- Article
Stride Mechanics and Strength Analysis of Lower Limbs in Runners with Medial Tibial Stress Syndrome vs. Asymptomatic Runners
- Estélio Henrique Martin Dantas,
- Ronald Bispo Barreto,
- Miguel Angel Narvaez Silva,
- Marcos Antonio Almeida-Santos,
- Guido Belli and
- Luca Russo
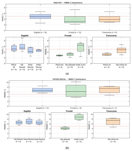
Background: Street running has seen rapid growth due to its health benefits and accessibility, leading to a simultaneous rise in running-related injuries, particularly among recreational and professional street runners. Medial Tibial Stress Syndrome...

