Water, Heat, Vapor Migration, and Frost Heaving Mechanism of Unsaturated Silty Clay During a Unidirectional Freezing Process
Abstract
1. Introduction
2. Theoretical Model
2.1. Computational Modelling of Water–Heat–Vapor Migration in Unsaturated Soils Under Unidirectional Freezing Action
- Soil is a continuous, isotropic, and porous medium.
- Water migration in unsaturated soil encompasses only the migration of liquid water and water vapor, disregarding ice migration.
- Unsaturated frozen soil pores have connectivity, and the pressure borne by each point is atmospheric.
- In the calculation of frost heave deformation, the soil is in a long-term static equilibrium state, and all stress and strain is caused by frost heaving.
2.1.1. Water and Vapor Migration Control Equations
2.1.2. Temperature Control Equations
2.2. Calculation of Frost Heave Volume Change of Unsaturated Silty Clay
3. Model Test and Validation
3.1. Model Test
3.2. Model Validation
4. Analysis of Simulation Results
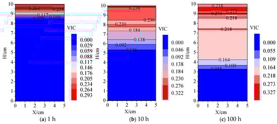
4.1. Analysis of the Results of the Hydrothermal Field of the Freezing Process
4.2. Analysis of Freezing Deformation Results of the Freezing Process
5. Conclusions and Discussion
Author Contributions
Funding
Data Availability Statement
Conflicts of Interest
References
- Xu, X.Z.; Wang, J.C.; Zhang, L.X. Physics of Permafrost; Science Press: Beijing, China, 2001. [Google Scholar]
- Ma, W.; Wang, D.Y. Permafrost Mechanics. Science Press: Beijing, China, 2014. [Google Scholar]
- Chang, Y.; Yu, Q.H.; You, Y.H.; Guo, L. Deformation mechanism of an expressway embankment in warm and high ice content permafrost regions. Appl. Therm. Eng. 2017, 121, 1032–1039. [Google Scholar] [CrossRef]
- Guo, Y.; Shan, W.; Zhang, C.C.; Hu, Z.G.; Wang, S.L.; Gao, J.Y. Monitoring of permafrost degradation along the Bei’an Heihe Expressway in China. Bull. Eng. Geol. Environ. 2021, 80, 1–10. [Google Scholar] [CrossRef]
- Wang, H.L.; Zhang, H.; Chai, M.T.; Zhang, J.M.; Sun, Z.Z.; Li, G.Y. Analysis of necessity and feasibility for ground improvement in warm and ice-rich permafrost regions. Adv. Civil. Eng. 2022, 2022, 7652371. [Google Scholar] [CrossRef]
- Liu, Q.Q.; Cai, G.Q.; Qin, Y.T.; Yin, F.J.; Li, J.; Zhao, C.G. Experimental study on hydrothermal distribution and frost heave characteristics of coarse-grained graded soil under unidirectional freezing condition. Chin. J. Rock. Mech. Eng. 2023, 42, 2329–2340. [Google Scholar]
- Luo, X.X.; Yu, Q.H.; Ma, Q.G.; Guo, L. Study on the heat and deformation characteristics of an expressway embankment with shady and sunny slopes in warm and ice-rich permafrost regions. Transp. Geotech. 2020, 24, 100390. [Google Scholar] [CrossRef]
- Yao, Y.P.; Wang, L. Influence factors for the pot-cover effect. Chin. J. Geotech. Eng. 2018, 40, 1373–1382. [Google Scholar]
- Li, Q.; Yao, Y.P.; Han, L.M.; Hu, J.; Peng, R.; Wang, N. Pot-cover effect of soil. Ind. Construction. 2014, 44, 68–71. [Google Scholar]
- Teng, J.D.; He, Z.Y.; Zhang, S.; Sheng, D.S. Moisture transfer and phase change in unsaturated soils: Physical mechanism and numerical model for two types of “canopy effect”. Chin. J. Geotech. Eng. 2016, 38, 1813–1821. [Google Scholar]
- He, Z.Y.; Zhang, S.; Teng, J.D.; Yao, Y.P.; Sheng, D.C. Vapour transfer and its effects on water content in freezing soil. Chin. J. Geotech. Eng. 2018, 40, 1190–1197. [Google Scholar]
- Sheng, D.; Zhang, S.; Niu, F.; Cheng, G.D. A potential new frost heave mechanism in high-speed railway embankments. Géotechnique 2014, 64, 144–154. [Google Scholar] [CrossRef]
- Zhang, S.; Teng, J.; He, Z.; Liu, Y.; Liang, S.; Yao, Y.; Sheng, D. Canopy effect caused by vapour transfer in covered freezing soils. Géotechnique 2016, 66, 927–940. [Google Scholar] [CrossRef]
- Zhang, S.; Sheng, D.; Zhao, G.; Niu, F.J.; He, Z.Y. Analysis of frost heave mechanisms in a high-speed railway embankment. Can. Geotech. J. 2016, 53, 520–529. [Google Scholar] [CrossRef]
- Zhang, S.; Teng, J.; He, Z.; Sheng, D. Importance of vapor flow in unsaturated freezing soil: A numerical study. Cold Reg. Sci. Technol. 2016, 126, 1–9. [Google Scholar] [CrossRef]
- Niu, F.; Li, A.; Luo, J.; Lin, Z.; Yin, G.; Liu, M.; Zheng, H.; Liu, H. Soil moisture, ground temperatures, and deformation of a high-speed railway embankment in Northeast China. Cold Reg. Sci. Technol. 2017, 133, 7–14. [Google Scholar] [CrossRef]
- Niu, F.; Zheng, H.; Li, A. The study of frost heave mechanism of high-speed railway foundation by field-monitored data and indoor verification experiment. Acta Geotech. 2020, 15, 581–593. [Google Scholar] [CrossRef]
- Saito, H.; Simanek, J.; Mohanty, B.P. Numerical analysis of coupled water, vapor, and heat transport in the vadose zone. Vadose Zone J. 2006, 5, 784–800. [Google Scholar] [CrossRef]
- Sakai, M.; Toride, N.; Simnek, J. Water and vapor movement with condensation and evaporation in a sandy column. Soil. Sci. Soc. Am. J. 2009, 73, 707–717. [Google Scholar] [CrossRef]
- Chen, W.; Liu, B.; Wu, Q.; Zhao, Y.; Wan, W.; Liu, J.; Peng, W. Experimental Investigation of Acidic Dry–wet Cycles on Coal-rock Combination: Mechanical Performance and Microstructural Analysis. Rock Mech. Rock Eng. 2025. [Google Scholar] [CrossRef]
- Wang, T.; Ma, H.; Liu, J.; Luo, Q.; Zhan, Y. Assessing frost heave susceptibility of gravelly soils based on multivariate adaptive regression splines model. Cold Reg. Sci. Technol. 2021, 181, 103182. [Google Scholar] [CrossRef]
- He, Z.; Teng, J.; Yang, Z.; Liang, L.; Li, H.; Zhang, S. An analysis of vapour transfer in unsaturated freezing soils. Cold Reg. Sci. Technol. 2020, 169, 102914. [Google Scholar] [CrossRef]
- Van Genuchten, M.T. A closed-form equation for predicting the hydraulic conductivity of unsaturated soils. Soil. Sci. Soc. Am. J. 1980, 44, 892–898. [Google Scholar] [CrossRef]
- Bai, R.Q.; Lai, Y.M.; Zhang, M.Y.; Yu, F. Theory and application of a novel soil freezing characteristic curve. Appl. Therm. Eng. 2018, 129, 1106–1114. [Google Scholar] [CrossRef]
- Mualem, Y. A new model for predicting the hydraulic conductivity of unsaturated porous media. Water Resour. Res. 1976, 12, 513–522. [Google Scholar] [CrossRef]
- Noborio, K.; McInnes, K.J.; Heilman, J.L. Two-dimensional model for water, heat, and solute transport in furrow-irrigated soil: II. Field evaluation. Soil. Sci. Soc. Am. J. 1996, 60, 1010–1021. [Google Scholar] [CrossRef]
- Taylor, G.S.; Luthin, J.N. A model for coupled heat and moisture transfer during soil freezing. Can. Geotech. J. 1978, 15, 548–555. [Google Scholar]
- Painter, S.L. Three-phase numerical model of water migration in partially frozen geological media: Model formulation, validation, and applications. Comput. Geosci. 2011, 15, 69–85. [Google Scholar] [CrossRef]
- Cass, A.; Campbell, G.S.; Jones, T.L. Enhancement of thermal water vapor diffusion in soil. Soil Sci. Soc. Am. J. 1984, 48, 25–32. [Google Scholar] [CrossRef]
- Bai, Q.B.; Li, X.; Tian, Y.H.; Fang, J.H. Equations and numerical simulation for coupled water and heat transfer in frozen soil. Chin. J. Geotech. Eng. 2015, 37, 131–136. [Google Scholar]
- Wu, J.C.; Lu, Y.; Zhang, Y.Y.; Wang, J.; Liu, S. A mathematical model describing the frozen deformation of unsaturated clayey soils in a closed system. Chin. J. Geotech. Eng. 2025, 1–10. Available online: https://kns.cnki.net/kcms2/article/abstract?v=RK2PMiCRJa1ApeouRAnTfNSzqYlS9OsIiEbBIDzO1YViT3qf7ZI7RxCGxk8Pvikm68CX9e1rIdacVLZ4rY0jxJWdGj6V7NIBMODEKTpgMum9RJyMW-wEuEngPrVVUPPWxVhAObFJEY12KqA_A_nM06jz1bDJc5kRpjdlkb4gwzI=&uniplatform=NZKPT (accessed on 18 May 2025).
- Zhang, M.L.; Wen, Z.; Xue, K.; Chen, L. Temperature and deformation analysis on slope subgrade with rich moisture of Qinghai-Tibet railway in permafrost regions. Chin. J. Rock Mech. Eng. 2016, 35, 1677–1687. [Google Scholar]
- Li, Z.M. Research on Coupling of Multifield in Frozen Soil Based on Hybrid Mixture. Ph.D. Thesis, Harbin Institute of Technology, Harbin, China, 2021. [Google Scholar]













| Parameters | Unit | Value | Parameters | Unit | Value |
|---|---|---|---|---|---|
| Volumetric heat capacity of soil particles Cn | kJ∙m−3∙K−1 | 2160 | Residual moisture content θr | m3∙m−3 | 0.05 |
| Ice volume heat capacity Ci | kJ∙m−3∙K−1 | 1874 | Saturated water content θs | m3∙m−3 | 0.55 |
| Volumetric heat capacity of water Cl | kJ∙m−3∙K−1 | 4180 | VG model parameters α | m−1 | 0.149 |
| Volumetric heat capacity of air Cv | kJ∙m−3∙K−1 | 1.21 | VG model parameters m | 1 | 0.267 |
| Thermal conductivity of soil particles λn | W∙m−1∙K−1 | 1.2 | Shape factor | °C−1 | 0.522 |
| Ice thermal conductivity λi | W∙m−1∙K−1 | 2.22 | Coefficient of ice–water ratio b | 1 | 0.47 |
| Thermal conductivity of water λl | W∙m−1∙K−1 | 0.58 | Clay mass fraction fc | 1 | 0.7 |
| Air thermal conductivity λv | W∙m−1∙K−1 | 0.025 | Saturated permeability coefficient Ks | m∙s−1 | 10−7 |
| Soil particle density ρs | kg∙m−3 | 2700 | Modulus calculation factor a1 | MPa | 28 |
| Ice density ρi | kg∙m−3 | 917 | Modulus calculation factor b1 | 1 | 26 |
| Density of water ρl | kg∙m−3 | 1000 | Poisson’s ratio calculation factor a2 | 1 | 0.4 |
| Freezing temperature Tf | K | 272.85 | Poisson’s ratio calculation factor b2 | 1 | −0.0080 |
| Latent heat of phase transition of ice and water Lf | kJ∙kg−1 | 334.5 | Cohesion calculation factor a3 | MPa | 0.150 |
| Gravity acceleration g | m∙s−2 | 9.8 | Cohesion calculation factor b3 | 1 | 0.090 |
| Molar mass of water M | kg∙mol−1 | 0.018 | Calculation factor for angle of internal friction a4 | 1 | 22.0 |
| Vapor constant R | J∙mol−1∙K−1 | 8.341 | Calculation factor for angle of internal friction b4 | 1 | 8.00 |
| 25 °C surface tension γ0 | g∙K−2 | 71.89 |
Disclaimer/Publisher’s Note: The statements, opinions and data contained in all publications are solely those of the individual author(s) and contributor(s) and not of MDPI and/or the editor(s). MDPI and/or the editor(s) disclaim responsibility for any injury to people or property resulting from any ideas, methods, instructions or products referred to in the content. |
© 2025 by the authors. Licensee MDPI, Basel, Switzerland. This article is an open access article distributed under the terms and conditions of the Creative Commons Attribution (CC BY) license (https://creativecommons.org/licenses/by/4.0/).
Share and Cite
Li, D.; Wang, H. Water, Heat, Vapor Migration, and Frost Heaving Mechanism of Unsaturated Silty Clay During a Unidirectional Freezing Process. Symmetry 2025, 17, 1357. https://doi.org/10.3390/sym17081357
Li D, Wang H. Water, Heat, Vapor Migration, and Frost Heaving Mechanism of Unsaturated Silty Clay During a Unidirectional Freezing Process. Symmetry. 2025; 17(8):1357. https://doi.org/10.3390/sym17081357
Chicago/Turabian StyleLi, Dengzhou, and Hanghang Wang. 2025. "Water, Heat, Vapor Migration, and Frost Heaving Mechanism of Unsaturated Silty Clay During a Unidirectional Freezing Process" Symmetry 17, no. 8: 1357. https://doi.org/10.3390/sym17081357
APA StyleLi, D., & Wang, H. (2025). Water, Heat, Vapor Migration, and Frost Heaving Mechanism of Unsaturated Silty Clay During a Unidirectional Freezing Process. Symmetry, 17(8), 1357. https://doi.org/10.3390/sym17081357
