A Direct Discrete Recurrent Neural Network with Integral Noise Tolerance and Fuzzy Integral Parameters for Discrete Time-Varying Matrix Problem Solving
Abstract
1. Introduction
- The FITDRNN model is proposed based on the direct discretization concept. By integrating the dynamic modeling capability of the RNN and the parameter adaptive adjustment mechanism of the fuzzy logic system, it specifically addresses the defects of insufficient noise resistance and parameter staticity in existing direct discretization models, significantly improving the robustness and solution accuracy of the model in noisy environments.
- It strictly proves the robustness and convergence characteristics of the FITDRNN model in both noise-free and noisy scenarios, establishing theoretical foundations for its practical application.
- Numerical experiments confirm FITDRNN’s efficacy in solving discrete time-varying matrix problems while maintaining exponential error convergence amid diverse noise interference, exhibiting superior convergence and robustness.
- Applied to robotic arm trajectory tracking, the model achieves precise tracking under noise-free and noisy environments, validating its utility in actual control systems.
2. Problem Formulation and Model Construction
2.1. Problem Formulation
2.2. TDRNN Model
2.3. ADD-RNN Model
2.4. FITDRNN Model
3. Fuzzy Logic System
- 1.
- FuzzificationFuzzification is the initial step in an FLS, converting precise input data into fuzzy sets using membership functions. In this paper, the residual error was employed as input, where denotes the Frobenius norm. The fuzzy input set is defined as M, and the fuzzy output set is defined as N. Both input and output membership functions utilize Gaussian functions [37], which are symmetric (i.e., axisymmetric) about their centers, as shown in Figure 1. The Gaussian membership function is defined aswhere parameter a represents the center of Gaussian functions and controls the width.
- 2.
- Fuzzy inference engineThe fuzzy inference engine forms the core of the FLS. It processes the fuzzified inputs by matching them against predefined fuzzy rules, determining the activation degrees of the rules based on this match, and calculating the membership degrees of the output variable in the fuzzy sets according to the rule activations. Fuzzy rules define the mapping relationships between input fuzzy sets M and output fuzzy sets N. Specifically, the FLS uses the following rules:where S, , , and L represent small, medium-small, medium-large, and large, respectively.
- 3.
- DefuzzificationWithin an FLS, the fuzzy inference engine outputs the membership degrees of the output variable. Defuzzification converts this fuzzy output into a precise numerical value. Various defuzzification methods exist [39], including the largest of maximum, centroid, and bisector methods. This paper employed the centroid method. Among these, it used the centroid position of the output fuzzy set as the precise output value. The centroid method comprehensively considers the contributions of all activated fuzzy rules, providing a smooth output. It is defined as follows:where is the fuzzy factor, and O represents the domain of .
4. Theoretical Analyses
5. Numerical Simulation and Mechanical Arm Application
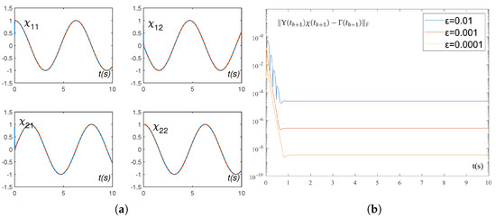
5.1. Numerical Simulation
5.2. Mechanical Arm Application
6. Discussion
7. Conclusions
Author Contributions
Funding
Data Availability Statement
Conflicts of Interest
References
- Gao, Y.; Tang, Z.; Ke, Y.; Stanimirovi, P. New Activation Functions and Zhangians In Zeroing Neural Network and Applications to Time-Varying Matrix Pseudoinversion. Math. Comput. Simul. 2024, 225, 1–12. [Google Scholar] [CrossRef]
- Chen, Y.; Chen, J.; Yi, C. A Pre-Defined Finite Time Neural Solver for The Time-Variant Matrix Equation E(t)X(t)G(t) = D(t). J. Frankl. Inst. 2024, 361, 106710. [Google Scholar] [CrossRef]
- Liao, B.; Wang, Y.; Li, J.; Guo, D.; He, Y. Harmonic Noise-Tolerant ZNN for Dynamic Matrix Pseudoinversion and Its Application to Robot Manipulator. Front. Neurorobot. 2022, 16, 928636. [Google Scholar] [CrossRef] [PubMed]
- Tang, W.; Cai, H.; Xiao, L.; He, Y.; Li, L.; Zuo, Q.; Li, J. A Predefined-Time Adaptive Zeroing Neural Network for Solving Time-Varying Linear Equations and Its Application to UR5 Robot. IEEE Trans. Neural Netw. Learn. Syst. 2025, 36, 4703–4712. [Google Scholar] [CrossRef] [PubMed]
- Li, C.; Zheng, B.; Ou, Q.; Wang, Q.; Yue, C.; Chen, L.; Zhang, Z.; Yu, J.; Liu, P. A Novel Varying-Parameter Periodic Rhythm Neural Network for Solving Time-Varying Matrix Equation in Finite Energy Noise Environment and Its Application to Robot Arm. Neural Comput. Appl. 2023, 35, 22577–22593. [Google Scholar] [CrossRef]
- Xiao, L.; Li, X.; Cao, P.; He, Y.; Tang, W.; Li, J.; Wang, Y. A Dynamic-Varying Parameter Enhanced ZNN Model for Solving Time-Varying Complex-Valued Tensor Inversion With Its Application to Image Encryption. IEEE Trans. Neural Netw. Learn. Syst. 2024, 35, 13681–13690. [Google Scholar] [CrossRef]
- Xiao, L.; Yan, X.; He, Y.; Cao, P. A Variable-Gain Fixed-Time Convergent and Robust ZNN Model for Image Fusion: Design, Analysis, and Verification. IEEE Trans. Syst. Man Cybern. Syst. 2024, 54, 3415–3426. [Google Scholar] [CrossRef]
- Khiar, Y.; Mainar, E.; Royo-Amondarain, E. Factorizations and Accurate Computations with Min and Max Matrices. Symmetry 2025, 17, 684. [Google Scholar] [CrossRef]
- Wang, Q.W.; Gao, Z.H.; Gao, J.L. A Comprehensive Review on Solving the System of Equations AX = C and XB = D. Symmetry 2025, 17, 625. [Google Scholar] [CrossRef]
- Cui, Y.; Song, Z.; Wu, K.; Yan, J.; Chen, C.; Zhu, D. A Discrete-Time Neurodynamics Scheme for Time-Varying Nonlinear Optimization With Equation Constraints and Application to Acoustic Source Localization. Symmetry 2025, 17, 932. [Google Scholar] [CrossRef]
- Zheng, B.; Yue, C.; Wang, Q.; Li, C.; Zhang, Z.; Yu, J.; Liu, P. A New Super-Predefined-Time Convergence and Noise-Tolerant RNN for Solving Time-Variant Linear Matrix–Vector Inequality in Noisy Environment and Its Application to Robot Arm. Neural Comput. Appl. 2024, 36, 4811–4827. [Google Scholar] [CrossRef]
- Seo, J.; Kim, K.D. An RNN-Based Adaptive Hybrid Time Series Forecasting Model for Driving Data Prediction. IEEE Access 2025, 13, 54177–54191. [Google Scholar] [CrossRef]
- Chen, Y.; Chen, J.; Yi, C. Time-Varying Learning Rate for Recurrent Neural Networks to Solve Linear Equations. Math. Methods Appl. Sci. 2022; early view. [Google Scholar] [CrossRef]
- Shi, Y.; Ding, C.; Li, S.; Li, B.; Sun, X. New RNN Algorithms for Different Time-Variant Matrix Inequalities Solving Under Discrete-Time Framework. IEEE Trans. Neural Netw. Learn. Syst. 2025, 36, 5244–5257. [Google Scholar] [CrossRef]
- Huang, M.; Mao, M.; Zhang, Y. Eleven-point Discrete Perturbation-Handling ZNN Algorithm Applied to Tracking Control of MIMO Nonlinear System Under Various Disturbances. Neural Comput. Appl. 2025, 37, 3455–3472. [Google Scholar] [CrossRef]
- Chen, J.; Pan, Y.; Zhang, Y. ZNN Continuous Model and Discrete Algorithm for Temporally Variant Optimization With Nonlinear Equation Constraints via Novel TD Formula. IEEE Trans. Syst. Man Cybern. Syst. 2024, 54, 3994–4004. [Google Scholar] [CrossRef]
- Qiu, B.; Li, X.; Yang, S. A Novel Discrete-Time Neurodynamic Algorithm for Future Constrained Quadratic Programming With Wheeled Mobile Robot Control. Neural Comput. Appl. 2023, 35, 2795–2809. [Google Scholar] [CrossRef]
- Yang, M. New Second-Level-Discrete Zeroing Neural Network for Solving Dynamic Linear System. IEEE/CAA J. Autom. Sin. 2024, 11, 1521–1523. [Google Scholar] [CrossRef]
- Shi, Y.; Sheng, W.; Li, S.; Li, B.; Sun, X. Neurodynamics for Equality-Constrained Time-Variant Nonlinear Optimization Using Discretization. IEEE Trans. Ind. Inform. 2024, 20, 2354–2364. [Google Scholar] [CrossRef]
- Shi, Y.; Zhao, W.; Li, S.; Li, B.; Sun, X. Direct Derivation Scheme of DT-RNN Algorithm for Discrete Time-Variant Matrix Pseudo-Inversion With Application to Robotic Manipulator. Appl. Soft Comput. 2023, 133, 15684946. [Google Scholar] [CrossRef]
- Wu, W.; Zhang, Y.; Tan, N. Adaptive ZNN Model and Solvers for Tackling Temporally Variant Quadratic Program With Applications. IEEE Trans. Ind. Inf. 2024, 20, 13015–13025. [Google Scholar] [CrossRef]
- Guo, J.; Xiao, Z.; Guo, J.; Hu, X.; Qiu, B. Different-Layer Control of Robotic Manipulators Based on A Novel Direct-Discretization RNN Algorithm. Neurocomputing 2025, 620, 129252. [Google Scholar] [CrossRef]
- Cai, J.; Zhang, W.; Zhong, S.; Yi, C. A Super-Twisting Algorithm Combined Zeroing Neural Network With Noise Tolerance and Finite-Time Convergence for Solving Time-Variant Sylvester Equation. Expert Syst. Appl. 2024, 248, 123380. [Google Scholar] [CrossRef]
- Zheng, B.; Han, Z.; Li, C.; Zhang, Z.; Yu, J.; Liu, P. A Flexible-Predefined-Time Convergence and Noise-Suppression ZNN for Solving Time-Variant Sylvester Equation and Its Application to Robotic Arm. Chaos Solitons Fractals 2024, 178, 114285. [Google Scholar] [CrossRef]
- Hu, Y.; Zhang, C.; Wang, B.; Zhao, J.; Gong, X.; Gao, J.; Chen, H. Noise-Tolerant ZNN-Based Data-Driven Iterative Learning Control for Discrete Nonaffine Nonlinear MIMO Repetitive Systems. IEEE/CAA J. Autom. Sin. 2024, 11, 344–361. [Google Scholar] [CrossRef]
- Cang, N.; Tang, H.; Guo, D.; Zhang, W.; Li, W.; Li, X. Discrete-Time Zeroing Neural Network with Quintic Error Mode for Time-Dependent Nonlinear Equation and Its Application to Robot Arms. Appl. Soft Comput. 2024, 157, 111511. [Google Scholar] [CrossRef]
- Li, J.; Qu, L.; Zhu, Y.; Li, Z.; Liao, B. A Novel Zeroing Neural Network for Time-Varying Matrix Pseudoinversion in the Presence of Linear Noises. Tsinghua Sci. Technol. 2025, 30, 1911–1926. [Google Scholar] [CrossRef]
- Liu, M.; Li, J.; Li, S.; Zeng, N. Recurrent-Neural-Network-Based Polynomial Noise Resistance Model for Computing Dynamic Nonlinear Equations Applied to Robotics. IEEE Trans. Cogn. Dev. Syst. 2023, 15, 518–529. [Google Scholar] [CrossRef]
- Han, Y.; Cheng, G.; Qiu, B. A Triple-Integral Noise-Resistant RNN for Time-Dependent Constrained Nonlinear Optimization Applied to Manipulator Control. IEEE Trans. Ind. Electron. 2025, 72, 6124–6133. [Google Scholar] [CrossRef]
- Jia, L.; Xiao, L.; Dai, J.; Wang, Y. Intensive Noise-Tolerant Zeroing Neural Network Based on a Novel Fuzzy Control Approach. IEEE Trans. Fuzzy Syst. 2023, 31, 4350–4360. [Google Scholar] [CrossRef]
- Hu, Y.; Du, Q.; Luo, J.; Yu, C.; Zhao, B.; Sun, Y. A Nonconvex Activated Fuzzy RNN with Noise-Immune for Time-Varying Quadratic Programming Problems: Application to Plant Leaf Disease Identification. Tsinghua Sci. Technol. 2025, 30, 1994–2013. [Google Scholar] [CrossRef]
- Dai, J.; Tan, P.; Xiao, L.; Jia, L.; He, Y.; Luo, J. A Fuzzy Adaptive Zeroing Neural Network Model With Event-Triggered Control for Time-Varying Matrix Inversion. IEEE Trans. Fuzzy Syst. 2023, 31, 3974–3983. [Google Scholar] [CrossRef]
- Chiu, C.S.; Yao, S.Y.; Santiago, C. Type-2 Fuzzy-Controlled Air-Cleaning Mobile Robot. Symmetry 2025, 17, 1088. [Google Scholar] [CrossRef]
- Jin, L.C.; Hashim, A.A.A.; Ahmad, S.; Ghani, N.M.A. System Identification and Control of Automatic Car Pedal Pressing System. J. Intell. Syst. Control 2022, 1, 79–89. [Google Scholar] [CrossRef]
- Tan, C.; Cao, Q.; Quek, C. FE-RNN: A Fuzzy Embedded Recurrent Neural Network for Improving Interpretability of Underlying Neural Network. Inf. Sci. 2024, 663, 120276. [Google Scholar] [CrossRef]
- Jin, J.; Lei, X.; Chen, C.; Lu, M.; Wu, L.; Li, Z. A Fuzzy Zeroing Neural Network and Its Application on Dynamic Hill Cipher. Neural Comput. Appl. 2025, 37, 10605–10619. [Google Scholar] [CrossRef]
- Qiu, B.; Li, Z.; Li, K.; Guo, J. A Fuzzy-Power Direct-Discretization RNN Algorithm for Solving Discrete Multilayer Dynamic Systems With Robotic Applications. In Proceedings of the 2024 International Conference on Intelligent Robotics and Automatic Control, IRAC 2024, Guangzhou, China, 29 November–1 December 2024; pp. 124–129. [Google Scholar] [CrossRef]
- Qiu, B.; Li, K.; Li, Z.; Guo, J. An Adaptive Direct-Discretized RNN With Fuzzy Factor for Handling Future Distinct-Layer Inequality and Equation System Applied to Robot Manipulator Control. In Proceedings of the 2024 International Conference on Intelligent Robotics and Automatic Control, IRAC 2024, Guangzhou, China, 29 November–1 December 2024; pp. 519–524. [Google Scholar] [CrossRef]
- Kong, Y.; Zeng, X.; Jiang, Y.; Sun, D. Comprehensive Study on a Fuzzy Parameter Strategy of Zeroing Neural Network for Time-Variant Complex Sylvester Equation. IEEE Trans. Fuzzy Syst. 2024, 32, 4470–4481. [Google Scholar] [CrossRef]
- Fu, X.; Li, S.; Wunsch, D.C.; Alonso, E. Local Stability and Convergence Analysis of Neural Network Controllers With Error Integral Inputs. IEEE Trans. Neural Netw. Learn. Syst. 2023, 34, 3751–3763. [Google Scholar] [CrossRef]
- Zhao, L.; Liu, X.; Jin, J. A Novel Fuzzy-Type Zeroing Neural Network for Dynamic Matrix Solving and Its Applications. J. Frankl. Inst. 2024, 361, 107143. [Google Scholar] [CrossRef]
- Yi, C.; Li, X.; Zhu, M.; Ruan, J. A Recurrent Neural Network Based on Taylor Difference for Solving Discrete Time-Varying Linear Matrix Problems and Application in Robot Arms. J. Frankl. Inst. 2025, 362, 107469. [Google Scholar] [CrossRef]






| CN | LN | RBN | |
|---|---|---|---|
| TDRNN model | |||
| ADD-RNN model | |||
| FITDRNN model |
| CN | LN | RBN | |
|---|---|---|---|
| 0.01 | |||
| 0.001 | |||
| 0.0001 |
Disclaimer/Publisher’s Note: The statements, opinions and data contained in all publications are solely those of the individual author(s) and contributor(s) and not of MDPI and/or the editor(s). MDPI and/or the editor(s) disclaim responsibility for any injury to people or property resulting from any ideas, methods, instructions or products referred to in the content. |
© 2025 by the authors. Licensee MDPI, Basel, Switzerland. This article is an open access article distributed under the terms and conditions of the Creative Commons Attribution (CC BY) license (https://creativecommons.org/licenses/by/4.0/).
Share and Cite
Yi, C.; Chen, J.; Li, L. A Direct Discrete Recurrent Neural Network with Integral Noise Tolerance and Fuzzy Integral Parameters for Discrete Time-Varying Matrix Problem Solving. Symmetry 2025, 17, 1359. https://doi.org/10.3390/sym17081359
Yi C, Chen J, Li L. A Direct Discrete Recurrent Neural Network with Integral Noise Tolerance and Fuzzy Integral Parameters for Discrete Time-Varying Matrix Problem Solving. Symmetry. 2025; 17(8):1359. https://doi.org/10.3390/sym17081359
Chicago/Turabian StyleYi, Chenfu, Jie Chen, and Ling Li. 2025. "A Direct Discrete Recurrent Neural Network with Integral Noise Tolerance and Fuzzy Integral Parameters for Discrete Time-Varying Matrix Problem Solving" Symmetry 17, no. 8: 1359. https://doi.org/10.3390/sym17081359
APA StyleYi, C., Chen, J., & Li, L. (2025). A Direct Discrete Recurrent Neural Network with Integral Noise Tolerance and Fuzzy Integral Parameters for Discrete Time-Varying Matrix Problem Solving. Symmetry, 17(8), 1359. https://doi.org/10.3390/sym17081359

