Symmetry-Guided Surrogate-Assisted NSGA-II for Multi-Objective Optimization of Renewable Energy Systems
Highlights
Abstract
1. Introduction
1.1. Contributions
- Symmetry-Aware Genetic Operators. A bespoke crossover operator that identifies temporal (diurnal) and structural symmetry, permutes symmetric solution segments, and ensures the generation of diversity-rich offspring.
- Surrogate Modeling for Acceleration. A surrogate model (e.g., Gaussian Process or RBF) trained on early generations, used to approximate fitness evaluations in later stages, reducing runtime significantly.
- Renewable Energy System Case Study. A controlled, synthetic dataset simulating one-year hourly profiles of solar, wind, and demand to demonstrate algorithm efficacy while maintaining reproducibility.
1.2. Paper Structure
2. Related Work
2.1. Surrogate-Assisted Multi-Objective Evolutionary Algorithms
2.2. Symmetry and Invariance in Evolutionary Optimization
2.3. Metaheuristics in Renewable Energy Systems
2.4. Gaps and Novelty
3. Problem Formulation
3.1. Decision Variables
- : Proportion of available solar energy utilized at hour t (e.g., through panel tilt adjustment or inverter control).
- : Proportion of available wind power utilized at hour t (e.g., by turbine pitch or on/off scheduling).
- : Battery dispatch level (positive for discharging, negative for charging) at hour t, constrained by the battery power rating
- : Optional load shifting or scheduling decision at hour t (used for demand-side management).
3.2. Objective Functions
- Total Unmet Demand
- 2.
- Operational Cost
3.3. Constraints
- Energy Balance Constraint
- Battery Operational Limits
- Generation Availability
- Symmetry Structure ConstraintsThe system exhibits natural temporal symmetry in daily demand and generation profiles, as well as structural symmetry in spatially identical units (e.g., identical turbines or panels). These can be exploited in the following:
- ○
- Solution encoding (e.g., repeating daily control profiles);
- ○
- Symmetry-aware crossover operators that permute equivalent daily schedules or mirrored asset blocks.
4. Symmetry-Aware NSGA-II
4.1. Core Idea
4.2. Symmetry-Preserving Encoding
4.3. Symmetry-Guided Crossover
4.4. Symmetry-Aware Mutation
- If variables and belong to a periodic group, then a mutation on propagates symmetrically to all .
- If variables control interchangeable turbines, mutations can rotate or shuffle values among them.
4.5. Algorithm Summary
- Initialization: Generate the initial population with symmetry-preserving encodings (e.g., 24 h profiles, identical turbine groups).
- Evaluation: Compute the three objective functions—unmet demand, operational cost, and renewable usage ratio.
- Variation Operators: Apply symmetry-guided crossover and mutation operators, ensuring diversity within the reduced symmetry group.
- Selection: Perform non-dominated sorting and apply crowding distance-based selection as per NSGA-II.
- Termination: Repeat steps 2–4 until a convergence criterion is met (e.g., max generations or minimal HV change).
4.6. Pseudocode
| Listing 1. Pseudocode of the SGSA-NSGA-II algorithm incorporating symmetry-preserving encoding, symmetry-guided crossover and mutation, and optional surrogate modeling for computational acceleration. |
| Input: T: Number of time steps (e.g., hours) N: Population size G_max: Maximum number of generations SymGroup: Symmetry groups (e.g., temporal, structural) f1, f2, f3: Objective functions (to be minimized) SurrogateModel: Optional (e.g., RBF or GPR) Output: Pareto Front of non-dominated solutions 1. Initialize population P with N individuals using symmetry-preserving encoding - Apply periodic constraints: x[t + 24k] = x[t] - Initialize interchangeable components symmetrically 2. Evaluate all individuals in P using full objective evaluations (f1, f2, f3) 3. Train surrogate model on evaluated individuals (optional, after warm-up generations) 4. For generation g = 1 to G_max do a. Select mating pool from P using binary tournament selection based on dominance rank and crowding distance b. Apply Symmetry-Guided Crossover: - Select group-compatible parents - Combine genes respecting symmetry classes (e.g., daily blocks, turbine groups) c. Apply Symmetry-Aware Mutation: - Mutate representative genes - Propagate mutation to symmetric counterparts within SymGroup d. Form offspring population Q e. Evaluate Q using: - SurrogateModel if predicted std. deviation < τ (confidence threshold) - Full evaluation otherwise (or for elite individuals) f. Combine P and Q into R = P ∪ Q g. Perform fast non-dominated sorting on R - Sort by rank - Break ties with crowding distance h. Select N best individuals from R to form new population P 5. Return final non-dominated set from P |
5. Experiments
5.1. Dataset
- Solar irradiance modeled as a sinusoidal function with daily periodicity and Gaussian noise.
- Wind availability generated as a stochastic time series with bounded seasonal patterns.
- Electricity demand incorporating realistic diurnal fluctuations with dual daily peaks, mimicking a residential or prosumer load profile.
5.2. Evaluation Metrics
- Hypervolume Indicator (HV): Measures the dominated portion of objective space, relative to a fixed reference point.
- Unmet Demand (%): The proportion of total demand that remains unsatisfied.
- Execution Time (s): Time taken for each run to reach the stopping criterion.
- Symmetry Violations: Number of solutions in the final population that violate expected temporal or structural symmetry, used as a proxy for encoding effectiveness and behavioral robustness.
5.3. Baselines
- Standard NSGA-II: A baseline multi-objective evolutionary algorithm without symmetry awareness or surrogate modeling.
- Random Search: A naive baseline that samples solutions uniformly without learning or variation mechanisms.
- Symmetry-Breaking NSGA-II: A modified version of NSGA-II that uses random hourly encodings to destroy inherent problem symmetry.
5.4. Setup and Results
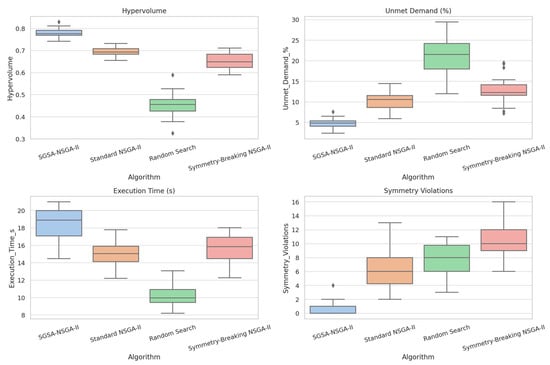
5.5. Observations
- SGSA-NSGA-II consistently achieved the highest hypervolume, indicating a superior Pareto front approximation.
- It resulted in the lowest unmet demand and lowest symmetry violations, confirming the effectiveness of symmetry-aware encoding and variation.
- Although the execution time was slightly higher than standard NSGA-II, the gains in solution quality justify the overhead.
- The symmetry-breaking variant showed degraded performance across all metrics, reinforcing the value of respecting domain-inherent structure.
6. Results and Discussion
6.1. Convergence Behavior
6.2. Pareto Front Analysis
6.3. Symmetry Awareness and Performance
6.4. Multi-Objective Trade-Offs
- Minimizing unmet demand tends to require higher battery dispatch, increasing operational costs.
- Maximizing the renewable usage ratio sometimes leads to an energy surplus, which is penalized.
- Symmetry-aware solutions tend to cluster in efficient regions of the Pareto front, reflecting effective reuse of regular structures (e.g., daily cycles).
6.5. Representative Case Studies
- Repeated core decision patterns every 24 h (e.g., peak battery discharge during evening demand).
- Aligned solar dispatch curves with irradiance maxima and scheduled charging to coincide with wind overproduction.
- Maintained near-zero unmet demand with minimal operational cost, using fewer control adjustments due to symmetry.
6.6. Summary
7. Conclusions
7.1. Limitations
- Symmetry design is currently manual and domain-specific; generalizing this process to diverse problem classes remains non-trivial.
- This study uses a synthetic dataset, which allows controlled experiments but lacks the unpredictability and noise of real-world systems.
- The surrogate model is trained with a fixed activation rule; more dynamic learning strategies may improve generalization and robustness further.
7.2. Future Work
- Real-world deployment: Applying SGSA-NSGA-II to real datasets (e.g., smart grid control, solar farm management) would validate its practical utility and reveal operational challenges.
- Multi-period and rolling-horizon optimization: Extending the framework to longer horizons with real-time updates would enhance its applicability to dynamic environments.
- Deep surrogate integration: Using advanced machine learning models such as Gaussian processes, neural networks, or ensemble learners for surrogate evaluation could further improve scalability for high-dimensional or simulation-heavy problems.
- Adaptive symmetry learning: Automatically identifying latent symmetry structures from data or graph-based models (e.g., in microgrid layouts) could make the framework more widely applicable.
Funding
Data Availability Statement
Acknowledgments
Conflicts of Interest
References
- Aghaei pour, P.; Hakanen, J.; Miettinen, K. A Surrogate-Assisted a Priori Multiobjective Evolutionary Algorithm for Constrained Multiobjective Optimization Problems. J. Glob. Optim. 2024, 90, 459–485. [Google Scholar] [CrossRef]
- Srinivas, N.; Deb, K. Muiltiobjective Optimization Using Nondominated Sorting in Genetic Algorithms. Evol. Comput. 1994, 2, 221–248. [Google Scholar] [CrossRef]
- Deb, K.; Agrawal, S.; Pratap, A.; Meyarivan, T. A Fast Elitist Non-Dominated Sorting Genetic Algorithm for Multi-Objective Optimization: NSGA-II. In Lecture Notes in Computer Science; Springer: Berlin/Heidelberg, Germany, 2000; pp. 849–858. ISBN 978-3-540-41056-0. [Google Scholar]
- Yu, M.; Wang, Z.; Dai, R.; Chen, Z.; Ye, Q.; Wang, W. A Two-Stage Dominance-Based Surrogate-Assisted Evolution Algorithm for High-Dimensional Expensive Multi-Objective Optimization. Sci. Rep. 2023, 13, 1–17. [Google Scholar] [CrossRef]
- Zhang, T.; Li, W.; Wang, R. Surrogated-Assisted Multimodal Multi-Objective Optimization for Hybrid Renewable Energy System. Complex. Intell. Syst. 2023, 9, 4075–4087. [Google Scholar] [CrossRef]
- Raza, A.; Yuan, G.; Wang, C.; Liu, X.; Hu, T. Enhancing Manufacturing Efficiency Through Symmetry-Aware Adaptive Ant Colony Optimization Algorithm for Integrated Process Planning and Scheduling. Symmetry 2025, 17, 824. [Google Scholar] [CrossRef]
- Stander, L.; Woolway, M.; van Zyl, T.L. Surrogate Assisted Evolutionary Multi-Objective Optimisation Applied to a Pressure Swing Adsorption System. Neural Comput. Appl. 2025, 37, 739–755. [Google Scholar] [CrossRef]
- Liu, S.; Wang, H.; Peng, W.; Yao, W. Surrogate-Assisted Evolutionary Algorithms for Expensive Combinatorial Optimization: A Survey. Complex. Intell. Syst. 2024, 10, 5933–5949. [Google Scholar] [CrossRef]
- Jin, Y. Surrogate-Assisted Evolutionary Computation: Recent Advances and Future Challenges. Swarm Evol. Comput. 2011, 1, 61–70. [Google Scholar] [CrossRef]
- Jin, Y.; Wang, H.; Sun, C. Surrogate-Assisted Many-Objective Evolutionary Optimization. In Data-Driven Evolutionary Optimization: Integrating Evolutionary Computation, Machine Learning and Data Science; Jin, Y., Wang, H., Sun, C., Eds.; Springer International Publishing: Cham, Switzerland, 2021; pp. 231–271. ISBN 978-3-030-74640-7. [Google Scholar]
- Emmerich, M.T.M.; Deutz, A.H. A Tutorial on Multiobjective Optimization: Fundamentals and Evolutionary Methods. Nat. Comput. 2018, 17, 585–609. [Google Scholar] [CrossRef] [PubMed]
- Zitzler, E.; Thiele, L.; Laumanns, M.; Fonseca, C.M.; da Fonseca, V.G. Performance Assessment of Multiobjective Optimizers: An Analysis and Review. IEEE Trans. Evol. Comput. 2003, 7, 117–132. [Google Scholar] [CrossRef]
- Knowles, J.; Corne, D. On metrics for comparing nondominated sets. In Proceedings of the 2002 Congress on Evolutionary Computation CEC’02 (Cat. No.02TH8600), Honolulu, HI, USA, 12–17 May 2002; Volume 1, pp. 711–716. [Google Scholar]
- Pierce, C.M.; Kim, Y.-K.; Bazarov, I. A Comparison-Relationship-Surrogate Evolutionary Algorithm for Multi-Objective Optimization. Swarm Evol. Comput. 2025, 95, 101947. [Google Scholar] [CrossRef]
- Wang, L.; Deng, R.; Zhang, L.; Qu, J.; Wang, H.; Zhang, L.; Zhao, X.; Xu, B.; Lv, X.; Adenutsi, C.D. A Novel Surrogate-Assisted Multi-Objective Well Control Parameter Optimization Method Based on Selective Ensembles. Processes 2024, 12, 2140. [Google Scholar] [CrossRef]
- Sun, Y.; Ma, Y.; Hua, B. A Preference Model-Based Surrogate-Assisted Constrained Multi-Objective Evolutionary Algorithm for Expensively Constrained Multi-Objective Problems. Appl. Sci. 2025, 15, 4847. [Google Scholar] [CrossRef]
- Younis, A.; Dong, Z. Adaptive Surrogate Assisted Multi-Objective Optimization Approach for Highly Nonlinear and Complex Engineering Design Problems. Appl. Soft Comput. 2024, 150, 111065. [Google Scholar] [CrossRef]
- Lin, X.; Xu, Z.; Xie, S.; Yang, F.; Wu, J.; Li, D. Symmetry-Aware Dynamic Scheduling Optimization in Hybrid Manufacturing Flexible Job Shops Using a Time Petri Nets Improved Genetic Algorithm. Symmetry 2025, 17, 907. [Google Scholar] [CrossRef]
- Cohen, T.; Welling, M. Group Equivariant Convolutional Networks. In Proceedings of the 33rd International Conference on Machine Learning, New York, NY, USA, 11 June 2016; pp. 2990–2999. [Google Scholar]
- Maron, H.; Ben-Hamu, H.; Shamir, N.; Lipman, Y. Invariant and equivariant graph networks. In Proceedings of the 7th International Conference on Learning Representations (ICLR 2019), New Orleans, LA, USA, 6–9 May 2019; pp. 1–13. [Google Scholar]
- Tracinà, R. Symmetries and Invariant Solutions of Higher-Order Evolution Systems. Symmetry 2024, 16, 1023. [Google Scholar] [CrossRef]
- Zhu, S.; Zeng, L.; Cui, M. Symmetrical Generalized Pareto Dominance and Adjusted Reference Vector Cooperative Evolutionary Algorithm for Many-Objective Optimization. Symmetry 2024, 16, 1484. [Google Scholar] [CrossRef]
- Dufo-López, R.; Bernal-Agustín, J.L.; Yusta-Loyo, J.M.; Domínguez-Navarro, J.A.; Ramírez-Rosado, I.J.; Lujano, J.; Aso, I. Multi-Objective Optimization Minimizing Cost and Life Cycle Emissions of Stand-Alone PV–Wind–Diesel Systems with Batteries Storage. Appl. Energy 2011, 88, 4033–4041. [Google Scholar] [CrossRef]
- Nallolla, C.A.; P, V.; Chittathuru, D.; Padmanaban, S. Multi-Objective Optimization Algorithms for a Hybrid AC/DC Microgrid Using RES: A Comprehensive Review. Electronics 2023, 12, 1062. [Google Scholar] [CrossRef]
- Ranjbar, H.; Assimi, H.; Islam, S.M.M.; Pourmousavi, S.A.; Soong, W.L. Optimal Planning of Renewable-Based Mining Microgrids: A Comparative Study of Multi-Objective Evolutionary Algorithms. Optim. Lett. 2025, 19, 1–24. [Google Scholar] [CrossRef]
- Alhawsawi, E.Y.; Habbi, H.M.D.; Hawsawi, M.; Zohdy, M.A. Optimal Design and Operation of Hybrid Renewable Energy Systems for Oakland University. Energies 2023, 16, 5830. [Google Scholar] [CrossRef]
- Zhang, Z. Multi-Objective Optimization Method for Building Energy-Efficient Design Based on Multi-Agent-Assisted NSGA-II. Energy Inform. 2024, 7, 90. [Google Scholar] [CrossRef]
- Mahmoudi, S.M.; Maleki, A.; Rezaei Ochbelagh, D. Multi-Objective Optimization of Hybrid Energy Systems Using Gravitational Search Algorithm. Sci. Rep. 2025, 15, 2550. [Google Scholar] [CrossRef]
- Li, J.; Gong, Z.; Miao, G.; Wang, X.; Yuan, L.; Jia, X.; Ma, H. Multi-Objective Optimization of Power-Gas-Heat Integrated Energy System Based on NSGA-II-MOPSO Hybrid Intelligent Algorithm. J. Electr. Eng. Technol. 2025, 1–17. [Google Scholar] [CrossRef]
- Tian, Y.; Cheng, R.; Zhang, X.; Jin, Y. PlatEMO: A MATLAB platform for evolutionary multi-objective optimization. IEEE Comput. Intell. Mag. 2017, 12, 73–87. [Google Scholar] [CrossRef]
- Benítez-Hidalgo, A.; Nebro, A.J.; García-Nieto, J.; Oregi, I.; Del Ser, J. jMetalPy: A Python Framework for Multi-Objective Optimization with Metaheuristics. Swarm Evol. Comput. 2019, 51, 100598. Available online: https://ar5iv.labs.arxiv.org/html/1903.02915 (accessed on 15 July 2025). [CrossRef]






| Study | Algorithm | Application Domain | Objectives | Symmetry Awareness | Surrogate Use | Key Contribution |
|---|---|---|---|---|---|---|
| Liu et al., (2024) [8] | SA-MOEA (general) | Generic MO optimization | Generalized cost, performance | ✗ | ✓ | Survey of surrogate-assisted MOEAs |
| Yu et al., (2023) [4] | RBF-SA-MOEA | Expensive multi-objective functions | Efficiency, convergence | ✗ | ✓ | Two-stage surrogate modeling |
| Dufo-López et al., (2011) [23] | NSGA-II | Hybrid PV-Wind-Diesel Systems | Cost, Emissions | ✗ | ✗ | Lifecycle-based energy optimization |
| Raza et al., (2025) [6] | ACO (symmetry-aware) | Manufacturing scheduling | Makespan, cost | ✓ | ✗ | Symmetry-breaking operators |
| Jin, (2011) [9] | NSGA-II + Surrogate | PSA system optimization | Efficiency, purity | ✗ | ✓ | Surrogate acceleration in chemical systems |
| Pierce et al., (2025) [14] | CRSEA (Comparison-Relationship SAEA) | Generic MO + physics simulation | Efficiency, convergence | ✗ | ✓ | Surrogate-based relational dominance with low evaluation budgets |
| Sun et al., (2025) [16] | Preference-Surrogate MOEA | Constrained optimization | Constraint handling, speed | ✗ | ✓ | Co-Kriging surrogate guided by preference models |
| Zhu, (2024) [22] | Symm-GPD + Surrogate | Multi-objective optimization | Diversity, precision | ✓ | ✓ | Integrates symmetry-preserving dominance and surrogates |
| This work | SGSA-NSGA-II | Renewable Energy (PV/Wind) | Unmet demand, surplus, cost | ✓ | ✓ | First hybrid of symmetry + surrogate for MO energy planning |
| Model | RMSE | MAE | 95% CI Width |
|---|---|---|---|
| GPR (f1) | 0.0241 | 0.0189 | ±0.0372 |
| GPR (f2) | 0.0317 | 0.0246 | ±0.0425 |
| GPR (f3) | 0.0194 | 0.0151 | ±0.0298 |
| RBF (f1) | 0.0262 | 0.0207 | ±0.0404 |
| RBF (f2) | 0.0345 | 0.0273 | ±0.0467 |
| RBF (f3) | 0.0210 | 0.0163 | ±0.0312 |
| Algorithm | Hypervolume | Unmet Demand (%) | Execution Time (s) | Symmetry Violations |
|---|---|---|---|---|
| SGSA-NSGA-II | 0.78 ± 0.02 | 4.70 ± 1.14 | 18.57 ± 1.82 | 0.57 ± 0.94 |
| Standard NSGA-II | 0.70 ± 0.02 | 10.24 ± 2.14 | 14.98 ± 1.37 | 6.43 ± 2.58 |
| Symmetry-Breaking NSGA-II | 0.65 ± 0.04 | 12.87 ± 2.85 | 15.71 ± 1.49 | 10.23 ± 2.42 |
| Random Search | 0.45 ± 0.05 | 21.18 ± 4.66 | 10.28 ± 1.15 | 7.83 ± 2.34 |
| Test Comparison | Metric | Test Used | Statistic Value | p-Value |
|---|---|---|---|---|
| SGSA vs. Std. NSGA-II | Hypervolume | Wilcoxon rank-sum | Z = 4.28 | <0.001 |
| SGSA vs. Symm.-Breaking NSGA | Hypervolume | Wilcoxon rank-sum | Z = 4.62 | <0.001 |
| SGSA vs. Std. NSGA-II | Unmet Demand (%) | Wilcoxon rank-sum | Z = 4.35 | <0.001 |
| SGSA vs. Random Search | Symmetry Violations | Kruskal–Wallis | H = 18.42 | <0.001 |
Disclaimer/Publisher’s Note: The statements, opinions and data contained in all publications are solely those of the individual author(s) and contributor(s) and not of MDPI and/or the editor(s). MDPI and/or the editor(s) disclaim responsibility for any injury to people or property resulting from any ideas, methods, instructions or products referred to in the content. |
© 2025 by the author. Licensee MDPI, Basel, Switzerland. This article is an open access article distributed under the terms and conditions of the Creative Commons Attribution (CC BY) license (https://creativecommons.org/licenses/by/4.0/).
Share and Cite
Reis, M.J.C.S. Symmetry-Guided Surrogate-Assisted NSGA-II for Multi-Objective Optimization of Renewable Energy Systems. Symmetry 2025, 17, 1367. https://doi.org/10.3390/sym17081367
Reis MJCS. Symmetry-Guided Surrogate-Assisted NSGA-II for Multi-Objective Optimization of Renewable Energy Systems. Symmetry. 2025; 17(8):1367. https://doi.org/10.3390/sym17081367
Chicago/Turabian StyleReis, Manuel J. C. S. 2025. "Symmetry-Guided Surrogate-Assisted NSGA-II for Multi-Objective Optimization of Renewable Energy Systems" Symmetry 17, no. 8: 1367. https://doi.org/10.3390/sym17081367
APA StyleReis, M. J. C. S. (2025). Symmetry-Guided Surrogate-Assisted NSGA-II for Multi-Objective Optimization of Renewable Energy Systems. Symmetry, 17(8), 1367. https://doi.org/10.3390/sym17081367
