Microbial Interactions between Amylolytic and Non-Amylolytic Lactic Acid Bacteria Strains Isolated during the Fermentation of Pozol
Abstract
:1. Introduction
2. Materials and Methods
2.1. Bacterial Strains
2.2. Inoculum Preparation
2.3. Monoculture Fermentation
2.4. Mixed Culture Fermentations
2.5. Sample Collection and pH Determination
2.6. Biomass Determination
2.7. Determination of α-Amylase Activity
2.8. HPLC Analysis
2.9. Sugars Quantification
2.10. Kinetic Parameters
2.11. DNA Extraction
2.12. Real-Time PCR Primer Design and Assay Conditions
2.13. Calibration of Standards
3. Results
3.1. Growth of Amylolytic and Non-Amylolytic-LAB in Pure and Mixed Culture
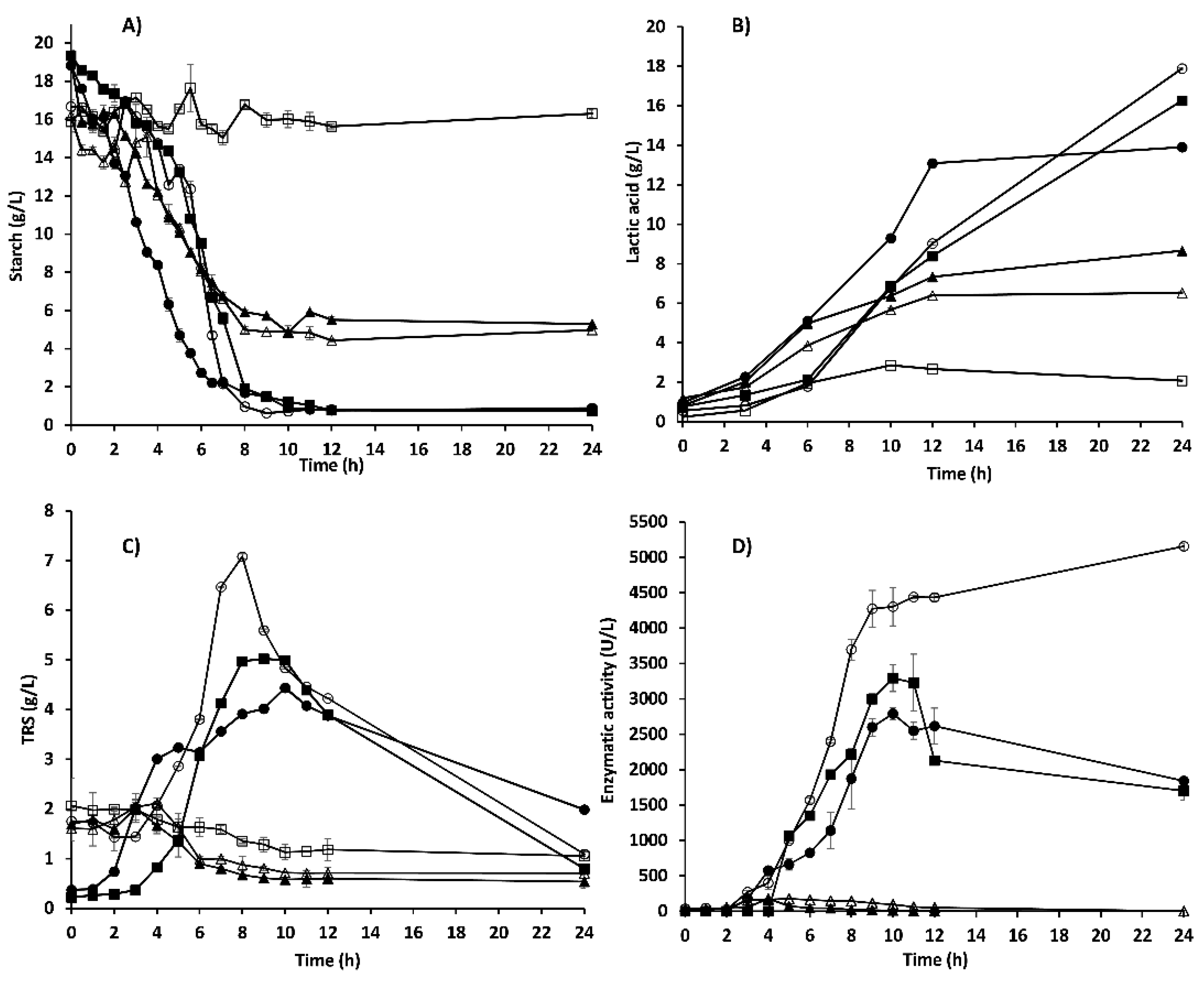
3.2. Starch Hydrolysis
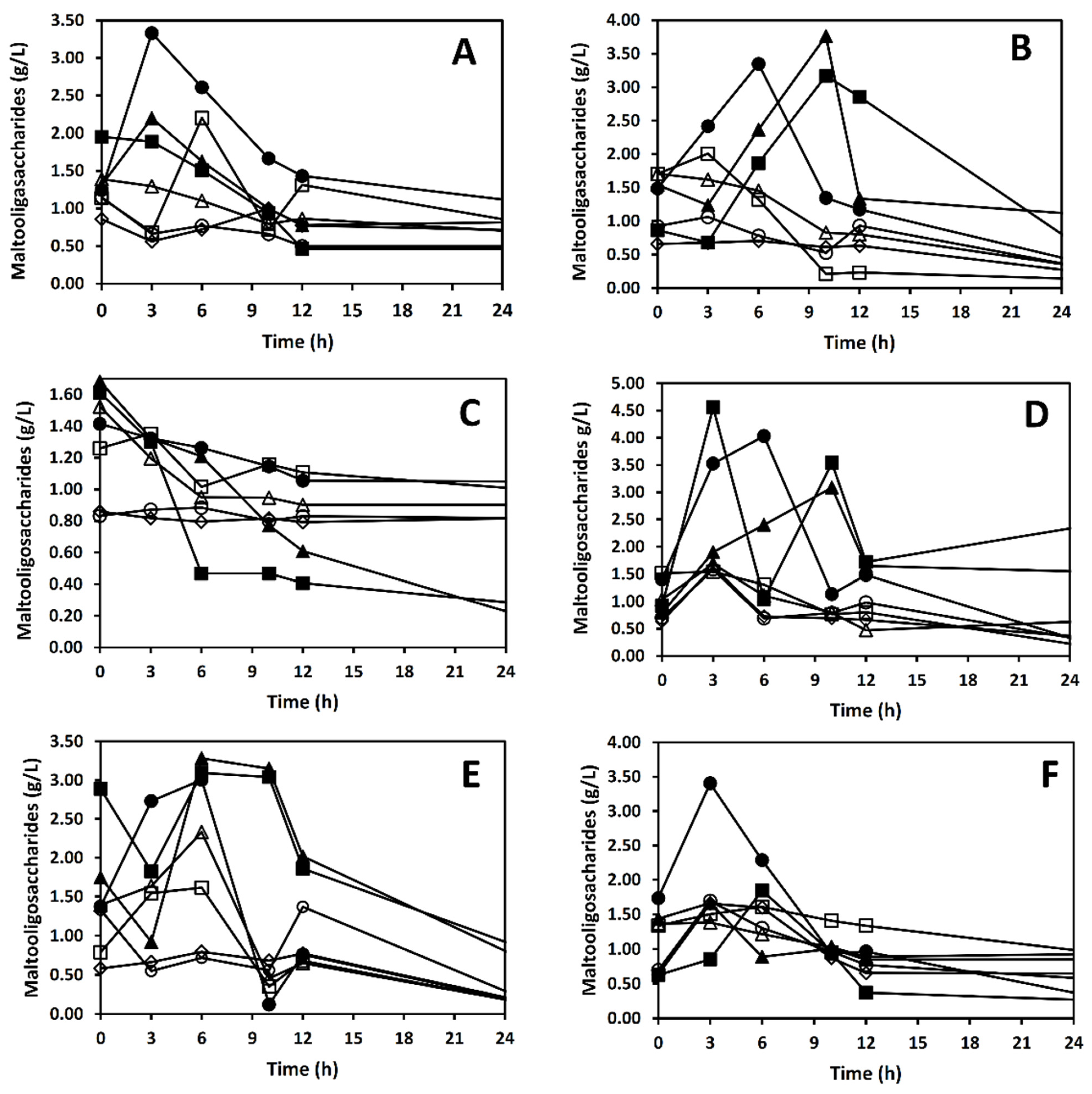
3.3. Amylolytic Activity and Starch Hydrolysis Products
3.4. Lactic Acid Production
3.5. Efficiency of Fermentation
4. Discussion
5. Conclusions
Author Contributions
Funding
Conflicts of Interest
References
- Brandt, M.J. Starter cultures for cereal based foods. Food Microbiol. 2014, 37, 41–43. [Google Scholar] [CrossRef]
- Marsh, A.J.; Hill, C.; Ross, R.; Cotter, P.D. Fermented beverages with health-promoting potential: Past and future perspectives. Trends Food Sci. Technol. 2014, 38, 113–124. [Google Scholar] [CrossRef] [Green Version]
- Wacher, C.; Cañas, A.; Bárzana, E.; Lappe, P.; Ulloa, M.; Owens, J. Microbiology of Indian and Mestizo pozol fermentations. Food Microbiol. 2000, 17, 251–256. [Google Scholar] [CrossRef]
- Cañas, A.; Barzana, E.; Owens, J.D.; Wacher, C. La elaboración de pozol en los altos de Chiapas. Ciencia 1993, 44, 219–229. [Google Scholar]
- Wacher, C. Nixtamalization, a Mesoamerican technology to process maize at small-scale with great potential for improving the nutritional quality of maize based foods. In Proceedings of the Food-Based Approaches for a Healthy Nutrition, Ouagadougou, Burkina Faso, 23–28 November 2003; pp. 735–743. [Google Scholar]
- Ampe, F.; ben Omar, N.; Moizan, C.; Wacher, C.; Guyot, J.-P. Polyphasic Study of the Spatial Distribution of Microorganisms in Mexican Pozol, a Fermented Maize Dough, Demonstrates the Need for Cultivation-Independent Methods To Investigate Traditional Fermentations. Appl. Environ. Microbiol. 1999, 65, 5464–5473. [Google Scholar] [CrossRef] [PubMed] [Green Version]
- Cárdenas, C.; Barkla, B.; Wacher, C.; Delgado-Olivares, L.; Rodríguez-Sanoja, R. Protein extraction method for the proteomic study of a Mexican traditional fermented starchy food. J. Proteom. 2014, 111, 139–147. [Google Scholar] [CrossRef] [PubMed]
- Díaz-Ruiz, G.; Guyot, J.P.; Ruiz-Teran, F.; Wacher, C. Microbial and Physiological Characterization of Weakly Amylolytic but Fast-Growing Lactic Acid Bacteria: A Functional Role in Supporting Microbial Diversity in Pozol, a Mexican Fermented Maize Beverage. Appl. Environ. Microbiol. 2003, 69, 4367–4374. [Google Scholar] [CrossRef] [Green Version]
- Escalante, A.; Wacher, C.; Farrés, A. Lactic acid bacterial diversity in the traditional Mexican fermented dough pozol as determined by 16S rDNA sequence analysis. Int. J. Food Microbiol. 2001, 64, 21–31. [Google Scholar] [CrossRef]
- ben Omar, N.; Ampe, F. Microbial Community Dynamics during Production of the Mexican Fermented Maize Dough Pozol. Appl. Environ. Microbiol. 2000, 66, 3664–3673. [Google Scholar] [CrossRef] [Green Version]
- Zheng, J.; Wittouck, S.; Salvetti, E.; Franz, C.M.; Harris, H.M.; Mattarelli, P.; O’Toole, P.W.; Pot, B.; Vandamme, P.; Walter, J.; et al. A taxonomic note on the genus Lactobacillus: Description of 23 novel genera, emended description of the genus Lactobacillus Beijerinck 1901, and union of Lactobacillaceae and Leuconostocaceae. Int. J. Syst. Evol. Microbiol. 2020, 70, 2782–2858. [Google Scholar] [CrossRef]
- Settanni, L.; Corsetti, A. Application of bacteriocins in vegetable food biopreservation. Int. J. Food Microbiol. 2008, 121, 123–138. [Google Scholar] [CrossRef]
- Londoño-Zapata, A.F.; Durango-Zuleta, M.M.; Sepúlveda-Valencia, J.U.; Herrera, C.X.M. Characterization of lactic acid bacterial communities associated with a traditional Colombian cheese: Double cream cheese. LWT 2017, 82, 39–48. [Google Scholar] [CrossRef]
- Londoño-Zapandta, S.A.H.F.; Durayngo-Zuleta, M.M.; Sepúlveda-Valencia, J.U.; Herrera, C.X.M. Chamylolyracterizaticon of lactic acid bacterial communicrobtiologyes anssociated witechnolog a tradical interventionsal Colombian food fermentations. In Fermented Foods Part I: Biocheese: Double Creamistry and Biotechnology, 1st ed.; Montet, D., Ray, R.C., Eds.; LW Taylor and Francis Group: New York, NY, USA, 2016. [Google Scholar]
- Rodríguez-Saavedra, C.; Rodríguez-Sanoja, R.; Guillén, D.; Wacher, C.; Díaz-Ruiz, G. Streptococcus infantarius 25124 isolated from pozol produces a high molecular weight amylopullulanase, a key enzyme for niche colonization. Amylase 2021, 5, 1–12. [Google Scholar] [CrossRef]
- Hernández-Oaxaca, D.; López-Sánchez, R.; Lozano, L.; Wacher-Rodarte, C.; Segovia, L.; Munguía, A.L. Corrigendum: Diversity of Weissella confusa in Pozol and Its Carbohydrate Metabolism. Front. Microbiol. 2021, 12, 683050. [Google Scholar] [CrossRef] [PubMed]
- Flores-Espinosa, M.T. Caracterización Fisiológica de las Bacterias Lácticas Aisladas del Pozol. Bachelor’s Thesis, Universidad Nacional Autónoma de México, Mexico City, Mexico, 1996. [Google Scholar]
- Giraud, E.; Brauman, A.; Keleke, S.; Lelong, B.; Raimbault, M. Isolation and physiological study of an amylolytic strain of Lactobacillus plantarum. Appl. Microbiol. Biotechnol. 1991, 36, 379–383. [Google Scholar] [CrossRef]
- Agati, V.; Guyot, J.; Talamond, P.; Hounhouigan, D. Isolation and characterization of new amylolytic strains of Lactobacillus fermentum from fermented maize doughs (mawè and ogi) from Benin. J. Appl. Microbiol. 1998, 85, 512–520. [Google Scholar] [CrossRef]
- Giraud, E.; Gosselin, L.; Raimbault, M. Production of a Lactobacillus plantarum starter with linamarase and amylase activities for cassava fermentation. J. Sci. Food Agric. 1993, 62, 77–82. [Google Scholar] [CrossRef]
- Dubois, M.; Gilles, K.A.; Hamilton, J.K.; Rebers, P.A.; Smith, F. Colorimetric Method for Determination of Sugars and Related Substances. Anal. Chem. 1956, 28, 350–356. [Google Scholar] [CrossRef]
- Miller, G.L. Use of Dinitrosalicylic Acid Reagent for Determination of Reducing Sugar. Anal. Chem. 1959, 31, 426–428. [Google Scholar] [CrossRef]
- Songré-Ouattara, L.T.; Mouquet-Rivier, C.; Humblot, C.; Rochette, I.; Diawara, B.; Guyot, J.-P. Ability of Selected Lactic Acid Bacteria to Ferment a Pearl Millet-Soybean Slurry to Produce Gruels for Complementary Foods for Young Children. J. Food Sci. 2010, 75, M261–M269. [Google Scholar] [CrossRef]
- Humblot, C.; Turpin, W.; Chevalier, F.; Picq, C.; Rochette, I.; Guyot, J.-P. Determination of expression and activity of genes involved in starch metabolism in Lactobacillus plantarum A6 during fermentation of a cereal-based gruel. Int. J. Food Microbiol. 2014, 185, 103–111. [Google Scholar] [CrossRef]
- Mukisa, I.M.; Byaruhanga, Y.B.; Muyanja, C.M.B.K.; Aijuka, M.; Schüller, R.B.; Sahlstrøm, S.; Langsrud, T.; Narvhus, J.A. Influence of Cofermentation by Amylolytic Lactobacillus plantarum and Lactococcus lactis Strains on the Fermentation Process and Rheology of Sorghum Porridge. Appl. Environ. Microbiol. 2012, 78, 5220–5228. [Google Scholar] [CrossRef] [PubMed] [Green Version]
- Turpin, W.; Weiman, M.; Guyot, J.-P.; Lajus, A.; Cruveiller, S.; Humblot, C. The genomic and transcriptomic basis of the potential of Lactobacillus plantarum A6 to improve the nutritional quality of a cereal based fermented food. Int. J. Food Microbiol. 2018, 266, 346–354. [Google Scholar] [CrossRef]
- Cooper-Bribiesca, B.; Navarro-Ocaña, A.; Díaz-Ruiz, G.; Aguilar-Osorio, G.; Rodríguez-Sanoja, R.; Wacher, C. Lactic Acid Fermentation of Arabinoxylan From Nejayote by Streptococcus infantarius ssp. infantarius 25124 Isolated from Pozol. Front. Microbiol. 2018, 9, 3061. [Google Scholar] [CrossRef] [PubMed]
- Rizo, J.; Guillén, D.; Díaz-Ruiz, G.; Wacher, C.; Encarnación, S.; Sánchez, S.; Rodríguez-Sanoja, R. Metaproteomic Insights Into the Microbial Community in Pozol. Front. Nutr. 2021, 8, 714814. [Google Scholar] [CrossRef] [PubMed]
- López-Hernández, M.; Alegria, M.E.R.; Munguia, A.L.; Wacher, C. Evaluation of xylan as carbon source for Weissella spp., a predominant strain in pozol fermentation. LWT 2018, 89, 192–197. [Google Scholar] [CrossRef]




| Inoculum | Parameters | ||||||||
|---|---|---|---|---|---|---|---|---|---|
| Yx/s | Ylac/s | Ylac/x | Yamy/x | Yamy/s | µ | qlac a | qs b | qamy c | |
| g/g | g/g | g/g | U/g | U/g | h−1 | ||||
| L. plantarum | 0.24 ± 0.03 d | 1.09 ± 0.13 e | 4.57 ± 0.02 b | 1348.53 ± 20.40 c | 323.39 ± 40.82 bc | 0.43 ± 0.00 d | 1.95 ± 0.01 c | 1.79 ± 0.20 b | 577.37 ± 8.74 d |
| S. infantarius | 0.09 ± 0.00 b | 0.50 ± 0.00 b | 5.27 ± 0.03 c | 200.74 ± 3.15 b | 18.73 ± 0.50 ª | 0.28 ± 0.02 b | 1.49 ± 0.07 b | 2.96 ± 0.04 d | 56.75 ± 0.89 a |
| W. confusa | 0.027 ± 0.00 a | 0.32 ± 0.02 a | 10.21 ± 0.05 f | nd | nd | 0.27 ± 0.01 b | 2.71 ± 0.13 e | 9.70 ± 0.16 e | nd |
| L.p-S.i | 0.22 ± 0.01 d | 0.82 ± 0.00 cd | 3.73 ± 0.16 ª | 1668.66 ± 2.11 d | 334.21 ± 1.05 c | 0.11 ± 0.01 ª | 0.4 ± 0.02 ª | 0.48 ± 0.02 a | 177.89 ± 0.22 b |
| L.p-W.c | 0.15 ± 0.00 c | 0.86 ± 0.02 d | 5.91 ± 0.11 d | 1232.33 ± 173.22 c | 280.71 ± 14.62 b | 0.33 ± 0.01 c | 1.94 ± 0.03 c | 2.26 ± 0.02 c | 404.00 ± 56.85 c |
| S.i-W.c | 0.11 ± 0.00 b | 0.72 ± 0.02 c | 7.43 ± 0.02 e | 303.85 ± 16.80 b | 27.16 ± 1.34 a | 0.33 ± 0.01 c | 2.47 ± 0.08 d | 2.90 ± 0.14 d | 101.03 ± 4.86 a |
Publisher’s Note: MDPI stays neutral with regard to jurisdictional claims in published maps and institutional affiliations. |
© 2021 by the authors. Licensee MDPI, Basel, Switzerland. This article is an open access article distributed under the terms and conditions of the Creative Commons Attribution (CC BY) license (https://creativecommons.org/licenses/by/4.0/).
Share and Cite
Bolaños-Núñez, S.; Santiago-Urbina, J.A.; Guyot, J.-P.; Díaz-Ruiz, G.; Wacher, C. Microbial Interactions between Amylolytic and Non-Amylolytic Lactic Acid Bacteria Strains Isolated during the Fermentation of Pozol. Foods 2021, 10, 2607. https://doi.org/10.3390/foods10112607
Bolaños-Núñez S, Santiago-Urbina JA, Guyot J-P, Díaz-Ruiz G, Wacher C. Microbial Interactions between Amylolytic and Non-Amylolytic Lactic Acid Bacteria Strains Isolated during the Fermentation of Pozol. Foods. 2021; 10(11):2607. https://doi.org/10.3390/foods10112607
Chicago/Turabian StyleBolaños-Núñez, Sandra, Jorge A. Santiago-Urbina, Jean-Pierre Guyot, Gloria Díaz-Ruiz, and Carmen Wacher. 2021. "Microbial Interactions between Amylolytic and Non-Amylolytic Lactic Acid Bacteria Strains Isolated during the Fermentation of Pozol" Foods 10, no. 11: 2607. https://doi.org/10.3390/foods10112607
APA StyleBolaños-Núñez, S., Santiago-Urbina, J. A., Guyot, J.-P., Díaz-Ruiz, G., & Wacher, C. (2021). Microbial Interactions between Amylolytic and Non-Amylolytic Lactic Acid Bacteria Strains Isolated during the Fermentation of Pozol. Foods, 10(11), 2607. https://doi.org/10.3390/foods10112607
