Sign in to use this feature.

Years

Between: -

Subjects

remove_circle_outline
remove_circle_outline
remove_circle_outline
remove_circle_outline
remove_circle_outline
remove_circle_outline
remove_circle_outline
remove_circle_outline
remove_circle_outline

Journals

remove_circle_outline
remove_circle_outline
remove_circle_outline
remove_circle_outline
remove_circle_outline
remove_circle_outline
remove_circle_outline
remove_circle_outline
remove_circle_outline
remove_circle_outline
remove_circle_outline
remove_circle_outline
remove_circle_outline
remove_circle_outline
remove_circle_outline
remove_circle_outline
remove_circle_outline
remove_circle_outline

Article Types

Countries / Regions

remove_circle_outline
remove_circle_outline
remove_circle_outline
remove_circle_outline
remove_circle_outline
remove_circle_outline

Search Results (1,571)

Search Parameters:
Keywords = hemp

Order results
Result details
Results per page
Select all
Export citation of selected articles as:
16 pages, 1362 KB  
Article
Cannabis sativa L. Phytoremediation of Heavy Metal Soil Contamination, Followed by Biomass Valorization
by Giulio Picchi, Arianna Callegari, Andrea G. Capodaglio, Tania Martellini, Fabio Masi, Giovanni Mastrolonardo, Marco Nocentini, Chiara Sarti and Dhanalakshmi Vadivel
Sustainability 2026, 18(6), 2926; https://doi.org/10.3390/su18062926 - 17 Mar 2026
Abstract
Soil heavy metal contamination poses a major environmental threat, negatively impacting ecosystems, agricultural productivity, and human health. Phytoremediation offers eco-sustainable alternatives to conventional remediation techniques by employing plant species capable of extracting and stabilizing pollutants. This study assesses the potential of Cannabis sativa [...] Read more.
Soil heavy metal contamination poses a major environmental threat, negatively impacting ecosystems, agricultural productivity, and human health. Phytoremediation offers eco-sustainable alternatives to conventional remediation techniques by employing plant species capable of extracting and stabilizing pollutants. This study assesses the potential of Cannabis sativa L. var. ‘Carmagnola’ for the remediation of Pb, Cr, Cu, and Ni from four different growth substrates. This species was selected for its high biomass yield, tolerance to toxic environments, and capacity for heavy metal accumulation. Experimental results showed that the composition of the growing substrate significantly affected HM uptake, with higher accumulation occurring in less compact mixed substrates. HM removal from contaminated growth substrates varied between 55 and 75% for Cr, 60–78% for Ni, 32–86% for Cu and 43–84% for Pb after four months of growth in a greenhouse environment. In addition to pollutant removal efficiency, the study explored thermochemical harvested biomass post-processing via pyrolysis in order to produce biochar, a material with recognized agronomic beneficial properties and positive environmental value. Biochar generated from harvested biomass after phytoremediation tests showed residual HM content lower than the applicable EU thresholds for agricultural soil amendment. Integrating bioremediation with biochar production can promote a circular bioeconomy approach to environmental restoration, by transforming contaminated residual biomass into a useful resource rather than waste. These findings support the feasibility potential of coupling C. sativa phytoremediation and biochar production as an environmentally sustainable strategy for large-scale remediation of heavy metal-contaminated soils. Full article
Show Figures

Figure 1

26 pages, 2590 KB  
Article
A Machine Learning Framework for the Reconstruction of Composite Fatigue and Fracture Properties: A Synthetic Data Study
by Saurabh Tiwari and Aman Gupta
Materials 2026, 19(6), 1131; https://doi.org/10.3390/ma19061131 - 14 Mar 2026
Abstract
This study presents a machine learning framework for the reconstruction of fatigue life and fracture toughness in natural fiber-reinforced composites, evaluating the predictive accuracy of six regression algorithms—Random Forest, Gradient Boosting, Support Vector Machine, Neural Network, Ridge Regression, and Lasso Regression—using a controlled [...] Read more.
This study presents a machine learning framework for the reconstruction of fatigue life and fracture toughness in natural fiber-reinforced composites, evaluating the predictive accuracy of six regression algorithms—Random Forest, Gradient Boosting, Support Vector Machine, Neural Network, Ridge Regression, and Lasso Regression—using a controlled synthetic dataset of 600 samples generated from established Basquin fatigue and Rule of Mixtures fracture equations, incorporating stochastic noise calibrated to experimental scatter (CV = 15–50%), with log-normal noise standard deviation of 0.20 for fatigue life and Gaussian noise standard deviation of 0.15 for fracture toughness. The dataset encompasses eight natural fiber types (flax, jute, sisal, hemp, bamboo, coconut, banana, and pineapple) and five matrix systems (epoxy, polyester, PLA, vinyl ester, and polyurethane). Models were evaluated using a 70-15-15 train–validation–test split with 5-fold cross-validation and exhaustive grid search hyperparameter optimisation. Gradient Boosting achieved R2 = 0.93 for fatigue life and Stacking Ensemble achieved R2 = 0.87 for fracture toughness, representing 97% and 89% of their respective noise-ceiling values (theoretical maximum R2 of 0.96 and 0.98 given the programmed noise levels). The ML models perform supervised function approximation—learning to reconstruct the programmed generation equations rather than discovering novel physical composite behaviour—and function as automated surrogates for the governing equations. Feature importance analysis identified engineered composite indicators, stress amplitude, and fiber length as the most influential parameters. The framework provides a reproducible ML evaluation pipeline as a methodological template for future experimental composite studies. Full article
Show Figures

Figure 1

8 pages, 802 KB  
Proceeding Paper
Protected Cultivation of Medicinal Hemp: A Climate-Resilient Strategy for Sustainable Production
by Rabeea Tariq, Umer Habib, Muhammad Azam Khan, Muhammad Ishaq and Zimal Zainab
Biol. Life Sci. Forum 2025, 51(1), 13; https://doi.org/10.3390/blsf2025051013 - 13 Mar 2026
Viewed by 69
Abstract
Medicinal hemp (Cannabis sativa L.) has gained global attention due to its high-value phytocannabinoids, particularly cannabidiol (CBD) and tetrahydrocannabinol (THC), which exhibit significant therapeutic potential. Protected cultivation offers a climate-resilient and sustainable strategy to optimize hemp production by controlling environmental factors, ensuring [...] Read more.
Medicinal hemp (Cannabis sativa L.) has gained global attention due to its high-value phytocannabinoids, particularly cannabidiol (CBD) and tetrahydrocannabinol (THC), which exhibit significant therapeutic potential. Protected cultivation offers a climate-resilient and sustainable strategy to optimize hemp production by controlling environmental factors, ensuring year-round supply, and improving quality attributes. This paper outlines the key principles and technologies for protected hemp cultivation, including light spectrum management, temperature and humidity control, CO2 enrichment, nutrient and water management, pest and disease suppression, and post-harvest handling techniques. Advanced greenhouse and indoor production systems enable precise regulation of microclimate, reduce crop losses, and enhance cannabinoid and terpene profiles compared to open-field production. The integration of smart technologies and autonomous control systems can further enhance operational efficiency and consistency. The paper concludes that protected cultivation systems represent an effective approach to overcome climatic uncertainties and meeting the increasing demand for medicinal hemp production on sustainable grounds. Full article
(This article belongs to the Proceedings of The 9th International Horticulture Conference & Expo)
Show Figures

Figure 1

30 pages, 7099 KB  
Article
Hemp Fiber and Expanded Perlite-Incorporated Lightweight Inorganic Polymer Mortars: Mechanical, Thermal Insulation, High-Temperature Resistance, Microstructural Characteristics, and Life Cycle Assessment
by Brial Asif Hayi Paka, Turan Şevki Köker, Ezgi Orklemez, Guy Patrick Bikoula Onono, Ugur Durak, Serhan Ilkentapar, Okan Karahan and Cengiz Duran Atis
Polymers 2026, 18(5), 653; https://doi.org/10.3390/polym18050653 - 7 Mar 2026
Viewed by 356
Abstract
In this study, lightweight geopolymer mortars with low environmental impact, high thermal insulation performance, and strong resistance to elevated temperatures were developed. Fly ash, expanded perlite, and bio-based hemp fibers were employed as the binder, aggregate, and reinforcement, respectively. Hemp fibers were prepared [...] Read more.
In this study, lightweight geopolymer mortars with low environmental impact, high thermal insulation performance, and strong resistance to elevated temperatures were developed. Fly ash, expanded perlite, and bio-based hemp fibers were employed as the binder, aggregate, and reinforcement, respectively. Hemp fibers were prepared in lengths of 1, 2, and 3 cm and incorporated into the mixtures at dosages of 0.50%, 0.75%, and 1.00% by weight of binder. Sodium hydroxide was used as the activator, and specimens were heat-cured at 90 °C for 24–48–72 h. The workability, unit weight, UPV, flexural, and compressive strength of the geopolymer mortars were determined. In addition, thermal conductivity, high-temperature resistance, microstructural characteristics, and environmental impacts of selected mixtures were evaluated. The results demonstrated that lightweight geopolymer mortars could be successfully produced using expanded perlite aggregate and that hemp fibers significantly enhanced mechanical performance up to 48% at one day. Moreover, fiber reinforcement improved thermal insulation capability by up to 5.5% and high-temperature resistance. FESEM, EDX, elemental mapping, and XRD analyses supported the mechanical and physical findings through detailed microstructural evidence. Furthermore, LCA results revealed that fiber incorporation improved the environmental performance of geopolymer mortars, resulting in approximately a 21% reduction in global warming potential compared with the reference mixture. Full article
Show Figures

Figure 1

19 pages, 3171 KB  
Article
Rheological and Bioactive Profile of Gelatin—Hemp Protein Hydrogels
by Szymon Juchniewicz and Joanna Harasym
Molecules 2026, 31(5), 885; https://doi.org/10.3390/molecules31050885 - 6 Mar 2026
Viewed by 290
Abstract
The aim of this study was to investigate the effect of hemp protein addition on the structural, rheological, textural, color, and bioactive properties of gelatin hydrogels. Composite systems containing 0–20% hemp protein were analyzed to clarify the mechanism of interaction with the gelatin [...] Read more.
The aim of this study was to investigate the effect of hemp protein addition on the structural, rheological, textural, color, and bioactive properties of gelatin hydrogels. Composite systems containing 0–20% hemp protein were analyzed to clarify the mechanism of interaction with the gelatin matrix and to determine whether hemp protein acts as a passive filler or an active structure-forming component. In all formulations, the gelatin concentration was kept constant at 5% (w/w), while hemp protein was added at increasing levels without replacing the gelatin phase, resulting in systems with increasing total solid content. The addition of hemp protein significantly enhanced water-holding capacity and gel strength, as confirmed by rheological measurements and texture profile analysis. Thermorheological analysis revealed a gradual transition from a classic thermoreversible gelatin gel to reinforced composite networks, with the viscoelastic response increasingly governed by the hemp protein structure at higher concentrations (15–20%). Frequency- and amplitude-sweep tests demonstrated improved mechanical stability and reduced frequency dependence. FTIR analysis indicated reorganization of hydrogen bonding and an increasing contribution of hydrophobic interactions related to the lipid fraction of hemp protein. Furthermore, the addition of hemp protein led to a marked increase in antioxidant activity (ABTS and FRAP) and significant changes in color parameters. These results demonstrate that hemp protein functions as an active structural and functional component in gelatin hydrogels, enabling the development of materials with tailored mechanical properties and enhanced bioactivity. Full article
(This article belongs to the Section Materials Chemistry)
Show Figures

Graphical abstract

17 pages, 624 KB  
Article
Aroma Profile of Worts and Contents of Selected Mineral Elements in Brewing with Malted and Unmalted Hemp Seeds
by Robert Duliński, Marek Zdaniewicz, Jana Lakatošová, Adam Florkiewicz, Janusz Gołaszewski and Bożena Bukowska
Molecules 2026, 31(5), 809; https://doi.org/10.3390/molecules31050809 - 28 Feb 2026
Viewed by 238
Abstract
The growing interest in functional beer production has led to the exploration of unconventional raw materials, such as hemp (Cannabis sativa L.), for brewing applications. This study aimed to evaluate the volatile organic compound (VOC) profile and the macro- and microelement composition [...] Read more.
The growing interest in functional beer production has led to the exploration of unconventional raw materials, such as hemp (Cannabis sativa L.), for brewing applications. This study aimed to evaluate the volatile organic compound (VOC) profile and the macro- and microelement composition of barley wort enriched with varying proportions (10% and 30%) of malted and unmalted hemp seeds, using solid-phase microextraction followed by gas chromatography–mass spectrometry (SPME–GC–MS) and atomic absorption spectrometry (AAS). A total of 64 VOCs were identified across four wort variants: control (barley malt only), 10% malted hemp, 30% malted hemp, and 30% unmalted hemp. The aroma profile was significantly influenced by compounds such as 2,3-butanediol, 1-hexanol, 3-methyl-1-butanol, 3-hydroxy-2-butanone, hexanoic acid, and 4-vinylguaiacol (p < 0.001). Principal component analysis (PCA) revealed clear separation between wort types based on the relative abundance of alcohols, acids, ketones, and phenols, indicating a progressive shift from sweet/malty toward acidic, green, and herbal aroma notes as hemp addition increased. Notably, unmalted hemp seeds resulted in a pronounced dominance of hexanoic acid, which may contribute to earthy and rancid sensory attributes. The evaluation of selected mineral elements showed that the key macroelements differentiating the worts were potassium, magnesium, phosphorus, and calcium, while among the microelements the distinguishing elements were manganese, iron, and sodium. These findings demonstrate the strong modulating effect of aromatic hemp-derived materials on the aroma composition and selected mineral content of brewing worts, supporting their targeted use in novel beer formulations. Full article
Show Figures

Figure 1

30 pages, 7292 KB  
Article
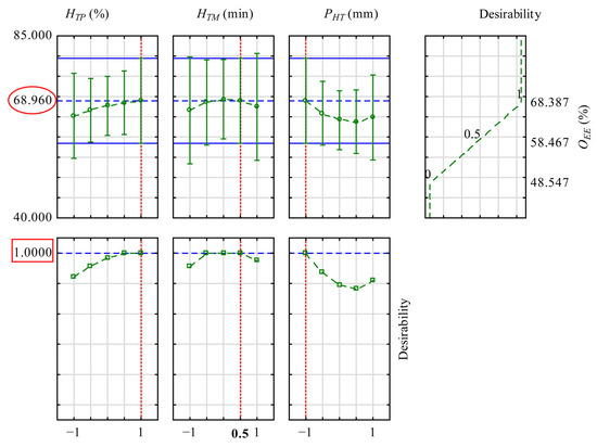
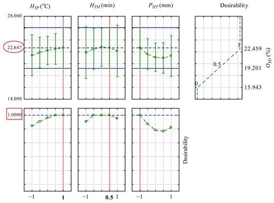
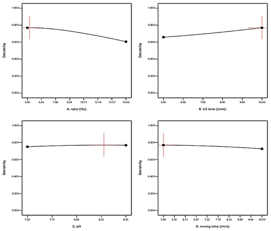
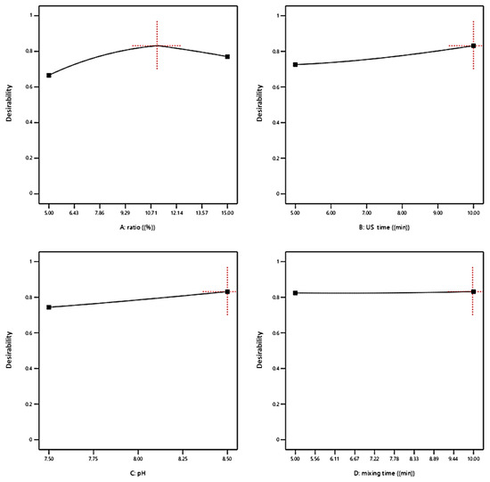
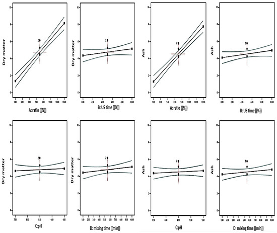
Process Optimization of Thermal Stability for Hemp Seed Milk Produced from Whole Fat and Fat-Reduced Seeds
by Nour M. H. Awad and Mustafa Mortas
Processes 2026, 14(5), 783; https://doi.org/10.3390/pr14050783 - 27 Feb 2026
Viewed by 202
Abstract
Hemp seed milk is a promising plant-based alternative to dairy due to its rich nutritional profile and environmental sustainability. However, challenges related to thermal instability and phase separation hinder its commercial viability. This study aimed to improve the formulation and processing of hemp [...] Read more.
Hemp seed milk is a promising plant-based alternative to dairy due to its rich nutritional profile and environmental sustainability. However, challenges related to thermal instability and phase separation hinder its commercial viability. This study aimed to improve the formulation and processing of hemp seed milks derived from de-hulled full-fat and fat-reduced seeds, with a focus on thermal stability under pasteurization conditions. To increase stability and decrease phase separation, Response Surface Methodology (RSM) was applied to systematically modify four important processing parameters: seed ratio, ultrasound time, pH value, and mixing time. The physicochemical characteristics of the optimized milks, including their viscosity, creaming index, ζ-potential, and particle size distribution, were described. The emulsion stability and heat-induced aggregation behavior of full-fat and fat-reduced formulations differed significantly. The optimized full-fat hemp seed milk was produced using a seed concentration of 5.23%, a mixing time of 5 min, a sonication duration of 10 min, and an adjusted pH of 8.26, while the optimized hemp seed milk from fat-reduced seeds was prepared using an 11.1% seed-to-water ratio, a mixing time of 10 min, a 10 min ultrasound treatment, and an adjusted pH of 8.5. These parameter sets represent the samples obtained after the RSM optimization process and were used as the optimized formulations for further characterization. The findings showed that the desirability values of normal fat and fat-reduced hemp milk were 76% and 83%, respectively. These findings provide valuable insights into the development of stable, scalable hemp seed milk systems and highlight the critical role of seed composition in determining functional stability. Full article
(This article belongs to the Special Issue Green Technologies for Food Processing)
Show Figures

Figure 1

27 pages, 9916 KB  
Article
Potential of Biodegradable Polyhydroxyalkanoates for the Construction of Sustainable Polymer Composite Materials
by Natalia Ipatova, Aleksey Demidenko, Evgeniy Kiselev, Aleksey Sukovatyi, Svetlana Prudnikova, Ivan Nemtsev, Viktor Kozhukhov and Tatiana Volova
Polymers 2026, 18(5), 569; https://doi.org/10.3390/polym18050569 - 26 Feb 2026
Viewed by 434
Abstract
The article presents the results of a study of constructed composites based on degradable poly(3-hydroxybutyrate) (P(3HB)) filled with plant materials of 30, 50, and 70% of different origin—wood flour (WF) from birch (Betula pendula), hemp hurds (HH) or hemp fiber (HF) [...] Read more.
The article presents the results of a study of constructed composites based on degradable poly(3-hydroxybutyrate) (P(3HB)) filled with plant materials of 30, 50, and 70% of different origin—wood flour (WF) from birch (Betula pendula), hemp hurds (HH) or hemp fiber (HF) (Cannabis sativa). Composite bar samples were obtained by hot pressing homogeneous mixtures of polymer and fillers at 170 °C and a specific pressure of 6.13 MPa. The influence of the filler type and the polymer/filler ratio on the temperature characteristics of the samples, density, microstructure, surface properties, water absorption, physical and mechanical properties, and degradability in soil was determined. The Young’s modulus of the samples ranged from 2640 to 3715 MPa, depending on the composition. The maximum degradation of the composites after 120 days of exposure to soil was recorded at 70% WF, HH, or HF filling, amounting to 77.4, 63.5, and 38.6%, respectively. Perspective biodegradable composites based on P(3HB) filled with various plant-based fillers were obtained and characterized, along with new knowledge about their properties, the lack of which currently hinders the active development and commercialization of such in-demand materials. Full article
(This article belongs to the Section Biobased and Biodegradable Polymers)
Show Figures

Figure 1

17 pages, 2574 KB  
Article
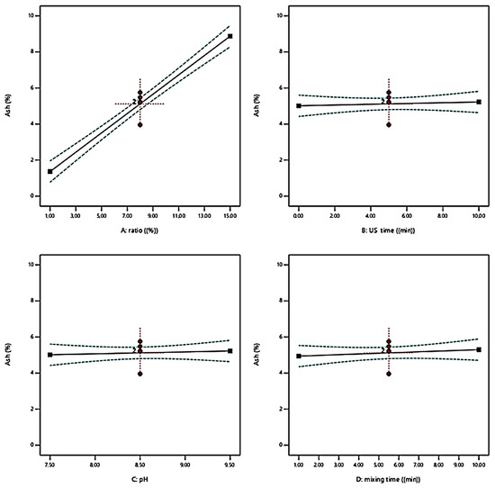
Structural and Chemical Profiling of Hemp Hurds for Sustainable Bioproducts Within a Circular Economy Framework
by Ziningi Rosebud Myeni, Farai Dziike, Tshwafo Elias Motaung and Nirmala Deenadayalu
Sustainability 2026, 18(5), 2197; https://doi.org/10.3390/su18052197 - 25 Feb 2026
Viewed by 264
Abstract
Lignocellulose biomass (LB) has gained interest as a second-generation renewable feedstock for producing bio-based products within a circular economy framework. Hemp hurds, a byproduct of industrial hemp processing, are one of the LB feedstocks that have gained attraction. This study examines the physicochemical [...] Read more.
Lignocellulose biomass (LB) has gained interest as a second-generation renewable feedstock for producing bio-based products within a circular economy framework. Hemp hurds, a byproduct of industrial hemp processing, are one of the LB feedstocks that have gained attraction. This study examines the physicochemical properties of hemp hurds to evaluate their suitability as substrates for bioproduct synthesis. The chemical analysis of hemp hurds showed that the polysaccharide content is 53.4%, lignin is 20.8%, extractives are 15%, and ash is 4.35%. The moisture content is 6.34%, and the density is 1.0016 g/mL, indicating low porosity and a small surface area, which limits enzyme access to cellulose. Structural analysis using X-ray diffraction (XRD) indicated a crystallinity index of 40.20%, and the Fourier Transform Infrared Spectrophotometer (FTIR) confirmed the characteristic peaks representing cellulose, hemicellulose, and lignin at 3332 cm−1, 1734 cm−1, and 1510 cm−1, respectively. The Scanning Electron Microscope (SEM) revealed a tightly packed surface with smooth, low porosity, whereas the Thermogravimetric Analyser (TGA) indicated decomposition in phases for hemicellulose, cellulose, and lignin. The structural and chemical findings of hemp hurds characterisation suggest that they are a suitable raw material for producing various bio-based materials. Full article
(This article belongs to the Special Issue Sustainable Materials for Building Envelopes)
Show Figures

Figure 1

20 pages, 1896 KB  
Review
Research Progress on Flowering Period of Hemp
by Lie Yang, Chao Fan, Jiaxi Li, Hongmei Yuan, Lili Cheng, Dandan Liu, Wenyuan He, Qinghua Kang, Xixia Song, Dandan Yao, Weidong Jiang, Wenjie Zhang and Lili Tang
Plants 2026, 15(5), 682; https://doi.org/10.3390/plants15050682 - 25 Feb 2026
Viewed by 378
Abstract
Flowering regulation in hemp is critical for determining fiber yield, seed production, and the accumulation of medicinal components. This paper, based on bibliometric analysis, highlights the current gap in basic research on cannabis floral organs. The latest advancements in flowering regulation are then [...] Read more.
Flowering regulation in hemp is critical for determining fiber yield, seed production, and the accumulation of medicinal components. This paper, based on bibliometric analysis, highlights the current gap in basic research on cannabis floral organs. The latest advancements in flowering regulation are then systematically reviewed. The morphological and physiological foundations of flowering are examined, including the flowering phenotype, timing, and flower differentiation. Furthermore, the direct regulatory mechanisms of key environmental and cultivation factors—such as photoperiod (type, light quality, duration) and plant nutrition (fertilization, hormones)—on flowering are discussed. Potential pathways through which biotic and abiotic stresses indirectly affect flowering by disrupting metabolic processes are also explored. In addition, the genetic basis of flowering regulation, including key gene loci such as Autoflower1, Early1, and CsPRR37, as well as molecular networks like the FT-mediated photoperiod pathway and the miR156-SPL age pathway, is examined in detail. Finally, the industrial significance of flowering regulation is summarized, and future research directions are proposed to provide a theoretical foundation for the precise breeding and cultivation management of high-quality hemp varieties. Full article
(This article belongs to the Special Issue Biological Signaling in Plant Development)
Show Figures

Figure 1

17 pages, 2299 KB  
Article
Low-Concentration Chemical Pretreatment of Lignocellulose Biomass Derived from Hemp Hurds, Agricultural Waste: Comparative Characterisation of Various Pretreatment Methods
by Ziningi Rosebud Myeni, Farai Dziike, Tshwafo Elias Motaung and Nirmala Deenadayalu
Materials 2026, 19(5), 843; https://doi.org/10.3390/ma19050843 - 25 Feb 2026
Viewed by 358
Abstract
Hemp hurds (HHs), a lignocellulosic agricultural waste, have the potential for bioconversion into bio-based products. However, the matrix structure of biomass comprising cellulose, hemicellulose, and lignin makes cellulose inaccessible. Pre-treatment is essential for accessing cellulose by removing lignin, hemicellulose, and extractives. This study [...] Read more.
Hemp hurds (HHs), a lignocellulosic agricultural waste, have the potential for bioconversion into bio-based products. However, the matrix structure of biomass comprising cellulose, hemicellulose, and lignin makes cellulose inaccessible. Pre-treatment is essential for accessing cellulose by removing lignin, hemicellulose, and extractives. This study compares lignocellulose structure modification of HH using low-concentration chemical pretreatment methods, including organosolvent, 60% ethanol (EtOH), 3% hydrogen peroxide with 3% ammonia (H2O2/NH3), and 2% sodium hydroxide (NaOH) with sonication. X-ray diffractor (XRD) analysis, using Segal method as a guide, showed that post treatments, the crystallinity index increased from 39.26% in untreated HH to 65.80% for NaOH-treated hurds. Polysaccharide content decreased compared to HH, attributed to the combination of solubilisation of hemicellulose, degradation of amorphous carbohydrates, and loss of sample during treatment wash. Although there was a reduction in polysaccharide content compared to HH, NaOH treated HH showed the highest total carbohydrate content of 48.6% and the most disrupted surface structure, based on scanning electron microscope (SEM) images at 2000× magnification. Fourier-transform infrared spectrophotometer (FTIR) analysis indicated a reduction in lignin and hemicellulose peaks for NaOH and H2O2/NH3 treatments, while thermogravimetric analyser (TGA) and derivative thermogravimetric analysis (DTG) results showed improved thermal stability for NaOH-treated samples. The ultrasound-assisted NaOH-treated sample had the most structural disruption in recovered solid fraction, based on comparative compositional and structural analyses. This gives a guide on the selection of pretreatment to pursue for HH processing. Full article
(This article belongs to the Special Issue Leather, Textiles and Bio-Based Materials)
Show Figures

Figure 1

23 pages, 10518 KB  
Article
Hemp Granule Size and Mass Fraction Effects on the Rheological, Thermal, and Mechanical Behavior of PLA-Based Biocomposites for Thermoforming
by Zainab Rbihi, Fouad Erchiqui, Denis Rodrigue and Hamid Kaddami
J. Compos. Sci. 2026, 10(3), 115; https://doi.org/10.3390/jcs10030115 - 24 Feb 2026
Viewed by 219
Abstract
In this work, polylactic acid (PLA) biocomposites reinforced with hemp granules of different sizes (1 mm and 2 mm) and contents (10, 20, and 30 wt.%) were systematically investigated. The study aimed to elucidate how granule size and concentration affect the rheological, thermal, [...] Read more.
In this work, polylactic acid (PLA) biocomposites reinforced with hemp granules of different sizes (1 mm and 2 mm) and contents (10, 20, and 30 wt.%) were systematically investigated. The study aimed to elucidate how granule size and concentration affect the rheological, thermal, and heat-transfer properties of the composites, with a focus on rheological parameters relevant to thermoforming. The results showed that increasing filler content enhanced stiffness, storage modulus (G′), and complex viscosity (η*), with smaller granules providing better reinforcement due to improved dispersion and interfacial adhesion. Thermal analyses confirmed a nucleating effect of hemp, slightly increasing crystallinity, while higher contents reduced thermal stability. The effect of filler content and size on heat transfer was discussed with respect to heating and cooling sensitivity during thermoforming, a key aspect of processability. The originality of this work lies in its integrated characterization strategy, which highlights the combined effect of granule size and concentration on the viscoelastic response and processing-relevant parameters of PLA-based biocomposites. These insights contribute to the development of sustainable biocomposites with improved potential for thermoforming applications. Full article
(This article belongs to the Section Polymer Composites)
Show Figures

Graphical abstract

15 pages, 5842 KB  
Article
Impact of Plant Growth Regulators on Callus Induction in Cannabis sativa L.
by Margaux Thiry, Marcus Iken, Jenny Renaut, Stanley Lutts and Gea Guerriero
Cells 2026, 15(4), 385; https://doi.org/10.3390/cells15040385 - 23 Feb 2026
Viewed by 521
Abstract
Callogenesis is a fundamental step in plant biotechnology and tissue culture, providing the basis for multiple scientific and practical applications. In this study, the impact on callogenesis of different plant growth regulators was studied on Cannabis sativa L. (a non-commercial genotype of hemp), [...] Read more.
Callogenesis is a fundamental step in plant biotechnology and tissue culture, providing the basis for multiple scientific and practical applications. In this study, the impact on callogenesis of different plant growth regulators was studied on Cannabis sativa L. (a non-commercial genotype of hemp), with the objective of identifying the most suitable combination for the establishment of vigorously growing, friable calli. Forty-nine media combinations were evaluated using four PGRs: two auxins (2,4-dichlorophenoxyacetic acid, naphthaleneacetic acid) and two cytokinins (6-benzylaminopurine, kinetin). Parameters such as percentage of callus induction, proliferation, colour, texture, and growth area were assessed. Three media were identified for further spectrophotometric assays and targeted gene expression analysis: the first containing 2,4-dichlorophenoxyacetic acid 1.5 µM and benzylaminopurine 1.5 µM, the second with 2,4-dichlorophenoxyacetic acid 1.5 µM and kinetin 1.5 µM and the third supplemented with 2,4-dichlorophenoxyacetic acid 4.5 µM and kinetin 1.5 µM. The last medium proved to be superior in terms of vigour, friability and phenolic content and showed increased expression of genes involved in the early steps of the phenylpropanoid pathway. These findings highlight the central role of auxin–cytokinin interactions in regulating both callus formation and secondary metabolism. The optimised medium opens the way to subsequent biotechnological applications relying on the cultivation of plant cell suspension cultures. Full article
(This article belongs to the Special Issue Phytofactories: From Lab to Applications)
Show Figures

Figure 1

11 pages, 2116 KB  
Article
Dietary Cannabis Seed Supplementation Attenuates Inflammation and Pancreatic Injury in a Cerulein-Induced Acute Pancreatitis Mouse Model
by Dong-Uk Kim, Bitna Kweon, Dong-Keun Kim, Dong-Gu Kim and Gi-Sang Bae
Curr. Issues Mol. Biol. 2026, 48(2), 221; https://doi.org/10.3390/cimb48020221 - 18 Feb 2026
Viewed by 315
Abstract
Cannabis seed (CS), also known as hemp seed, is a nutrient-dense plant-derived food material rich in polyunsaturated fatty acids and bioactive components with reported anti-inflammatory properties. However, potential nutritional effects of CS on acute pancreatitis (AP), an inflammation-driven disease with limited dietary management [...] Read more.
Cannabis seed (CS), also known as hemp seed, is a nutrient-dense plant-derived food material rich in polyunsaturated fatty acids and bioactive components with reported anti-inflammatory properties. However, potential nutritional effects of CS on acute pancreatitis (AP), an inflammation-driven disease with limited dietary management strategies, have not yet been investigated. In this study, we examined the effects of dietary CS extract in a cerulein-induced AP mouse model. CS extract (5, 10, or 50 mg/kg) or vehicle (dimethyl sulfoxide) was orally administered 1 h prior to cerulein injection, and mice were euthanized 6 h after the final challenge. Oral supplementation with CS significantly attenuated AP severity, indicated by reducing pancreatic weight-to-body weight ratio, serum amylase and lipase activities, histopathological pancreatic injury, and pancreatic myeloperoxidase activity. CS administration alleviated AP-associated acute lung injury; markedly suppressing pancreatic mRNA expression of proinflammatory cytokines, including interleukin (IL)-1β, IL-6, and tumor necrosis factor-α. High-performance liquid chromatography analysis identified α-linolenic acid, an omega-3 polyunsaturated fatty acid, as a major nutritional component of CS extract. Collectively, these findings suggest that CS supplementation may contribute to nutritional modulation of inflammatory responses and systemic organ injury in experimental AP, supporting its potential as a functional food ingredient in inflammation-associated pancreatic disorders. Full article
(This article belongs to the Section Bioorganic Chemistry and Medicinal Chemistry)
Show Figures

Figure 1

17 pages, 3366 KB  
Article
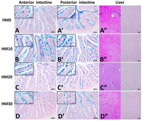
Hemp Meal (Cannabis sativa) as an Alternative Dietary Protein Source for European Perch (Perca fluviatilis)
by Wiktoria Cieśla, Dobrochna Adamek-Urbańska, Robert Kasprzak, Piotr Gomułka, Maciej Wójcik, Joanna Bochenek, Helena Bober, Kacper Kawalski, Jakub Martynow, Adrian Szczepański, Hubert Szudrowicz, Małgorzata Woźniak, Jerzy Śliwiński, Katarzyna Palińska-Żarska, Daniel Żarski, Sławomir Krejszeff, Jarosław Król and Maciej Kamaszewski
Animals 2026, 16(4), 649; https://doi.org/10.3390/ani16040649 - 18 Feb 2026
Viewed by 453
Abstract
The production of European perch (Perca fluviatilis) has become notably refined, with numerous physiological and nutritional studies conducted in recent years. However, it is still an expensive undertaking due to the high amount of animal protein required in the feed. Therefore, [...] Read more.
The production of European perch (Perca fluviatilis) has become notably refined, with numerous physiological and nutritional studies conducted in recent years. However, it is still an expensive undertaking due to the high amount of animal protein required in the feed. Therefore, we investigated the possibility of using hemp meal (HM) as an alternative source of protein in extruded feed for perch reared in recirculating aquaculture systems (RASs). Perch fry (initial body weight of 68.1 g) was divided into four groups (HM0, HM10, HM20, HM30; 100 fish in each) and fed with diets containing different levels of HM (0, 10, 20 or 30%, respectively) for 10 weeks. Overall, dietary inclusion of HM did not affect body parameters, muscle composition, or blood parameters, nor did it cause any serious histopathological lesions. Nonetheless, basic production indices (SGR, FCR, PER) all peaked in the HM20 group, and predominantly positive changes in intestinal mucosa were found in all three HM-inclusion groups. Furthermore, the expression patterns of several genes in the intestine and liver were different in groups HM20-30 than in HM0-10. Lastly, hepatic activities of alkaline phosphatase (ALP) and glutathione peroxidase (GPX) diminished with increasing dietary HM inclusion levels. In summary, there were no negative effects of HM on the homeostasis of studied fish or, more specifically, the physiology of their digestive organs. When accounting for minor tendencies in the results, the dietary inclusion of hemp meal at 20% turned out to be the most promising fish meal alternative for the European perch. Full article
Show Figures

Figure 1

Back to TopTop