Design and Performance Evaluation of a Flatness-Based Controller for a Three-Phase Three-Level NPC Shunt Active Power Filter
Abstract
1. Introduction
2. System Overview and Dynamic Modeling
2.1. System Overview
2.2. System Dynamic Modeling
2.3. Space Vector Pulse Width Modulation Strategy
- Space vector representation: The three-phase output voltages are represented as a single rotating space vector in the plane;
- Switching pattern determination: SVPWM determines the optimal switching pattern for the inverter switches to synthesize the desired output voltage space vector. This process is achieved by selecting the appropriate inverter switching states and their corresponding durations;
- Pulse width modulation: The determined switching pattern is then used to generate the gate signals for the inverter switches using pulse width modulation.
2.3.1. Space Vector Representation
2.3.2. Switching Pattern Determination
2.3.3. Pulse Width Modulation
3. Control Law Synthesis via Differential Flatness
3.1. High-Bandwidth Current Control Scheme
- Verification of the differential flatness: The first step is to check the flatness conditions expressed in (23a), (23b) and (23c);
- Reference trajectory planning: The second step is designing the desired references for the flat outputs of the control system;
- Control law synthesis: The third step is to synthesize the control laws that will allow the regulation of flat outputs to their reference trajectories in terms of the flat outputs and their derivatives.
3.1.1. Verification of Differential Flatness
3.1.2. Reference Trajectory Planning
3.1.3. Control Law Synthesis
3.2. Outer-Loop Control Strategy for DC Bus Voltage Regulation
4. Simulation-Based Control Validation
- Performance in the presence of DC bus voltage variation.
- Performance analysis under load transition: from nonlinear to mixed nonlinear and linear load.
- Performance with system parameter variation.
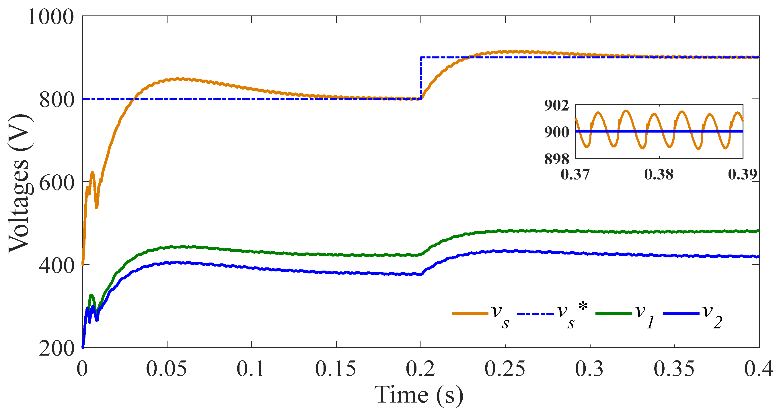
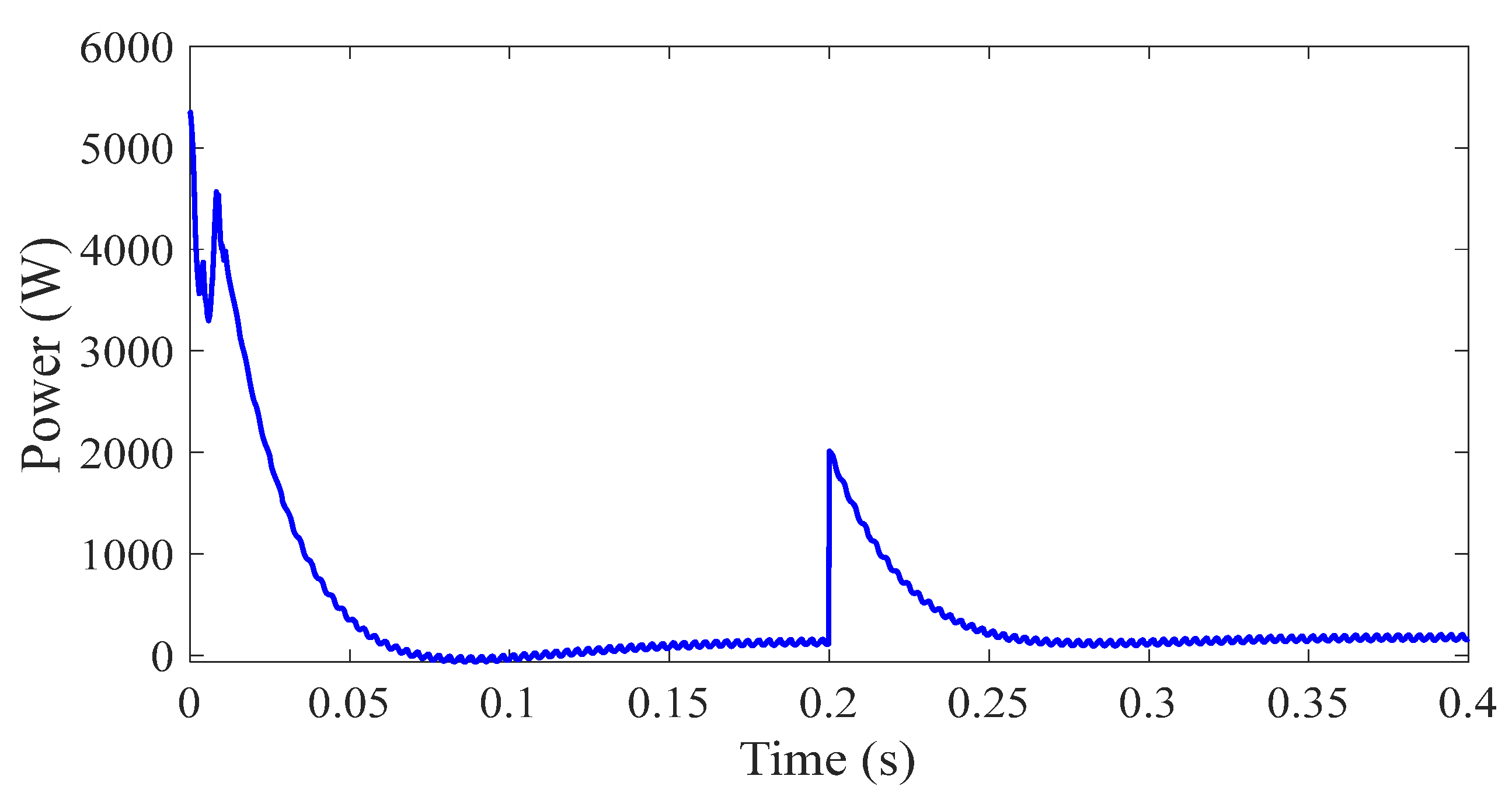
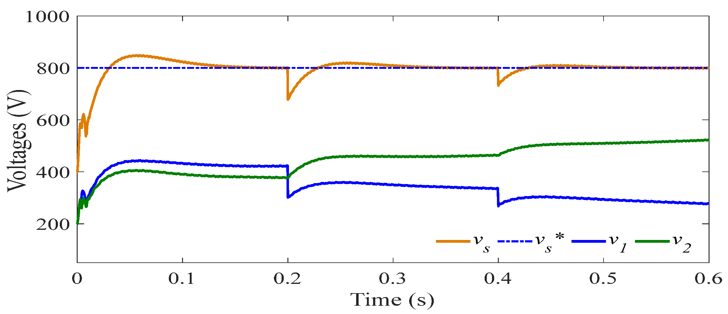
4.1. Performance in the Presence of DC Bus Voltage Variation
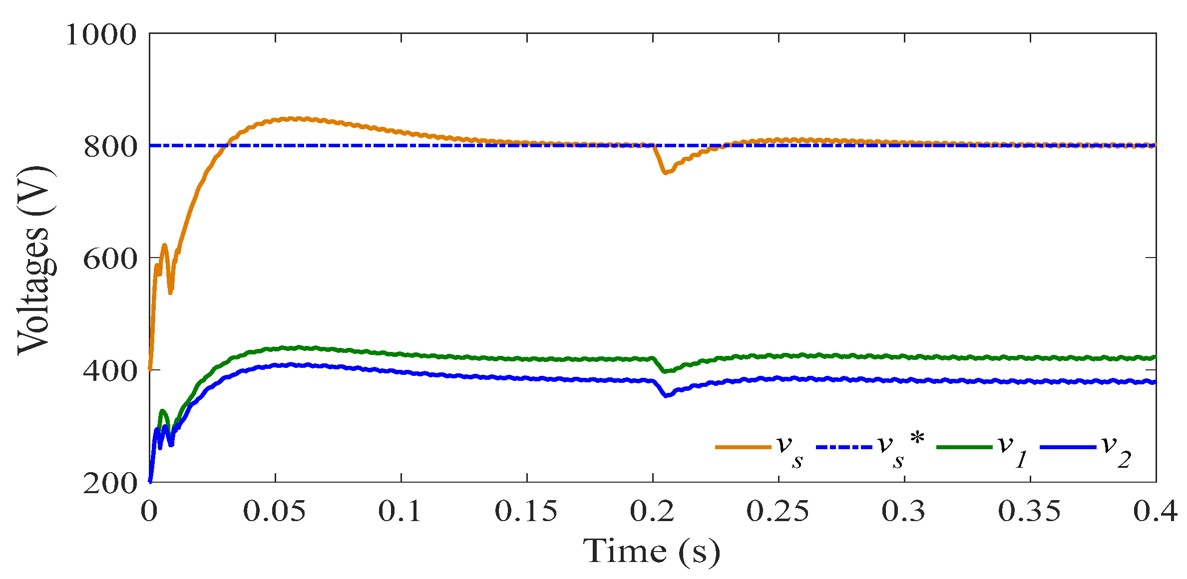
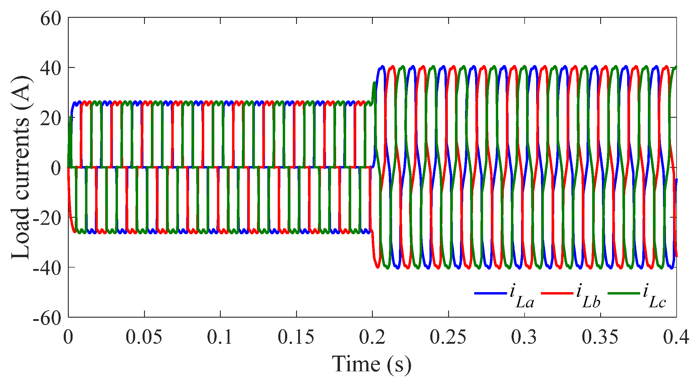
4.2. Performance Analysis Under Load Transition: From Nonlinear to Mixed Nonlinear and Linear Load
4.3. Performance with System Parameter Variation
5. Conclusions
Author Contributions
Funding
Data Availability Statement
Acknowledgments
Conflicts of Interest
Acronyms
| APF | Active Power Filter |
| NPC | Neutral Point Clamped |
| SAPF | Shunt Active Power Filter |
| VSI | Voltage Source Inverter |
| FC | Flying Capacitor |
| MMC | Modular Multilevel Converter |
| PID | Proportional Integral Derivative |
| PI | Proportional Integral |
| SVPWM | Space Vector Pulse Width Modulation |
| IGBT | Insulated Gate Bipolar Transistors |
| KVL | Kirchhoff’s Voltage Law |
References
- Islahuzzaman, I.S.; Sudrajat, M.I.; Moonen, N.; Popovic, J.; Leferink, F. The Significance of Cable and Nonlinear Loads to Losses, Voltage Drop, and Harmonics in Remote Off-Grid Systems. IEEE Lett. Electromagn. Compat. Pract. Appl. 2024, 6, 72–78. [Google Scholar] [CrossRef]
- Michalec, Ł.; Jasiński, M.; Sikorski, T.; Leonowicz, Z.; Jasiński, Ł.; Suresh, V. Impact of Harmonic Currents of Nonlinear Loads on Power Quality of a Low Voltage Network–Review and Case Study. Energies 2021, 14, 3665. [Google Scholar] [CrossRef]
- Adak, S. Harmonics Mitigation of Stand-Alone Photovoltaic System Using LC Passive Filter. J. Electr. Eng. Technol. 2021, 16, 2389–2396. [Google Scholar] [CrossRef]
- Das, S.R.; Ray, P.K.; Sahoo, A.K.; Ramasubbareddy, S.; Babu, T.S.; Kumar, N.M.; Elavarasan, R.M.; Mihet-Popa, L. A Comprehensive Survey on Different Control Strategies and Applications of Active Power Filters for Power Quality Improvement. Energies 2021, 14, 4589. [Google Scholar] [CrossRef]
- Abouloifa, A.; Giri, F.; Lachkar, I.; Chaoui, F.Z.; Kissaoui, M.; Abouelmahjoub, Y. Cascade Nonlinear Control of Shunt Active Power Filters with Average Performance Analysis. Control Eng. Pract. 2014, 26, 211–221. [Google Scholar] [CrossRef]
- Mikami, W.; Nagatake, K.; Ono, T. Neutral-Point-Clamped PWM Inverter. U.S. Patent No. US4443841A, 17 April 1984. [Google Scholar]
- Lopez, I.; Ceballos, S.; Pou, J.; Zaragoza, J.; Andreu, J.; Kortabarria, I.; Agelidis, V.G. Modulation Strategy for Multiphase Neutral-Point-Clamped Converters. IEEE Trans. Power Electron. 2015, 31, 928–941. [Google Scholar] [CrossRef]
- Feng, J. Study of Control Methods for Three-Level, Five-Level and Multilevel Inverters. Sci. Technol. Eng. Chem. Environ. Prot. 2025, 1, 5. [Google Scholar] [CrossRef]
- Baker, R.H. Bridge Converter Circuit. U.S. Patent No. 4270163, 26 May 1981. [Google Scholar]
- Nabae, A.; Takahashi, I.; Akagi, H. A New Neutral-Point-Clamped PWM Inverter. IEEE Trans. Ind. Appl. 1981, IA-17, 518–523. [Google Scholar] [CrossRef]
- Rodriguez, J.; Franquelo, L.G.; Kouro, S.; Leon, J.I.; Portillo, R.C.; Prats, M.A.M.; Perez, M.A. Multilevel Converters: An Enabling Technology for High-Power Applications. Proc. IEEE 2009, 97, 1786–1817. [Google Scholar] [CrossRef]
- Zhang, G.; Shao, Z.; Chen, L. Deadbeat Control Strategy of Shunt Active Power Filter Based on Repetitive Predictor Theory. Trans. Chin. Soc. Agric. Eng. 2012, 28, 172–178. [Google Scholar]
- Fliess, M.; Lévine, J.; Martin, P.; Rouchon, P. Flatness and Defect of Non-Linear Systems: Introductory Theory and Examples. Int. J. Control 1995, 61, 1327–1361. [Google Scholar] [CrossRef]
- Astrom, K.J. PID Controllers: Theory, Design, and Tuning; The International Society of Measurement and Control: London, UK, 1995. [Google Scholar]
- Uicich, S.; Gauthier, J.-Y.; Allard, B.; Lin-Shi, X. Flatness-Based Control for Transient Current Suppression in a Dual Active Bridge Converter. In Proceedings of the 2024 IEEE International Conference on Industrial Technology (ICIT), Bristol, UK, 25–27 March 2024; IEEE: New York, NY, USA, 2024; pp. 1–6. [Google Scholar]
- Osmanović, A.; Mašić, Š.; Velagić, J. Decoupled Power Control of SEIG-WECS System Using Nonlinear Flatness-Based Controller. In Proceedings of the 2019 IEEE International Electric Machines & Drives Conference (IEMDC), San Diego, CA, USA, 12–15 May 2019; IEEE: New York, NY, USA, 2019; pp. 377–383. [Google Scholar]
- Nandhini, E.; Sivaprakasam, A. A Review of Various Control Strategies Based on Space Vector Pulse Width Modulation for the Voltage Source Inverter. IETE J. Res. 2022, 68, 3187–3201. [Google Scholar] [CrossRef]
- Subbulakshmy, R.; Palanisamy, R. SVPWM Control Strategy for Novel Interleaved High Gain DC Converter Fed 3-Level NPC Inverter for Renewable Energy Applications. ISA Trans. 2023, 140, 426–437. [Google Scholar] [CrossRef]
- Zouari, W.; El Badsi, I.N.; El Badsi, B.; Masmoudi, A. Three-Level NPC Inverter-Fed IM Drives under PTC, Minimizing the Involved Voltage Vectors and Balancing the DC Bus Capacitor Voltages. Sustainability 2022, 14, 13522. [Google Scholar] [CrossRef]
- Ramasamy, P.; Krishnasamy, V. SVPWM Control Strategy for a Three Phase Five Level Dual Inverter Fed Open-End Winding Induction Motor. ISA Trans. 2020, 102, 105–116. [Google Scholar] [CrossRef] [PubMed]
- Das, R.M.; Nandakumar, S.; SivaPrakash, K.; Bharatiraja, C. An Improved Random SVPWM for Zero Voltage Switching Three Phase Inverter. Mater. Today Proc. 2022, 65, 285–292. [Google Scholar]
- Yousef, A.Y. Space Vector Pulse Width Modulation Technique. Int. J. Emerg. Technol. Comput. Sci. Electron. 2015, 15, 159–165. [Google Scholar]
- Le, H.-P.N.; Pham, K.D.; Nguyen, N. Analyses, Modeling, and SVPWM Control of a Three-Level T-NPC Inverter to Reduce Common-Mode Voltage Under Open-Circuit Fault in a Neutral-Point Switch. IEEE Access 2024, 12, 104708–104727. [Google Scholar] [CrossRef]
- Shruthi, M.; Ezhilarasan, G.; SM, C.S. Advanced SVPWM Technique for Multilevel Inverter Systems. Eng. Technol. Appl. Sci. Res. 2025, 15, 23923–23929. [Google Scholar] [CrossRef]
- Palanisamy, R. Mitigation of Capacitor Voltage Unbalance and Common Mode Voltage for 3-Phase 5-Level NPC Inverter Using Hexagonal SVPWM. e-Prime-Adv. Electr. Eng. Electron. Energy 2024, 9, 100639. [Google Scholar] [CrossRef]
- Zhao, M.; Ge, Q.; Zhu, J.; Wang, K.; Zhang, B.; Zhao, L. Improved Synchronized SVPWM Strategy for High-Power Three-Level Active Neutral Point Clamped Traction Inverter. IEEE Trans. Power Electron. 2024, 40, 3189–3209. [Google Scholar] [CrossRef]
- Afonso, J.L.; Freitas, M.S.; Martins, J.S. Pq Theory Power Components Calculations. In Proceedings of the 2003 IEEE International Symposium on Industrial Electronics (Cat. No. 03TH8692), Rio de Janeiro, Brazil, 9–11 June 2003; IEEE: New York, NY, USA, 2003; Volume 1, pp. 385–390. [Google Scholar]
- Czarnecki, L.S. Instantaneous Reactive Power Pq Theory and Power Properties of Three-Phase Systems. IEEE Trans. Power Deliv. 2005, 21, 362–367. [Google Scholar] [CrossRef]
- Shahin, A.; Abulanwar, S.; Ghanem, A.; Rizk, M.E.; Deng, F.; Pierfederici, S.; Ismael, I. Sensorless Robust Flatness-Based Control with Nonlinear Observer for Non-Ideal Parallel DC–AC Inverters. IEEE Access 2022, 10, 53940–53953. [Google Scholar] [CrossRef]
- Aourir, M.; Abouloifa, A.; Aouadi, C.; Hamdoun, A.; Lachkar, I. Flatness based control of single phase multicellular shunt active power filter for power quality improvement. In Proceedings of the 2018 Renewable Energies, Power Systems & Green Inclusive Economy (REPS-GIE), Casablanca, Morocco, 23–24 April 2018; IEEE: New York, NY, USA, 2018; pp. 1–6. [Google Scholar]
- Li, Z.-Y.; Liu, Y.; Zhou, B. Differential Flatness of Single-Input Commensurate Delay Systems with Applications to Trajectory Planning, Tracking, and Transformation to Fully Actuated Systems. IEEE Trans. Circuits Syst. I Regul. Pap. 2024, 71, 3799–3809. [Google Scholar] [CrossRef]
- Hekss, Z.; Abouloifa, A.; Echalih, S.; Lachkar, I.; El Aroudi, A.; Giri, F. Flatness Based Control of Single-Phase Grid Connected Photovoltaic System Associated with a Shunt Active Power Filter. IFAC-PapersOnLine 2022, 55, 43–48. [Google Scholar] [CrossRef]
- Ma, S.F.; Zhao, A.; Sun, J.-Q. Identification of Linear Flat Outputs Using Neural Networks—Examples of Two-Degree-of-Freedom Underactuated Mechanical Systems. Mech. Syst. Signal Process. 2024, 216, 111471. [Google Scholar] [CrossRef]
- Kula, K.S. Tuning a PI/PID Controller with Direct Synthesis to Obtain a Non-Oscillatory Response of Time-Delayed Systems. Appl. Sci. 2024, 14, 5468. [Google Scholar] [CrossRef]
- Monroy-Morales, J.L.; Campos-Gaona, D.; Hernández-Ángeles, M.; Peña-Alzola, R.; Guardado-Zavala, J.L. An Active Power Filter Based on a Three-Level Inverter and 3D-SVPWM for Selective Harmonic and Reactive Compensation. Energies 2017, 10, 297. [Google Scholar] [CrossRef]
- Gao, H.; Zhang, W.; Ren, M.; Liu, X. Three-Level Active Power Filter Based on Model Predictive Control. Electronics 2022, 11, 1291. [Google Scholar] [CrossRef]
- Chennai, S.; Benchouia, M.T. Three-Phase Three-Level (NPC) Shunt Active Power Filter Performances Based on PWM and ANN’s Controllers for Harmonic Current Compensation. Int. J. Electr. Eng. Inform. 2014, 6, 213–234. [Google Scholar]
- Barua, A.; Salehin, S.; Alam, S.U.; Rashid, M.A.; Bhowmik, S.; Paul, S.; Chowdhury, P.; Rahman, M.S. Reduction of Total Harmonic Distortion (THD) in Source Current Using a Shunt Active Power Filter with P-Q Theory and PI Controller. In Proceedings of the 2024 International Conference on Innovations in Science, Engineering and Technology (ICISET), Chittagong, Bangladesh, 26–27 October 2024; pp. 1–6. [Google Scholar]


































| 1 | 1 | 0 | 0 | 1 | |
| 0 | 1 | 1 | 0 | 0 | 0 |
| 0 | 0 | 1 | 1 | −1 |
| Parameters | Values |
|---|---|
| RMS value of the grid voltage and frequency | 220 V, 50 Hz |
| Reference DC voltage | 800 V |
| Impedance at the input of the polluting load | 0.1 mH |
| Filter impedance | |
| Diode bridge | |
| Capacitors |
| Parameters | Values |
|---|---|
| Inner loop | |
| Outer loop | 100 π rad/s |
| Flatness Control | PI Controller | Predictive Control | Artificial Neural Networks Controller | |
|---|---|---|---|---|
| THD | 3.47% | 4.2% | 4.51% | 4.32% |
| Settling time for | 0.15 s | Not provided | Not provided | 0.2 s |
Disclaimer/Publisher’s Note: The statements, opinions and data contained in all publications are solely those of the individual author(s) and contributor(s) and not of MDPI and/or the editor(s). MDPI and/or the editor(s) disclaim responsibility for any injury to people or property resulting from any ideas, methods, instructions or products referred to in the content. |
© 2026 by the authors. Licensee MDPI, Basel, Switzerland. This article is an open access article distributed under the terms and conditions of the Creative Commons Attribution (CC BY) license.
Share and Cite
Mikram, O.; Abouloifa, A.; Lachkar, I.; Aouadi, C.; Wang, J. Design and Performance Evaluation of a Flatness-Based Controller for a Three-Phase Three-Level NPC Shunt Active Power Filter. Designs 2026, 10, 16. https://doi.org/10.3390/designs10010016
Mikram O, Abouloifa A, Lachkar I, Aouadi C, Wang J. Design and Performance Evaluation of a Flatness-Based Controller for a Three-Phase Three-Level NPC Shunt Active Power Filter. Designs. 2026; 10(1):16. https://doi.org/10.3390/designs10010016
Chicago/Turabian StyleMikram, Oumaima, Abdelmajid Abouloifa, Ibtissam Lachkar, Chaouqi Aouadi, and Juan Wang. 2026. "Design and Performance Evaluation of a Flatness-Based Controller for a Three-Phase Three-Level NPC Shunt Active Power Filter" Designs 10, no. 1: 16. https://doi.org/10.3390/designs10010016
APA StyleMikram, O., Abouloifa, A., Lachkar, I., Aouadi, C., & Wang, J. (2026). Design and Performance Evaluation of a Flatness-Based Controller for a Three-Phase Three-Level NPC Shunt Active Power Filter. Designs, 10(1), 16. https://doi.org/10.3390/designs10010016

