Optimizing the Rheological and Textural Properties of Chapatti Enriched with House Crickets (Acheta domesticus) Flour Using Hydrocolloids by an I-Optimal Design
Abstract
1. Introduction
2. Materials and Methods
2.1. Design of Experiment
2.2. Sample Collection and Preparation
2.3. Rheological Properties of Dough
2.3.1. Dough and Baked Chapatti Preparation
2.3.2. Dynamic Oscillatory Measurements
2.3.3. Dough Extensibility
2.4. Chapatti Texture
2.5. Statistical Analysis
3. Results and Discussion
3.1. Model Fitting
3.2. Dough and Baked Chapatti Quality as Affected by Water and Hydrocolloids
3.3. Biaxial Extensibility of Dough
3.3.1. Dough Hardness
3.3.2. Dough Extensibility
3.4. Viscoelastic Properties of Dough
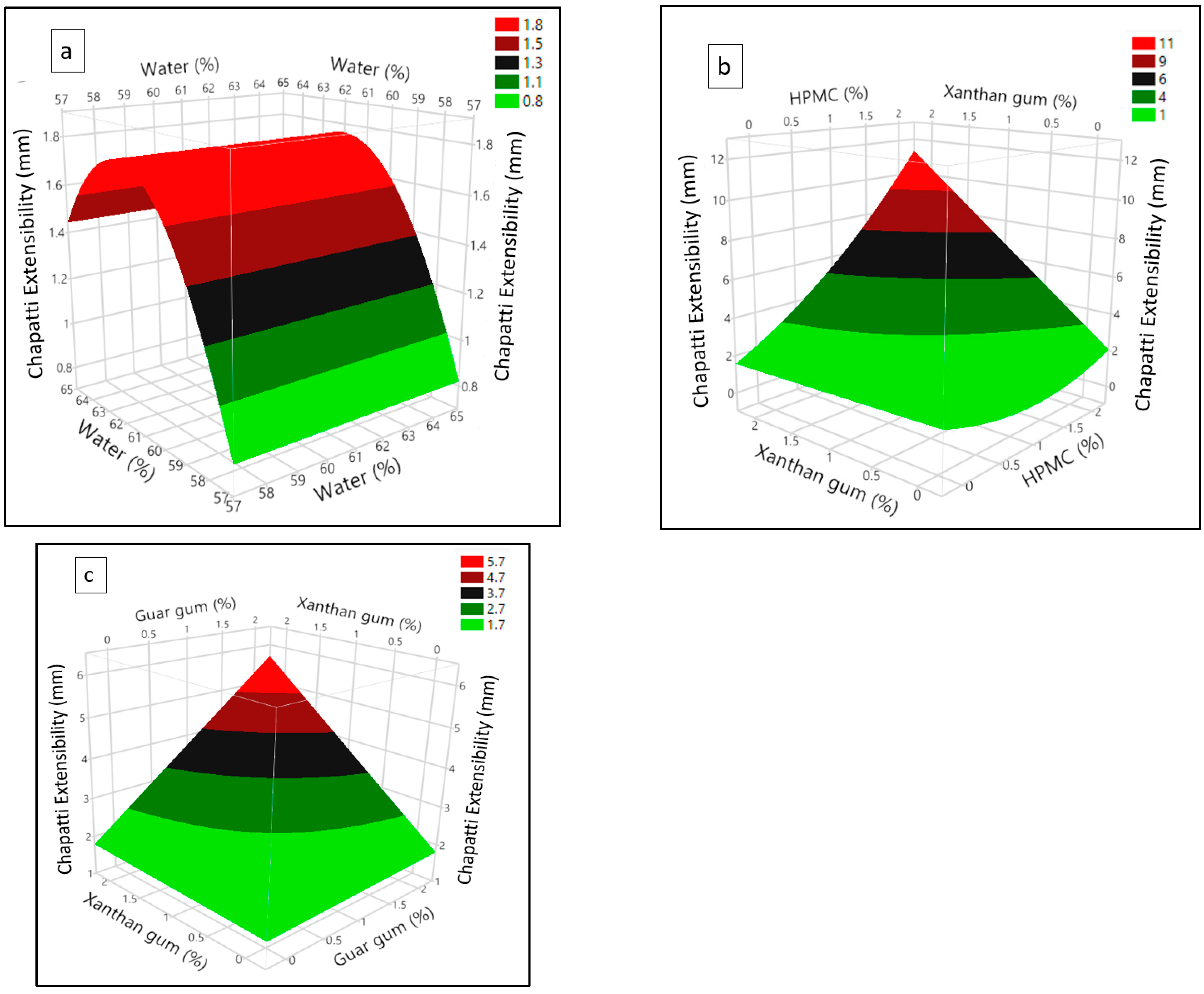
3.5. Uniaxial Extensibility of Chapatti
3.5.1. Chapatti Hardness
3.5.2. Chapatti Extensibility
3.6. Confirmation Tests
4. Conclusions
Author Contributions
Funding
Data Availability Statement
Conflicts of Interest
References
- Mishyna, M.; Chen, J.; Benjamin, O. Sensory attributes of edible insects and insect-based foods—Future outlooks for enhancing consumer appeal. Trends Food Sci. Technol. 2020, 95, 141–148. [Google Scholar] [CrossRef]
- Van Huis, A.; Oonincx, D.G.A.B. The environmental sustainability of insects as food and feed. A review. Agron. Sustain. Dev. 2017, 37, 43. [Google Scholar] [CrossRef]
- Van Huis, A.; Van Itterbeeck, J.; Klunder, H.; Mertens, E.; Halloran, A.; Muir, G.; Vantomme, P. Nutritional Values of Insects for Human Consumption. In Edible Insects: Future Prospects for Food and Feed Security; Food and Agriculture Organization of the United Nations: Rome, Italy, 2013; pp. 67–80. [Google Scholar]
- Govorushko, S. Global status of insects as food and feed source: A review. Trends Food Sci. Technol. 2019, 91, 436–445. [Google Scholar] [CrossRef]
- Khatun, H.; Claes, J.; Smets, R.; De Winne, A.; Akhtaruzzaman, M.; Van Der Borght, M. Characterization of freeze—Dried, oven-dried and blanched house crickets (Acheta Domesticus) and Jamaican field crickets (Gryllus Assimilis) by Means of their physicochemical properties and volatile compounds. Eur. Food Res. Technol. 2021, 247, 1291–1305. [Google Scholar] [CrossRef]
- Hartmann, C.; Shi, J.; Giusto, A.; Siegrist, M. The psychology of eating insects: A cross-cultural comparison between Germany and China. Food Qual. Prefer. 2015, 44, 148–156. [Google Scholar] [CrossRef]
- Cappelli, A.; Oliva, N.; Bonaccorsi, G.; Lorini, C.; Cini, E. Assessment of the rheological properties and bread characteristics obtained by innovative protein sources (Cicer Arietinum, Acheta Domesticus, Tenebrio Molitor): Novel Food or potential improvers for wheat flour? LWT 2020, 118, 108867. [Google Scholar] [CrossRef]
- Osimani, A.; Milanović, V.; Cardinali, F.; Roncolini, A.; Garofalo, C.; Clementi, F.; Pasquini, M.; Mozzon, M.; Foligni, R.; Raffaelli, N.; et al. Bread enriched with cricket powder (Acheta Domesticus): A technological, microbiological and nutritional evaluation. Innov. Food Sci. Emerg. Technol. 2018, 48, 150–163. [Google Scholar] [CrossRef]
- Azzollini, D.; Derossi, A.; Fogliano, V.; Lakemond, C.M.M.; Severini, C. Effects of Formulation and process conditions on microstructure, texture and digestibility of extruded insect-riched snacks. Innov. Food Sci. Emerg. Technol. 2018, 45, 344–353. [Google Scholar] [CrossRef]
- Cabuk, B. Influence of grasshopper (Locusta Migratoria) and mealworm (Tenebrio Molitor) Powders on the quality characteristics of protein rich muffins: Nutritional, physicochemical, textural and sensory aspects. J. Food Meas. Charact. 2021, 15, 3862–3872. [Google Scholar] [CrossRef]
- Ooms, N.; Delcour, J.A. How to impact gluten protein network formation during wheat flour dough making. Curr. Opin. Food Sci. 2019, 25, 88–97. [Google Scholar] [CrossRef]
- Liu, X.; Mu, T.; Sun, H.; Zhang, M.; Chen, J.; Fauconnier, M.L. Influence of different hydrocolloids on dough thermo-mechanical properties and in vitro starch digestibility of gluten-free steamed bread based on potato flour. Food Chem. 2018, 239, 1064–1074. [Google Scholar] [CrossRef] [PubMed]
- Azeem, M.; Mu, T.H.; Zhang, M. Effects of hydrocolloids and proteins on dough rheology and in vitro starch digestibility of sweet potato-wheat bread. LWT 2021, 142, 110970. [Google Scholar] [CrossRef]
- Previtali, M.A.; Mastromatteo, M.; De Vita, P.; Ficco, D.B.M.; Conte, A.; Del Nobile, M.A. Effect of the lentil flour and hydrocolloids on baking characteristics of wholemeal durum wheat bread. Int. J. Food Sci. Technol. 2014, 49, 2382–2390. [Google Scholar] [CrossRef]
- Ghodke Shalini, K.; Laxmi, A. Influence of additives on rheological characteristics of whole-wheat dough and quality of chapatti (Indian unleavened flat bread) part i-hydrocolloids. Food Hydrocoll. 2007, 21, 110–117. [Google Scholar] [CrossRef]
- Khatun, H.; Van Der Borght, M.; Akhtaruzzaman, M.; Claes, J. Rheological characterization of chapatti (Roti) enriched with flour or paste of house crickets (Acheta Domesticus). Foods 2021, 10, 2750. [Google Scholar] [CrossRef] [PubMed]
- Yemenicioğlu, A.; Farris, S.; Turkyilmaz, M.; Gulec, S. A review of current and future food applications of natural hydrocolloids. Int. J. Food Sci. Technol. 2020, 55, 1389–1406. [Google Scholar] [CrossRef]
- Tolstoguzov, V.B. Some physico-chemical aspects of protein processing in foods. Multicomponent gels. Top. Catal. 1995, 9, 317–332. [Google Scholar] [CrossRef]
- Gan, H.E.; Karim, R.; Muhammad, S.K.S.; Bakar, J.A.; Hashim, D.M.; Rahman, R.A. Optimization of the basic formulation of a traditional baked cassava cake using response surface methodology. LWT 2007, 40, 611–618. [Google Scholar] [CrossRef]
- Li, J.; Yadav, M.P.; Li, J. Effect of different hydrocolloids on gluten proteins, starch and dough microstructure. J. Cereal Sci. 2019, 87, 85–90. [Google Scholar] [CrossRef]
- Ribotta, P.D.; Ausar, S.F.; Beltramo, D.M.; León, A.E. Interactions of hydrocolloids and sonicated-gluten proteins. Food Hydrocoll. 2005, 19, 93–99. [Google Scholar] [CrossRef]
- Liu, X.; Mu, T.; Yamul, K.D.; Sun, H.; Zhang, M.; Chen, J.; Fauconnier, M.L.; Andrea, P.V. Evaluation of different hydrocolloids to improve dough rheological properties and bread quality of potato–wheat flour. J. Food Sci. Technol. 2017, 54, 1597–1607. [Google Scholar] [CrossRef]
- Farbo, M.G.; Fadda, C.; Marceddu, S.; Conte, P.; Del Caro, A.; Piga, A. Improving the Quality of dough obtained with old durum wheat using hydrocolloids. Food Hydrocoll. 2020, 101, 105467. [Google Scholar] [CrossRef]
- Smitha, S.; Rajiv, J.; Begum, K.; Indrani, D. Effect of hydrocolloids on rheological, microstructural and quality characteristics of parotta—An unleavened Indian flat bread. J. Texture Stud. 2008, 39, 267–283. [Google Scholar] [CrossRef]
- Mishyna, M.; Keppler, J.K.; Chen, J. Techno-functional properties of edible insect proteins and effects of processing. Curr. Opin. Colloid Interface Sci. 2021, 56, 101508. [Google Scholar] [CrossRef]
- Traynham, T.L.; Myers, D.J.; Carriquiry, A.L.; Johnson, L.A. Evaluation of water-holding capacity for wheat-soy flour blends. JAOCS J. Am. Oil Chem. Soc. 2007, 84, 151–155. [Google Scholar] [CrossRef]
- Li, H.; Ma, Y.; Pan, Y.L.; Yu, L.; Tian, R.; Wu, D.; Xie, Y.; Wang, Z.; Chen, X.; Gao, X. Starch Other than gluten may make a dominant contribution to wheat dough mixing properties: A case study on two near-isogenic lines. LWT 2021, 152, 112413. [Google Scholar] [CrossRef]
- Gujral, H.S.; Haros, M.; Rosell, C.M. Improving the texture and delaying staling in rice flour chapati with hydrocolloids and α-amylase. J. Food Eng. 2004, 65, 89–94. [Google Scholar] [CrossRef]
- Jo, W.; Yoo, B. Effects of cellulose gums on rheological interactions in binary mixtures of xanthan gum and locust bean gum. Prev. Nutr. Food Sci. 2018, 23, 269–274. [Google Scholar] [CrossRef]
- Peressini, D.; Pin, M.; Sensidoni, A. Rheology and breadmaking performance of rice-buckwheat batters supplemented with hydrocolloids. Food Hydrocoll. 2011, 25, 340–349. [Google Scholar] [CrossRef]
- Crockett, R.; Ie, P.; Vodovotz, Y. How Do xanthan and hydroxypropyl methylcellulose individually affect the physicochemical properties in a model gluten-free dough? J. Food Sci. 2011, 76, E274–E282. [Google Scholar] [CrossRef]
- Linlaud, N.; Ferrer, E.; Puppo, M.C.; Ferrero, C. Hydrocolloid interaction with water, protein, and starch in wheat dough. J. Agric. Food Chem. 2011, 59, 713–719. [Google Scholar] [CrossRef]
- Bemiller, J.N. Guar. In Carbohydrate Chemistry for Food Scientists, 3rd ed.; Ball, M.R., Wolff, A.G., Eds.; Elsevier Science Publishing Co., Inc.: New York NY, USA, 2019; pp. 241–246. [Google Scholar]
- Ghodke, S.K. Effect of guar gum on dough stickiness and staling in chapatti—An Indian unleavened flat bread. Int. J. Food Eng. 2009, 5, 5. [Google Scholar] [CrossRef]
- Linlaud, N.E.; Puppo, M.C.; Ferrero, C. Effect of Hydrocolloids on water absorption of wheat flour and farinograph and textural characteristics of dough. Cereal Chem. 2009, 86, 376–382. [Google Scholar] [CrossRef]
- Shittu, T.A.; Aminu, R.A.; Abulude, E.O. Functional effects of xanthan gum on composite cassava-wheat dough and bread. Food Hydrocoll. 2009, 23, 2254–2260. [Google Scholar] [CrossRef]
- Santiago, L.A.; Fadel, O.M.; Tavares, G.M. How does the thermal-aggregation behavior of black cricket protein isolate affect its foaming and gelling properties? Food Hydrocoll. 2021, 110, 106169. [Google Scholar] [CrossRef]
- Khouryieh, H.A.; Herald, T.J.; Aramouni, F.; Alavi, S. Influence of mixing temperature on xanthan conformation and interaction of xanthan-guar gum in dilute aqueous solutions. Food Res. Int. 2006, 39, 964–973. [Google Scholar] [CrossRef]
- Rahim, M.S.; Chauhan, A.; Madhawan, A.; Mishra, A.; Parveen, A.; Garg, M.; Bishnoi, M.; Kumar, V.; Oak, M.D.; Singhal, N.K.; et al. Development and evaluation of chapatti quality of high amylose wheat mutants on the basis of physicochemical, textural and sensory characteristics. LWT 2020, 133, 110051. [Google Scholar] [CrossRef]
- Choi, S.J.; Chun, S.Y.; Yoo, B. Dynamic rheological comparison of selected gum solutions. Food Sci. Biotechnol. 2006, 15, 474–477. [Google Scholar]
- Smets, R.; Goos, P.; Claes, J.; Van Der Borght, M. Optimisation of the lipid extraction of fresh black soldier fly larvae (Hermetia Illucens) with 2-methyltetrahydrofuran by response surface methodology. Sep. Purif. Technol. 2021, 258, 118040. [Google Scholar] [CrossRef]
- Homem, V.; Alves, A.; Santos, L. Amoxicillin degradation at Ppb levels by Fenton’s oxidation using design of experiments. Sci. Total Environ. 2010, 408, 6272–6280. [Google Scholar] [CrossRef]
- Jafari, M.; Koocheki, A.; Milani, E. Functional effects of xanthan gum on quality attributes and microstructure of extruded sorghum-wheat composite dough and bread. LWT Food Sci. Technol. 2018, 89, 551–558. [Google Scholar] [CrossRef]
- Kim, T.K.; Yong, H.I.; Kang, M.C.; Cha, J.Y.; Choi, Y.S. Effect of hydrocolloids on functionality of protaetia brevitarsis proteins. Food Sci. Biotechnol. 2022, 31, 243–251. [Google Scholar] [CrossRef] [PubMed]





| Factors (% of Flour Weight) | Range of Variables | |
|---|---|---|
| Low (−1) | High (+1) | |
| Water (X1) | 58 (−1) | 64 (+1) |
| Carboxymethylcellulose (CMC) (X2) | 0 (−1) | 2 (+1) |
| Hydroxypropyl methylcellulose (HPMC) (X3) | 0 (−1) | 2 (+1) |
| Guar gum (X4) | 0 (−1) | 2 (+1) |
| Xanthan gum (X5) | 0 (−1) | 2 (+1) |
| Run | Water (%) | CMC (%) | HPMC (%) | Guar Gum (%) | Xanthan Gum (%) | Dough Hardness (N) | Dough Extensibility (mm) | Storage Modulus G′ (kPa) | Force to Extend 1 mm of Chapatti (N) | Chapatti Extensibility (mm) |
|---|---|---|---|---|---|---|---|---|---|---|
| 1 | 58.04 | 0.34 | 0.00 | 0.00 | 1.66 | 2.49 | 45.92 | 41.14 | 9.57 | 1.50 |
| 2 | 63.91 | 0.00 | 0.00 | 0.00 | 0.00 | 0.79 | 74.95 | 11.98 | 5.26 | 1.70 |
| 3 | 61.01 | 0.00 | 1.00 | 0.00 | 0.00 | 1.16 | 73.94 | 20.75 | 5.64 | 1.92 |
| 4 | 61.02 | 0.00 | 0.00 | 0.00 | 1.00 | 1.55 | 50.00 | 34.86 | 4.97 | 2.03 |
| 5 | 61.04 | 0.41 | 0.40 | 0.40 | 0.39 | 1.74 | 69.39 | 27.17 | 4.39 | 2.16 |
| 6 | 60.96 | 1.00 | 0.00 | 0.00 | 0.00 | 1.11 | 74.99 | 20.07 | 6.28 | 2.02 |
| 7 | 64.00 | 0.00 | 1.72 | 0.28 | 0.00 | 1.32 | 74.97 | 20.05 | 5.36 | 1.78 |
| 8 | 61.02 | 1.00 | 0.00 | 1.00 | 0.00 | 1.51 | 74.96 | 27.31 | 4.77 | 1.85 |
| 9 | 58.03 | 0.00 | 0.74 | 0.00 | 0.73 | 2.00 | 54.68 | 37.63 | 6.03 | 1.75 |
| 10 | 61.03 | 0.40 | 0.40 | 0.40 | 0.39 | 1.55 | 67.16 | 27.26 | 6.20 | 1.57 |
| 11 | 58.01 | 0.72 | 0.00 | 0.70 | 0.00 | 1.16 | 66.86 | 28.48 | 7.32 | 1.04 |
| 12 | 61.04 | 0.00 | 0.00 | 1.00 | 0.97 | 2.38 | 52.51 | 40.42 | 6.16 | 2.64 |
| 13 | 64.01 | 2.00 | 0.00 | 0.00 | 0.00 | 1.20 | 74.99 | 18.91 | 8.18 | 1.26 |
| 14 | 61.13 | 0.00 | 0.00 | 1.00 | 0.00 | 1.11 | 74.89 | 21.67 | 4.52 | 1.94 |
| 15 | 64.00 | 0.00 | 0.00 | 0.00 | 2.00 | 1.70 | 54.15 | 29.21 | 7.64 | 1.91 |
| 16 | 57.94 | 0.00 | 0.00 | 2.00 | 0.00 | 1.99 | 61.00 | 39.90 | 7.56 | 1.72 |
| 17 | 64.02 | 1.00 | 0.00 | 0.00 | 1.00 | 1.61 | 62.43 | 22.63 | 5.05 | 1.99 |
| 18 | 61.00 | 0.40 | 0.40 | 0.40 | 0.39 | 1.55 | 73.35 | 24.75 | 6.44 | 1.57 |
| 19 | 64.01 | 0.00 | 0.20 | 1.80 | 0.00 | 1.36 | 74.90 | 23.07 | 5.60 | 1.85 |
| 20 | 57.96 | 0.00 | 0.00 | 0.00 | 0.00 | 1.25 | 74.99 | 20.02 | 8.64 | 1.18 |
| 21 | 58.04 | 0.00 | 1.00 | 1.00 | 0.00 | 1.65 | 64.24 | 34.73 | 7.15 | 1.16 |
| 22 | 61.01 | 1.00 | 1.00 | 0.00 | 0.00 | 1.37 | 74.93 | 25.50 | 6.37 | 1.23 |
| 23 | 57.98 | 1.79 | 0.01 | 0.00 | 0.19 | 1.72 | 72.58 | 30.08 | 8.86 | 1.17 |
| 24 | 63.99 | 0.70 | 0.70 | 0.00 | 0.00 | 0.94 | 74.99 | 14.48 | 6.53 | 1.49 |
| 25 | 58.01 | 0.00 | 2.00 | 0.00 | 0.00 | 1.57 | 69.79 | 32.49 | 5.14 | 2.03 |
| 26 | 60.98 | 0.00 | 1.00 | 0.00 | 1.00 | 2.13 | 56.67 | 29.13 | 4.57 | 3.36 |
| 27 | 64.02 | 0.00 | 0.00 | 0.75 | 0.71 | 1.05 | 68.95 | 17.09 | 4.45 | 2.55 |
| Model | ||||||||||
| F-Value (Model) | 19.39 * | 32.047 * | 30.49 * | 10.32 * | 10.03 * | |||||
| F-Value (Lack of fit) | NA | 0.1539 ns | NA | NA | 0.9404 ns | |||||
| R2 | 0.8533 | 0.8841 | 0.8789 | 0.8832 | 0.8168 | |||||
| Adjusted R2 | 0.8093 | 0.8565 | 0.8501 | 0.7977 | 0.7354 | |||||
| Responses | Dough Hardness (N) * | Dough Hardness (N) ** | Dough Extensibility (mm) * | Dough Extensibility (mm) ** | Storage Modulus (G’) (kPa) * | Storage Modulus (G’) (kPa) ** | Chapatti Hardness (N) * | Chapatti Hardness (N) ** | Chapatti Extensibility (mm) * | Chapatti Extensibility (mm) ** |
|---|---|---|---|---|---|---|---|---|---|---|
| Predicted *** responses | [0.98; 1.24] | [1.43; 1.54] | [72.39; 77.02] | [65.07; 68.25] | [16.02; 20.35] | [22.96; 26.32] | [4.94; 6.04] | [4.02; 5.12] | [1.21; 1.72] | [1.97; 2.31] |
| Actual responses | 1.28 ± 0.05 b | 1.49 ± 0.11 c | 74.97 ± 0.02 a | 73.0 ± 2.16 a | 17.50 ± 0.64 a | 21.69 ± 1.26 b | 6.05 ± 0.53 a | 6.39 ± 0.16 a | 1.55 ± 0.06 a | 2.21 ± 0.36 b |
| Control 1 † | 0.98 ± 0.15 a | 74.98 ± 0.01 a | 16.50 ± 0.64 a | 7.49 ± 1.60 a | 2.02 ± 0.22 b | |||||
| Control 2 ‡ | 1.25 ± 0.19 b | 74.90 ± 0.74 a | 14.26 ± 1.70 a | 7.07 ± 1.68 a | 1.09 ± 0.47 a | |||||
Publisher’s Note: MDPI stays neutral with regard to jurisdictional claims in published maps and institutional affiliations. |
© 2022 by the authors. Licensee MDPI, Basel, Switzerland. This article is an open access article distributed under the terms and conditions of the Creative Commons Attribution (CC BY) license (https://creativecommons.org/licenses/by/4.0/).
Share and Cite
Khatun, H.; Lievens, S.; Smets, R.; Akhtaruzzaman, M.; Van Der Borght, M.; Claes, J. Optimizing the Rheological and Textural Properties of Chapatti Enriched with House Crickets (Acheta domesticus) Flour Using Hydrocolloids by an I-Optimal Design. Foods 2022, 11, 3467. https://doi.org/10.3390/foods11213467
Khatun H, Lievens S, Smets R, Akhtaruzzaman M, Van Der Borght M, Claes J. Optimizing the Rheological and Textural Properties of Chapatti Enriched with House Crickets (Acheta domesticus) Flour Using Hydrocolloids by an I-Optimal Design. Foods. 2022; 11(21):3467. https://doi.org/10.3390/foods11213467
Chicago/Turabian StyleKhatun, Habiba, Siebe Lievens, Ruben Smets, Mohammad Akhtaruzzaman, Mik Van Der Borght, and Johan Claes. 2022. "Optimizing the Rheological and Textural Properties of Chapatti Enriched with House Crickets (Acheta domesticus) Flour Using Hydrocolloids by an I-Optimal Design" Foods 11, no. 21: 3467. https://doi.org/10.3390/foods11213467
APA StyleKhatun, H., Lievens, S., Smets, R., Akhtaruzzaman, M., Van Der Borght, M., & Claes, J. (2022). Optimizing the Rheological and Textural Properties of Chapatti Enriched with House Crickets (Acheta domesticus) Flour Using Hydrocolloids by an I-Optimal Design. Foods, 11(21), 3467. https://doi.org/10.3390/foods11213467

