Sourdough Yeast Strains Exhibit Thermal Tolerance, High Fermentative Performance, and a Distinctive Aromatic Profile in Beer Wort
Abstract
1. Introduction
2. Materials and Methods
2.1. Strains, Media and Culture Conditions
2.2. Yeast Viability
2.3. Stress Experiments
2.4. Growth Kinetics
2.5. Small Lab-Scale Fermentations
2.6. Metabolite Target Analysis
2.7. Volatile Organic Compounds Analysis
2.8. Statistical Analysis
3. Results and Discussion
3.1. Stress Tolerance
3.2. Growth Parameters
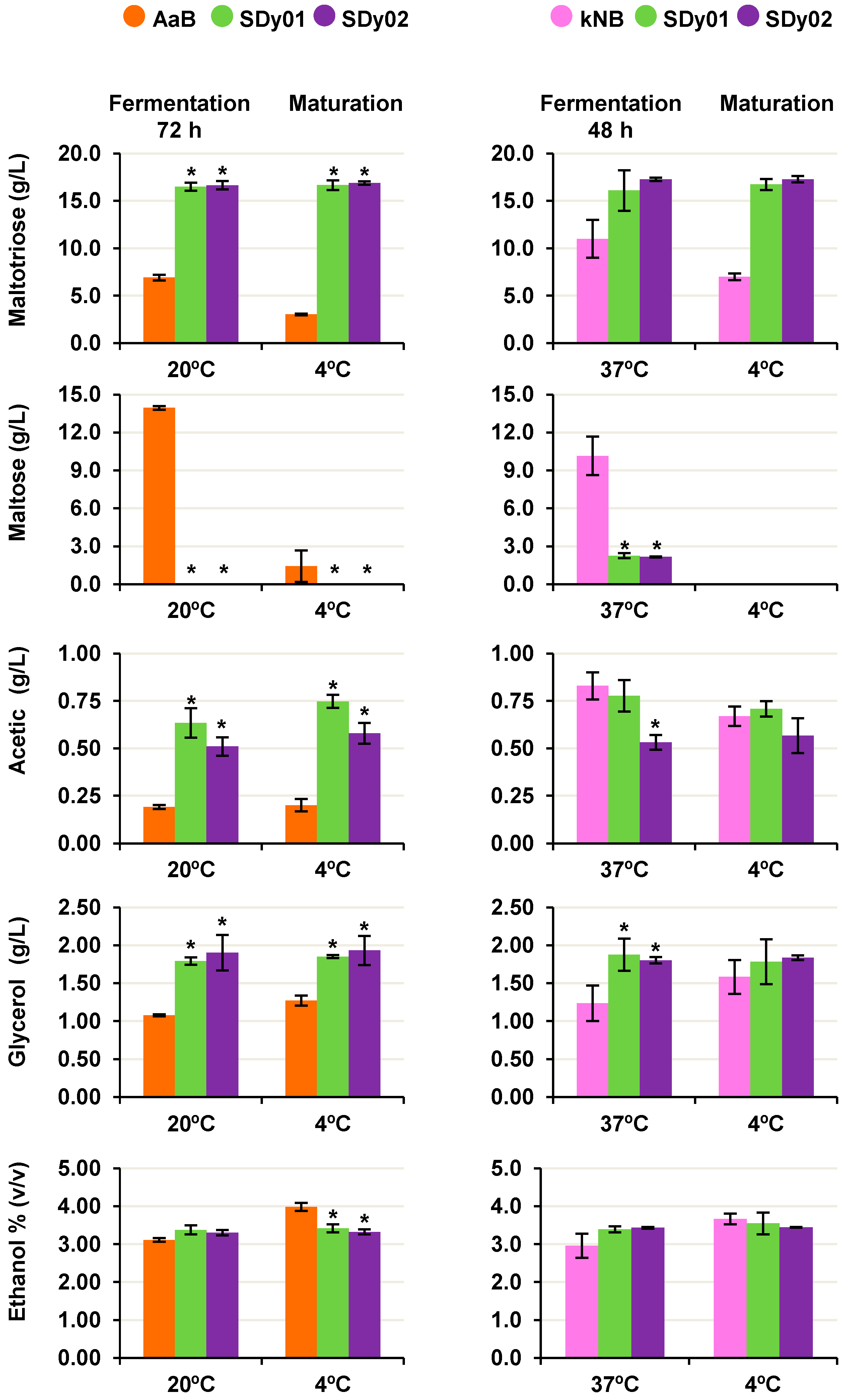
3.3. Fermentative Activity
3.4. Biochemical Profile
3.5. VOCs
4. Conclusions
Supplementary Materials
Author Contributions
Funding
Institutional Review Board Statement
Informed Consent Statement
Data Availability Statement
Acknowledgments
Conflicts of Interest
References
- Sánchez-Adriá, I.E.; Sanmartín, G.; Prieto, J.A.; Estruch, F.; Fortis, E.; Randez-Gil, F. Technological and acid stress performance of yeast isolates from industrial sourdough. LWT-Food Sci. Technol. 2023, 184, 114957. [Google Scholar] [CrossRef]
- Comasio, A.; Verce, M.; Van Kerrebroeck, S.; De Vuyst, L. Diverse Microbial Composition of Sourdoughs from Different Origins. Front. Microbiol. 2020, 11, 1212. [Google Scholar] [CrossRef] [PubMed]
- De Vuyst, L.; Comasio, A.; Kerrebroeck, S.V. Sourdough production: Fermentation strategies, microbial ecology, and use of non-flour ingredients. Crit. Rev. Food Sci. Nutr. 2023, 63, 2447–2479. [Google Scholar] [CrossRef] [PubMed]
- Landis, E.A.; Oliverio, A.M.; McKenney, E.A.; Nichols, L.M.; Kfoury, N.; Biango-Daniels, M.; Shell, L.K.; Madden, A.A.; Shapiro, L.; Sakunala, S.; et al. The diversity and function of sourdough starter microbiomes. eLife 2021, 10, e61644. [Google Scholar] [CrossRef] [PubMed]
- Legras, J.L.; Merdinoglu, D.; Cornuet, J.M.; Karst, F. Bread, beer and wine: Saccharomyces cerevisiae diversity reflects human history. Mol. Ecol. 2021, 16, 2091–2102. [Google Scholar] [CrossRef] [PubMed]
- Gonçalves, M.; Pontes, A.; Almeida, P.; Barbosa, R.; Serra, M.; Libkind, D.; Hutzler, M.; Gonçalves, P.; Sampaio, J.P. Distinct Domestication Trajectories in Top-Fermenting Beer Yeasts and Wine Yeasts. Curr. Biol. 2016, 26, 2750–2761. [Google Scholar] [CrossRef] [PubMed]
- Marongiu, A.; Zara, G.; Legras, J.L.; Del Caro, A.; Mascia, I.; Fadda, C.; Budroni, M. Novel starters for old processes: Use of Saccharomyces cerevisiae strains isolated from artisanal sourdough for craft beer production at a brewery scale. J. Ind. Microbiol. Biotechnol. 2015, 42, 85–92. [Google Scholar] [CrossRef] [PubMed]
- Gallone, B.; Steensels, J.; Prahl, T.; Soriaga, L.; Saels, V.; Herrera-Malaver, B.; Merlevede, A.; Roncoroni, M.; Voordeckers, K.; Miraglia, L.; et al. Domestication and Divergence of Saccharomyces cerevisiae Beer Yeasts. Cell 2016, 166, 1397–1410.e16. [Google Scholar] [CrossRef] [PubMed]
- Bigey, F.; Segond, D.; Friedrich, A.; Guezenec, S.; Bourgais, A.; Huyghe, L.; Agier, N.; Nidelet, T.; Sicard, D. Evidence for Two Main Domestication Trajectories in Saccharomyces cerevisiae Linked to Distinct Bread-Making Processes. Curr. Biol. 2021, 31, 722–732.e5. [Google Scholar] [CrossRef]
- Camarasa, C.; Sanchez, I.; Brial, P.; Bigey, F.; Dequin, S. Phenotypic landscape of Saccharomyces cerevisiae during wine fermentation: Evidence for origin-dependent metabolic traits. PLoS ONE 2011, 6, e25147. [Google Scholar] [CrossRef]
- Randez-Gil, F.; Córcoles-Sáez, I.; Prieto, J.A. Genetic and phenotypic characteristics of baker’s yeast: Relevance to baking. Annu. Rev. Food Sci. Technol. 2013, 4, 191–214. [Google Scholar] [CrossRef] [PubMed]
- Dank, A.; van Mastrigt, O.; Yang, Z.; Dinesh, V.M.; Lillevang, S.K.; Weij, C.; Smid, E.J. The cross-over fermentation concept and its application in a novel food product: The dairy miso case study. LWT-Food Sci. Technol. 2021, 142, 111041. [Google Scholar] [CrossRef]
- Siesto, G.; Pietrafesa, R.; Tufariello, M.; Gerardi, C.; Grieco, F.; Capece, A. Application of microbial cross-over for the production of Italian grape ale (IGA), a fruit beer obtained by grape must addition. Food Biosci. 2023, 52, 102487. [Google Scholar] [CrossRef]
- Mascia, I.; Fadda, C.; Dostálek, P.; Karabín, M.; Zara, G.; Budroni, M.; Del Caro, A. Is it possible to create an innovative craft durum wheat beer with sourdough yeasts? A case study. J. Inst. Brew. 2015, 121, 283–286. [Google Scholar] [CrossRef]
- Mascia, I.; Fadda, C.; Karabin, M.; Dostalek, P.; Del Caro, A. Aging of craft durum wheat beer fermented with sourdough yeasts. LWT-Food Sci. Technol. 2016, 65, 487–494. [Google Scholar] [CrossRef]
- Rossi, S.; Turchetti, B.; Sileoni, V.; Marconi, O.; Perretti, G. Evaluation of Saccharomyces cerevisiae strains isolated from non-brewing environments in beer production. J. Inst. Brew. 2018, 124, 381–388. [Google Scholar] [CrossRef]
- Cubillos, F.A.; Gibson, B.; Grijalva-Vallejos, N.; Krogerus, K.; Nikulin, J. Bioprospecting for brewers: Exploiting natural diversity for naturally diverse beers. Yeast 2019, 36, 383–398. [Google Scholar] [CrossRef] [PubMed]
- Loponen, J.; Sibakov, J. Sourdough and cereal beverages. In Handbook on Sourdough Biotechnology; Gobbetti, M., Gänzle, M., Eds.; Springer: New York, NY, USA, 2013; Available online: https://link.springer.com/chapter/10.1007/978-1-4614-5425-0_11 (accessed on 13 December 2023).
- Ekberg, J.; Gibson, B.; Joensuu, J.; Krogerus, K.; Magalhães, F.; Mikkelson, A.; Seppänen-Laakso, T.; Wilpola, A. Physicochemical characterization of sahti, an ‘ancient’ beer style indigenous to Finland. J. Inst. Brew. 2015, 121, 464–473. [Google Scholar] [CrossRef]
- Catallo, M.; Nikulin, J.; Johansson, L.; Krogerus, K.; Laitinen, M.; Magalhães, F.; Piironen, M.; Mikkelson, A.; Randazzo, C.L.; Solieri, L.; et al. Sourdough derived strains of Saccharomyces cerevisiae and their potential for farmhouse ale brewing. J. Inst. Brew. 2020, 126, 168–175. [Google Scholar] [CrossRef]
- Johansson, L.; Nikulin, J.; Juvonen, R.; Krogerus, K.; Magalhães, F.; Mikkelson, A.; Nuppunen-Puputti, M.; Sohlberg, E.; de Francesco, G.; Perretti, G.; et al. Sourdough cultures as reservoirs of maltose-negative yeasts for low-alcohol beer brewing. Food Microbiol. 2021, 94, 103629. [Google Scholar] [CrossRef]
- Galli, V.; Venturi, M.; Guerrini, S.; Mangani, S.; Barbato, D.; Vallesi, G.; Granchi, L. Exploitation of Selected Sourdough Saccharomyces cerevisiae Strains for the Production of a Craft Raspberry Fruit Beer. Foods 2023, 12, 3354. [Google Scholar] [CrossRef] [PubMed]
- Capece, A.; Romaniello, R.; Pietrafesa, A.; Siesto, G.; Pietrafesa, R.; Zambuto, M.; Romano, P. Use of Saccharomyces cerevisiae var. boulardii in co-fermentations with S. cerevisiae for the production of craft beers with potential healthy value added. Int. J. Food Microbiol. 2018, 284, 22–30. [Google Scholar] [CrossRef] [PubMed]
- Capece, A.; De Fusco, D.; Pietrafesa, R.; Siesto, G.; Romano, P. Performance of wild non-conventional yeasts in fermentation of wort based on different malt extracts to select novel starters for low-alcohol beers. Appl. Sci. 2021, 11, 801. [Google Scholar] [CrossRef]
- Canonico, L.; Zannini, E.; Ciani, M.; Comitini, F. Assessment of non-conventional yeasts with potential probiotic for protein-fortified craft beer production. LWT-Food Sci. Technol. 2021, 145, 111361. [Google Scholar] [CrossRef]
- Pietrafesa, R.; Siesto, G.; Tufariello, M.; Palombi, L.; Baiano, A.; Gerardi, C.; Braghieri, A.; Genovese, F.; Grieco, F.; Capece, A. A multivariate approach to explore the volatolomic and sensory profiles of craft Italian Grape Ale beers produced with novel Saccharomyces cerevisiae strains. Front. Microbiol. 2023, 14, 1234884. [Google Scholar] [CrossRef] [PubMed]
- Pires, E.J.; Teixeira, J.A.; Brányik, T.; Vicente, A.A. Yeast: The soul of beer’s aroma—A review of flavour-active esters and higher alcohols produced by the brewing yeast. Appl. Microbiol. Biotechnol. 2014, 98, 1937–1949. [Google Scholar] [CrossRef] [PubMed]
- Garshol, L.M. Pitch temperatures in traditional farmhouse brewing. J. Am. Soc. Brew. Chem. 2021, 79, 181–186. [Google Scholar] [CrossRef]
- Kits, D.; Garshol, L.M. Norwegian Kveik brewing yeasts are adapted to higher temperatures and produce fewer off-flavours under heat stress than commercial Saccharomyces cerevisiae American Ale yeast. bioRxiv 2021. bioRxiv:2021.06.15.448505. [Google Scholar] [CrossRef]
- Foster, B.; Tyrawa, C.; Ozsahin, E.; Lubberts, M.; Krogerus, K.; Preiss, R.; van der Merwe, G. Kveik Brewing Yeasts Demonstrate Wide Flexibility in Beer Fermentation Temperature Tolerance and Exhibit Enhanced Trehalose Accumulation. Front. Microbiol. 2022, 13, 747546. [Google Scholar] [CrossRef]
- Lengeler, K.B.; Stovicek, V.; Fennessy, R.T.; Katz, M.; Förster, J. Never Change a Brewing Yeast? Why Not, There Are Plenty to Choose from. Front. Genet. 2020, 11, 582789. [Google Scholar] [CrossRef]
- Gibson, B.; Geertman, J.A.; Hittinger, C.T.; Krogerus, K.; Libkind, D.; Louis, E.J.; Magalhães, F.; Sampaio, J.P. New yeasts-new brews: Modern approaches to brewing yeast design and development. FEMS Yeast Res. 2017, 17, fox038. [Google Scholar] [CrossRef]
- Hittinger, C.T.; Steele, J.L.; Ryder, D.S. Diverse yeasts for diverse fermented beverages and foods. Curr. Opin. Biotechnol. 2018, 49, 199–206. [Google Scholar] [CrossRef]
- Guthrie, C.; Fink, G.R. Guide to Yeast Genetics and Molecular Biology; Methods in Enzymology; Academic Press: San Diego, CA, USA, 1990; Volume 194, pp. 1–863. [Google Scholar]
- Thesseling, F.A.; Bircham, P.W.; Mertens, S.; Voordeckers, K.; Verstrepen, K.J. A Hands-on Guide to Brewing and Analyzing Beer in the Laboratory. Curr. Protoc. Microbiol. 2022, 54, e91. [Google Scholar] [CrossRef] [PubMed]
- Warringer, J.; Blomberg, A. Automated screening in environmental arrays allows analysis of quantitative phenotypic profiles in Saccharomyces cerevisiae. Yeast 2003, 20, 53–67. [Google Scholar] [CrossRef]
- Wang, X.; Zhao, R.; Yuan, W. Type I sourdough steamed bread made by retarded sponge-dough method. Food Chem. 2020, 311, 126029. [Google Scholar] [CrossRef]
- Xia, J.; Psychogios, N.; Young, N.; Wishart, D.S. MetaboAnalyst: A web server for metabolomic data analysis and interpretation. Nucleic Acids Res. 2009, 37, W652–W660. [Google Scholar] [CrossRef]
- Dysvik, A.; La Rosa, S.L.; De Rouck, G.; Rukke, E.O.; Westereng, B.; Wicklund, T. Microbial Dynamics in Traditional and Modern Sour Beer Production. Appl. Environ. Microbiol. 2020, 86, e00566-20. [Google Scholar] [CrossRef] [PubMed]
- Simpson, W.J.; Smith, A.R.W. Factors Affecting Antibacterial Activity of Hop Compounds and Their Derivatives. J. Appl. Bacteriol. 1992, 72, 327–334. [Google Scholar] [CrossRef] [PubMed]
- Sánchez-Adriá, I.E.; Sanmartín, G.; Prieto, J.A.; Estruch, F.; Fortis, E.; Randez-Gil, F. Adaptive laboratory evolution for acetic acid-tolerance matches sourdough challenges with yeast phenotypes. Microbiol. Res. 2023, 277, 127487. [Google Scholar] [CrossRef]
- Gancedo, J.M. Yeast carbon catabolite repression. Microbiol. Mol. Biol. Rev. 1998, 62, 334–361. [Google Scholar] [CrossRef]
- Magalhães, F.; Vidgren, V.; Ruohonen, L.; Gibson, B. Maltose and maltotriose utilisation by group I strains of the hybrid lager yeast Saccharomyces pastorianus. FEMS Yeast Res. 2016, 16, fow053. [Google Scholar] [CrossRef]
- Gallone, B.; Mertens, S.; Gordon, J.L.; Maere, S.; Verstrepen, K.J.; Steensels, J. Origins, evolution, domestication and diversity of Saccharomyces beer yeasts. Curr. Opin. Biotechnol. 2018, 49, 148–155. [Google Scholar] [CrossRef]
- Nikulin, J.; Eerikäinen, R.; Hutzler, M.; Gibson, B. Brewing Characteristics of the Maltotriose-Positive Yeast Zygotorulaspora florentina Isolated from Oak. Beverages 2020, 6, 58. [Google Scholar] [CrossRef]
- Hutzler, M.; Michel, M.; Kunz, O.; Kuusisto, T.; Magalhães, F.; Krogerus, K.; Gibson, B. Unique Brewing-Relevant Properties of a Strain of Saccharomyces jurei Isolated from Ash (Fraxinus excelsior). Front. Microbiol. 2021, 12, 645271. [Google Scholar] [CrossRef]
- Research and Markets. Non-Alcoholic Beer Global Market Report. 2024. Available online: https://www.researchandmarkets.com/reports/5744216/non-alcoholic-beer-global-market-report (accessed on 22 February 2024).
- Dillon, C.; Sanderson, B. Low and No Alcohol Experimental Brewing Series. 2021. Available online: https://ultralowbrewing.com/low-and-no-alcohol-experimental-brewing-series (accessed on 12 February 2024).
- Brányik, T.; Vicente, A.A.; Dostálek, P.; Teixeira, J.A. A Review of Flavour Formation in Continuous Beer Fermentations. J. Inst. Brew. 2008, 114, 3–13. [Google Scholar] [CrossRef]
- Olaniran, A.O.; Hiralal, L.; Mokoena, M.P.; Pillay, B. Flavour-active volatile compounds in beer: Production, regulation and control. J. Inst. Brew. 2017, 123, 13–23. [Google Scholar] [CrossRef]
- Vera, L.; Aceña, L.; Guasch, J.; Boqué, R.; Mestres, M.; Busto, O. Characterization and classification of the aroma of beer samples by means of an MS e-nose and chemometric tools. Anal. Bioanal. Chem. 2011, 399, 2073–2081. [Google Scholar] [CrossRef]
- He, Y.; Dong, J.; Yin, H.; Zhao, Y.; Chen, R.; Wan, X.; Chen, P.; Hou, X.; Liu, J.; Chen, L. Wort composition and its impact on the flavour-active higher alcohol and ester formation of beer—A review. J. Inst. Brew. 2014, 120, 157–163. [Google Scholar] [CrossRef]
- Larroque, M.N.; Carrau, F.; Fariña, L.; Boido, E.; Dellacassa, E.; Medina, K. Effect of Saccharomyces and non-Saccharomyces native yeasts on beer aroma compounds. Int. J. Food Microbiol. 2021, 337, 108953. [Google Scholar] [CrossRef]
- Saerens, S.M.; Delvaux, F.; Verstrepen, K.J.; Van Dijck, P.; Thevelein, J.M.; Delvaux, F.R. Parameters affecting ethyl ester production by Saccharomyces cerevisiae during fermentation. Appl. Environ. Microbiol. 2008, 74, 454–461. [Google Scholar] [CrossRef]
- Saerens, S.M.G.; Delvaux, F.R.; Verstrepen, K.J.; Thevelein, J.M. Production and Biological Function of Volatile Esters in Saccharomyces cerevisiae. Microb. Biotechnol. 2010, 3, 165–177. [Google Scholar] [CrossRef]
- Thurston, P.A.; Tubb, R.S. Screening yeast strains for their ability to produce phenolic-off-flavours: A simple method for determining phenols in wort and beer. J. Inst. Brew. 1981, 87, 177–179. [Google Scholar] [CrossRef]
- Gramatica, P.; Ranzi, B.M.; Manitto, P. Decarboxylation of cinnamic acids by Saccharomyces cerevisiae. Bioorg. Chem. 1981, 10, 14–21. [Google Scholar] [CrossRef]
- McMurrough, I.; Madigan, D.; Donnelly, D.; Hurley, J.; Doyle, A.M.; Hennigan, G.; McNulty, N. Control of ferulic acid and 4-vinylguaiacol in brewing. J. Inst. Brew. 1996, 102, 327–332. [Google Scholar] [CrossRef]
- Schwarz, K.J.; Boitz, L.I.; Methner, F.J. Enzymatic formation of styrene during wheat beer fermentation is dependent on pitching rate and cinnamic acid content. J. Inst. Brew. 2012, 118, 280–284. [Google Scholar] [CrossRef]
- Vanbeneden, N.; Gils, F.; Delvaux, F.; Delvaux, F.R. Formation of 4-vinyl and 4-ethyl derivatives from hydroxycinnamic acids: Occurrence of volatile phenolic flavour compounds in beer and distribution of Pad1-activity among brewing yeasts. Food Chem. 2008, 107, 221–230. [Google Scholar] [CrossRef]
- Webersinke, F.; Klein, H.; Flieher, M.; Urban, A.; Jäger, H.; Forster, C. Control of Fermentation By-Products and Aroma Features of Beer Produced with Scottish Ale Yeast by Variation of Fermentation Temperature and Wort Aeration Rate. J. Am. Soc. Brew. Chemists. 2018, 76, 147–155. [Google Scholar] [CrossRef]
- Lasanta, C.; Durán-Guerrero, E.; Díaz, A.B.; Castro, R. Influence of fermentation temperature and yeast type on the chemical and sensory profile of handcrafted beers. J. Sci. Food Agric. 2021, 101, 1174–1181. [Google Scholar] [CrossRef] [PubMed]
- Castro, R.; Díaz, A.B.; Durán-Guerrero, E.; Lasanta, C. Influence of different fermentation conditions on the analytical and sensory properties of craft beers: Hopping, fermentation temperature and yeast strain. J. Food Compos. Anal. 2022, 106, 278. [Google Scholar] [CrossRef]
- Aasen, N.M. Growth, Metabolism and Beer Brewing with Kveik. Master’s Thesis, Norwegian University of Life Sciences, Ås, Norway, 2020. Available online: https://hdl.handle.net/11250/2681970 (accessed on 22 February 2024).
- Clausen, M.; Lamb, C.J.; Megnet, R.; Doerner, P.W. PAD1 encodes phenylacrylic acid decarboxylase which confers resistance to cinnamic acid in Saccharomyces cerevisiae. Gene 1994, 142, 107–112. [Google Scholar] [CrossRef]




| Temperature | ||||||
|---|---|---|---|---|---|---|
| 20 °C | 37 °C | |||||
| Parameter 1 | AaB | SDy01 | SDy02 | kNB | SDy01 | SDy02 |
| λ (h) | 5.93 ± 0.57 a | 2.86 ± 1.20 b | 1.04 ± 0.81 b | 3.65 ± 0.51 a | 2.63 ± 0.09 b | 2.31 ± 0.19 b |
| μmax (h−1) | 0.068 ± 0.004 a | 0.082 ± 0.004 b | 0.080 ± 0.005 b | 0.261 ± 0.019 a | 0.262 ± 0.013 a | 0.266 ± 0.014 a |
| g (h) | 4.56 ± 0.34 a | 3.70 ± 0.20 b | 3.79 ± 0.24 b | 1.18 ± 0.08 a | 1.16 ± 0.06 a | 1.14 ± 0.06 a |
| ODmax | 4.89 ± 0.10 a | 5.38 ± 0.16 b | 5.47 ± 0.20 b | 4.44 ± 0.54 a | 5.09 ± 0.24 a | 5.94 ± 0.50 b |
| Temperature | ||||||
|---|---|---|---|---|---|---|
| 20 °C | 37 °C | |||||
| Compound (mg/L) | AaB | SDy01 | SDy02 | kNB | SDy01 | SDy02 |
| Ethyl acetate | 4.9 ± 0.2 a | 11.1 ± 1.3 b | 4.9 ± 0.6 a | 10.0 ± 1.5 a | 6.2 ± 1.4 b# | 6.52 ± 1.08 b |
| 3-Methylbutyl acetate | 14.9 ± 0.3 a | 52 ± 6 b | 38 ± 2 c | 12.9 ± 1.7 a | 15 ± 2 a# | 15 ± 3 a# |
| 2-Methylbutyl acetate | 1.57 ± 0.12 a | 8.3 ± 1.6 b | 8.6 ± 0.6 b | 1.9 ± 0.4 a | 3.1 ± 0.4 ab# | 4.34 ± 0.97 b# |
| 2-Phenylethyl acetate | 7.2 ± 1.7 a | 47 ± 7 b | 43 ± 8 b | 7 ± 2 a | 13 ± 3 b# | 16.7 ± 1.8 b# |
| Octyl acetate | 0 ± 0 a | 1.0 ± 0.3 b | 0.27 ± 0.03 a | 0 ± 0 a | 0 ± 0 a# | 0 ± 0 a# |
| TOTAL acetate esters | 28.6 ± 1.9 a | 119 ± 4 b | 94 ± 8 c | 32 ± 4 a | 36.9 ± 1.7 a# | 43 ± 7 a# |
| Ethyl butanoate | 0.33 ± 0.04 a | 0 ± 0 b | 0 ± 0 b | 0 ± 0 a | 0 ± 0 a | 0 ± 0 a |
| Ethyl hexanoate | 31 ± 3 a | 37.8 ± 1.3 a | 33 ± 5 a | 15 ± 2 a | 4.36 ± 0.09 b# | 11 ± 3 a# |
| Ethyl octanoate | 27 ± 5 a | 60 ± 7 b | 64.3 ± 1.6 b | 24 ± 5 a | 9 ± 2 b# | 21 ± 4 a# |
| Ethyl 9-decenoate | 1.3 ± 0.2 a | 22 ± 2 b | 34.9 ± 1.9 c | 2.87 ± 1.13 a | 2.8 ± 0.8 a# | 8.9 ± 1.6 b# |
| Ethyl decanoate | 1.0 ± 0.4 a | 9.8 ± 1.7 b | 14 ± 3 b | 1.5 ± 0.9 a | 1.4 ± 0.4 a# | 16 ± 2 b |
| 2-Hydroxyethyl oleate | 0 ± 0 a | 0 ± 0 a | 0.55 ± 0.09 b | 0 ± 0 a | 0 ± 0 a | 0.14 ± 0.04 b# |
| Ethyl dodecanoate | 0 ± 0 a | 0.8 ± 0.2 a | 4.2 ± 0.7 b | 0 ± 0 a | 0 ± 0 a# | 7.2 ± 0.9 b# |
| TOTAL ethyl esters | 60 ± 8 a | 131 ± 9 b | 151 ± 3 c | 44 ± 9 a | 18 ± 4 b# | 64 ± 7 c# |
| 2-Methyl-1-propanol | 4.8 ± 0.2 a | 3.2 ± 0.5 b | 5.4 ± 0.8 a | 7.0 ± 0.8 a | 5.7 ± 0.9 a# | 7.2 ± 0.3 a# |
| 3-Methyl-1-butanol | 64.6 ± 1.4 a | 68.1 ± 1.2 a | 70 ± 12 a | 62 ± 6 a | 44.4 ± 1.7 b# | 57 ± 9 b |
| 2-Methyl-1-butanol | 21.4 ± 0.8 a | 26.7 ± 0.4 a | 35 ± 4 b | 27 ± 3 a | 23.6 ± 0.9 a# | 32.3 ± 0.3 a |
| 1-Heptanol | 1.3 ± 0.2 a | 0 ± 0 b | 1.8 ± 0.4 a | 0 ± 0 a | 0 ± 0 a | 0 ± 0 b# |
| 1-Octanol | 0 ± 0 a | 1.2 ± 0.3 b | 0.7 ± 0.3 b | 0 ± 0 a | 0 ± 0 a# | 0 ± 0 b# |
| Phenylethyl alcohol | 113.4 ± 12.3 a | 123 ± 18 ab | 164 ± 26 b | 93 ± 15 a | 76 ± 14 a# | 102 ± 7 a# |
| 2-Decen-1-ol | 0 ± 0 a | 0.33 ± 0.06 b | 0 ± 0 a | 0 ± 0 a | 0 ± 0 a# | 0 ± 0 a |
| TOTAL alcohols | 205 ± 11 a | 222 ± 19 ab | 277 ± 41 b | 189 ± 19 ab | 151 ± 15 b# | 198 ± 16 a# |
| Hexanoic acid | 0.89 ± 0.12 a | 1.03 ± 0.07 a | 0.6 ± 0.2 b | 0.5 ± 0.3 a | 0 ± 0 b# | 0 ± 0 b |
| Octanoic acid | 1.5 ± 0.3 a | 12.3 ± 0.5 b | 12.5 ± 0.9 b | 4.5 ± 1.6 a | 1.9 ± 0.3 b# | 6.0 ± 0.3 a# |
| 9-Decenoic acid | 0.148 ± 0.013 a | 3.0 ± 0.4 b | 5.6 ± 0.3 c | 0.3 ± 0.2 a | 0.37 ± 0.05 a# | 1.5 ± 0.2 b# |
| n-Decanoic acid | 0.23 ± 0.03 a | 2.11 ± 0.16 b | 5.1 ± 0.7 c | 0.7 ± 0.3 a | 0.7 ± 0.3 a# | 4.5 ± 0.5 b |
| TOTAL carboxyls | 2.8 ± 0.3 a | 18.42 ± 1.10 b | 23.7 ± 1.4 c | 6 ± 2 a | 2.9 ± 0.6 a# | 12.30 ± 1.03 b# |
| Nonanal | 0.39 ± 0.07 a | 0.51 ± 0.13 a | 0.43 ± 0.09 a | 0.478 ± 0.002 a | 0.51 ± 0.03 a | 0.81 ± 0.12 b# |
| Isopentyl-2,4,4-trimethyl-2- cyclohexen-1-one | 0.116 ± 0.006 a | 0.20 ± 0.02 b | 0.19 ± 0.03 b | 0.46 ± 0.07 a | 0 ± 0 b# | 0.7 ± 0.2 a# |
| 2,2,4-Trimethyl-1,3- pentanediol diisobutyrate | 0.41 ± 0.05 a | 0.287 ± 0.012 b | 1.52 ± 0.05 c | 0.7 ± 0.3 a | 0.27 ± 0.15 ab | 0 ± 0 b# |
| TOTAL carbonyls | 0.92 ± 0.11 a | 1.00 ± 0.11 a | 2.25 ± 0.15 b | 1.7 ± 0.4 a | 0.78 ± 0.17 b | 1.5 ± 0.3 ab# |
| Styrene | 0.117 ± 0.002 a | 0.40 ± 0.12 b | 0.48 ± 0.10 b | 1.151 ± 0.009 a | 0.59 ± 0.08 b | 0.26 ± 0.05 c# |
| p-Vinylguaiacol | 0.153 ± 0.006 a | 2.0 ± 0.6 b | 2.3 ± 0.3 b | 0.17 ± 0.05 a | 0.17 ± 0.03 a# | 0.33 ± 0.02 b# |
| Tetradecane | 0 ± 0 a | 0.6 ± 0.2 b | 0.80 ± 0.11 b | 0.9 ± 0.2 a | 0.84 ± 0.06 a# | 0.92 ± 0.12 a |
| (E)-β-Farnesene | 0.143 ± 0.013 a | 0.24 ± 0.06 a | 0.19 ± 0.02 a | 0.31 ± 0.08 a | 0.25 ± 0.03 a | 0.37 ± 0.03 a# |
| TOTAL others | 0.41 ± 0.02 a | 3.2 ± 0.7 b | 3.8 ± 0.2 b | 2.6 ± 0.2 a | 1.85 ± 0.16 b# | 1.9 ± 0.2 b# |
| TOTAL VOCs | 298 ± 20 a | 495 ± 31 b | 551 ± 51 b | 275 ± 34 ab | 211 ± 18 b# | 320 ± 31 a# |
Disclaimer/Publisher’s Note: The statements, opinions and data contained in all publications are solely those of the individual author(s) and contributor(s) and not of MDPI and/or the editor(s). MDPI and/or the editor(s) disclaim responsibility for any injury to people or property resulting from any ideas, methods, instructions or products referred to in the content. |
© 2024 by the authors. Licensee MDPI, Basel, Switzerland. This article is an open access article distributed under the terms and conditions of the Creative Commons Attribution (CC BY) license (https://creativecommons.org/licenses/by/4.0/).
Share and Cite
Sánchez-Adriá, I.E.; Sanmartín, G.; Prieto, J.A.; Estruch, F.; Randez-Gil, F. Sourdough Yeast Strains Exhibit Thermal Tolerance, High Fermentative Performance, and a Distinctive Aromatic Profile in Beer Wort. Foods 2024, 13, 1059. https://doi.org/10.3390/foods13071059
Sánchez-Adriá IE, Sanmartín G, Prieto JA, Estruch F, Randez-Gil F. Sourdough Yeast Strains Exhibit Thermal Tolerance, High Fermentative Performance, and a Distinctive Aromatic Profile in Beer Wort. Foods. 2024; 13(7):1059. https://doi.org/10.3390/foods13071059
Chicago/Turabian StyleSánchez-Adriá, Isabel E., Gemma Sanmartín, Jose A. Prieto, Francisco Estruch, and Francisca Randez-Gil. 2024. "Sourdough Yeast Strains Exhibit Thermal Tolerance, High Fermentative Performance, and a Distinctive Aromatic Profile in Beer Wort" Foods 13, no. 7: 1059. https://doi.org/10.3390/foods13071059
APA StyleSánchez-Adriá, I. E., Sanmartín, G., Prieto, J. A., Estruch, F., & Randez-Gil, F. (2024). Sourdough Yeast Strains Exhibit Thermal Tolerance, High Fermentative Performance, and a Distinctive Aromatic Profile in Beer Wort. Foods, 13(7), 1059. https://doi.org/10.3390/foods13071059

