Sign in to use this feature.

Years

Between: -

Subjects

remove_circle_outline
remove_circle_outline
remove_circle_outline
remove_circle_outline
remove_circle_outline
remove_circle_outline
remove_circle_outline
remove_circle_outline
remove_circle_outline

Journals

remove_circle_outline
remove_circle_outline
remove_circle_outline
remove_circle_outline
remove_circle_outline
remove_circle_outline
remove_circle_outline
remove_circle_outline
remove_circle_outline
remove_circle_outline
remove_circle_outline
remove_circle_outline

Article Types

Countries / Regions

remove_circle_outline
remove_circle_outline
remove_circle_outline
remove_circle_outline

Search Results (382)

Search Parameters:
Keywords = hydrocolloids

Order results
Result details
Results per page
Select all
Export citation of selected articles as:
24 pages, 1161 KB  
Review
Pectin as a Versatile Biomaterial: Structure, Green Sourcing, and Emerging Applications in Pharmaceutics and Biomedicine
by Irina-Alexandra Dumitrescu, Cristina-Elena Dinu-Pîrvu, Mihaela Violeta Ghica, Valentina Anuța, Răzvan Mihai Prisada and Lăcrămioara Popa
Int. J. Mol. Sci. 2026, 27(8), 3518; https://doi.org/10.3390/ijms27083518 - 15 Apr 2026
Viewed by 210
Abstract
Hydrocolloids are an extremely diverse and valuable group of materials, with various sources, properties and applications in many industries. Increasingly, naturally sourced colloids have gained the interest of the scientific world for their bio-availability, eco-friendliness and bio-degradability. This, coupled with emerging “green” extraction [...] Read more.
Hydrocolloids are an extremely diverse and valuable group of materials, with various sources, properties and applications in many industries. Increasingly, naturally sourced colloids have gained the interest of the scientific world for their bio-availability, eco-friendliness and bio-degradability. This, coupled with emerging “green” extraction methods and modifying techniques, opens a wide range of uses. Pectin is a well-known, natural and abundant biomaterial, a heterogeneous anionic polysaccharide with vast applications in the food and pharmaceutical industries. Traditionally used in the food sector as a gelling agent and thickener, it is considered safe for human consumption. Pectin has found new applications in the pharmaceutical and medical worlds due to its complex structure, and it provides variety in its properties. This paper brings together information about this polysaccharide’s genuine usefulness in the context of growing interest for naturally sourced polymers, the reduction in wasteful industrial practices and environmental protection. Full article
(This article belongs to the Special Issue Exploring New Field in Hydrocolloids Research and Applications)
Show Figures

Figure 1

19 pages, 4530 KB  
Article
Optimization of the Mechanical Isolation Process of Mucilage from Chia Seeds (Salvia hispanica L.): Physicochemical, Morphological, and Rheological Characterization
by Frida R. Cornejo-García, Ricardo M. González-Reza, Isela Rojas-Molina, Adriana Rojas-Molina, José L. Sánchez-Millán, Carlos T. Quirino-Barreda and Elsa Gutiérrez-Cortez
Polysaccharides 2026, 7(2), 45; https://doi.org/10.3390/polysaccharides7020045 - 11 Apr 2026
Viewed by 142
Abstract
This study aimed to evaluate how hydration temperature, rotational speed, and screw restriction influence the extraction efficiency, physicochemical characteristics, and monosaccharide composition of chia seed mucilage (CSM). Optimal extraction conditions (43.7 Hz, 100% screw restriction and 50 °C) yielded an extraction efficiency of [...] Read more.
This study aimed to evaluate how hydration temperature, rotational speed, and screw restriction influence the extraction efficiency, physicochemical characteristics, and monosaccharide composition of chia seed mucilage (CSM). Optimal extraction conditions (43.7 Hz, 100% screw restriction and 50 °C) yielded an extraction efficiency of 65.69% and a mucilage yield of 7.66%, producing a material with an average particle size of 15.28 μm, a ζ-potential of 9.7 mV, and weak-gel rheological behavior. Structural analyses confirmed the absence of insoluble fiber and revealed crystalline phases including MgO, Ca5P8, K2S, K4P6, and CaCO3, along with typical polysaccharide functional groups (–OH, –CH, C=O, COO, C–O). Moderate hydration temperature combined with controlled mechanical conditions favored the release of mucilage enriched in xylose, glucose, and arabinose, which are characteristic of seed coat polysaccharides. In contrast, minimal mechanical action or excessive seed disruption shifted the monosaccharide profile toward cell wall structural carbohydrates, indicating reduced mucilage purity. Elevated hydration temperature (75 °C) enhanced the solubilization of uronic acids and arabinose, suggesting increased extraction of acidic polysaccharide fractions associated with the seed coat matrix. These findings demonstrate that extraction parameters strongly determine CSM composition, structural integrity, and functional attributes. The results provide a basis for tailoring chia-derived polysaccharides for applications in hydrocolloid systems, bio-based materials, and functional polymer formulations. Full article
21 pages, 3329 KB  
Article
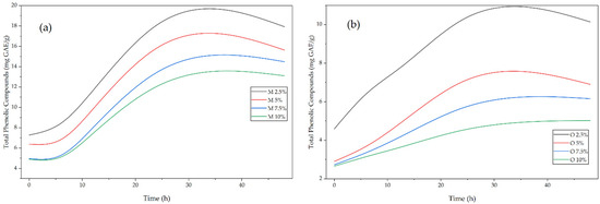
Flaxseed Hydrocolloid as a Natural Encapsulating Material for Spray-Dried Phenolic Compounds from Andean Tubers (Oxalis tuberosa and Tropaeolum tuberosum)
by Elibet Moscoso-Moscoso, Dianeth Buleje-Campos, Ronald Perez-Salcedo, David Muñoz-Huachuhuillca and Cristian V. Banda-Arias
Processes 2026, 14(7), 1136; https://doi.org/10.3390/pr14071136 - 1 Apr 2026
Viewed by 367
Abstract
The microencapsulation of plant bioactive compounds by spray drying enhances their stability and controlled delivery in food systems. In this study, flaxseed hydrocolloid (Linum usitatissimum L.) was evaluated as a natural wall material for encapsulating phenolic extracts from mashua (Tropaeolum tuberosum [...] Read more.
The microencapsulation of plant bioactive compounds by spray drying enhances their stability and controlled delivery in food systems. In this study, flaxseed hydrocolloid (Linum usitatissimum L.) was evaluated as a natural wall material for encapsulating phenolic extracts from mashua (Tropaeolum tuberosum Ruiz & Pav.) and oca (Oxalis tuberosa Molina). Microcapsules were produced using hydrocolloid concentrations of 2.5–10%. The resulting particles showed low moisture content (3.79–5.42%), low water activity (0.31–0.39), and high solubility (90.94–96.45%). Encapsulation efficiency ranged from 78.67 to 62.32% for mashua and from 71.94 to 40.45% for oca, decreasing with increasing wall material concentration. Phenolic content ranged from 14.48 to 11.47 mg GAE/g (mashua) and 8.52 to 4.82 mg GAE/g (oca), with antioxidant capacity between 293.19–143.77 and 84.49–10.33 µmol TE/g, respectively. Particle size ranged from 4.02–10.50 µm (mashua) and 3.93–4.82 µm (oca), and zeta potential values (−37.86 to −27.55 mV) indicated good colloidal stability. Release kinetics showed a biphasic profile and were predominantly diffusion-controlled. The Higuchi model showed significant diffusion (p < 0.05), while the Korsmeyer–Peppas analysis indicated mainly Fickian diffusion (n = 0.234–0.426) with anomalous transport at higher mashua concentrations. These results demonstrate that flaxseed hydrocolloid is an effective and sustainable wall material for controlled release of phenolic compounds from Andean tubers. Full article
Show Figures

Figure 1

21 pages, 1231 KB  
Review
The Interconnection Between 3D and 4D Printing and Rheology: From Extrusion and Nozzle Deposition to Final Product Functionality
by Thomas Goudoulas and Theodoros Varzakas
Processes 2026, 14(7), 1055; https://doi.org/10.3390/pr14071055 - 25 Mar 2026
Viewed by 653
Abstract
The successful application of 3D and 4D food printing is fundamentally governed by the rheology and microstructure of edible inks. These factors control every step, from extrusion and nozzle deposition to the final product functionality. This review systematically examines how formulation variables, including [...] Read more.
The successful application of 3D and 4D food printing is fundamentally governed by the rheology and microstructure of edible inks. These factors control every step, from extrusion and nozzle deposition to the final product functionality. This review systematically examines how formulation variables, including starch/protein composition, water content, and hydrocolloids, determine the network architecture and critical rheological properties, such as yield stress and viscoelasticity. These properties determine printing outcomes such as filament formation, stacking accuracy, and the stability of sensitive components. This review explores 4D printing as a “3D + 1D function,” where printed structures provide additional features over time, such as a controlled color change or bioactive release, while post-printing treatment often activates these features. Through case studies of novel inks, we show how interfacial chemistry and process parameters influence texture and stability. Finally, we discuss the application of rheological metrics for predicting printability and outline the critical need for developing multi-parameter, process-relevant printability indices to advance the field of digital food manufacturing. Full article
(This article belongs to the Special Issue Rheological Properties of Food Products)
Show Figures

Figure 1

16 pages, 8759 KB  
Article
Differential Effects of Commercial Food-Grade Carrageenan Preparations on DSS-Induced Colitis and Gut Microbiota in Mice
by Jiyu Nie, Danying Chen, Chengfeng Yu, Zengliang Jiang, Haibo Pan, Xingqian Ye and Shiguo Chen
Foods 2026, 15(7), 1131; https://doi.org/10.3390/foods15071131 - 25 Mar 2026
Viewed by 455
Abstract
Carrageenan (CGN) is widely used in processed foods and is typically supplied as a commercial preparation blended with other hydrocolloids to improve gelling properties, rather than as a single purified polymer. However, safety evaluations and mechanistic studies have largely focused on CGN in [...] Read more.
Carrageenan (CGN) is widely used in processed foods and is typically supplied as a commercial preparation blended with other hydrocolloids to improve gelling properties, rather than as a single purified polymer. However, safety evaluations and mechanistic studies have largely focused on CGN in isolation; as a result, the biological effects of commercial CGN preparations (CGNPs) under realistic exposure conditions are still insufficiently characterized. In this study, the structural characteristics of three commercial food-grade CGNPs intended for meat products, soft sweets, and jelly were investigated. Furthermore, their effects on colitis were assessed, along with their impacts on the gut microbiota and related metabolites. The results indicated that all three CGNPs were κ-type, but differed in monosaccharide composition and molecular weight, which may contribute to their biological differences. In vivo, the CGNP intended for soft sweets significantly reduced the disease activity index (n = 6/group, p < 0.05) and helped maintain colon length (n = 6/group, p < 0.05). This CGNP also markedly reduced the abundance of Escherichia-Shigella and Helicobacter, while increasing propionate levels (n = 6/group, p < 0.05). In contrast, CGNPs intended for meat products and jelly tended to exacerbate colitis and increased the abundance of Enterococcus, a genus associated with colitis. These findings reveal the application-specific biological effects of commercial food-grade CGNPs and provide a basis for optimizing the application of these preparations in the food industry. Full article
(This article belongs to the Section Food Nutrition)
Show Figures

Figure 1

18 pages, 3115 KB  
Article
Effects of Green Rice Husk Dietary Fiber and Hydrocolloids on the Physicochemical, Structural, Bioactive, and Sensory Properties of Gummy Products
by Tipaukson Chaikwang, Hua Li and Sirithon Siriamornpun
Foods 2026, 15(7), 1114; https://doi.org/10.3390/foods15071114 - 24 Mar 2026
Viewed by 348
Abstract
Green rice husk dietary fiber (GHDF) is an underutilized agricultural by-product with promising potential for applications in the food industry. This study investigated the effects of incorporating dietary fiber from GHDF at 1%, 3%, and 5% together with different hydrocolloids, including xanthan gum [...] Read more.
Green rice husk dietary fiber (GHDF) is an underutilized agricultural by-product with promising potential for applications in the food industry. This study investigated the effects of incorporating dietary fiber from GHDF at 1%, 3%, and 5% together with different hydrocolloids, including xanthan gum (XG), carrageenan (CC), and guar gum (GG), on the physical and chemical, textural properties, and consumer acceptance of gummy products. The results showed that adding more GHDF increased the nutritional value of the gummies, with total dietary fiber ranging from 1.01 to 5.02 g per 100 g of product. FTIR results also showed that fiber from green rice husk was present in the gummies. The combined addition of GHDF and hydrocolloids also affected the internal gel structure of the products. This interaction made the gel structure stronger, resulting in firmer gummies with greater hardness, gumminess, and chewiness. In addition, higher GHDF levels contributed to reduced syneresis. Among the hydrocolloids tested, xanthan gum produced the strongest gel, while the formulation with 3% GG received the highest consumer liking scores. These results suggest that GHDF could be used as a useful ingredient to develop food products with higher nutritional value and better use of agricultural by-products. Full article
Show Figures

Figure 1

20 pages, 2573 KB  
Article
Cassava (Manihot esculenta) Hydrocolloids as a Partial Egg Substitute in Sponge Cakes: Rheological, Physicochemical, and Sensory Evaluation
by Anabela Rodriguez-Mulett, Somaris E. Quintana and Luis A. García-Zapateiro
Polysaccharides 2026, 7(1), 36; https://doi.org/10.3390/polysaccharides7010036 - 20 Mar 2026
Viewed by 270
Abstract
The rising demand for sustainable and functional ingredients necessitates the development of novel replacers for traditional food components, such as eggs, which are critical for structure and aeration in baked goods. This study investigated hydrocolloids derived from cassava (Manihot esculenta) as [...] Read more.
The rising demand for sustainable and functional ingredients necessitates the development of novel replacers for traditional food components, such as eggs, which are critical for structure and aeration in baked goods. This study investigated hydrocolloids derived from cassava (Manihot esculenta) as a partial egg substitute in sponge cakes, evaluating their effect on rheological, physicochemical, nutritional, and sensory properties. The resulting cake batter exhibited characteristic non-Newtonian, pseudoplastic, and viscoelastic fluid behavior. A microstructural analysis confirmed that the stabilized, higher-viscosity doughs successfully facilitated the formation of larger, more stable air bubbles, effectively mimicking the structural role of the egg. Physicochemical assessments demonstrated a high product equivalence; the fat content showed no significant difference (p < 0.05) compared to the control, while pH and carbohydrate levels decreased. Crucially, the optimized formula, CK-S50-H2.5 (50% egg and 2.5% hydrocolloids substitutions), exhibited a minimal color difference (ΔE) consistent with the control, preserving product appearance. Sensory evaluation confirmed that hydrocolloid substitution did not compromise consumer acceptance. Panelists preferred cakes utilizing lower egg substitution levels for their enhanced flavor and texture. These findings establish that cassava hydrocolloids serve as an effective and functional partial egg replacer, yielding a high-quality and well-accepted product and offering a valuable, sustainable solution for the food industry. Full article
Show Figures

Figure 1

21 pages, 12282 KB  
Article
Exploring the Impact of Hyaluronic Acid Addition Order on the Structural Integrity and Quality of Myofibrillar Protein Gels
by Sahar Mehraban, Anna Stępień and Marzena Zając
Molecules 2026, 31(6), 923; https://doi.org/10.3390/molecules31060923 - 10 Mar 2026
Viewed by 300
Abstract
In this study, we investigated hyaluronic acid (HA) as a functional biopolymer for improving the processing performance of myofibrillar protein (MP) gels. Our focus was on the order of incorporation and concentration of HA as controllable process parameters, and their effects on water-holding [...] Read more.
In this study, we investigated hyaluronic acid (HA) as a functional biopolymer for improving the processing performance of myofibrillar protein (MP) gels. Our focus was on the order of incorporation and concentration of HA as controllable process parameters, and their effects on water-holding capacity, rheological behaviour, texture, colour and microstructure of MP gels. The experimental results demonstrated that HA promoted the formation of a denser and more homogeneous protein network, as confirmed by microstructural analysis and significantly enhanced water retention. From a mechanical perspective, HA incorporation decreased hardness and chewiness while increasing adhesiveness, thereby improving overall gel functionality. Importantly, the simultaneous dissolution of HA with meat and water produced superior outcomes compared to post-addition, highlighting the role of ingredient addition sequence as a relevant process design factor. The slight colour variations remained within acceptable quality limits. Our findings provide new insights into protein hydrocolloid interactions in gel systems and indicate how HA can be strategically integrated into processing operations to improve product yield, quality and consumer acceptance in the meat industry. Full article
(This article belongs to the Section Food Chemistry)
Show Figures

Figure 1

18 pages, 1804 KB  
Article
Co-Assembled Nanogels of Tannic Acid and Biocompatible Random Copolymers for Potential Ovalbumin Delivery
by Antiopi Vardaxi and Stergios Pispas
Macromol 2026, 6(1), 17; https://doi.org/10.3390/macromol6010017 - 10 Mar 2026
Viewed by 361
Abstract
This study investigates the efficacy of co-assembled, physically cross-linked nanocarriers comprising tannic acid (TA) and a P(DMAEMA-co-OEGMA) random/statistical double-hydrophilic copolymer for ovalbumin (OVA) encapsulation. TA-based nanocarriers, prepared at varying TA molar ratios (10% w/v and 20% w/v), exhibited [...] Read more.
This study investigates the efficacy of co-assembled, physically cross-linked nanocarriers comprising tannic acid (TA) and a P(DMAEMA-co-OEGMA) random/statistical double-hydrophilic copolymer for ovalbumin (OVA) encapsulation. TA-based nanocarriers, prepared at varying TA molar ratios (10% w/v and 20% w/v), exhibited nanoaggregates of different sizes, as revealed by dynamic light scattering, with Nanocarrier 1 system showing populations of 11 and 109 nm, while Nanocarrier 2 formed a single population of 75 nm in size. Notably, both colloidal systems demonstrated stability under thermal treatment and resilience to changes in salt concentrations higher than 0.15 M, but disassembly phenomena in basic media. Utilizing these nanocarriers for OVA loading via electrostatic interactions revealed strong positive charges (~30 mV) for all protein-loaded nanocarrier cases. In particular, they demonstrated sizes within the desired range (Rh = 96–118 nm) and considerable stability over 20 days and in the presence of serum proteins. Overall, this study underscores the importance of physical cross-linking as a viable strategy for the formation of tunable nanometric hydrocolloids for effective protein encapsulation, with significant implications for drug delivery systems. Full article
Show Figures

Figure 1

19 pages, 800 KB  
Review
Application of Probiotic Bacteria in Active Packaging for the Food Industry: Review
by Juniel Marques de Oliveira, Meirielly Jesus, Jairo Neves de Jesus Santos, Fernando Mata, Sepehrdad Dehghani, Joana Santos, Maria Caroline Figueirêdo Assis and Taila Veloso de Oliveira
Sci 2026, 8(3), 58; https://doi.org/10.3390/sci8030058 - 3 Mar 2026
Viewed by 1015
Abstract
The incorporation of probiotic bacteria into active packaging systems represents an innovative strategy to enhance food preservation while delivering health benefits to consumers. This review discusses the selection criteria for probiotic strains focusing on their resistance to environmental stressors, antimicrobial activity, and viability [...] Read more.
The incorporation of probiotic bacteria into active packaging systems represents an innovative strategy to enhance food preservation while delivering health benefits to consumers. This review discusses the selection criteria for probiotic strains focusing on their resistance to environmental stressors, antimicrobial activity, and viability in different food matrices and their integration into edible films and coatings. Polysaccharides, proteins, and hydrocolloids are widely used as biopolymeric matrices due to their biocompatibility and functional properties. The efficiency of probiotic packaging largely depends on three factors: the choice of strain, the encapsulation technique (such as spray drying, emulsification, or electrospinning), and the properties of the matrix material. These packaging systems demonstrate strong antimicrobial activity through multiple mechanisms, including bacteriocin production, competition for adhesion sites, and acidification. Applications in dairy, meat, fish, and fresh produce reveal the potential of these technologies to delay spoilage, reduce pathogenic microorganisms, inhibit lipid oxidation, and maintain nutritional and sensory qualities. Moreover, studies emphasize that combining probiotics with prebiotic compounds can improve both microbial stability and functional performance. Despite promising results, challenges remain regarding the industrial scalability and long-term stability of these systems under varied storage conditions. Future research should focus on optimizing formulation parameters, expanding applications across diverse food categories, and integrating smart packaging technologies. Altogether, probiotic-based edible packaging aligns with current demands for sustainable, health-oriented food solutions. Full article
Show Figures

Figure 1

24 pages, 923 KB  
Review
Advanced Wound Dressings in Postoperative Care: Monitoring Healing Outcomes Across Procedures—A Narrative Review
by Aleksander Joniec, Jedrzej Mikolajczyk, Seweryn Kaczara, Emma Mazul-Kulesza, Tomasz Fajferek and Barbara Pietrzyk
Appl. Sci. 2026, 16(5), 2316; https://doi.org/10.3390/app16052316 - 27 Feb 2026
Viewed by 793
Abstract
Surgical wound complications, particularly surgical site infection (SSI), remain common despite advances in perioperative care, and modern dressings—including emerging smart systems—are intended to optimize moisture balance, reduce bioburden, and support monitoring of healing. This narrative review, informed by PRISMA 2020, synthesized comparative clinical [...] Read more.
Surgical wound complications, particularly surgical site infection (SSI), remain common despite advances in perioperative care, and modern dressings—including emerging smart systems—are intended to optimize moisture balance, reduce bioburden, and support monitoring of healing. This narrative review, informed by PRISMA 2020, synthesized comparative clinical evidence on postoperative dressings across surgical specialties. PubMed and Embase were searched for peer-reviewed comparative human studies published in 2015–2025 involving adults undergoing surgery with primary closure or secondary intention healing. Outcomes included SSI, time to epithelialization/closure, scar outcomes, pain, peri-wound skin integrity, and dressing change frequency. Nine studies met the inclusion criteria across orthopedics, general and endocrine surgery, otolaryngology, maxillofacial surgery, and surgical oncology. In hip/knee arthroplasty, hydrofiber dressings were associated with lower SSI rates versus standard/absorbent dressings. A meta-analysis suggested that moist and silver-based dressings generally outperformed gauze, with ionic silver ranking highest for healing and metallic silver for SSI prevention, and hydrocolloids reduced dressing change frequency. Oxygen diffusion therapy improved scar outcomes after cervicotomy, and chitosan gel reduced synechiae after endoscopic sinus surgery. Evidence in oncologic surgery was inconclusive, and heterogeneity in interventions, endpoints, and follow-up limited pooling. Overall, advanced postoperative dressings may improve selected outcomes compared with traditional gauze, but effects appear procedure- and context-dependent; future studies should standardize outcomes, extend follow-up, and incorporate cost-effectiveness and patient-reported measures, alongside evaluation of sensor-enabled smart dressings. Full article
Show Figures

Figure 1

29 pages, 1599 KB  
Article
Adsorption in an Aqueous Multimetal System Using a Mineral–Biological Composite: A Kinetic and Isotherm Study
by David Choque-Quispe, Jorge W. Elias-Silupu, Ybar G. Palomino-Malpartida, Wildor Merardo Díaz Bazán, Yakov Felipe Carhuarupay-Molleda, Bryan Jefferson Abollaneda Altamirano, Arturo Rojas Benites, Carlos Eduardo Dueñas Valcarcel, Carmen Rosa Cárdenas Rosales and Edward Arostegui León
J. Compos. Sci. 2026, 10(3), 126; https://doi.org/10.3390/jcs10030126 - 26 Feb 2026
Viewed by 1000
Abstract
Anthropogenic activities generate waste that negatively impacts the environment, especially water resources, due to the accumulation of heavy metal ions. Several adsorption methods have been developed, including the use of natural materials such as algae and activated clay. This study aimed to evaluate [...] Read more.
Anthropogenic activities generate waste that negatively impacts the environment, especially water resources, due to the accumulation of heavy metal ions. Several adsorption methods have been developed, including the use of natural materials such as algae and activated clay. This study aimed to evaluate the effect of pH on batch adsorption of heavy metal ions using Nostoc sphaericum hydrocolloid (HA)/activated nanoclay (NR) composites. The NR/HMB-HA and NR/HUT-HA composites were prepared with a 2:8 mass ratio of HA and NR, using types of clay with code HMB and HUT, previously activated with 1 M NaCl and acid treatment. The adsorption capacity was evaluated using batch tests at pH 4.5 and 5.5, analyzing the removal percentage, adsorption kinetics, adsorption isotherms, and regeneration cycles for unimetal and multimetal systems. The composites present a load point close to 5.1. The FTIR analysis showed changes in the intensity of functional groups following adsorption, confirming the interaction with metallic ions. Both composites showed high affinity in multimetallic systems, especially at pH 5.5, with high selectivity for Pb2+ (≈99% removal), followed by As, Cd, and Zn, from an initial concentration of 10 ppm for each metal ion. Equilibrium is reached in approximately 90 min, allowing adsorption of up to 69.9% after five regeneration cycles in a multimetal system. The kinetic study showed that multimetal absorption at equilibrium is governed by chemisorption processes in the order Pb > As > Zn > Cd, with qe values between 0.392 and 0.058 mmol/g and diffusivity from 15.506 × 1011 to 1.692 × 1011 m2/s. Likewise, the isotherms study indicated a favorable process with maximum adsorption (qmax) between 16.696 and 5.223 mmol/g at pH 5.5. Altogether, the developed composites show high potential for the removal of heavy metals in contaminated waters, in addition to their high reuse capacity. Full article
(This article belongs to the Special Issue Composite Materials in Water Treatment Applications)
Show Figures

Figure 1

10 pages, 1244 KB  
Proceeding Paper
Formulation Strategies for Mayonnaise-Type Sauces: The Role of Hydrocolloid Combinations
by Anastasiia Sachko and Oksana Sema
Eng. Proc. 2026, 124(1), 46; https://doi.org/10.3390/engproc2026124046 - 18 Feb 2026
Viewed by 318
Abstract
The aim of this study was to investigate the substitution of egg yolk in mayonnaise-type sauces with alternative protein components and to optimize the hydrocolloid composition for improved stability and rheological properties. Mustard powder (1%), soybean flour (1%), casein (2%), and cream powder [...] Read more.
The aim of this study was to investigate the substitution of egg yolk in mayonnaise-type sauces with alternative protein components and to optimize the hydrocolloid composition for improved stability and rheological properties. Mustard powder (1%), soybean flour (1%), casein (2%), and cream powder (1%) blends were employed as emulsifiers. The influence of the ratio of potato starch, carboxymethylcellulose (CMC), pectin, and xanthan gum (0–1% each) on the properties of low-fat mayonnaise formulations with 30% oil content was examined. Sedimentation and thermal stability tests revealed high resistance of all samples (98–99%) after 24 h of storage. Optical microscopy confirmed a homogeneous structure with individual dispersed particles of 100–150 μm corresponding to plant protein inclusions. The particle size distribution D [3,4] exhibited a bimodal profile with peaks at 0.1–1 μm and 2–8 μm, indicating efficient homogenization. Storage experiments demonstrated an increase in particle size by 1.4–1.6 times and a decrease in viscosity, likely due to flocculation and aggregation of polysaccharide clusters into larger agglomerates. Among the tested formulations, the sample containing 0.3% CMC, 0.3% xanthan gum, and 0.4% pectin showed the most favorable physicochemical and sensory properties, highlighting the synergistic effect of hydrocolloid blends in stabilizing reduced-fat mayonnaise-type emulsions. Full article
(This article belongs to the Proceedings of The 6th International Electronic Conference on Applied Sciences)
Show Figures

Figure 1

34 pages, 2216 KB  
Review
Hydrocolloid–Nanomaterial Composite Films: Preservation Performance, Preparation Method and Sustainable Development
by Lin Meng, Cheng Peng, Linling Li, Yingtang Lu and Hua Cheng
Foods 2026, 15(4), 685; https://doi.org/10.3390/foods15040685 - 13 Feb 2026
Viewed by 555
Abstract
Traditional plastic preservation films face significant environmental challenges due to their non-degradable nature and limited functional versatility. In contrast, hydrocolloid–nanomaterial composite films—which integrate biopolymer matrices (e.g., cellulose, chitosan, alginate and gelatin) with nanoparticles such as SiO2, Se, TiO2, or [...] Read more.
Traditional plastic preservation films face significant environmental challenges due to their non-degradable nature and limited functional versatility. In contrast, hydrocolloid–nanomaterial composite films—which integrate biopolymer matrices (e.g., cellulose, chitosan, alginate and gelatin) with nanoparticles such as SiO2, Se, TiO2, or ZnO—have emerged as a prominent research focus. These composite films preserve the inherent biodegradability and biocompatibility of hydrocolloids, while the nanomaterials, when stably dispersed, enhance interfacial interactions through electrostatic forces, hydrogen-bonding, or coordination bonds. This synergy endows the films with multifunctional properties, including antimicrobial activity, antioxidant capacity, UV-shielding performance, and stimuli-responsive intelligence. Prepared via techniques like electrospinning, solution casting, reactive extrusion, and coating, they exhibit excellent mechanical strength, barrier properties, and multifunctionality, effectively extending the shelf life of fruits, vegetables, meats, etc. However, challenges remain: nanomaterial dispersion, migration risks, and scalable production. This review summarizes recent advances to guide green preparation optimization, balance performance and safety, and advance sustainable development in food packaging. Full article
(This article belongs to the Special Issue Advanced Research on Intelligent Food Packaging)
Show Figures

Graphical abstract

26 pages, 2053 KB  
Article
Physicochemical and Functional Characterization of Cucumis sativus L. (Poona Kheera) Mucilage and Its Application as a Coating to Inhibit Enzymatic Browning in Fresh-Cut Apples
by Madhu Sharma, Aarti Bains, B Hanumanth Gowda, Kandi Sridhar, Baskaran Stephen Inbaraj, Prince Chawla and Minaxi Sharma
Foods 2026, 15(4), 657; https://doi.org/10.3390/foods15040657 - 11 Feb 2026
Viewed by 493
Abstract
Enzymatic browning is a major challenge in maintaining the quality and shelf life of fresh-cut fruits, and in this context, plant-derived hydrocolloids are increasingly recognized as sustainable alternatives to synthetic additives due to their ability to retard browning while supporting quality retention. Therefore, [...] Read more.
Enzymatic browning is a major challenge in maintaining the quality and shelf life of fresh-cut fruits, and in this context, plant-derived hydrocolloids are increasingly recognized as sustainable alternatives to synthetic additives due to their ability to retard browning while supporting quality retention. Therefore, in the present study, Cucumis sativus L. mucilage was extracted using microwave irradiation, yielding 24.56% freeze-dried irregular particles with an average size of 194.5 nm and −19.8 mV zeta potential. Various characterization techniques confirmed the amorphous structure and the presence of polysaccharides functional group. The mucilage was primarily composed of glucose (32.27%), along with arabinose, galactose, xylose, mannose, rhamnose, and minor uronic acids, reflecting a glucose-rich heteropolysaccharide. Functionally, the mucilage exhibited notable water retention (8.46 g/g), oil retention (3.21 g/g), foaming capacity (52.13%) with stability (30.46%), emulsifying capacity (90.45%) with stability (91.62%), and solubility (90.14%). Antioxidant assays revealed strong ferric reducing power (5.1 mM FeSO4 at 10 mg/mL), DPPH scavenging (67.50%; IC50 = 1.798 mg/mL), and ABTS scavenging (60.14%, IC50 = 8.038 mg/mL). Anti-inflammatory evaluation indicated enhanced macrophage viability (1.38-fold at 25 mg/mL) with reduced nitric oxide production, while tyrosinase inhibition reached 60.40% (monophenolase) and 68.50% (diphenolase) at 2 mg/mL. Furthermore, when applied as an edible coating on fresh-cut apple slices, Cucumis sativus L. mucilage effectively delayed enzymatic browning in a dose-dependent manner, with 2 mg/mL maintaining apple slice brightness (L* value; 71.08) and minimizing color change (ΔE = 4.54). Overall, these findings highlight Cucumis sativus L. mucilage as a multifunctional biopolymer with promising applications in food systems and edible coatings. Full article
Show Figures

Figure 1

Back to TopTop