Formation of Starch–Lipid Complexes during the Deep-Frying Process and Its Effects on Lipid Oxidation
Abstract
1. Introduction
2. Materials and Methods
2.1. Materials
2.2. Preparation of Deep-Fried Starch Samples
2.3. Determination of Amylose Content
2.4. Analysis of Thermodynamic Properties
2.5. Analysis of Pasting Properties
2.6. X-ray Diffraction (XRD) Analysis
2.7. Fourier Transform Infrared (FTIR) Analysis
2.8. In Vitro Digestibility
2.9. Determination of Oxidative Stability
2.10. Data Analysis
3. Results and Discussion
3.1. Determination of Amylose Content
3.2. Analysis of Thermodynamic Properties
3.3. Analysis of Pasting Properties
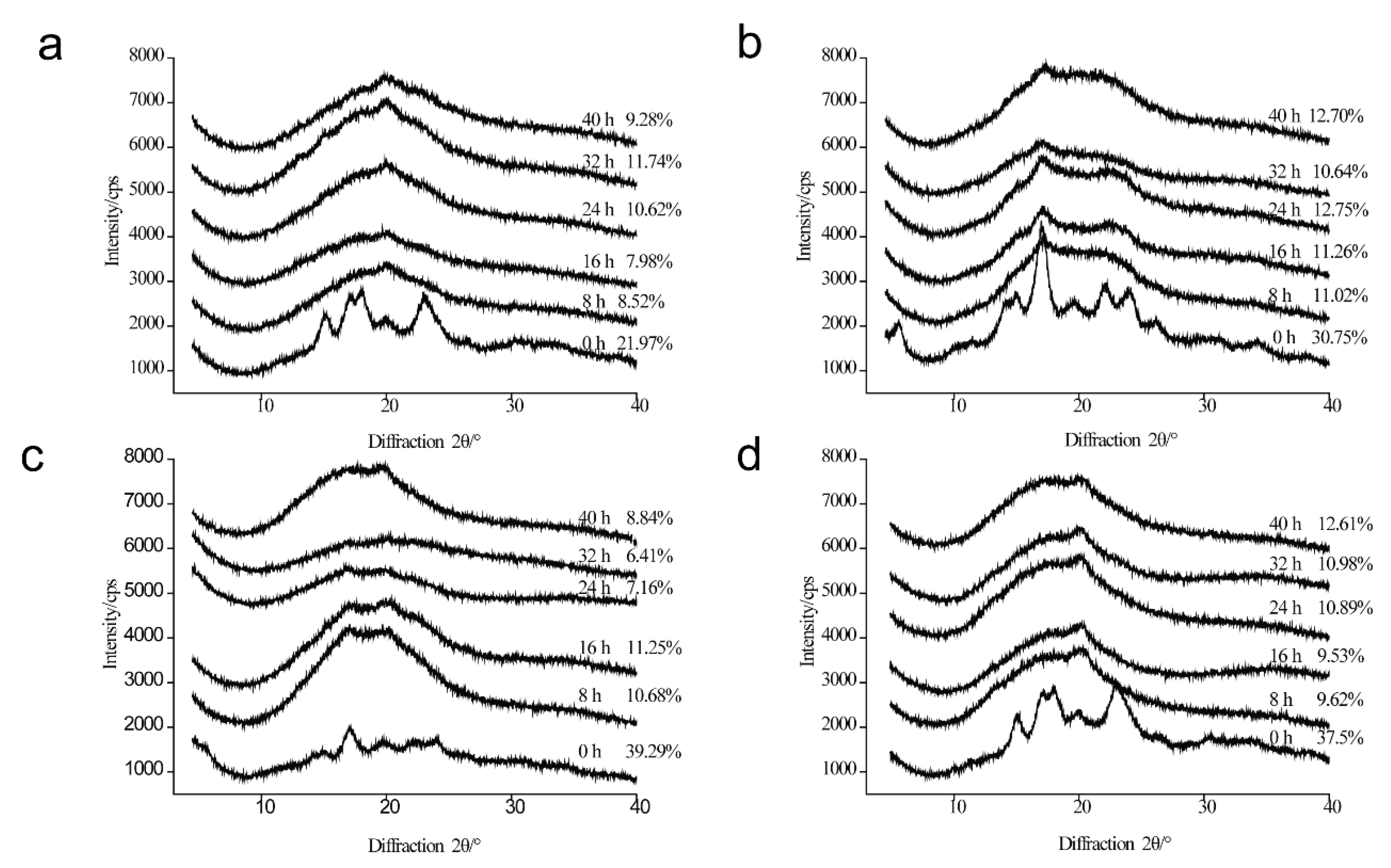
3.4. Analysis of XRD
3.5. Analysis of FTIR
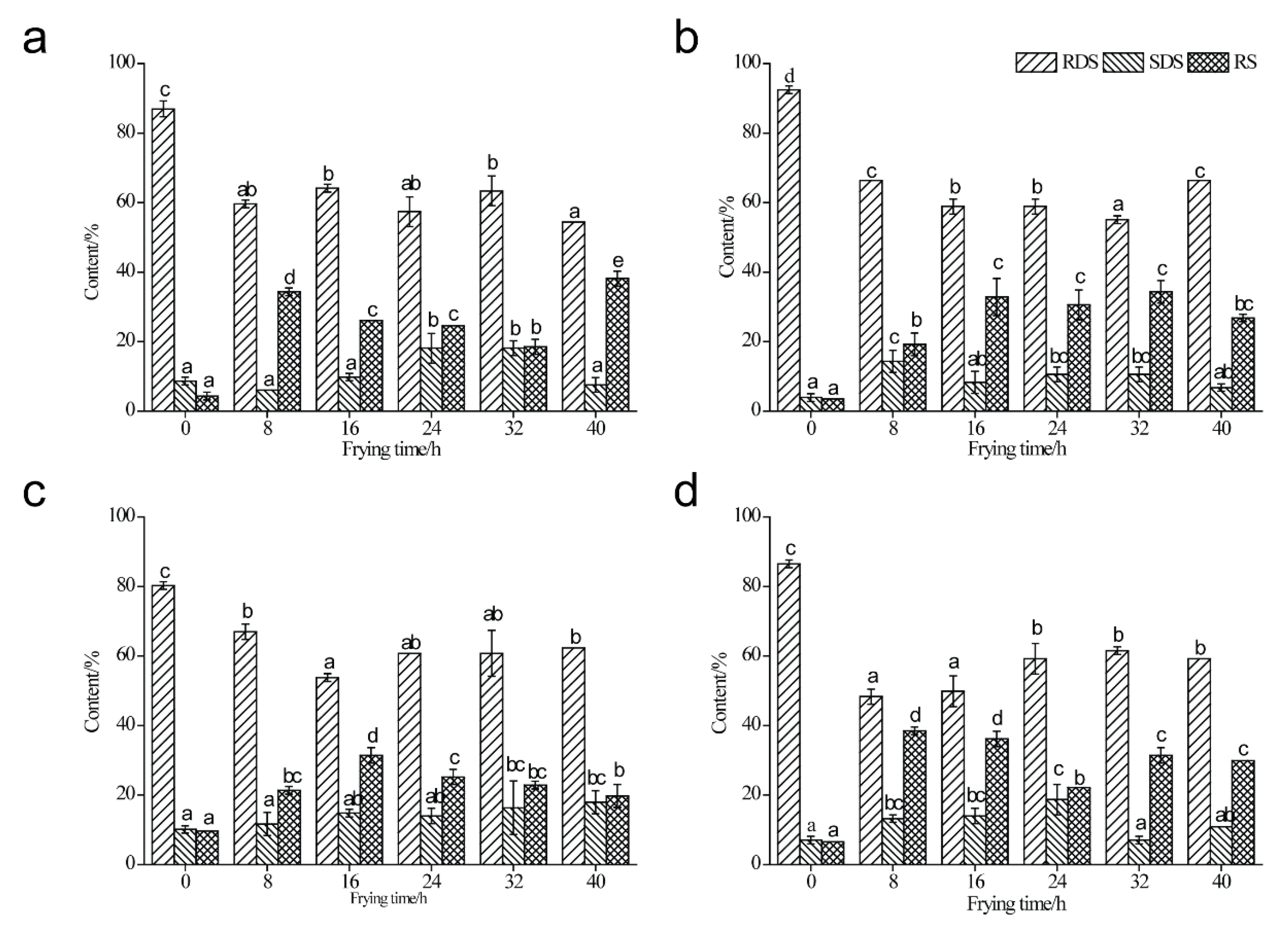
3.6. Analysis of In Vitro Digestibility
3.7. Analysis of Oxidative Stability of Deep-Frying Oil
4. Conclusions
Supplementary Materials
Author Contributions
Funding
Data Availability Statement
Conflicts of Interest
References
- Song, J.; Kim, M.J.; Kim, Y.J.; Lee, J. Monitoring changes in acid value, total polar material, and antioxidant capacity of oils used for frying chicken. Food Chem. 2017, 220, 306–312. [Google Scholar] [CrossRef] [PubMed]
- Choe, E.; Min, D.B. Chemistry of deep-fat frying oils. J. Food Sci. 2007, 72, 77–86. [Google Scholar] [CrossRef]
- Ahmadi-Abhari, S.; Woortman, A.J.; Hamer, R.J.; Loos, K. Assessment of the influence of amylose-LPC complexation on the extent of wheat starch digestibility by size-exclusion chromatography. Food Chem. 2013, 141, 4318–4323. [Google Scholar] [CrossRef]
- Okumus, B.N.; Tacer-Caba, Z.; Kahraman, K.; Nilufer-Erdil, D. Resistant starch type V formation in brown lentil (Lens culinaris Medikus) starch with different lipids/fatty acids. Food Chem. 2018, 240, 550–558. [Google Scholar] [CrossRef] [PubMed]
- Yang, Y.; Wang, L.; Li, Y.; Qian, H.F.; Zhang, H.; Wu, G.C.; Qi, X.G. Investigation the molecular degradation, starch-lipid complexes formation and pasting properties of wheat starch in instant noodles during deep-frying treatment. Food Chem. 2019, 283, 287–293. [Google Scholar] [CrossRef]
- Biais, B.; Le Bail, P.; Robert, P.; Pontoire, B.; Buléon, A. Structural and stoichiometric studies of complexes between aroma compounds and amylose. Polymorphic transitions and quantification in amorphous and crystalline areas. Carbohydr. Polym. 2006, 66, 306–315. [Google Scholar] [CrossRef]
- Heinemann, C.; Zinsli, M.; Renggli, A.; Escher, F.; Conde-Petit, B. Influence of amylose-flavor complexation on build-up and breakdown of starch structures in aqueous food model systems. LWT—Food Sci. Technol. 2005, 38, 885–894. [Google Scholar] [CrossRef]
- Lesmes, U.; Barchechath, J.; Shimoni, E. Continuous dual feed homogenization for the production of starch inclusion complexes for controlled release of nutrients. Innov. Food Sci. Emerg. Technol. 2008, 9, 507–515. [Google Scholar] [CrossRef]
- Zabar, S.; Lesmes, U.; Katz, I.; Shimoni, E.; Bianco-Peled, H. Studying different dimensions of amylose–long chain fatty acid complexes: Molecular, nano and micro level characteristics. Food Hydrocoll. 2009, 23, 1918–1925. [Google Scholar] [CrossRef]
- Wang, S.; Wang, J.; Yu, J.; Wang, S. Effect of fatty acids on functional properties of normal wheat and waxy wheat starches: A structural basis. Food Chem. 2016, 190, 285–292. [Google Scholar] [CrossRef]
- Chen, L.; McClements, D.J.; Zhang, Z.; Zhang, R.; Bian, X.; Jin, Z.; Tian, Y. Effect of annealing and heat-moisture pretreatments on the oil absorption of normal maize starch during frying. Food Chem. 2021, 353, 129468. [Google Scholar] [CrossRef] [PubMed]
- Chen, L.; Ma, R.; McClements, D.J.; Zhang, Z.; Jin, Z.; Tian, Y. Effect of pullulan on oil absorption and structural organization of native maize starch during frying. Food Chem. 2020, 309, 125681. [Google Scholar] [CrossRef] [PubMed]
- Chen, L.; Ma, R.; McClements, D.J.; Zhang, Z.; Jin, Z.; Tian, Y. Impact of granule size on microstructural changes and oil absorption of potato starch during frying. Food Hydrocoll. 2019, 94, 428–438. [Google Scholar] [CrossRef]
- Li, Q.; Shi, S.; Du, S.K.; Dong, Y.; Yu, X. Starch–palmitic acid complex formation and characterization at different frying temperature and treatment time. LWT—Food Sci. Technol. 2021, 136, 110328. [Google Scholar] [CrossRef]
- Wang, H.; Wu, Y.; Wang, N.; Yang, L.; Zhou, Y. Effect of water content of high-amylose corn starch and glutinous rice starch combined with lipids on formation of starch-lipid complexes during deep-fat frying. Food Chem. 2019, 278, 515–522. [Google Scholar] [CrossRef]
- Kang, X.; Sui, J.; Qiu, H.; Sun, C.; Zhang, H.; Cui, B.; Abd El-Aty, A.M. Effects of wheat protein on the formation and structural properties of starch-lipid complexes in real noodles incorporated with fatty acids of varying chain lengths. LWT—Food Sci. Technol. 2021, 144, 111271. [Google Scholar] [CrossRef]
- Ye, J.; Hu, X.; Luo, S.; McClements, D.J.; Liang, L.; Liu, C. Effect of endogenous proteins and lipids on starch digestibility in rice flour. Food Res. Int. 2018, 106, 404–409. [Google Scholar] [CrossRef]
- Cervantes-Ramirez, J.E.; Cabrera-Ramirez, A.H.; Morales-Sanchez, E.; Rodriguez-Garcia, M.E.; Reyes-Vega, M.L.; Ramirez-Jimenez, A.K.; Contreras-Jimenez, B.L.; Gaytan-Martinez, M. Amylose-lipid complex formation from extruded maize starch mixed with fatty acids. Carbohydr. Polym. 2020, 246, 116555. [Google Scholar] [CrossRef]
- Kong, L.; Perez-Santos, D.M.; Ziegler, G.R. Effect of guest structure on amylose-guest inclusion complexation. Food Hydrocoll. 2019, 97, 105188. [Google Scholar] [CrossRef]
- Annor, G.A.; Marcone, M.; Corredig, M.; Bertoft, E.; Seetharaman, K. Effects of the amount and type of fatty acids present in millets on their in vitro starch digestibility and expected glycemic index (eGI). J. Cereal Sci. 2015, 64, 76–81. [Google Scholar] [CrossRef]
- Chang, F.; He, X.; Huang, Q. Effect of lauric acid on the V-amylose complex distribution and properties of swelled normal cornstarch granules. J. Cereal Sci. 2013, 58, 89–95. [Google Scholar] [CrossRef]
- Chung, H.-J.; Lim, H.S.; Lim, S.-T. Effect of partial gelatinization and retrogradation on the enzymatic digestion of waxy rice starch. J. Cereal Sci. 2006, 43, 353–359. [Google Scholar] [CrossRef]
- Zhu, T.; Jackson, D.S.; Wehling, R.L.; Geera, B. Comparison of Amylose Determination Methods and the Development of a Dual Wavelength Iodine Binding Technique. Cereal Chem. 2008, 85, 51–58. [Google Scholar] [CrossRef]
- Chen, L.; Tian, Y.; Sun, B.; Cai, C.; Ma, R.; Jin, Z. Measurement and characterization of external oil in the fried waxy maize starch granules using ATR-FTIR and XRD. Food Chem. 2018, 242, 131–138. [Google Scholar] [CrossRef] [PubMed]
- Bertoft, E. Understanding Starch Structure: Recent Progress. Agronomy 2017, 7, 56. [Google Scholar] [CrossRef]
- Wang, Y.; Chen, L.; Yang, T.; Ma, Y.; McClements, D.J.; Ren, F.; Tian, Y.; Jin, Z. A review of structural transformations and properties changes in starch during thermal processing of foods. Food Hydrocoll. 2021, 113, 106543. [Google Scholar] [CrossRef]
- Waduge, R.N.; Xu, S.; Bertoft, E.; Seetharaman, K. Exploring the surface morphology of developing wheat starch granules by using Atomic Force Microscopy. Starch—Stärke 2013, 65, 398–409. [Google Scholar] [CrossRef]
- Kawai, K.; Takato, S.; Sasaki, T.; Kajiwara, K. Complex formation, thermal properties, and in-vitro digestibility of gelatinized potato starch–fatty acid mixtures. Food Hydrocoll. 2012, 27, 228–234. [Google Scholar] [CrossRef]
- Sun, S.; Jin, Y.; Hong, Y.; Gu, Z.; Cheng, L.; Li, Z.; Li, C. Effects of fatty acids with various chain lengths and degrees of unsaturation on the structure, physicochemical properties and digestibility of maize starch-fatty acid complexes. Food Hydrocoll. 2021, 110, 106224. [Google Scholar] [CrossRef]
- Lesmes, U.; Cohen, S.H.; Shener, Y.; Shimoni, E. Effects of long chain fatty acid unsaturation on the structure and controlled release properties of amylose complexes. Food Hydrocoll. 2009, 23, 667–675. [Google Scholar] [CrossRef]
- Li, X.; Li, J.; Wang, Y.; Cao, P.; Liu, Y. Effects of frying oils’ fatty acids profile on the formation of polar lipids components and their retention in French fries over deep-frying process. Food Chem. 2017, 237, 98–105. [Google Scholar] [CrossRef] [PubMed]
- Chen, L.; Tian, Y.; Bai, Y.; Wang, J.; Jiao, A.; Jin, Z. Effect of frying on the pasting and rheological properties of normal maize starch. Food Hydrocoll. 2018, 77, 85–95. [Google Scholar] [CrossRef]
- Sang, Y.J.; Bean, S.S.; Seib, P.A.; Pedersen, J.; Shi, Y.-C. Structure and functional properties of sorghum starches differing in amylose content. J. Agric. Food Chem. 2008, 56, 6680–6685. [Google Scholar] [CrossRef]
- Chen, X.; Du, X.; Chen, P.; Guo, L.; Xu, Y.; Zhou, X. Morphologies and gelatinization behaviours of high-amylose maize starches during heat treatment. Carbohydr. Polym. 2017, 157, 637–642. [Google Scholar] [CrossRef] [PubMed]
- Chen, L.; Ma, R.; Zhang, Z.; McClements, D.J.; Qiu, L.; Jin, Z.; Tian, Y. Impact of frying conditions on hierarchical structures and oil absorption of normal maize starch. Food Hydrocoll. 2019, 97, 105231. [Google Scholar] [CrossRef]
- Yang, Y.; Li, T.; Li, Y.; Qian, H.; Qi, X.; Zhang, H.; Wang, L. Understanding the molecular weight distribution, in vitro digestibility and rheological properties of the deep-fried wheat starch. Food Chem. 2020, 331, 127315. [Google Scholar] [CrossRef]
- Li, Q.; Shi, S.; Dong, Y.; Yu, X. Characterisation of amylose and amylopectin with various moisture contents after frying process: Effect of starch–lipid complex formation. Int. J. Food Sci. Technol. 2020, 56, 639–647. [Google Scholar] [CrossRef]
- Khor, Y.P.; Sim, B.I.; Abas, F.; Lai, O.M.; Wang, Y.; Nehdi, I.A.; Sbihi, H.M.; Gewik, M.M.; Tan, C.P. Influence of carbohydrate- and protein-based foods on the formation of polar lipid fraction during deep-frying. Food Control. 2020, 107, 106781. [Google Scholar] [CrossRef]
- Chung, H.-J.; Liu, Q.; Lee, L.; Wei, D. Relationship between the structure, physicochemical properties and in vitro digestibility of rice starches with different amylose contents. Food Hydrocoll. 2011, 25, 968–975. [Google Scholar] [CrossRef]



| Deep-Fried Times/h | To/°C | TP/°C | TC/°C | ΔH/J |
|---|---|---|---|---|
| Maize starch | ||||
| 0 | 64.97 ± 2.04 a | 68.82 ± 0.74 a | 74.08 ± 0.58 a | 9.95 ± 0.08 e |
| 8 | 138.67 ± 0.97 e | 141.69 ± 1.39 e | 143.63 ± 1.07 e | 3.19 ± 0.04 c |
| 16 | 131.75 ± 0.47 d | 136.15 ± 0.76 d | 137.04 ± 0.16 d | 1.51 ± 0.07 b |
| 24 | 139.04 ± 1.43 e | 140.96 ± 0.86 e | 142.86 ± 1.17 e | 1.42 ± 0.02 b |
| 32 | 124.12 ± 0.69 c | 132.47 ± 1.24 c | 134.75 ± 0.32 c | 6.61 ± 0.16 d |
| 40 | 119.10 ± 0.43 b | 122.78 ± 1.05 b | 126.01 ± 0.97 b | 0.35 ± 0.01 a |
| Potato starch | ||||
| 0 | 58.74 ± 0.25 a | 63.31 ± 0.53 a | 69.18 ± 1.61 a | 16.60 ± 0.28 d |
| 8 | 125.43 ± 0.80 b | 132.99 ± 1.20 c | 136.14 ± 1.08 b | 5.33 ± 0.07 c |
| 16 | 134.70 ± 0.29 e | 139.24 ± 0.86 d | 143.58 ± 0.64 d | 5.67 ± 0.04 c |
| 24 | 132.12 ± 1.09 d | 134.77 ± 0.04 c | 140.89 ± 1.14 c | 0.84 ± 0.13 a |
| 32 | 129.05 ± 0.63 c | 131.90 ± 0.75 b | 134.16 ± 0.62 b | 2.86 ± 0.16 b |
| 40 | 142.56 ± 0.22 f | 145.10 ± 0.61 e | 147.05 ± 0.15 e | 0.58 ± 0.03 a |
| High-amylose maize starch | ||||
| 0 | 69.86 ± 1.03 a | 72.88 ± 1.56 a | 81.79 ± 2.43 a | 5.67 ± 0.29 c |
| 8 | 124.04 ± 0.39 e | 128.11 ± 0.88 d | 131.07 ± 0.96 b | 1.37 ± 0.04 a |
| 16 | 106.08 ± 0.18 b | 123.88 ± 0.41 b | 137.81 ± 0.39 b | 4.80 ± 0.21 b |
| 24 | 106.84 ± 0.50 b | 126.21 ± 1.17 c | 136.16 ± 0.45 b | 4.38 ± 0.13 b |
| 32 | 119.70 ± 0.45 d | 126.93 ± 0.62 cd | 131.51 ± 0.47 b | 4.80 ± 0.18 b |
| 40 | 117.36 ± 1.87 c | 133.55 ± 1.76 e | 147.07 ± 1.43 c | 1.40 ± 0.11 a |
| Wheat starch | ||||
| 0 | 55.94 ± 0.48 a | 61.47 ± 0.53 a | 65.90 ± 0.71 a | 7.53 ± 0.08 d |
| 8 | 140.99 ± 0.57 d | 145.13 ± 0.77 d | 145.79 ± 2.13 d | 1.20 ± 0.14 b |
| 16 | 127.14 ± 0.92 b | 127.38 ± 1.86 b | 131.09 ± 1.02 b | 0.85 ± 0.06 b |
| 24 | 127.16 ± 0.32 c | 136.42 ± 1.12 c | 140.09 ± 0.14 c | 6.25 ± 0.30 c |
| 32 | 144.47 ± 0.68 d | 144.83 ± 0.52 d | 146.47 ± 1.58 d | 0.35 ± 0.02 a |
| 40 | 126.26 ± 0.43 b | 129.87 ± 1.07 b | 132.96 ± 0.47 b | 1.08 ± 0.06 b |
| Deep-Fried Times/h | Viscosity/cp | Peak Time/s | ||||
|---|---|---|---|---|---|---|
| Peak | Trough | Breakdown | Final | Setback | ||
| Maize starch | ||||||
| 0 | 2926 ± 18.38 c | 1788 ± 119.50 a | 1139 ± 137.89 b | 2863 ± 176.07 a | 1075 ± 295.57 a | 5.20 ± 0.00 a |
| 8 | 2568 ± 83.44 b | 2050 ± 68.59 b | 519 ± 14.85 a | 3830 ± 101.12 c | 1780 ± 169.71 c | 5.77 ± 0.05 b |
| 16 | 2328 ± 97.58 a | 1968 ± 7.07 b | 360 ± 104.65 a | 3265 ± 30.41 b | 1297 ± 37.48 ab | 6.00 ± 0.00 d |
| 24 | 2464 ± 60.81 ab | 1998 ± 11.31 b | 466 ± 49.50 a | 3501 ± 120.21 b | 1503 ± 108.89 bc | 5.91 ± 0.06 c |
| 32 | 2336 ± 36.77 a | 1944 ± 57.28 b | 393 ± 20.51 a | 3312 ± 74.95 b | 1369 ± 17.68 ab | 5.89 ± 0.02 c |
| 40 | 2427 ± 39.60 ab | 2041 ± 3.54 b | 387 ± 43.13 a | 3472 ± 28.28 b | 1432 ± 24.75 abc | 5.86 ± 0.01 c |
| Potato starch | ||||||
| 0 | 5204 ± 7.07 c | 1945 ± 60.10 a | 3260 ± 53.03 c | 2430 ± 43.84 a | 486 ± 103.94 a | 3.60 ± 0.00 a |
| 8 | 2687 ± 24.75 b | 2468 ± 9.19 d | 219 ± 15.56 a | 3492 ± 17.68 c | 1024 ± 26.87 cd | 5.80 ± 0.00 c |
| 16 | 2590 ± 22.63 ab | 2101 ± 4.24 b | 489 ± 26.87 b | 2847 ± 73.54 b | 746 ± 77.78 b | 5.14 ± 0.09 b |
| 24 | 2551 ± 36.06 a | 2433 ± 36.77 d | 118 ± 72.83 a | 3410 ± 20.51 c | 977 ± 57.28 c | 5.92 ± 0.02 c |
| 32 | 2557 ± 52.33 a | 2330 ± 51.62 c | 228 ± 103.94 a | 3506 ± 12.73 c | 1177 ± 38.89 d | 6.07 ± 0.00 c |
| 40 | 2540 ± 66.47 a | 2334 ± 19.09 c | 207 ± 47.38 a | 3417 ± 33.23 c | 1083 ± 14.14 cd | 5.27 ± 0.00 b |
| High-amylose maize starch | ||||||
| 0 | 269 ± 12.73 b | 184 ± 35.36 b | 85 ± 22.63 b | 270 ± 20.51 b | 86 ± 14.85 b | 7.00 ± 0.00 b |
| 8 | 79 ± 5.66 a | 71 ± 4.95 a | 9 ± 0.71 a | 71 ± 5.66 a | 0.50 ± 0.71 a | 6.80 ± 0.00 a |
| 16 | 84 ± 13.44 a | 73 ± 11.31 a | 11 ± 2.12 a | 76 ± 11.31 a | 3.00 ± 0.00 a | 6.97 ± 0.05 a |
| 24 | 79 ± 2.83 a | 70 ± 1.41 a | 9 ± 1.41 a | 71 ± 0.71 a | 0.5 ± 0.71 a | 6.87 ± 0.09 a |
| 32 | 72 ± 1.41 a | 66 ± 2.83 a | 6 ± 1.41 a | 67 ± 0.71 a | 0.5 ± 2.12 a | 6.97 ± 0.05 a |
| 40 | 74 ± 3.54 a | 66 ± 5.66 a | 8 ± 2.12 a | 66 ± 4.24 a | 0.00 ± 1.41 a | 6.73 ± 0.00 a |
| Wheat starch | ||||||
| 0 | 3093 ± 7.07 d | 2377 ± 14.14 d | 716 ± 7.07 a | 3655 ± 64.35 d | 1278 ± 50.20 d | 5.00 ± 0.00 a |
| 8 | 1997 ± 33.94 ab | 1168 ± 11.31 a | 829 ± 45.25 ab | 2417 ± 21.92 b | 1249 ± 10.61 cd | 5.53 ± 0.00 d |
| 16 | 1997 ± 57.28 ab | 1178 ± 22.63 a | 819 ± 34.65 ab | 2350 ± 52.33 ab | 1172 ± 29.70 bc | 5.47 ± 0.00 cd |
| 24 | 2136 ± 59.40 a | 1144 ± 28.99 a | 993 ± 88.39 b | 2273 ± 7.07 a | 1130 ± 21.92 b | 5.39 ± 0.02 c |
| 32 | 1936 ± 41.01 a | 1253 ± 38.18 b | 683 ± 79.20 a | 2254 ± 70.71 a | 1001 ± 32.53 a | 5.50 ± 0.04 d |
| 40 | 2887 ± 115.97 c | 1708 ± 5.66 c | 1179 ± 110.31 c | 3013 ± 77.78 c | 1305 ± 72.12 d | 5.14 ± 0.09 b |
| Sample | Deep-Fried Times/h | Peroxide Value/(meq/kg) | p-Anisidine Value | TOTOX |
|---|---|---|---|---|
| Maize starch | ||||
| 0 | 3.63 ± 0.54 a | 1.20 ± 0.02 a | 8.46 ± 1.06 a | |
| 8 | 4.79 ± 0.06 b | 63.14 ± 8.57 b | 72.73 ± 8.70 b | |
| 16 | 5.76 ± 0.44 cd | 73.14 ± 6.34 b | 84.66 ± 7.22 b | |
| 24 | 6.62 ± 0.36 d | 70.52 ± 1.99 b | 83.75 ± 2.72 b | |
| 32 | 5.15 ± 0.45 bc | 67.75 ± 0.86 b | 78.04 ± 1.77 b | |
| 40 | 4.64 ± 0.15 b | 66.25 ± 1.31 b | 75.52 ± 1.62 b | |
| Potato starch | ||||
| 0 | 3.63 ± 0.54 a | 1.20 ± 0.02 a | 8.46 ± 1.06 a | |
| 8 | 3.64 ± 0.15 a | 76.34 ± 3.48 b | 83.62 ± 3.19 b | |
| 16 | 4.22 ± 0.02 ab | 199.62 ± 5.32 c | 208.06 ± 5.36 c | |
| 24 | 4.54 ± 0.09 bc | 233.57 ± 5.05 e | 242.66 ± 4.87 e | |
| 32 | 5.09 ± 0.36 cd | 213.61 ± 5.11 d | 223.80 ± 4.39 d | |
| 40 | 5.48 ± 0.20 d | 71.77 ± 0.33 b | 82.73 ± 0.72 b | |
| High-amylose maize starch | ||||
| 0 | 3.63 ± 0.54 a | 1.20 ± 0.02 a | 8.46 ± 1.06 a | |
| 8 | 12.69 ± 12.69 c | 187.87 ± 0.26 b | 213.25 ± 1.79 b | |
| 16 | 15.35 ± 2.13 d | 298.97 ± 10.06 c | 329.68 ± 14.32 c | |
| 24 | 10.04 ± 0.76 b | 352.83 ± 5.42 d | 372.91 ± 3.89 d | |
| 32 | 8.19 ± 0.01 b | 331.74 ± 28.08 d | 348.12 ± 28.09 cd | |
| 40 | 7.55 ± 0.76 b | 327.38 ± 2.01 cd | 342.48 ± 0.49 cd | |
| Wheat starch | ||||
| 0 | 3.63 ± 0.54 a | 1.20 ± 0.02 a | 8.46 ± 1.06 a | |
| 8 | 7.98 ± 1.40 b | 232.17 ± 15.79 c | 248.12 ± 12.89 c | |
| 16 | 15.12 ± 0.85 d | 152.62 ± 5.05 b | 182.86 ± 3.35 b | |
| 24 | 10.60 ± 0.19 c | 256.08 ± 0.90 d | 277.28 ± 1.29 d | |
| 32 | 10.19 ± 1.70 bc | 308.71 ± 6.16 e | 329.09 ± 2.76 e | |
| 40 | 11.30 ± 0.41 c | 257.96 ± 6.64 d | 280.57 ± 5.82 d | |
Publisher’s Note: MDPI stays neutral with regard to jurisdictional claims in published maps and institutional affiliations. |
© 2022 by the authors. Licensee MDPI, Basel, Switzerland. This article is an open access article distributed under the terms and conditions of the Creative Commons Attribution (CC BY) license (https://creativecommons.org/licenses/by/4.0/).
Share and Cite
Hu, X.; Li, Z.; Wang, F.; Mu, H.; Guo, L.; Xiao, J.; Liu, Y.; Li, X. Formation of Starch–Lipid Complexes during the Deep-Frying Process and Its Effects on Lipid Oxidation. Foods 2022, 11, 3083. https://doi.org/10.3390/foods11193083
Hu X, Li Z, Wang F, Mu H, Guo L, Xiao J, Liu Y, Li X. Formation of Starch–Lipid Complexes during the Deep-Frying Process and Its Effects on Lipid Oxidation. Foods. 2022; 11(19):3083. https://doi.org/10.3390/foods11193083
Chicago/Turabian StyleHu, Xueying, Zhaoyang Li, Fengyan Wang, Hongyan Mu, Liping Guo, Junxia Xiao, Yuanfa Liu, and Xiaodan Li. 2022. "Formation of Starch–Lipid Complexes during the Deep-Frying Process and Its Effects on Lipid Oxidation" Foods 11, no. 19: 3083. https://doi.org/10.3390/foods11193083
APA StyleHu, X., Li, Z., Wang, F., Mu, H., Guo, L., Xiao, J., Liu, Y., & Li, X. (2022). Formation of Starch–Lipid Complexes during the Deep-Frying Process and Its Effects on Lipid Oxidation. Foods, 11(19), 3083. https://doi.org/10.3390/foods11193083

