Topic Editors

Institute of Metal Research, Chinese Academy of Sciences, Shenyang 110016, China
Institute of Metal Research, Chinese Academy of Science, Shenyang 110016, China
Shanghai Nuclear Engineering Research and Design Institute, Shanghai 200233, China
Dr. James Noël
Department of Chemistry, University of Western Ontario, London, ON N6A 5B7, Canada
Prof. Dr. Baojie Wang
School of Environmental and Chemical Engineering, Shenyang Ligong University, Shenyang 110159, China

Environmental Sensitivity and Safety Assessment of Materials, 2nd Edition

Abstract submission deadline
25 November 2025
Manuscript submission deadline
25 February 2026
Viewed by
3095

Topic Information

Dear Colleagues,

We would like to invite submissions to this Topic on the subject of Environmental Sensitivity and Safety Assessment of Materials, which is a continuation of a successful previous Topic.

Environmental sensitivity and the safety assessment of materials play decisive roles in the design and development of materials and their selection, heat treatment, and corrosion protection; the application of load; and the control of the surrounding environment. To ensure the long-term integrity of materials and to avoid the catastrophic environmental consequences of corrosion, in recent years, the research community has performed plentiful corrosion and corrosion control studies to better understand the fundamentals of corrosion, investigate the corrosion behaviors and mechanisms of key components and structural materials, analyze and report on corrosion-induced failures, design and develop advanced corrosion-resistant coatings or corrosion inhibitors, and build corrosion models and predict their life. This has not only improved the corrosion performance of materials in their service life but also decreased corrosion-related losses and helped to avoid catastrophic consequences.

The present issue aims to consolidate recent findings related to the environmental sensitivity and safety assessment of materials and provide an opportunity for researchers to publish their latest results, reviews, methodologies, and failure case reports to better understand or solve material corrosion issues. We welcome the submission of original papers and high-quality critical reviews.

Potential topics include but are not limited to the following areas:

  • Corrosion fundamentals;
  • High-temperature oxidation;
  • Anodic oxidation;
  • Biochemical corrosion;
  • Stress corrosion cracking, corrosion fatigue, and corrosion creep;
  • Corrosion control and protection;
  • Corrosion model and prediction.

Dr. Jian Chen
Prof. Dr. Daokui Xu
Dr. Fanjiang Meng
Dr. Jamie Noël
Prof. Dr. Baojie Wang
Topic Editors

Keywords

  • corrosion
  • stress corrosion cracking
  • coating
  • safety assessment

Participating Journals

Journal Name Impact Factor CiteScore Launched Year First Decision (median) APC
Alloys
alloys
- 3.2 2022 24.7 Days CHF 1000 Submit
Applied Sciences
applsci
2.5 5.5 2011 19.8 Days CHF 2400 Submit
Coatings
coatings
2.8 5.4 2011 14.7 Days CHF 2600 Submit
Crystals
crystals
2.4 5.0 2011 12.7 Days CHF 2100 Submit
Materials
materials
3.2 6.4 2008 15.2 Days CHF 2600 Submit

Preprints.org is a multidisciplinary platform offering a preprint service designed to facilitate the early sharing of your research. It supports and empowers your research journey from the very beginning.

MDPI Topics is collaborating with Preprints.org and has established a direct connection between MDPI journals and the platform. Authors are encouraged to take advantage of this opportunity by posting their preprints at Preprints.org prior to publication:

  1. Share your research immediately: disseminate your ideas prior to publication and establish priority for your work.
  2. Safeguard your intellectual contribution: Protect your ideas with a time-stamped preprint that serves as proof of your research timeline.
  3. Boost visibility and impact: Increase the reach and influence of your research by making it accessible to a global audience.
  4. Gain early feedback: Receive valuable input and insights from peers before submitting to a journal.
  5. Ensure broad indexing: Web of Science (Preprint Citation Index), Google Scholar, Crossref, SHARE, PrePubMed, Scilit and Europe PMC.

Published Papers (3 papers)

Order results
Result details
Journals
Select all
Export citation of selected articles as:
18 pages, 3630 KB  
Article
Discovery and Quantification of Microplastic Generation in the Recycling of Coated Paper-Based Packaging
by Andrea Marinelli, Sara Baracani, Daniele Bussini, Alessandra Boschi, Andrea Lucotti, Luca Paterlini, Maria Vittoria Diamanti and Barbara Del Curto
Coatings 2025, 15(11), 1284; https://doi.org/10.3390/coatings15111284 - 3 Nov 2025
Viewed by 29
Abstract
Microplastics (MPs) are found almost everywhere in the environment and the food chain. The long-term effects of MPs on living organisms are still unclear, so preventing anthropogenic MP generation has become crucial. Fibre-based packaging recycling is investigated here, shedding light on possible MP [...] Read more.
Microplastics (MPs) are found almost everywhere in the environment and the food chain. The long-term effects of MPs on living organisms are still unclear, so preventing anthropogenic MP generation has become crucial. Fibre-based packaging recycling is investigated here, shedding light on possible MP generation and its consequences. As a typically overlooked source of secondary MPs, cellulosic packaging often consists of thin polymeric coatings that can fragment during recycling. Dispersion coating technology for paper substrates is considered here. The coating formulation was tagged with rhodamine-B and investigated using semi-automatised techniques, including fluorescence microscopy, optical microscopy, and Raman spectroscopy. The results raise concerns as the coating under investigation (8 g/m2) broke into more than 75,000 secondary MPs, whose equivalent diameter and particle count density in the recycled material averaged 75.4 µm and 4.7 particles/mm2, respectively. Wastewater analysis found finer particles (average equivalent diameter: 51.4 µm) with a higher particle count density (6.7 particles/mm2). Overall, 72% of the retrieved particles were smaller than 100 µm. Without proper wastewater screening, such particles (representing 87% in the wastewater filter) may enter the environment, hence representing a hazard for living organisms including humans. Full article
Show Figures

Graphical abstract

22 pages, 8509 KB  
Article
Design and Preparation of a Novel Double-Modified Cement-Based Protective Coating Material and Its Improved Protection Performance Against Chloride Corrosion
by Quan Hua, Changyun Wu, Yangshun Zhu, Juhang Wang, Zhou Zhou, Xing Wang, Guowei Wang, Shuguang Zhang and Dan Song
Coatings 2025, 15(3), 277; https://doi.org/10.3390/coatings15030277 - 26 Feb 2025
Cited by 1 | Viewed by 1067
Abstract
The service of reinforced concrete structures (RCSs) in harsh coastal environments is often threatened by chloride corrosion. The penetration of chloride ions through concrete pores into the steel/concrete interface will cause the depassivation and corrosion of steel rebars, which will lead to the [...] Read more.
The service of reinforced concrete structures (RCSs) in harsh coastal environments is often threatened by chloride corrosion. The penetration of chloride ions through concrete pores into the steel/concrete interface will cause the depassivation and corrosion of steel rebars, which will lead to the deterioration and failure of RCSs durability. It is important to repair and protect the corrosion damage of existing concrete structures and ensure their high durability, and the high performance of repairing and protecting materials is crucial. In this paper, a novel cement-based protective coating material with low porosity, high impermeability and chloride-corrosion resistance was designed and prepared by introducing polypropylene fiber and high-performance cement into commercial cement-based protective materials through the double modification strategy of fiber-toughening and substrate-enhancing, in order to provide a reliable corrosion protection solution for the high durability and long life of RCSs under chloride erosion environment. Based on this, the microstructure and pore structure of the double-modified coating material was systematically analyzed by SEM, XRD, X-CT and other characterization methods. The impermeability and chloride corrosion resistance of this material were scientifically evaluated, and the protection mechanism was systematically discussed. The results show that the impermeability of the double-modified coating material is about 2.8 times higher than that of the untreated mortar. At the same time, the corrosion current density was significantly reduced to 8.60 × 10−7 A·cm−2, which was about 86% lower than that of the untreated sample (6.11 × 10−6 A·cm−2). The new cement-based coating material optimized by double-modification effectively inhibits the formation and propagation of microcracks in the protective coating through the bridging effect of fibers. At the same time, the regulation of cement hydration products and the densification of pore structure are realized by adjusting the composition of cement matrix. Based on the above two aspects of microstructure improvement, the chloride-corrosion protection performance of the novel cement-based protective coating material has been greatly improved. Full article
Show Figures

Figure 1

13 pages, 3566 KB  
Article
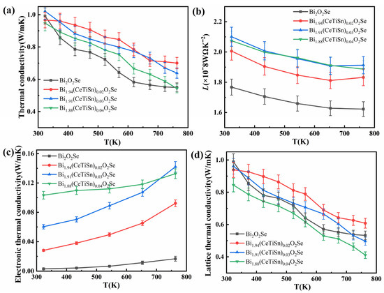
Enhancing the Thermoelectric Performance of Bi2O2Se Ceramics via Multi-Element Doping
by Hongquan Zhao, Linan Ding, Yulang Xu, Zhihao Zeng and Songtao Dong
Coatings 2025, 15(2), 180; https://doi.org/10.3390/coatings15020180 - 5 Feb 2025
Cited by 2 | Viewed by 947
Abstract
Bi2O2Se, as the n-type counterpart of p-type BiCuSeO, has garnered considerable attention. The lower carrier concentration leads to reduced electrical conductivity, prompting extensive research efforts aimed at enhancing its electrical performance. This study prepared Bi2−3x(CeTiSn)xO [...] Read more.
Bi2O2Se, as the n-type counterpart of p-type BiCuSeO, has garnered considerable attention. The lower carrier concentration leads to reduced electrical conductivity, prompting extensive research efforts aimed at enhancing its electrical performance. This study prepared Bi2−3x(CeTiSn)xO2Se (x = 0, 0.02, 0.03, and 0.04) ceramics using a combination of high-energy ball milling and cold isostatic pressing techniques. Results demonstrated that the incorporation of multiple elements led to an increase in the carrier concentration within the Bi2O2Se system, thereby improving electrical conductivity. The electrical conductivity increased from 5.1 S/cm for Bi2O2Se to 154.1 S/cm for Bi1.88(CeTiSn)0.04O2Se at 323 K. Furthermore, the maximum power factor value of Bi1.88(CeTiSn)0.04O2Se was 112 μW m−1 K−2 at 763 K. Doping led to a slight increase in thermal conductivity. The figure of merit ZTmax value of Bi1.88(CeTiSn)0.04O2Se was ~0.16, marking a significant enhancement of about 1.45 times compared to that of the pure sample (~0.11). Full article
Show Figures

Figure 1

Back to TopTop