-
Foldable/Deployable Spherical Mechanisms Based on Regular Polygons -
Bi-Symmetric Polyhedral Cages with Three, Four, Five or Six Connected Faces and Small Holes -
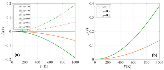
Emergence and Localization of Exceptional Points in an Exactly Solvable Toy Model -
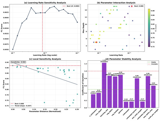
Machine Learning-Driven Conservative-to-Primitive Conversion in Hybrid Piecewise Polytropic and Tabulated Equations of State -
Transition of Natural Convection in Liquid Metal Within an Annular Enclosure with Various Angular Partitions
Journal Description
Symmetry
- Open Access— free for readers, with article processing charges (APC) paid by authors or their institutions.
- High Visibility: indexed within SCIE (Web of Science), Scopus, CAPlus / SciFinder, Inspec, Astrophysics Data System, and other databases.
- Journal Rank: JCR - Q2 (Multidisciplinary Sciences) / CiteScore - Q1 (General Mathematics )
- Rapid Publication: manuscripts are peer-reviewed and a first decision is provided to authors approximately 17.1 days after submission; acceptance to publication is undertaken in 2.8 days (median values for papers published in this journal in the first half of 2025).
- Recognition of Reviewers: reviewers who provide timely, thorough peer-review reports receive vouchers entitling them to a discount on the APC of their next publication in any MDPI journal, in appreciation of the work done.
- Testimonials: See what our editors and authors say about Symmetry.
- Journal Cluster of Mathematics and Its Applications: AppliedMath, Axioms, Computation, Fractal and Fractional, Geometry, International Journal of Topology, Logics, Mathematics and Symmetry.
Latest Articles
E-Mail Alert
News
Topics
Deadline: 30 November 2025
Deadline: 31 December 2025
Deadline: 6 January 2026
Deadline: 28 February 2026
Conferences
Special Issues
Deadline: 30 November 2025
Deadline: 30 November 2025
Deadline: 30 November 2025
Deadline: 30 November 2025























