Microstructure Analysis and Quality Evaluation of Jujube Slices Dried by Hot Air Combined with Radio Frequency Heat Treatment at Different Drying Stages
Abstract
1. Introduction
2. Materials and Methods
2.1. Sample Preparation
2.2. Drying Method
2.3. Drying Rate Calculation
2.4. Moisture Ratio Calculation
2.5. Microstructure Analyses
2.6. Moisture Absorption Rate Analysis
2.7. Ascorbic Acid Analysis
2.8. Color Measurement
2.9. Statistical Analysis
3. Results and Discussion
3.1. Drying Stage Division
3.2. Microstructure Analysis Results
3.3. Moisture Absorption Rate Analysis Results
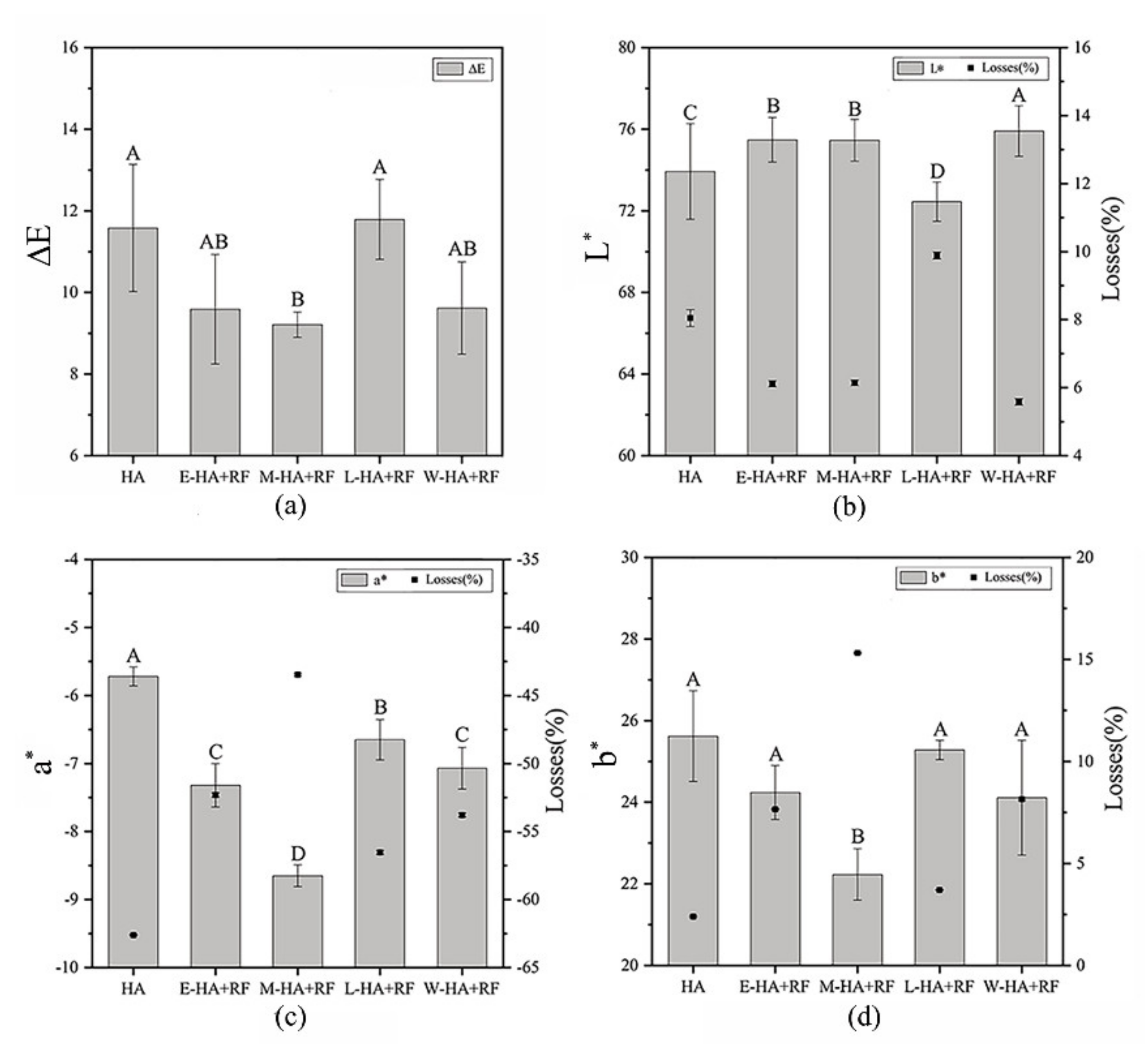
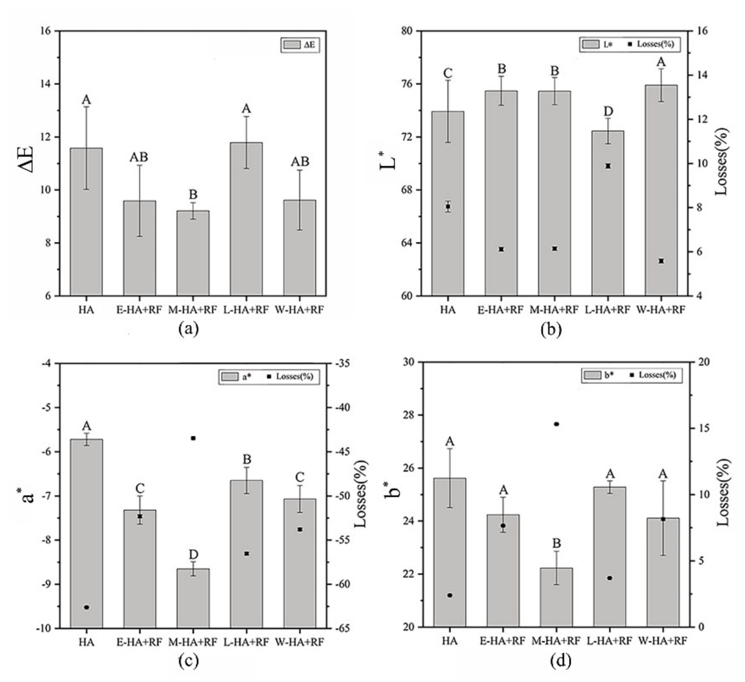
3.4. Color Analysis
3.5. Ascorbic Acid Analysis Results
4. Conclusions
Author Contributions
Funding
Institutional Review Board Statement
Informed Consent Statement
Data Availability Statement
Conflicts of Interest
References
- Department of Comprehensive Statistics of the National Economy. Fruit and nut production in various regions, prefectures and cities. Stat. Bur. Xinjiang Uygur Auton. Reg. 2022, 2, 12–22. [Google Scholar]
- He, W.; Zhao, D.; Fan, Y.; Wang, C.; Liu, Z. Comparison of the Nutrient Quality, Stable lsotope and Multi-Element Characteristics of Xinjiang Jujube for Origin Traceability. J. Nucl. Agric. Sci. 2021, 5, 1099–1112. [Google Scholar]
- Ma, B.; Li, C.; Wu, Q.; Li, B.; Ren, S. Application and Development of HotAir Drying Technology in Agricultural. Xinjiang Agric. Mech. 2020, 5, 30–34. [Google Scholar] [CrossRef]
- Suna, S. Effects of hot air, microwave and vacuum drying on drying characteristics and in vitro bioaccessibility of medlar fruit leather (pestil). Food Sci. Biotechnol. 2019, 5, 1465–1474. [Google Scholar] [CrossRef] [PubMed]
- Li, L.; Zhang, M.; Zhou, L. A promising pulse-spouted microwave freeze drying method used for Chinese yam cubes dehydration: Quality, energy consumption, and uniformity. Dry. Technol. 2021, 39, 148–161. [Google Scholar] [CrossRef]
- Windi, D.; Tang, Y.; Jing, P.; Liao, M.; Jiao, S. Study on Hot Air-Assisted Radio Frequency Drying Technology of Rough Rice and Associated Quality. Fresh Keep. Process. 2021, 9, 79–86. [Google Scholar]
- Wang, D.; Jiang, C.; Liao, M.; Xu, Y.; Jiao, S. Effects of Hot Air-assisted Radio Frequency Roasting on Quality and Flavor of Sunflower Seeds. Agric. Process. 2017, 22, 9–12, 15. [Google Scholar] [CrossRef]
- Liu, J.; Peng, M.; Yang, X.; Lei, Y.; Huang, X.; Wang, J. Effects of radio frequency pretreatment on hot air drying characteristics and nutrients of apricot. Food Ferment. Ind. 2019, 3, 176–182. [Google Scholar] [CrossRef]
- Chen, L.; Subbiah, J.; Jones, D.; Zhao, Y.Y.; June, J. Development of Effective Drying Strategy with a Combination of Radio Frequency (RF) and Convective Hot-Air Drying for Inshell Hazelnuts and Enhancement of Nut Quality. Innov. Food Sci. Emerg. Technol. 2021, 67, 102555. [Google Scholar] [CrossRef]
- Song, S.J.; Huang, X.; Liu, Y.F.; Zhang, Q.A. Drying characteristics and quality analysis of hot air-assisted radio frequency and hot-air drying of jujube (Zizyphus jujube Miller cv. Jinsixiaozao). Eng. Agrícola 2022, 4430, 7–15. [Google Scholar] [CrossRef]
- Chen, D.; Xing, B.; Yi, H.; Li, Y.; Zheng, B.; Wang, Y.; Shao, Q. Effects of different drying methods on appearance, microstructure, bioactive compounds and aroma compounds of saffron (Crocus sativus L.). LWT 2020, 120, 108913. [Google Scholar] [CrossRef]
- Monteiro, R.L.; Link, J.V.; Tribuzi, G.; Carciofi, B.A.M.; Laurindo, J.B. Effect of multi-flash drying and microwave vacuum drying on the microstructure and texture of pumpkin slices. LWT 2018, 96, 612–619. [Google Scholar] [CrossRef]
- Wang, X.; Gao, Y.; Zhao, Y.; Li, X.; Fan, J.; Wang, L. Effect of different drying methods on the quality and microstructure of fresh jujube crisp slices. J. Food Process. Preserv. 2021, 45, 1–9. [Google Scholar] [CrossRef]
- Ngamwonglumlert, L.; Devahastin, S. Microstructure and its relationship with quality and storage stability of dried foods. In Food Microstructure and Its Relationship with Quality and Stability; Elsevier Ltd.: Amsterdam, The Netherlands, 2017. [Google Scholar] [CrossRef]
- Yao, L.; Fan, L.; Duan, Z. Effect of different pretreatments followed by hot-air and far-infrared drying on the bioactive compounds, physicochemical property and microstructure of mango slices. Food Chem. 2020, 305, 125477. [Google Scholar] [CrossRef] [PubMed]
- Quispe-Fuentes, I.; Vega-Gálvez, A.; Aranda, M.; Poblete, J.; Pasten, A.; Bilbao-Sainz, C.; Wood, D.; McHugh, T.; Delporte, C. Effects of drying processes on composition, microstructure and health aspects from maqui berries. J. Food Sci. Technol. 2020, 57, 2241–2250. [Google Scholar] [CrossRef] [PubMed]
- Izli, N.; Polat, A. Effect of convective and microwave methods on drying characteristics, color, rehydration and microstructure properties of ginger. Food Sci. Technol. 2019, 39, 652–659. [Google Scholar] [CrossRef]
- Kamal, T.; Song, Y.; Tan, Z.; Zhu, B.; Tan, M. Effect of hot-air oven dehydration process on water dynamics and microstructure of apple (Fuji) cultivar slices assessed by LF-NMR and MRI. Dry. Technol. 2019, 37, 1974–1987. [Google Scholar] [CrossRef]
- Liu, Y.; Sun, C.; Lei, Y.; Yu, H.; Xi, H.; Duan, X. Contact ultrasound strengthenedfar-infrared radiation drying on pear slices: Effects on drying characteristics, microstructure, and quality attributes. Dry. Technol. 2019, 37, 745–758. [Google Scholar] [CrossRef]
- Zhang, L.; Qiao, Y.; Wang, C.; Liao, L.; Liu, L.; Shi, D.; An, K.; Hu, J.; Xu, Q. Effects of freeze vacuum drying combined with hot air drying on the sensory quality, active components, moisture mobility, odors, and microstructure of kiwifruits. J. Food Qual. 2019, 2019, 8709343. [Google Scholar] [CrossRef]
- Wu, B.; Guo, X.; Guo, Y.; Ma, H.; Zhou, C. Enhancing jackfruit infrared drying by combining ultrasound treatments: Effect on drying characteristics, quality properties and microstructure. Food Chem. 2021, 358, 129845. [Google Scholar] [CrossRef]
- Kumar, P.S.; Nambi, E.; Shiva, K.N.; Vaganan, M.M.; Ravi, I.; Jeyabaskaran, K.J.; Uma, S. Thin layer drying kinetics of Banana var. Monthan (ABB): Influence of convective drying on nutritional quality, microstructure, thermal properties, color, and sensory characteristics. J. Food Process Eng. 2019, 42, 1–12. [Google Scholar] [CrossRef]
- Shi, X.; Yang, Y.; Li, Z.; Wang, X.; Liu, Y. Moisture transfer and microstructure change of banana slices during contact ultrasound strengthened far-infrared radiation drying. Innov. Food Sci. Emerg. Technol. 2020, 66, 102537. [Google Scholar] [CrossRef]
- Su, D.; Lv, W.; Wang, Y.; Wang, L.; Li, D. Influence of microwave hot-air flow rolling dry-blanching on microstructure, water migration and quality of pleurotus eryngii during hot-air drying. Food Control 2020, 114, 107228. [Google Scholar] [CrossRef]
- Chen, A.; EL Achkar, G.; Liu, B.; Bennacer, R. Experimental study on moisture kinetics and microstructure evolution in apples during high power microwave drying process. J. Food Eng. 2021, 292, 110362. [Google Scholar] [CrossRef]
- Pirce, F.; Vieira, T.M.F.S.; Augusto-Obara, T.R.; Alencar, S.M.; Romero, F.; Scheuermann, E. Effects of convective drying assisted by ultrasound and osmotic solution on polyphenol, antioxidant and microstructure of murtilla (Ugni molinae Turcz) fruit. J. Food Sci. Technol. 2021, 58, 138–146. [Google Scholar] [CrossRef]
- Dai, J.; Rao, J.; Wang, D.; Xie, L.; Xiao, H.; Liu, Y.; Gao, Z.J. Process-Based Drying Temperature and Humidity Integration Control Enhances Drying Kinetics of Apricot Halves. Dry. Technol. 2015, 33, 365–376. [Google Scholar] [CrossRef]
- Fernandes, F.A.N.; Gallão, M.I.; Rodrigues, S. Effect of osmosis and ultrasound on pineapple cell tissue structure during dehydration. J. Food Eng. 2009, 90, 186–190. [Google Scholar] [CrossRef]
- Wang, H.; Liu, Z.; Vidyarthi, S.K.; Wang, Q.; Gao, L.; Li, B.; Wei, Q.; Liu, Y.; Xiao, H. Effects of different drying methods on drying kinetics, physicochemical properties, microstructure, and energy consumption of potato (Solanum tuberosum L.) cubes. Dry. Technol. 2020, 39, 418–431. [Google Scholar] [CrossRef]
- Xie, L.; Zheng, Z.; Mujumdar, A.S.; Fang, X.; Wang, J.; Zhang, Q.; Ma, Q.; Xiao, H.; Liu, Y.; Gao, Z. Pulsed vacuum drying (PVD) of wolfberry: Drying kinetics and quality attributes. Dry. Technol. 2018, 36, 1501–1514. [Google Scholar] [CrossRef]
- Song, S.; Wu, X.; Cheng, Q.; Zhang, M.; Hu, X. Comparison of Halogen Analyzer Method and Oven Method for Determining the Moisture Content of Different Foods. Mod. Food 2021, 1, 171–173, 180. [Google Scholar] [CrossRef]
- Wojdylo, A.; Figiel, A.; Lech, K.; Nowicka, P.; Oszmianski, J. Effect of convective and vacuum–microwave drying on the bioactive compounds, color, and antioxidant capacity of sour cherries. Food Bioprocess Technol. 2014, 7, 829–841. [Google Scholar] [CrossRef]
- Calin-Sanchez, A.; Figiel, A.; Wojdyto, A.; Szarycz, M.; Carbonell-Barrachina, A.A. Drying of garlic slices using convective pre-drying and vacuum-microwave finishing drying: Kinetics, energy consumption, and quality studies. Food Bioprocess Technol. 2014, 7, 398–408. [Google Scholar] [CrossRef]
- Li, H.; Li, J.; Zheng, J.; Ling, B.; Wang, S. Recent Advances on Application of Radio Frequency Heating in the Research of Post-Harvest Grain Storage and Processing. Smart Agric. 2021, 4, 1–13. [Google Scholar]
- Polat, A.; Izli, N. Drying characteristics and quality evaluation of ‘Ankara’ pear dried by electrohydrodynamic-hot air (EHD) method. Food Control. 2022, 134, 108774. [Google Scholar] [CrossRef]
- Zhang, C.Y.; Hu, C.C.; Sun, Y.N.; Zhang, X.Y.; Wang, Y.Q.; Fu, H.F.; Chen, X.W.; Wang, Y.Y. Blanching effects of radio frequency heating on enzyme inactivation, physiochemical properties of green peas (Pisum sativum L.) and the underlying mechanism in relation to cellular microstructure. Food Chem. 2021, 345, 128756. [Google Scholar] [CrossRef] [PubMed]
- Azam, S.M.R.; Zhang, M.; Arun, S.M.; Wang, Y.C. A Comparative Study of Four Drying Methods on Drying Time and Quality Characteristics of Stem Lettuce Slices (Lactuca sativa L.). Dry. Technol. 2014, 32, 657–666. [Google Scholar] [CrossRef]
- Niu, Y.B.; Yao, X.D.; Xiao, H.W.; Wang, D.D.; Zheng, X.; Wang, Q.; Zhu, R.G.; Zang, Y.Z.; Liu, H. Effect of RF heat treatment on texture and microstructure of hot-dried jujube slices. Trans. Chin. Soc. Agric. Eng. 2022, 38, 296–306. [Google Scholar]
- Yang, J. Experimental Study on Microstructure Changes of Fruits and Vegetables during Drying. Master’s Thesis, Shaanxi University of Science and Technology, Xi’an, China, 2020. Available online: https://kns.cnki.net/KCMS/detail/detail.aspx?dbname=CMFD202101filename=1020079489.nh (accessed on 16 January 2021).
- Yang, L.; Wang, J.; Ma, H. Effect of Ethylene on the Degradation of Apple Cell Wall. Acta Bot. Boreali-Occident. Sin. 2009, 2, 320–326. [Google Scholar]
- Dai, J.; Yang, S.L.; Wang, J.; Weng, M.; Fu, Q.; Huang, H. Effect of Microwave Vacuum Drying Conditions on Drying Characteristics and Texture Structure of Banana Chips. Trans. Chin. Soc. Agric. Mach. 2020, S1, 493–500. [Google Scholar]
- Meng, F.; Huang, D.; Zheng, X.; Chen, X.; Tang, P.; Lin, M. Ultrasound pretreatment on quality of pitaya before hot air drying. Food Ferment. Ind. 2021, 13, 205–209. [Google Scholar] [CrossRef]
- Roberto Thewes, F.; Both, V.; Brackmann, A.; Rodrigo Thewes, F.; Junior Soldateli, F.; Roberto Pasquetti Berghetti, M.; Ludwig, V.; Mallmann Wendt, L.; Ribas Schiefelbein, H. Dynamic and static drying temperatures for ‘Barton’ pecans: Impacts on the volatile compounds profile and kernel color. LWT 2020, 161, 113393. [Google Scholar] [CrossRef]
- Marfil, P.H.M.; Santos, E.M.; Telis, V.R.N. Ascorbic acid degra- dation kinetics in tomatoes at different drying conditions. LWT—Food Sci. Technol. 2008, 41, 1642–1647. [Google Scholar] [CrossRef]
- Ouyang, M.; Cao, S.; Huang, Y.; Wang, Y. Phenolics and ascorbic acid in pumpkin (Cucurbita maxima) slices: Effects of hot air drying and degradation kinetics. J. Food Meas. Charact. 2021, 15, 247–255. [Google Scholar] [CrossRef]
- Akar, G.; Barutçu Mazı, I. Color change, ascorbic acid degradation kinetics, and rehydration behavior of kiwifruit as affected by different drying methods. J. Food Process Eng. 2019, 42, 1–16. [Google Scholar] [CrossRef]
- Chin, S.K.; Siew, E.S.; Soon, W.L. Drying characteristics and quality evaluation of kiwi slices under hot air natural convective drying method. Int. Food Res. J. 2015, 22, 2188–2195. [Google Scholar]
- Yin, j.; Gong, C.; Tang, Y.; Jing, p.; Jiao, S. Mathematical modeling of vitamin C thermal degradation kinetics in carrot cubes during hot air-assisted radio frequency drying. J. Food Saf. Qual. 2021, 4, 1357–1361. [Google Scholar] [CrossRef]









| Groups | Times | Mean Value | Standard Deviation | Standard Error | 95% Confidence Interval | Minimum | Maximum | |
|---|---|---|---|---|---|---|---|---|
| Lower Limit | Upper Limit | |||||||
| HA | 3 | 233.53 e | 2.95 | 1.70 | 226.20 | 240.85 | 230.21 | 235.85 |
| E-HA + RF | 3 | 269.01 b | 1.18 | 0.68 | 266.08 | 271.94 | 268.30 | 270.37 |
| M-HA + RF | 3 | 285.06 a | 1.31 | 0.75 | 281.81 | 288.30 | 283.55 | 285.88 |
| L-HA + RF | 3 | 243.90 d | 1.16 | 0.67 | 241.01 | 246.78 | 243.01 | 245.21 |
| W-HA + RF | 3 | 255.64 c | 0.44 | 0.25 | 254.56 | 256.73 | 255.14 | 255.90 |
| Total | 15 | 257.43 | 18.88 | 4.88 | 246.97 | 267.88 | 230.21 | 285.88 |
| Group | N | 1 | 2 | 3 | 4 | 5 |
|---|---|---|---|---|---|---|
| HA | 3 | 233.53 e | ||||
| L-HA + RF | 3 | 243.90 d | ||||
| W-HA + RF | 3 | 255.64 c | ||||
| E-HA + RF | 3 | 269.01 b | ||||
| M-HA + RF | 3 | 285.06 a | ||||
| Sig. | 1.00 | 1.00 | 1.00 | 1.00 | 1.00 |
Publisher’s Note: MDPI stays neutral with regard to jurisdictional claims in published maps and institutional affiliations. |
© 2022 by the authors. Licensee MDPI, Basel, Switzerland. This article is an open access article distributed under the terms and conditions of the Creative Commons Attribution (CC BY) license (https://creativecommons.org/licenses/by/4.0/).
Share and Cite
Yao, X.; Zang, Y.; Gu, J.; Ding, H.; Niu, Y.; Zheng, X.; Zhu, R.; Wang, Q. Microstructure Analysis and Quality Evaluation of Jujube Slices Dried by Hot Air Combined with Radio Frequency Heat Treatment at Different Drying Stages. Foods 2022, 11, 3086. https://doi.org/10.3390/foods11193086
Yao X, Zang Y, Gu J, Ding H, Niu Y, Zheng X, Zhu R, Wang Q. Microstructure Analysis and Quality Evaluation of Jujube Slices Dried by Hot Air Combined with Radio Frequency Heat Treatment at Different Drying Stages. Foods. 2022; 11(19):3086. https://doi.org/10.3390/foods11193086
Chicago/Turabian StyleYao, Xuedong, Yongzhen Zang, Jiangwei Gu, Haiyang Ding, Yubao Niu, Xia Zheng, Rongguang Zhu, and Qiang Wang. 2022. "Microstructure Analysis and Quality Evaluation of Jujube Slices Dried by Hot Air Combined with Radio Frequency Heat Treatment at Different Drying Stages" Foods 11, no. 19: 3086. https://doi.org/10.3390/foods11193086
APA StyleYao, X., Zang, Y., Gu, J., Ding, H., Niu, Y., Zheng, X., Zhu, R., & Wang, Q. (2022). Microstructure Analysis and Quality Evaluation of Jujube Slices Dried by Hot Air Combined with Radio Frequency Heat Treatment at Different Drying Stages. Foods, 11(19), 3086. https://doi.org/10.3390/foods11193086
