida, Pedro Marques de Almeida, Ana Catarina Baptista
Topical Collection in
Crystals
Feature Papers in Biomolecular Crystals
Collection Editor: Blaine Mooers



