Design of a Plant-Based Yogurt-Like Product Fortified with Hemp Flour: Formulation and Characterization
Abstract
1. Introduction
2. Materials and Methods
2.1. Flours and Microbial Strains
2.2. Biotechnological Protocol Optimization
2.3. Process Monitoring
2.4. Biochemical Characterization of Yogurt-Like Product
2.5. Nutritional Characterization of Yogurt-Like
2.6. Sensory Characterization of Yogurt-Like
2.7. Shelf-Life and Microbial Survival
2.8. Statistical Analysis
3. Results
3.1. Optimization of the Yogurt-Like Product
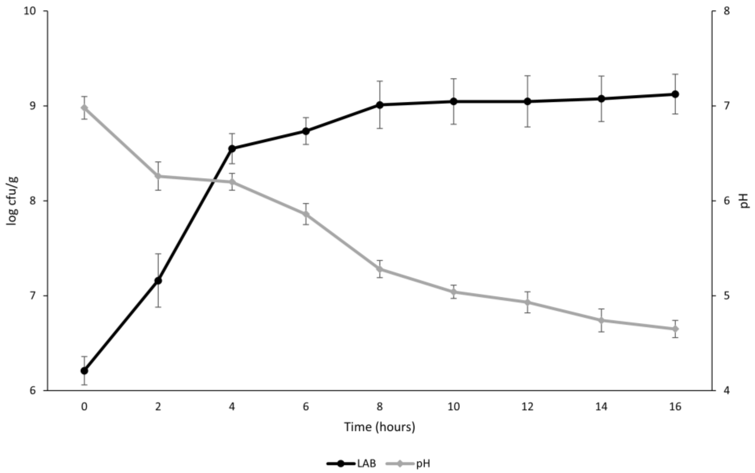
3.2. Kinetics of Growth and Acidification
3.3. Microbiological and Biochemical Characterization of the Yogurt-Like Product
3.4. Nutritional Characterization of the Yogurt-Like
3.5. Monitoring of the Microbial Survival and Main Yogurt-Like Characteristics under Storage Conditions
3.6. Sensorial Evaluation of the Yogurt-Like Product
4. Discussion
5. Conclusions
Supplementary Materials
Author Contributions
Funding
Data Availability Statement
Conflicts of Interest
References
- Alae-Carew, C.; Green, R.; Stewart, C.; Cook, B.; Dangour, A.D.; Scheelbeek, P.F. The role of plant-based alternative foods in sustainable and healthy food systems: Consumption trends in the UK. Sci. Total Environ. 2022, 807, 151041. [Google Scholar] [CrossRef]
- Transparency Market Research [TMR]. Global Industry Analysis, Size, Share, Growth, Trends, and Forecast, 2019–2029; TMR: Albany, NY, USA, 2019. [Google Scholar]
- Catanzaro, R.; Sciuto, M.; Marotta, F. Lactose intolerance: An update on its pathogenesis, diagnosis, and treatment. Nutr. Res. 2021, 89, 23–34. [Google Scholar] [CrossRef]
- Dupont, C.; Bocquet, A.; Tomé, D.; Bernard, M.; Campeotto, F.; Dumond, P.; Essex, A.; Frelut, M.-L.; Guenard-Bibault, L.; Lack, G.; et al. Hydrolyzed rice protein-based formulas, a vegetal alternative in cow’s milk allergy. Nutrients 2020, 12, 2654. [Google Scholar] [CrossRef] [PubMed]
- Aiking, H.; de Boer, J. The next protein transition. Trends Food Sci. Technol. 2020, 105, 515–522. [Google Scholar] [CrossRef]
- Loveday, S.M. Food proteins: Technological, nutritional, and sustainability attributes of traditional and emerging proteins. Annu. Rev. Food Sci. Technol. 2019, 10, 311–339. [Google Scholar] [CrossRef] [PubMed]
- Jeske, S.; Zannini, E.; Arendt, E.K. Past, present and future: The strength of plant-based dairy substitutes based on gluten-free raw materials. Food Res. Int. 2018, 110, 42–51. [Google Scholar] [CrossRef] [PubMed]
- Montemurro, M.; Pontonio, E.; Coda, R.; Rizzello, C.G. Plant-based alternatives to yogurt: State-of-the-art and perspectives of new biotechnological challenges. Foods 2021, 10, 316. [Google Scholar] [CrossRef]
- Mäkinen, O.E.; Wanhalinna, V.; Zannini, E.; Arendt, E.K. Foods for special dietary needs: Non-dairy plant-based milk substitutes and fermented dairy-type products. Crit. Rev. Food Sci. Nutr. 2016, 56, 339–349. [Google Scholar] [CrossRef]
- Bernat, N.; Cháfer, M.; Chiralt, A.; González-Martínez, C. Vegetable milks and their fermented derivative products. Int. J. Food Stud. 2014, 3, 93–124. [Google Scholar] [CrossRef]
- Grasso, N.; Alonso-Miravalles, L.; O’Mahony, J.A. Composition, physicochemical and sensorial properties of commercial plant-based yogurts. Foods 2020, 9, 252. [Google Scholar] [CrossRef]
- Blandino, A.; Al-Aseeri, M.E.; Pandiella, S.S.; Cantero, D.; Webb, C. Cereal-based fermented foods and beverages. Food Res. Int. 2003, 36, 527–543. [Google Scholar] [CrossRef]
- Coda, R.; Montemurro, M.; Rizzello, C.G. Yogurt-like beverages made with cereals. In Yogurt in Health and Disease Prevention; Shah, N.P., Ed.; Academic Press: Cambridge, MA, USA, 2017; pp. 183–201. [Google Scholar]
- Taylor, J.; Awika, J. Gluten-Free Ancient Grains: Cereals, Pseudocereals, and Legumes: Sustainable, Nutritious, and Health-Promoting Foods for the 21st Century; Woodhead Publishing: Sawston, UK, 2017. [Google Scholar]
- Boeck, T.; Sahin, A.W.; Zannini, E.; Arendt, E.K. Nutritional properties and health aspects of pulses and their use in plant-based yogurt alternatives. Compr. Rev. Food Sci. Food Saf. 2021, 20, 3858–3880. [Google Scholar] [CrossRef]
- Karmaus, A.L.; Jones, W. Future foods symposium on alternative proteins: Workshop proceedings. Trends Food Sci. Technol. 2021, 107, 124–129. [Google Scholar] [CrossRef]
- Farinon, B.; Molinari, R.; Costantini, L.; Merendino, N. The seed of industrial hemp (Cannabis sativa L.): Nutritional quality and potential functionality for human health and nutrition. Nutrients 2020, 12, 1935. [Google Scholar] [CrossRef] [PubMed]
- Irakli, M.; Tsaliki, E.; Kalivas, A.; Kleisiaris, F.; Sarrou, E.; Cook, C.M. Effect οf genotype and growing year on the nutritional, phytochemical, and antioxidant properties of industrial hemp (Cannabis sativa L.) seeds. Antioxidants 2019, 8, 491. [Google Scholar] [CrossRef] [PubMed]
- Gobbetti, M.; De Angelis, M.; Di Cagno, R.; Polo, A.; Rizzello, C.G. The sourdough fermentation is the powerful process to exploit the potential of legumes, pseudo-cereals and milling by-products in baking industry. Crit. Rev. Food Sci. Nutr. 2020, 60, 2158–2173. [Google Scholar] [CrossRef]
- Nionelli, L.; Montemurro, M.; Pontonio, E.; Verni, M.; Gobbetti, M.; Rizzello, C.G. Pro-technological and functional characterization of lactic acid bacteria to be used as starters for hemp (Cannabis sativa L.) sourdough fermentation and wheat bread fortification. Int. J. Food Microbiol. 2018, 279, 14–25. [Google Scholar] [CrossRef]
- Schettino, R.; Pontonio, E.; Rizzello, C.G. Use of fermented hemp, chickpea and milling by-products to improve the nutritional value of semolina pasta. Foods 2019, 8, 604. [Google Scholar] [CrossRef]
- Pontonio, E.; Verni, M.; Dingeo, C.; Diaz-de-Cerio, E.; Pinto, D.; Rizzello, C.G. Impact of enzymatic and microbial bioprocessing on antioxidant properties of hemp (Cannabis sativa L.). Antioxidants 2020, 9, 1258. [Google Scholar] [CrossRef]
- Galli, V.; Venturi, M.; Coda, R.; Maina, N.H.; Granchi, L. Isolation and characterization of indigenous Weissella confusa for in situ bacterial exopolysaccharides (EPS) production in chickpea sourdough. Food Res. Int. 2020, 138, 109785. [Google Scholar] [CrossRef]
- Lindeboom, N.; Chang, P.R.; Falk, K.C.; Tyler, R.T. Characteristics of starch from eight quinoa lines. Cereal Chem. 2005, 82, 216–222. [Google Scholar] [CrossRef]
- Bevilacqua, A.; Corbo, M.R.; Mastromatteo, M.; Sinigaglia, M. Combined effects of pH, yeast extract, carbohydrates and di-ammonium hydrogen citrate on the biomass production and acidifying ability of a probiotic Lactobacillus plantarum strain, isolated from table olives, in a batch system. World J. Microbiol. Biotechnol. 2008, 24, 1721–1729. [Google Scholar] [CrossRef]
- Weiss, W.; Vogelmeier, C.; Görg, A. Electrophoretic characterization of wheat grain allergens from different cultivars involved in bakers’ asthma. Electrophoresis 1993, 14, 805–816. [Google Scholar] [CrossRef] [PubMed]
- Church, F.C.; Swaisgood, H.E.; Porter, D.H.; Catignani, G.L. Spectrophotometric assay using o-phthaldialdehyde for determination of proteolysis in milk and isolated milk proteins. J. Dairy Sci. 1983, 66, 1219–1227. [Google Scholar] [CrossRef]
- De Angelis, M.; Damiano, N.; Rizzello, C.G.; Cassone, A.; Di Cagno, R.; Gobbetti, M. Sourdough fermentation as a tool for the manufacture of low-glycemic index white wheat bread enriched in dietary fibre. Eur. Food Res. Technol. 2009, 229, 593–601. [Google Scholar] [CrossRef]
- Capriles, V.D.; Arêas, J.A. Effects of prebiotic inulin-type fructans on structure, quality, sensory acceptance and glycemic response of gluten-free breads. Food Funct. 2013, 4, 104–110. [Google Scholar] [CrossRef] [PubMed]
- Elia, M. A procedure for sensory evaluation of bread: Protocol developed by a trained panel. J. Sens. Stud. 2011, 26, 269–277. [Google Scholar] [CrossRef]
- Pontonio, E.; Raho, S.; Dingeo, C.; Centrone, D.; Carofiglio, V.E.; Rizzello, C.G. Nutritional, functional, and technological characterization of a novel gluten-and lactose-free yogurt-style snack produced with selected lactic acid bacteria and Leguminosae flours. Front. Microbiol. 2020, 11, 1664. [Google Scholar] [CrossRef]
- Izadi, Z.; Nasirpour, A.; Garoosi, G.A.; Tamjidi, F. Rheological and physical properties of yogurt enriched with phytosterol during storage. J. Food Sci. Technol. 2015, 52, 5341–5346. [Google Scholar] [CrossRef]
- Gelski, J. Whole Grains Stand Out in Consumer Survey Regarding Digestive Health. 2019. Available online: www.bakingbusiness.com/articles/47771-whole-grains-stand-out-in-consumer-survey-regarding-digestive-health (accessed on 17 October 2022).
- Silva, V.L.; Sereno, A.M.; do Amaral Sobral, P.J. Food industry and processing technology: On time to harmonize technology and social drivers. Food Eng. Rev. 2018, 10, 1–13. [Google Scholar] [CrossRef]
- EAT-Lancet Commission. Summary report of the EAT-Lancet Commission. Healthy Diets from Sustainable Food Systems. EAT-Lancet Commission, Stockholm, Sweden. 2019. Available online: https://eatforum.org/content/uploads/2019/01/EAT-Lancet_Commission_Summary_Report.pdf (accessed on 17 October 2022).
- Costa, V.; Johnson, A. Global food and nutrition trends: Driving positive momentum for grains. Cereal Foods World 2019, 64. [Google Scholar] [CrossRef]
- Hosafci, P. Food Trends for 2018. Euromonitor International, London, UK. 2018. Available online: http://go.euromonitor.com/rs/805-KOK-719/images/8_Food_Trends_for_2018.pdf (accessed on 17 October 2022).
- Maruyama, S.; Streletskaya, N.A.; Lim, J. Clean label: Why this ingredient but not that one? Food Qual Prefer. 2021, 87, 104062. [Google Scholar] [CrossRef]
- Xu, J.; Bai, M.; Song, H.; Yang, L.; Zhu, D.; Liu, H. Hemp (Cannabis sativa subsp. sativa) Chemical composition and the application of hempseeds in food formulations. Plant Foods Hum. Nutr. 2022, 77, 504–513. [Google Scholar] [CrossRef] [PubMed]
- Campiglia, E.; Gobbi, L.; Marucci, A.; Rapa, M.; Ruggieri, R.; Vinci, G. Hemp seed production: Environmental impacts of Cannabis sativa L. Agronomic practices by life cycle assessment (LCA) and carbon footprint methodologies. Sustainability 2020, 12, 6570. [Google Scholar] [CrossRef]
- Pontonio, E.; Montemurro, M.; Dingeo, C.; Rotolo, M.; Centrone, D.; Carofiglio, V.E.; Rizzello, C.G. Design and characterization of a plant-based ice cream obtained from a cereal/legume yogurt-like. LWT 2022, 161, 113327. [Google Scholar] [CrossRef]
- Qin, W.; Lin, Z.; Wang, A.; Chen, Z.; He, Y.; Wang, L.; Liu, L.; Wang, F.; Tong, L.T. Influence of particle size on the properties of rice flour and quality of gluten-free rice bread. LWT 2021, 151, 112236. [Google Scholar] [CrossRef]
- Ripari, V. Techno-functional role of exopolysaccharides in cereal-based, yogurt-like beverages. Beverages 2019, 5, 16. [Google Scholar] [CrossRef]
- Zikmanis, P.; Brants, K.; Kolesovs, S.; Semjonovs, P. Extracellular polysaccharides produced by bacteria of the Leuconostoc genus. World J. Microbiol. Biotechnol. 2020, 36, 1–18. [Google Scholar] [CrossRef]
- Kavitake, D.; Devi, P.B.; Singh, S.P.; Shetty, P.H. Characterization of a novel galactan produced by Weissella confusa KR780676 from an acidic fermented food. Int. J. Biol. Macromol. 2016, 86, 681–689. [Google Scholar] [CrossRef]
- Majzoobi, M.; Beparva, P. Effects of acetic acid and lactic acid on physicochemical characteristics of native and cross-linked wheat starches. Food Chem. 2014, 147, 312–317. [Google Scholar] [CrossRef]
- Li, C. Recent progress in understanding starch gelatinization-An important property determining food quality. Carbohydr. Polym. 2022, 293, 119735. [Google Scholar] [CrossRef] [PubMed]
- Wang, L.; Zhang, L.; Wang, H.; Ai, L.; Xiong, W. Insight into protein-starch ratio on the gelatinization and retrogradation characteristics of reconstituted rice flour. Int. J. Biol. Macromol. 2020, 146, 524–529. [Google Scholar] [CrossRef] [PubMed]
- Chandan, R.C.; White, C.H.; Kilara, A.; Hui, Y.H. Manufacturing Yogurt and Fermented Milks; John Wiley & Sons: Hoboken, NJ, USA, 2008. [Google Scholar]
- Liu, S.Q.; Holland, R.; Crow, V.L. The potential of dairy lactic acid bacteria to metabolise amino acids via non-transaminating reactions and endogenous transamination. Int. J. Food Microbiol. 2003, 86, 257–269. [Google Scholar] [CrossRef]
- Van Niel, E.W.J.; Hahn-Hägerdal, B. Nutrient requirements of lactococci in defined growth media. Appl. Microbiol. Biotechnol. 1999, 52, 617–627. [Google Scholar] [CrossRef]
- Kim, Y.J.; Eom, H.J.; Seo, E.Y.; Lee, D.Y.; Kim, J.H.; Han, N.S. Development of a chemically defined minimal medium for the exponential growth of Leuconostoc mesenteroides ATCC8293. J. Microbiol. Biotechnol. 2012, 22, 1518–1522. [Google Scholar] [CrossRef]
- Koduru, L.; Kim, Y.; Bang, J.; Lakshmanan, M.; Han, N.S.; Lee, D.Y. Genome-scale modeling and transcriptome analysis of Leuconostoc mesenteroides unravel the redox governed metabolic states in obligate heterofermentative lactic acid bacteria. Sci. Rep. 2017, 7, 1–15. [Google Scholar] [CrossRef] [PubMed]
- Velikova, P.; Stoyanov, A.; Blagoeva, G.; Popova, L.; Petrov, K.; Gotcheva, V.; Angelov, A.; Petrova, P. Starch utilization routes in lactic acid bacteria: New insight by gene expression assay. Starch 2016, 68, 953–960. [Google Scholar] [CrossRef]
- Nionelli, L.; Coda, R.; Curiel, J.A.; Poutanen, K.; Gobbetti, M.; Rizzello, C.G. Manufacture and characterization of a yogurt-like beverage made with oat flakes fermented by selected lactic acid bacteria. Int. J. Food Microbiol. 2014, 185, 17–26. [Google Scholar] [CrossRef]
- Lorusso, A.; Coda, R.; Montemurro, M.; Rizzello, C.G. Use of selected lactic acid bacteria and quinoa flour for manufacturing novel yogurt-like beverages. Foods 2018, 7, 51. [Google Scholar] [CrossRef]
- Coda, R.; Rizzello, C.G.; Trani, A.; Gobbetti, M. Manufacture and characterization of functional emmer beverages fermented by selected lactic acid bacteria. Food Microbiol. 2011, 28, 526–536. [Google Scholar] [CrossRef]
- Mikulec, A.; Kowalski, S.; Sabat, R.; Skoczylas, Ł.; Tabaszewska, M.; Wywrocka-Gurgul, A. Hemp flour as a valuable component for enriching physicochemical and antioxidant properties of wheat bread. LWT 2019, 102, 164–172. [Google Scholar] [CrossRef]
- Soto, L.P.; Sirini, N.E.; Frizzo, L.S.; Zbrun, M.V.; Zimmermann, J.A.; Ruiz, M.J.; Rosmini, M.R.; Sequeira, G.J.; Miotti, C.; Signorini, M.L. Lactic acid bacteria viability in different refrigerated food matrices: A systematic review and Meta-analysis. Crit. Rev. Food Sci. Nutr. 2022, 62, 1–29. [Google Scholar] [CrossRef] [PubMed]
- Kailasapathy, K. Survival of free and encapsulated probiotic bacteria and their effect on the sensory properties of yoghurt. LWT 2006, 39, 1221–1227. [Google Scholar] [CrossRef]
- Chen, C.; Zhao, S.; Hao, G.; Yu, H.; Tian, H.; Zhao, G. Role of lactic acid bacteria on the yogurt flavour: A review. Int. J. Food Prop. 2017, 20 (Suppl. 1), S316–S330. [Google Scholar] [CrossRef]
- Ott, A.; Hugi, A.; Baumgartner, M.; Chaintreau, A. Sensory investigation of yogurt flavor perception: Mutual influence of volatiles and acidity. J. Agric. Food Chem. 2000, 48, 441–450. [Google Scholar] [CrossRef] [PubMed]
- Crini, G.; Lichtfouse, E.; Chanet, G.; Morin-Crini, N. Traditional and new applications of hemp. In Sustainable Agriculture Reviews, 42nd ed.; Crini, G., Lichtfouse, E., Eds.; Springer: Berlin/Heidelberg, Germany, 2020. [Google Scholar] [CrossRef]
- Korus, A.; Gumul, D.; Krystyjan, M.; Juszczak, L.; Korus, J. Evaluation of the quality, nutritional value and antioxidant activity of gluten-free biscuits made from corn-acorn flour or corn-hemp flour composites. Eur. Food Res. Technol. 2017, 243, 1429–1438. [Google Scholar] [CrossRef]
- Peyer, L.C.; Zannini, E.; Arendt, E.K. Lactic acid bacteria as sensory biomodulators for fermented cereal-based beverages. Trends Food Sci. Technol. 2016, 54, 17–25. [Google Scholar] [CrossRef]
- Wang, Y.; Tuccillo, F.; Lampi, A.M.; Knaapila, A.; Pulkkinen, M.; Kariluoto, S.; Coda, R.; Edelmann, M.; Jouppila, K.; Sandell, M.; et al. Flavor challenges in extruded plant-based meat alternatives: A review. Compr. Rev. Food Sci. Food Saf. 2022, 21, 2898–2929. [Google Scholar] [CrossRef]
- Korus, J.; Witczak, M.; Ziobro, R.; Juszczak, L. Hemp (Cannabis sativa subsp. sativa) flour and protein preparation as natural nutrients and structure forming agents in starch-based gluten-free bread. LWT 2017, 84, 143–150. [Google Scholar] [CrossRef]
- Mittermeier-Kleßinger, V.K.; Hofmann, T.; Dawid, C. Mitigating off-flavors of plant-based proteins. J. Agric. Food Chem. 2021, 69, 9202–9207. [Google Scholar] [CrossRef]
- Sha, L.; Xiong, Y.L. Plant protein-based alternatives of reconstructed meat: Science, technology, and challenges. Trends Food Sci. Technol. 2020, 102, 51–61. [Google Scholar] [CrossRef]
- Mora, M.R.; Dando, R. The sensory properties and metabolic impact of natural and synthetic sweeteners. Compr. Rev. Food Sci. Food Saf. 2021, 20, 1554–1583. [Google Scholar] [CrossRef] [PubMed]



| LAB (log cfu/g) | Yeasts (log cfu/g) | Molds (log cfu/g) | Enterobacteria (log cfu/g) | |
|---|---|---|---|---|
| ngYL | 3.98 ± 0.27 c | 2.75 ± 0.20 a | 2.37 ± 0.47 a | 2.78 ± 0.17 a |
| gYL | 3.21 ± 0.38 b | 2.63 ± 0.15 a | 2.11 ± 0.34 a | 2.30 ± 0.21 b |
| YL | 9.10 ± 0.23 a | 2.09 ± 0.21 b | n.d. | 1.32 ± 0.18 c |
| gYL | YL | |
|---|---|---|
| Lactic acid (mmol/kg) | 0.25 ± 0.04 b | 12.34 ± 0.33 a |
| Acetic acid (mmol/kg) | 0.14 ± 0.05 b | 3.78 ± 0.16 a |
| TFAA (mg/kg) | 726 ± 28 a | 453 ± 15 b |
| Radical scavenging activity ME (mmol Trolox eq/g) | 3.72 ± 0.18 a | 3.76 ± 0.19 a |
| Radical scavenging activity WSE (mmol Trolox eq/g) | 1.49 ± 0.05 b | 1.61 ± 0.08 a |
| gYL | YL | |
|---|---|---|
| Ash (% d.m.) | 2.55 ± 0.06 a | 2.54 ± 0.06 a |
| Umidity (%) | 75.4 ± 5.7 a | 75.1 ± 5.6 a |
| Total carbohydrates (g/100 g) | 16.8 ± 0.9 a | 16.5 ± 1.0 a |
| Fructose (g/100 g) | n.d. | 0.01 ± 0.01 |
| Glucose (g/100 g) | 0.10 ± 0.07 b | 0.79 ± 0.08 a |
| Maltose (g/100 g) | n.d. | n.d. |
| Sucrose (g/100 g) | n.d. | n.d. |
| Sugar (g/100 g) | 0.10 ± 0.07 b | 0.80 ± 0.08 a |
| Total fat (g/100 g) | 1.0 ± 0.3 a | 1.2 ± 0.2 a |
| Saturated fat (g/100 g) | 0.18 ± 0.04 a | 0.20 ± 0.03 a |
| Nitrogen (% N t.q.) | 0.60 ± 0.05 a | 0.67 ± 0.04 a |
| Proteins (% N*6.25 t.q.) | 3.75 ± 0.31 a | 4.19 ± 0.26 a |
| Energy (kJ/100 g) | 408 ± 18 a | 413 ± 21 a |
| Fiber (g/100 g) | 2.6 ± 0.5 a | 2.7 ± 0.5 a |
| Insoluble fiber (g/100 g) | 2.5 ± 0.3 b | 2.1 ± 0.4 b |
| Soluble fiber (g/100 g) | 0.2 ± 0.2 b | 0.5 ± 0.1 a |
| Salt (g/100 g) | 0.001 ± 0.001 a | 0.001 ± 0.001 a |
| Calcium (mg/kg) | 516 ± 47 a | 468 ± 32 a |
| Iron (mg/kg) | 13.1 ± 1.3 b | 16.3 ± 1.2 a |
| Phosphorus (mg/100 g) | 107 ± 9 a | 100 ± 11 a |
| Magnesium (mg/kg) | 475 ± 25 a | 468 ± 19 a |
| Potassium (mg/kg) | 1155 ± 38 a | 1208 ± 42 a |
| Zinc (mg/kg) | 8.60 ± 0.24 a | 7.71 ± 0.13 a |
| Total tocopherols (mg/kg) | <0.5 | <0.5 |
| Vit A (ug/100 g) | <10 | <10 |
| Vit. B1 (ug/kg) | 0.102 ± 0.023 a | 0.075 ± 0.031 a |
| Vit. B2 (ug/kg) | 0.031 ± 0.010 a | 0.030 ± 0.010 a |
| Vit. B3 (ug/kg) | 0.595 ± 0.023 a | 0.475 ± 0.034 b |
| Vit. B5 (ug/kg) | 1438 ± 42 a | 1521 ± 39 a |
| Vit. B6 (ug/kg) | 0.106 ± 0.021 a | 0.101 ± 0.009 a |
| Vit B8 (ug/kg) | <10 | <10 |
| Vit. B9 (ug/kg) | <20 | <20 |
| Vit. B12 (ug/kg) | <5 | <5 |
| Vit. C (mg/100 g) | <1 | <1 |
| Vit. D2 (mg/kg) | <0.002 | <0.002 |
Disclaimer/Publisher’s Note: The statements, opinions and data contained in all publications are solely those of the individual author(s) and contributor(s) and not of MDPI and/or the editor(s). MDPI and/or the editor(s) disclaim responsibility for any injury to people or property resulting from any ideas, methods, instructions or products referred to in the content. |
© 2023 by the authors. Licensee MDPI, Basel, Switzerland. This article is an open access article distributed under the terms and conditions of the Creative Commons Attribution (CC BY) license (https://creativecommons.org/licenses/by/4.0/).
Share and Cite
Montemurro, M.; Verni, M.; Rizzello, C.G.; Pontonio, E. Design of a Plant-Based Yogurt-Like Product Fortified with Hemp Flour: Formulation and Characterization. Foods 2023, 12, 485. https://doi.org/10.3390/foods12030485
Montemurro M, Verni M, Rizzello CG, Pontonio E. Design of a Plant-Based Yogurt-Like Product Fortified with Hemp Flour: Formulation and Characterization. Foods. 2023; 12(3):485. https://doi.org/10.3390/foods12030485
Chicago/Turabian StyleMontemurro, Marco, Michela Verni, Carlo Giuseppe Rizzello, and Erica Pontonio. 2023. "Design of a Plant-Based Yogurt-Like Product Fortified with Hemp Flour: Formulation and Characterization" Foods 12, no. 3: 485. https://doi.org/10.3390/foods12030485
APA StyleMontemurro, M., Verni, M., Rizzello, C. G., & Pontonio, E. (2023). Design of a Plant-Based Yogurt-Like Product Fortified with Hemp Flour: Formulation and Characterization. Foods, 12(3), 485. https://doi.org/10.3390/foods12030485

