A Review of the Phytochemistry and Bioactivity of Clover Honeys (Trifolium spp.)
Abstract
1. Introduction
2. The Chemistry of Honey
3. Clover Honeys
3.1. Phytochemical Composition and Bioactivity of Clover Plants
3.2. Phytochemical Composition of Clover Honey
3.3. Bioactivity of Clover Honeys
4. Conclusions
Author Contributions
Funding
Institutional Review Board Statement
Informed Consent Statement
Data Availability Statement
Conflicts of Interest
References
- Saranraj, P.; Sivasakthi, S.; Feliciano, G. Pharmacology of honey: A review. Biol. Res. 2016, 10, 271–289. [Google Scholar]
- Gomes, S.; Dias, L.G.; Moreira, L.L.; Rodrigues, P.; Estevinho, L. Physicochemical, microbiological and antimicrobial properties of commercial honeys from Portugal. Food Chem. Toxicol. 2010, 48, 544–548. [Google Scholar] [CrossRef] [PubMed]
- Fedorova, A.A.; Azzami, K.; Ryabchikova, E.I.; Spitsyna, Y.E.; Silnikov, V.N.; Ritter, W.; Gross, H.J.; Tautz, J.; Vlassov, V.V.; Beier, H.; et al. Inactivation of a nonenveloped RNA virus by artificial ribonucleases: Honey bees and acute bee paralysis virus as a new experimental model for in vivo antiviral activity assessment. Antivir. Res. 2011, 91, 267–277. [Google Scholar] [CrossRef] [PubMed]
- Al-Farsi, M.; Al-Amri, A.; Al-Hadhrami, A.; Al-Belushi, S. Color, flavonoids, phenolics and antioxidants of Omani honey. Heliyon 2018, 4, e00874. [Google Scholar] [CrossRef] [PubMed]
- Hossain, M.L.; Lim, L.Y.; Hammer, K.; Hettiarachchi, D.; Locher, C. Honey-based medicinal formulations: A critical review. Appl. Sci. 2021, 11, 5159. [Google Scholar] [CrossRef]
- Abell, D.C.; Friebe, H.; Schweger, C.; Kwok, A.S.K.; Sporns, P. Comparison of processed unifloral clover and canola honey. Apidologie 1996, 27, 451–460. [Google Scholar] [CrossRef]
- Primorac, L.; Bubaloa, D.; Kenjeric, D.; Flanjak, I.; Piricki, A.P.; Mandic, M.L. Pollen spectrum and physicochemical characteristics of Croatian Mediterranean multifloral honeys. Dtsch. Lebensm. 2008, 104, 170–175. [Google Scholar]
- SARE. 2015. Available online: https://www.sare.org/resources/cover-cropping-for-pollinators-and-beneficial-insects/ (accessed on 20 April 2022).
- Ciappini, M.; Vitelleschi, M.; Calviño, A. Chemometrics classification of Argentine clover and eucalyptus honeys according to palynological, physicochemical, and sensory properties. Int. J. Food Prop. 2016, 19, 111–123. [Google Scholar] [CrossRef]
- Oryan, A.; Alemzadeh, E.; Moshiri, A. Biological properties and therapeutic activities of honey in wound healing: A narrative review and meta-analysis. J. Tissue Viability 2016, 25, 98–118. [Google Scholar] [CrossRef]
- Bueno-Costa, F.M.; Zambiazi, R.C.; Bohmer, B.W.; Chaves, F.C.; Silva, W.P.D.; Zanusso, J.T.; Dutra, I. Antibacterial and antioxidant activity of honeys from the state of Rio Grande do Sul, Brazil. LWT—Food Sci. Technol. 2016, 65, 333–340. [Google Scholar] [CrossRef]
- Moundoi, M.A.; Padila-Zakour, O.I.; Worobo, R.W. Antimicrobial activity of honey against food pathogens and food spoilage microorganisms. NYSAES 2001, 1, 61–71. [Google Scholar]
- Ezz El-Arab, A.M.; Girgis, S.M.; Hegazy, E.M.; Abd El-Khalek, A.B. Effect of dietary honey on intestinal microflora and toxicity of mycotoxins in mice. BMC Complement. Altern. Med. 2006, 6, 6. [Google Scholar] [CrossRef] [PubMed]
- Chow, J. Probiotics and prebiotics: A brief overview. J. Ren. Nutr. 2002, 12, 76–86. [Google Scholar] [CrossRef]
- Nguyen, H.T.L.; Panyoyai, N.; Kasapis, S.; Pang, E.; Mantri, N. Honey and its role in relieving multiple facets of atherosclerosis. Nutrients 2019, 11, 167. [Google Scholar] [CrossRef] [PubMed]
- Olaitan, P.B.; Adeleke, E.O.; Ola, O.I. Honey: A reservoir for microorganisms and an inhibitory agent for microbes. Afr. Health Sci. 2007, 7, 159–165. [Google Scholar] [PubMed]
- Sampath Kumar, K.P.; Bhowmik, D.; Biswajit, C.; Chandira, M.R. Medicinal uses and health benefits of honey: An overview. J. Chem. Pharm. Res. 2010, 2, 385–395. [Google Scholar]
- Rashed, M.N.; Soltan, M.E. Major and trace elements in different types of Egyptian mono-floral and non-floral bee honeys. J. Food Compos. Anal. 2004, 17, 725–735. [Google Scholar] [CrossRef]
- Lachman, J.; Kolihová, D.; Miholová, D.; Košata, J.; Titěra, D.; Kult, K. Analysis of minority honey components: Possible use for the evaluation of honey quality. Food Chem. 2007, 101, 973–979. [Google Scholar] [CrossRef]
- Lee, D.C.; Lee, S.Y.; Cha, S.H.; Choi, Y.S.; Rhee, H.I. Discrimination of native bee-honey and foreign bee-honey by SDS–PAGE. Korean J. Food Sci. 1998, 30, 1–5. [Google Scholar]
- Jagdish, T.; Joseph, I. Quantification of saccharides in multiple floral honeys using fourier transform infrared microattenuated total reflectance spectroscopy. J. Agri. Food Chem. 2004, 52, 3237–3243. [Google Scholar]
- Won, S.R.; Li, C.Y.; Kim, J.W.; Rhee, H.I. Immunological characterization of honey major protein and its application. Food Chem. 2009, 113, 1334–1338. [Google Scholar] [CrossRef]
- Bansal, V.; Medhi, B.; Pandhi, P. Honey—A remedy rediscovered and its therapeutic utility. Kathmandu Univ. Med. J. 2005, 3, 305–309. [Google Scholar]
- Sprent, J.I. Nodulation in Legumes; Royal Botanic Gardens, Kew: London, UK, 2001. [Google Scholar]
- Lewis, G.P.; Schrire, B.D.; MacKinder, B.A.; Lock, J.M. Legumes of the World; Royal Botanic Gardens, Kew: London, UK, 2005. [Google Scholar]
- Graham, P.H.; Vance, C.P. Legumes: Importance and constraints to greater use. Plant Physiol. 2003, 131, 872–877. [Google Scholar] [CrossRef] [PubMed]
- O’Hara, G.W.; Howieson, J.G.; Graham, P.H. Nitrogen fixation and agricultural practice. In Nitrogen Fixation in the Millennium; Leigh, G.J., Ed.; Elsevier: Amsterdam, The Netherlands, 2002; pp. 391–410. [Google Scholar]
- Sabudak, T.; Dokmeci, D.; Ozyigit, F.; Isik, E.; Aydogdu, N. Anti-inflammatory and antioxidant activities of Trifolium resupinatum var. microcephalum extracts in arthritic rats. Asian J. Chem. 2008, 20, 1491–1496. [Google Scholar]
- Sabudak, T.; Ozturk, M.; Goren, A.C.; Kolak, U.; Topcu, G. Fatty acids and other lipid composition of five Trifolium species with antioxidant activity. Pharm. Biol. 2009, 47, 137–141. [Google Scholar] [CrossRef]
- Kolodziejczyk-Czepas, J. Trifolium species-derived substances and extracts-biological activity and prospects for medicinal applications. J. Ethnopharmacol. 2012, 143, 14–23. [Google Scholar] [CrossRef]
- Saviranta, N.M.M.; Anttonen, M.J.; von Wright, A.; Karjalainen, R.O. Red clover (Trifolium pratense L.) isoflavones: Determination of concentrations by plant stage, flower colour, plant part and cultivar. J. Sci. Food Agric. 2008, 88, 125–132. [Google Scholar] [CrossRef]
- Gaweł, E. Chemical composition of lucerne leaf extract (EFL) and its applications as a phytobiotic in human nutrition. Acta Sci. Pol. Technol. Aliment. 2012, 11, 303–310. [Google Scholar]
- Ince, S.; Ekici, H.; Yurdakok, B. Determination of in vitro antioxidant activity of the sainfoin (Onobrychis viciifolia) extracts. Ankara Univ. Vet. Fak. Derg. 2012, 59, 23–27. [Google Scholar]
- Lindström, B.E.M.; Frankow-Lindberg, B.E.; Dahlin, A.S.; Wivstad, M.; Watson, C.A. Micronutrient concentrations in relation to phenological development of red clover (Trifolium pratense L.), perennial ryegrass (Lolium perenne L.) and timothy (Phleum pratense L.). Grass Forage Sci. 2014, 69, 276–284. [Google Scholar] [CrossRef]
- Atkinson, C.; Compston, J.E.; Day, N.E.; Dowsett, M.; Bingham, S.A. The effects of phytoestrogen isoflavones on bone density in women: A double-blind, randomised, placebo-controlled trial. Am. J. Clin. Nutr. 2004, 79, 326–333. [Google Scholar] [CrossRef] [PubMed]
- Miadokova, E. Isoflavonoids—An overview of their biological activities and potential health benefits. Interdiscip. Toxicol. 2009, 2, 211–218. [Google Scholar] [CrossRef] [PubMed]
- Drenin, A.A.; Botirov, E.K.; Turov, Y.P. A new isoflavone glycoside from Trifolium pratense L. Russ. J. Bioorg. Chem. 2011, 37, 862–865. [Google Scholar] [CrossRef]
- Jerković, I.; Radonić, A.; Kranjac, M.; Zekić, M.; Marijanović, Z.; Gudić, S.; Kliškić, M. Red clover (Trifolium pratense L.) honey: Volatiles chemical-profiling and unlocking antioxidant and anticorrosion capacity. Chem. Pap. 2016, 70, 726–736. [Google Scholar] [CrossRef]
- Mu, H.; Bai, Y.H.; Wang, S.T.; Zhu, Z.M.; Zhang, Y.W. Research on antioxidant effects and estrogenic effect of formononetin from Trifolium pratense (red clover). Phytomedicine 2009, 16, 314–319. [Google Scholar] [CrossRef]
- Rossouw, J.E.; Anderson, G.L.; Prentice, R.L.; LaCroix, A.Z.; Kooperberg, C.; Stefanick, M.L.; Jackson, R.D.; Beresford, S.A.A.; Howard, B.V.; Johnson, K.C.; et al. Risks and benefits of estrogen plus progestin in healthy postmenopausal women: Principal results from the women’s health initiative randomized controlled trial. JAMA 2002, 288, 321–333. [Google Scholar]
- Dalal, P.K.; Agarwal, M. Postmenopausal syndrome. Indian J. Psychiatry 2015, 57 (Suppl. 2), S222–S232. [Google Scholar] [CrossRef]
- Kaurinovic, B.; Popovic, M.; Vlaisavljevic, S.; Schwartsova, H.; Vojinovic-Miloradov, M. Antioxidant profile of Trifolium pratense L. Molecules 2012, 17, 11156–11172. [Google Scholar] [CrossRef]
- Palmer, R.G.; Perez, P.T.; Ortiz-Perez, E.; Maalouf, F.; Suso, M.J. The role of crop-pollinator relationships in breeding for pollinator-friendly legumes: From a breeding perspective. Euphytica 2009, 170, 35–52. [Google Scholar] [CrossRef]
- Kunin, W.E. Population size and density effects in pollination: Pollinator foraging and plant reproductive success in experimental arrays of Brassica kaber. J. Ecol. 1997, 85, 225–234. [Google Scholar] [CrossRef]
- Sivesind, E.; Seguin, P. Effects of the environment, cultivar, maturity, and preservation method on red clover isoflavone concentration. J. Agric. Food Chem. 2005, 53, 6397–6402. [Google Scholar] [CrossRef] [PubMed]
- Oleszek, W.; Stochmal, A.; Janda, B. Concentration of isoflavones and other phenolics in the aerial parts of Trifolium Species. J. Agric. Food Chem. 2007, 55, 8095–8100. [Google Scholar] [CrossRef] [PubMed]
- Klejdus, B.; Vitamvásová-Štěrbová, D.; Kubáň, V. Identification of isoflavone conjugates in red clover (Trifolium pratense) by liquid chromatography–mass spectrometry after two-dimensional solid-phase extraction. Anal. Chim. Acta 2001, 450, 81–97. [Google Scholar] [CrossRef]
- de Rijke, E.; Zappey, H.; Ariese, F.; Gooijer, C.; Brinkman, U.A.T. Flavonoids in leguminosae: Analysis of extracts of T. pratense L., T. dubium L., T. repens L., and L. corniculatus L. leaves using liquid chromatography with UV, mass spectrometric and fluorescence detection. Anal. Bioanal. Chem. 2004, 378, 995–1006. [Google Scholar] [CrossRef] [PubMed]
- Lemežienė, N.; Padarauskas, A.; Butkutė, B.; Cesevičienė, J.; Taujenis, L.; Norkevičienė, E. The concentration of isoflavones in red clover (Trifolium pratense L.) at flowering stage. Zemdirb.-Agric. 2015, 102, 443–448. [Google Scholar] [CrossRef]
- Mostrom, M.; Evans, T.J. Phytoestrogens. In Veterinary Toxicology—Basic and Clinical Principles, 2nd ed.; Gupta, R.C., Ed.; Elsevier: Amsterdam, The Netherlands, 2012; pp. 1012–1028. [Google Scholar]
- Butkute, B.; Lemežiene, B.; Dabkeviciene, G.; Jakštas, V.; Vilcinskas, E.; Janulis, V. Source of variation of isoflavone concentrations in perennial clover species. Pharmacogn. Mag. 2014, 10, S181–S188. [Google Scholar] [CrossRef] [PubMed]
- Brandli, A.; Simpson, J.S.; Ventura, S. Isoflavones isolated from red clover (Trifolium pratense) inhibit smooth muscle contraction of the isolated rat prostate gland. Phytomedicine 2010, 17, 895–901. [Google Scholar] [CrossRef] [PubMed]
- Wu, Q.; Wang, M.; Simon, J.E. Determination of isoflavones in red clover and related species by high-performance liquid chromatography combined with ultraviolet and mass spectrometric detection. J. Chromatogr. A 2003, 1016, 195–209. [Google Scholar] [CrossRef]
- Klejdus, B.; Sterbova, D.; Stratil, P.; Kuban, V. Identification and characterization of isoflavones in plant material by HPLC-DAD-MS tandem. Chem. Listy 2003, 97, 530–539. [Google Scholar]
- Roby, M.H.H.; Abdelaliem, Y.F.; Esmail, A.H.M.; Mohdaly, A.A.A.; Ramadan, M.F. Evaluation of Egyptian honeys and their floral origins: Phenolic compounds, antioxidant activities, and antimicrobial characteristics. Environ. Sci. Pollut. Res. 2020, 27, 20748–20756. [Google Scholar] [CrossRef]
- Zhang, Z.; Liao, L.; Moore, J.; Wu, T.; Wang, Z. Antioxidant phenolic compounds from walnut kernels (Juglans regia L.). Food Chem. 2009, 113, 160–165. [Google Scholar] [CrossRef]
- Massei, G.; Cotterill, J.V.; Coats, J.C.; Bryning, G.; Cowan, D.P. Can batesian mimicry help plants to deter herbivores? Pest Manag. Sci. 2007, 63, 559–563. [Google Scholar] [CrossRef] [PubMed]
- Hughes, M.A. The cyanogenic polymorphism in Trifolium repens L. (white clover). Heredity 1991, 66, 105–115. [Google Scholar] [CrossRef]
- Bown, D. Encyclopaedia of Herbs and Their Uses; Dorling Kindersley: London, UK, 1995. [Google Scholar]
- Sabudak, T.; Guler, N. Trifolium L.—A review on its phytochemical and pharmacological profile. Phytother. Res. 2009, 23, 436–439. [Google Scholar] [CrossRef]
- Rassi, C.M.; Lieberherr, M.; Chaumaz, G.; Pointillart, A.; Cournot, G. Down-regulation of osteoclast differentiation by daidzein via caspase 3. J. Bone Miner. Res. 2002, 17, 630–638. [Google Scholar] [CrossRef]
- Van de Wewijer, P.; Barentsen, R. Isoflavones from red clover (Promensil®) significantly reduce menopausal hot flush symptoms compared with placebo. Maturitas 2002, 42, 187–193. [Google Scholar] [CrossRef]
- Wei, H.; Wei, L.; Bowen, R.; Frenkel, K.; Barnes, S. Inhibition of tumor promotion-induced hydrogen peroxide production in vitro and in vivo by genistein. Nutr. Cancer 1993, 20, 1–12. [Google Scholar] [CrossRef]
- Wei, H.; Bowen, R.; Cai, Q.; Barnes, S.; Wang, Y. Antioxidant and antipromotional effects of the soybean isoflavone genistein. Proc. Soc. Exp. Biol. Med. 1995, 208, 124–130. [Google Scholar] [CrossRef]
- Wei, H.C.; Cai, Q.Y.; Rahn, R.O. Inhibition of UV light- and fenton reaction-induced oxidative DNA damage by the soybean isoflavone genistein. Carcinogenesis 1996, 17, 73–77. [Google Scholar] [CrossRef]
- Cai, Q.Y.; Wei, H.C. Effect of dietary genistein on antioxidant enzyme activities in Sencar mice. Nutr. Cancer 1996, 25, 1–7. [Google Scholar] [CrossRef]
- Widyarini, S.; Spinks, N.; Husband, J.A.; Reeve, E.V. Isoflavonoid compounds from red clover (Trifolium pratense) protect from inflammation and immune suppression induced by UV radiation. Photochem. Photobiol. 2001, 74, 465–470. [Google Scholar] [CrossRef]
- Sowa, P.; Tarapatskyy, M.; Puchalski, C.; Jarecki, W.; Dżugan, M. A novel honey-based product enriched with coumarin from Melilotus flowers. J. Food Meas. Charact. 2019, 13, 1748–1754. [Google Scholar] [CrossRef]
- Venugopala, K.N.; Rashmi, V.; Odhav, B. Review on natural coumarin lead compounds for their pharmacological activity. Biomed. Res. Int. 2013, 2013, 963248. [Google Scholar] [CrossRef]
- Kubrak, T.; Podgórski, R.; Stompor, M. Natural and synthetic coumarins and their pharmacological activity. Eur. J. Clin. Exp. Med. 2017, 15, 169–175. [Google Scholar] [CrossRef]
- Perrin, M.; Ramelet, A.A. Pharmacological treatment of primary chronic venous disease: Rationale, results and unanswered questions. Eur. J. Vasc. Endovasc. Surg. 2011, 41, 117–125. [Google Scholar] [CrossRef] [PubMed]
- Jasicka-Misiak, I.; Makowicz, E.; Stanek, N. Polish yellow sweet clover (Melilotus officinalis L.) honey, chromatographic fingerprints, and chemical markers. Molecules 2017, 22, 138. [Google Scholar] [CrossRef]
- Jerković, I. Volatile benzene derivatives as honey biomarkers. Synlett 2013, 24, 2331–2334. [Google Scholar] [CrossRef]
- Tan, S.T.; Holland, P.T.; Wilkins, A.L.; Molan, P.C. Extractives from New Zealand honeys. 1. White clover, manuka and kanuka unifloral honeys. J. Agric. Food Chem. 1988, 36, 453–460. [Google Scholar] [CrossRef]
- Zaghloul, O.A.; Nagda, A.A.E.; Nadia, M.H.; Moursi, M.; Maher, M.A. Chemical analysis of the Brazilian pepper, clover and citrus honeys produced by the honey bee workers, Apis mellifera L. (Hymenoptera: Apidae). J. Adv. Agric. Res. 2018, 21, 424–433. [Google Scholar] [CrossRef]
- Khalil, M.I.; Moniruzzaman, M.; Boukraâ, L.; Benhanifia, M.; Islam, M.A.; Islam, M.N.; Sulaiman, S.A.; Gan, S.H. Physicochemical and antioxidant properties of Algerian honey. Molecules 2012, 17, 11199–11215. [Google Scholar] [CrossRef]
- Islam, A.; Khalil, I.; Islam, N.; Moniruzzaman, M.; Mottalib, A.; Sulaiman, S.A.; Gan, S.H. Physicochemical and antioxidant properties of Bangladeshi honeys stored for more than one year. BMC Complement. Altern. Med. 2012, 12, 177. [Google Scholar] [CrossRef] [PubMed]
- Can, Z.; Yildiz, O.; Sahin, H.; Turumtay, E.A.; Silici, S.; Kolayli, S. An investigation of Turkish honeys: Their physico-chemical properties, antioxidant capacities and phenolic profiles. Food Chem. 2015, 180, 133–141. [Google Scholar] [CrossRef] [PubMed]
- Shapla, U.M.; Solayman, M.; Alam, N.; Khalil, M.I.; Gan, S.H. 5-Hydroxymethylfurfural (HMF) levels in honey and other food products: Effects on bees and human health. Chem. Cent. J. 2018, 12, 35. [Google Scholar] [CrossRef] [PubMed]
- Morales, F.J. Hydroxymethylfurfural (HMF) and Related Compounds Process-Induced Food Toxicants: Occurrence, Formation, Mitigation, and Health Risks; Wiley: Hoboken, NJ, USA, 2008; pp. 135–174. [Google Scholar]
- Codex Alimentarius. International Food Standards: Standards for Honey; Codex Stan: Rome, Italy, 1981; Volume 11, pp. 1–8. [Google Scholar]
- Smetanska, I.; Alharthi, S.S.; Selim, K.A. Physicochemical, antioxidant capacity and color analysis of six honeys from different origin. J. King Saud Univ. Sci. 2021, 33, 101447. [Google Scholar] [CrossRef]
- Dunford, C.; Cooper, R.; Molan, P.; White, R. The use of honey in wound management. Nurs. Stand. 2000, 15, 63–68. [Google Scholar] [CrossRef]
- Lusby, P.E.; Coombes, A.; Wilkinson, J.M. Honey: A potent agent for wound healing? J. Wound Ostomy Cont. Nurs. 2002, 29, 295–300. [Google Scholar] [CrossRef]
- Abbas, H.A. Antibacterial, anti-swarming and antibiofilm activities of local Egyptian clover honey against Proteus mirabilis isolated from diabetic foot infection. Asian J. Pharm. Res. 2013, 3, 114–117. [Google Scholar]
- Khairy, E.A.; Hedia, R.H.; Dorgham, S.M.; Effat, M. Comparative studies on antimicrobial activities (AMA) of different types of honey using bacteria from animal origin. Int. J. Microbiol. Res. 2013, 4, 50–55. [Google Scholar]
- Hegazy, A.G. Antimicrobial activity of different Egyptian honeys as comparison of Saudi Arabia honey. Res. J. Microbiol. 2011, 6, 488–495. [Google Scholar] [CrossRef][Green Version]
- Moghazy, A.M.; Shams, M.E.; Adly, O.A.; Abbas, A.H.; El-Badawy, M.A.; Elsakka, D.M.; Hassan, S.A.; Abdelmohsen, W.S.; Ali, O.S.; Mohamed, B.A. The clinical and cost effectiveness of bee honey dressing in the treatment of diabetic foot ulcers. Diabetes Res. Clin. Pract. 2010, 89, 276–281. [Google Scholar] [CrossRef]
- El-Fadaly, H.; Abdilla, F.S.; El-Badrawy, E.E.Y. Comparative study between Yemeni and Egyptian types of honey by means of antibacterial activity. Pak. J. Biol. Sci. 1999, 2, 1–6. [Google Scholar]
- Radojčić, I.; Berković, K.; Kovač, S.; Vorkapić-Furač, J. Natural honey and black radish juice as tin corrosion inhibitors. Corros. Sci. 2008, 50, 1498–1504. [Google Scholar] [CrossRef]
- Rosliza, R.; Wan Nik, W.B.; Izman, S.; Prawoto, Y. Anti-corrosive properties of natural honey on Al–Mg–Si alloy in seawater. Curr. Appl. Phys. 2010, 10, 923–929. [Google Scholar] [CrossRef]
- Vrsalović, L.; Gudić, S.; Kliškić, M. Salvia officinalis L. honey as corrosion inhibitor for CuNiFe alloy in sodium chloride solution. Indian J. Chem. Technol. 2012, 19, 96–102. [Google Scholar]
- Gerengi, H.; Goksu, H.; Slepski, P. The inhibition effect of mad honey on corrosion of 2007-Type aluminium alloy in 3.5% NaCl solution. Mater. Res. 2014, 17, 255–264. [Google Scholar] [CrossRef]











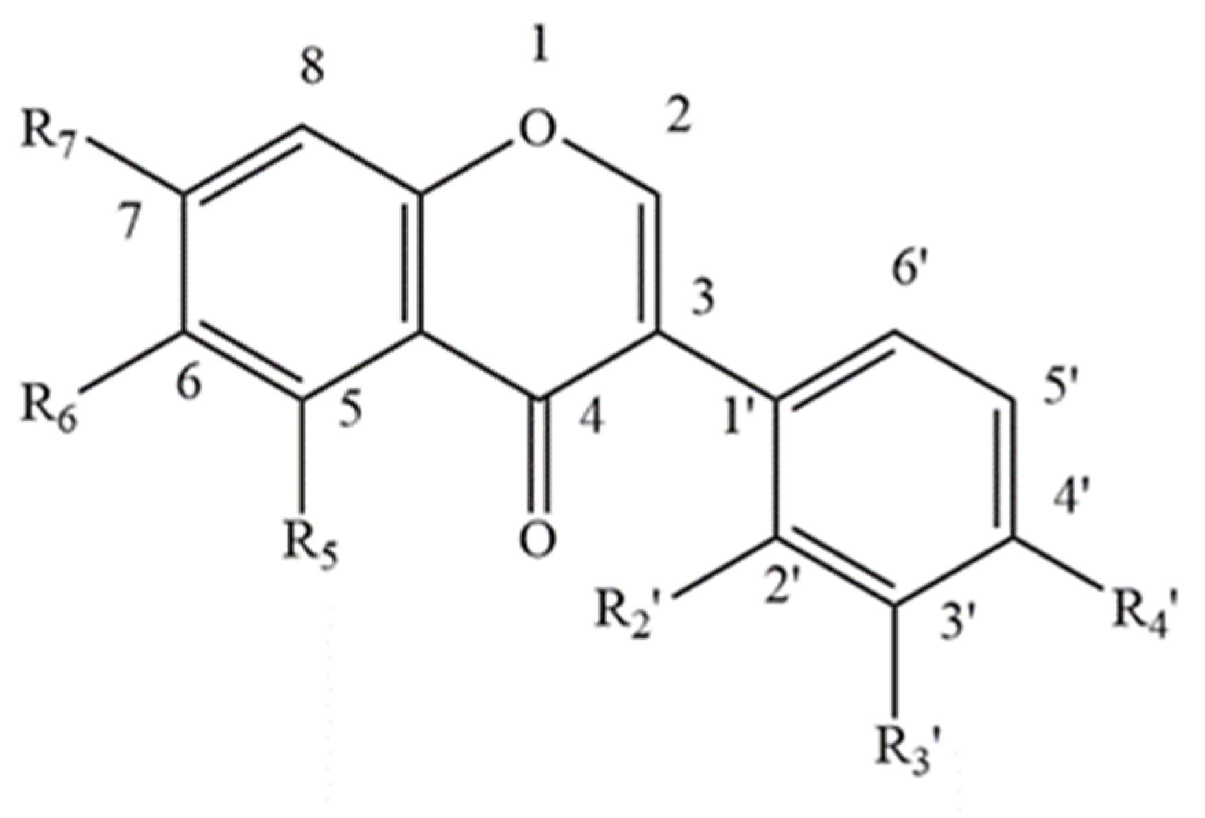
| Name | R5 | R6 | R7 | R2′ | R3′ | R4′ |
|---|---|---|---|---|---|---|
| Biochanin A | -OH | -H | -OH | -H | -H | -O-Me |
| Formononetin | -H | -H | -OH | -H | -H | -O-Me |
| Daidzein | -H | -H | -OH | -H | -H | -OH |
| Glycitein | -H | -O-Me | -OH | -H | -H | -OH |
| Genistein | -OH | -H | -OH | -H | -H | -OH |
| Calycosin | -H | -OH | -H | -H | -OH | -O-Me |
| Prunetin | -OH | -H | -O-Me | -H | -H | -OH |
| Afrormosin | -H | -O-Me | -OH | -H | -H | -O-Me |
| Texasin | -H | -O-Me | -O-Me | -H | -H | -O-Me |
| Irilin B | -OH | -O-Me | -OH | -OH | -H | -H |
| Irilone | N/A | N/A | N/A | N/A | N/A | N/A |
| Pseudobaptigenin | N/A | N/A | N/A | N/A | N/A | N/A |
| Name | R3 | R5 | R7 | R3′ | R4′ | R5′ | R6′ |
|---|---|---|---|---|---|---|---|
| Quercetin | -OH | -OH | -OH | -H | -OH | -OH | -H |
| Kaempferol | -OH | -OH | -OH | -H | -OH | -H | -H |
| Morin | -OH | -OH | -H | -H | -OH | -H | -OH |
| Myricetin | -OH | -OH | -OH | -OH | -OH | -OH | -H |
| Pinocembrin | -H | -OH | -OH | -H | -H | -H | -H |
| Name | OR1 | R5 | R6 | R7 |
|---|---|---|---|---|
| Caffeic acid | -H | -H | -OH | -OH |
| Rosmarinic acid | -3,4-DHPLA | -H | -OH | -OH |
| Chlorogenic acid | -QA (3) | -H | -OH | -OH |
| Cryptochlorogenic acid | -QA (4) | -H | -OH | -H |
| p-Coumaric acid | -H | -H | -H | -OH |
| Ferulic acid | -H | -H | -O-Me | -OH |
| Cinnamic acid | -H | -H | -H | -H |
| Name | OR1 | R3 | R4 | R5 | R6 |
|---|---|---|---|---|---|
| Gallic acid | -H | -H | -OH | -OH | -OH |
| Syringic acid | -H | -H | -O-Me | -OH | -O-Me |
| p-Hydroxybenzoic acid | -H | -H | -H | -OH | -H |
| m-Hydroxybenzoic acid | -H | -H | -OH | -H | -H |
| Category | Name | Quantity (Approximate) |
|---|---|---|
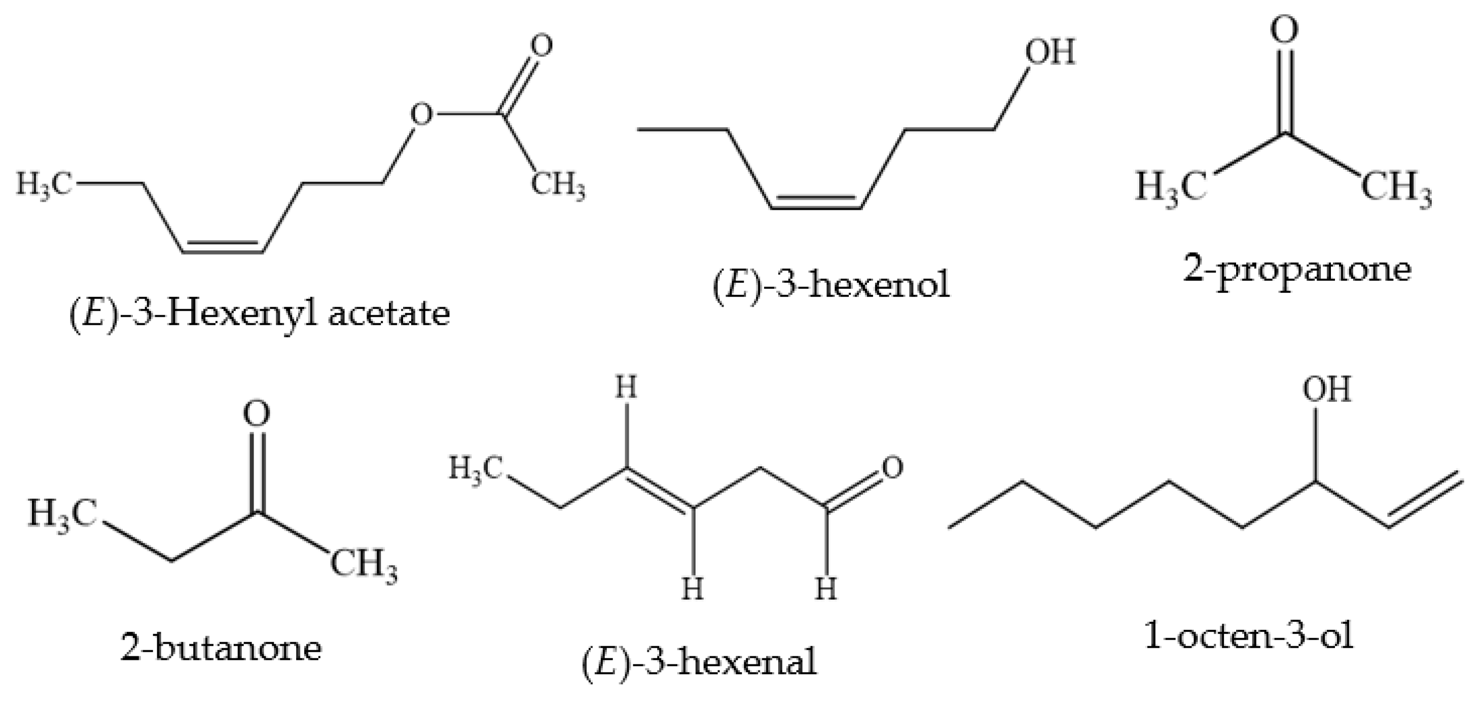
| Volatile components reported in clover plants | (E)-3-Hexenyl acetate | Not reported |
| (E)-3-hexenol | Not reported | |
| 2-propanone | Not reported | |
| 2-butanone | Not reported | |
| (E)-3-hexenal | Not reported | |
| 1-octen-3-ol | Not reported | |
| Volatile components found in Clover honey | β-phellandrene | 2.17% |
| Benzenacetaldehyde | 5.84% | |
| β-menthane | 2.23% | |
| Thymol | 2.03% | |
| Ethyl 2-(5-methyl-5-vinyltetrahydrofuran-2-yl) propan-2-ylcarbonate | 2.84% | |
| Carophyllene | 11.23% | |
| 13-epimanool | 1.45% | |
| Phenylacetic acid | 5.35–25.5% | |
| p-eugenol | 6.54% | |
| Phenylethyl alcohol | 2.03% | |
| α-(phenylmethyl) benzenethanol | 6.44% | |
| p-acetoxyanisole | 2.89% | |
| N-butylbenzensulfonamide | 10.94% | |
| Volatile constituents found in red clover honey | Lilac aldehyde | 7.6–21.4% |
| Benzaldehyde | 7.0–15.7% | |
| Octanoic acid | 0.7–2.9% | |
| Nonanoic acid | Not reported | |
| Compounds reported in white clover honey | Palmitic acid | Not reported |
| Lignoceric | Not reported | |
| Oleic | Not reported | |
| α-linolenic acid | Not reported | |
| Succinic acid | Not reported | |
| Octanedioic | Not reported | |
| Decanedioic | Not reported | |
| 2-decenedioic | 32.1 µg/g | |
| Nonanedioic acids | Not reported | |
| 2-hydroxy-3-phenylpropionic acid | 2.5–66.9 µg/g | |
| Benzoic acid | Not reported | |
| Miscellaneous compounds | Coumarin | 0.05 to 0.88 mg/kg |
| Lumichrome | 1.85% | |
| Hydroxymethyl furfural | 10.73–77.13 mg/kg |
| Bioactivity | Clover Honey Type |
|---|---|
| Antioxidant activity | Red clover; Egyptian clover |
| Antimicrobial activity | Red clover; Egyptian clover; Alsike clover |
| Wound healing activity | Egyptian clover |
| Anti-corrosive activity | Red clover |
Publisher’s Note: MDPI stays neutral with regard to jurisdictional claims in published maps and institutional affiliations. |
© 2022 by the authors. Licensee MDPI, Basel, Switzerland. This article is an open access article distributed under the terms and conditions of the Creative Commons Attribution (CC BY) license (https://creativecommons.org/licenses/by/4.0/).
Share and Cite
Sultana, S.; Foster, K.; Lim, L.Y.; Hammer, K.; Locher, C. A Review of the Phytochemistry and Bioactivity of Clover Honeys (Trifolium spp.). Foods 2022, 11, 1901. https://doi.org/10.3390/foods11131901
Sultana S, Foster K, Lim LY, Hammer K, Locher C. A Review of the Phytochemistry and Bioactivity of Clover Honeys (Trifolium spp.). Foods. 2022; 11(13):1901. https://doi.org/10.3390/foods11131901
Chicago/Turabian StyleSultana, Sharmin, Kevin Foster, Lee Yong Lim, Katherine Hammer, and Cornelia Locher. 2022. "A Review of the Phytochemistry and Bioactivity of Clover Honeys (Trifolium spp.)" Foods 11, no. 13: 1901. https://doi.org/10.3390/foods11131901
APA StyleSultana, S., Foster, K., Lim, L. Y., Hammer, K., & Locher, C. (2022). A Review of the Phytochemistry and Bioactivity of Clover Honeys (Trifolium spp.). Foods, 11(13), 1901. https://doi.org/10.3390/foods11131901

