Simulation of AlGaN/GaN HEMTs’ Breakdown Voltage Enhancement Using Gate Field-Plate, Source Field-Plate and Drain Field Plate
Abstract
1. Introduction
2. Physic Models
3. Influences of Structural Parameters of Different Field-Plates
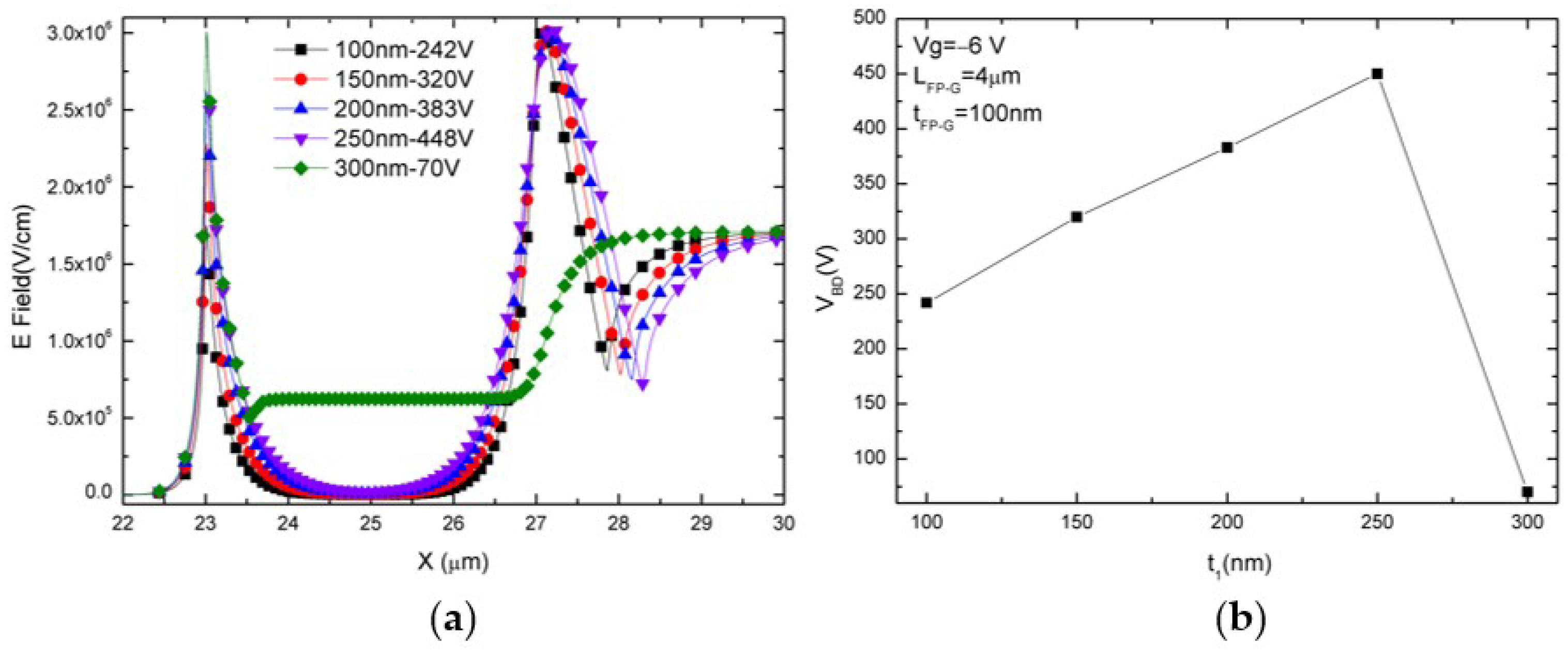
3.1. Gate Field-Plate
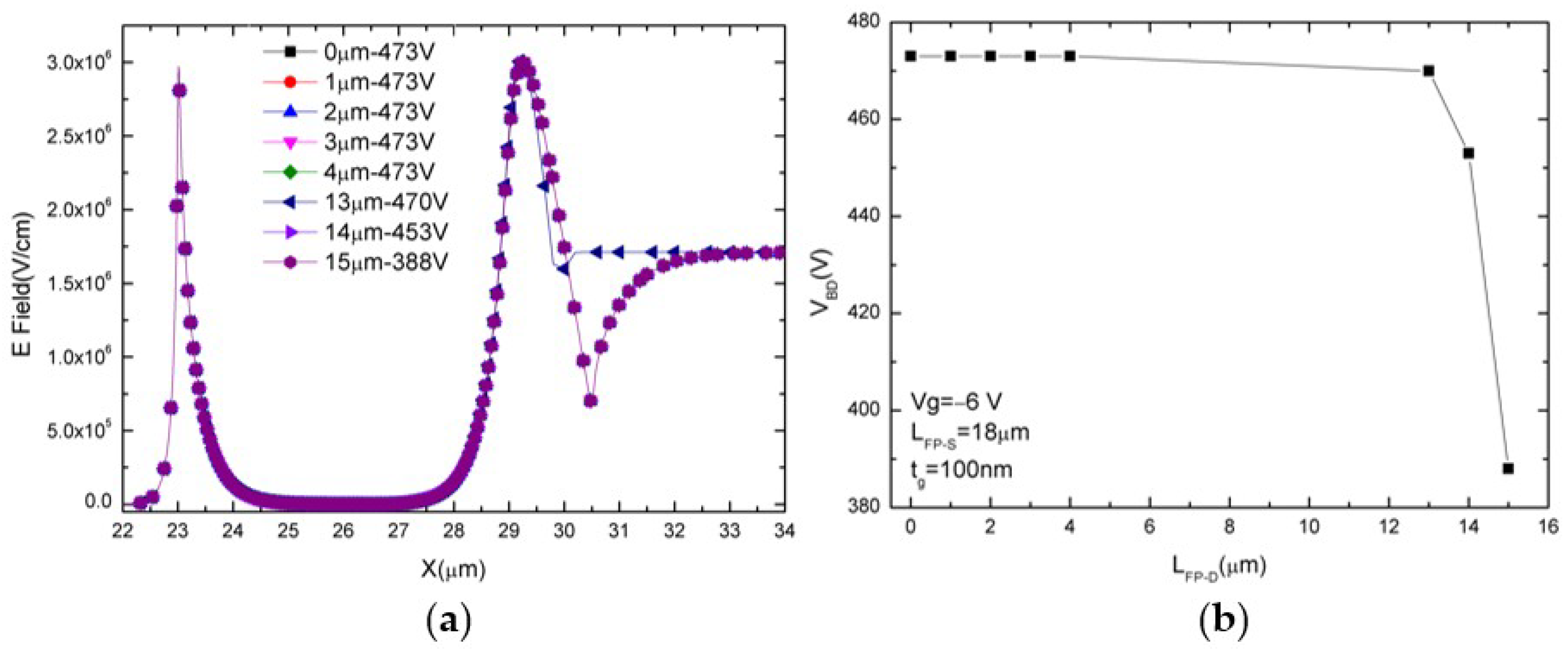
3.2. Source Field-Plate
3.3. Drain Field-Plate
4. Devices Contained with FP-G, FP-S, and FP-D
5. Conclusions
Author Contributions
Funding
Conflicts of Interest
References
- Mishra, U.K.; Shen, L.; Kazior, T.E.; Wu, Y.F. GaN-Based RF Power Devices and Amplifiers. Proc. IEEE 2008, 96, 287–305. [Google Scholar] [CrossRef]
- Liu, Y.; Chai, C.; Chunlei, S.; Fan, Q.; Liu, Y. Optimization design on breakdown voltage of AlGaN/GaN high-electron mobility transistor. J. Semicond. 2016, 37, 40–44. [Google Scholar] [CrossRef]
- Zeng, F.; An, J.X.; Zhou, G.; Li, W.; Wang, H.; Duan, T.; Jiang, L.; Yu, H. A Comprehensive Review of Recent Progress on GaN High Electron Mobility Transistors: Devices, Fabrication and Reliability. Electronics 2018, 7, 377. [Google Scholar] [CrossRef]
- Kuzuhara, M.; Asubar, J.T.; Tokuda, H. AlGaN/GaN high-electron-mobility transistor technology for high-voltage and low-on-resistance operation. Jpn. J. Appl. Phys. 2016, 55, 070101. [Google Scholar] [CrossRef]
- Karmalkar, S.; Mishra, U.K. Enhancement of breakdown voltage in AlGaN/GaN high electron mobility transistors using a field plate. IEEE Trans. Electron Devices 2001, 48, 1515–1521. [Google Scholar] [CrossRef]
- Zhang, N.Q.; Keller, S.; Parish, G.; Heikman, S.; Denbaars, S.; Mishra, U.K. High. breakdown GaN HEMT with overlapping gate structure. IEEE Electron Device Lett. 2000, 21, 421–423. [Google Scholar] [CrossRef]
- Bahat-Treidel, E.; Hilt, O.; Brunner, F.; Sidorov, V.; Würfl, J.; Tränkle, G. AlGaN/GaN/AlGaN DH-HEMTs Breakdown Voltage Enhancement Using Multiple Grating Field Plates (MGFPs). IEEE Trans. Electron Devices 2010, 57, 1208–1216. [Google Scholar] [CrossRef]
- Bahat-Treidel, E.; Sidorov, V.; Würfl, J.; Tränkle, G. Simulation of AlGaN/GaN HEMTs’ Breakdown Voltage Enhancement Using Grating Field Plates. Simul. Semicond. Process. Devices 2007, 277–280. [Google Scholar] [CrossRef]
- Dora, Y.; Chakraborty, A.; McCarthy, L.; Keller, S.; Denbaars, S.P.; Mishra, U.K. High Breakdown Voltage Achieved on AlGaN/GaN HEMTs With Integrated Slant Field Plates. IEEE Electron Device Lett. 2006, 27, 713–715. [Google Scholar] [CrossRef]
- Kong, X.; Wei, K.; Liu, G.-G.; Liu, X.-Y. Improvement of breakdown characteristics of an AlGaN/GaN HEMT with a U-type gate foot for millimeter-wave power application. Chin. Phys. B 2012, 21, 128501. [Google Scholar] [CrossRef]
- Mao, W.; She, W.-B.; Yang, C.; Zhang, C.; Zhang, J.-C.; Ma, X.-H.; Zhang, J.-F.; Liu, H.-X.; Yang, L.-A.; Zhang, K.; et al. A two-dimensional fully analytical model with polarization effect for off-state channel potential and electric field distributions of GaN-based field-plated high electron mobility transistor. Chin. Phys. B 2014, 23, 87305. [Google Scholar] [CrossRef]
- Kaddeche, M.; Telia, A.; Soltani, A. Modeling of AlGaN/GaN HEMTs using field-plate technology. In Proceedings of the 2009 3rd International Conference on Signals, Circuits and Systems (SCS), Medenine, Tunisia, 6–8 November 2009; pp. 1–4. [Google Scholar]
- Wu, W.-H.; Lin, Y.-C.; Chin, P.-C.; Hsu, C.-C.; Lee, J.-H.; Liu, S.-C.; Maa, J.S.; Iwai, H.; Chang, E.Y.; Hsu, H.T. Reliability improvement in GaN HEMT power device using a field plate approach. Solid-State Electron. 2017, 133, 64–69. [Google Scholar] [CrossRef]
- Mao, W.; Fan, S.-J.; Du, M.; Zhang, J.-F.; Zhang, J.-C.; Zheng, X.-F.; Wang, C.; Ma, X.-H.; Zhang, J.-C.; Hao, Y. Analysis of the modulation mechanisms of the electric field and breakdown performance in AlGaN/GaN HEMT with a T-shaped field-plate. Chin. Phys. B 2016, 25, 127305. [Google Scholar] [CrossRef]
- Amit, M.; Rawal, D.S.; Sharma, S.; Kapoor, S.; Liashram, R.; Chaubey, R.K.; Vinayak, S.; Sharma, R.K. Design and Fabrication of Multi-finger Field Plate for Enhancement of AlGaN/GaN HEMT Breakdown Voltage. Defence Sci. J. 2018, 68, 290. [Google Scholar] [CrossRef]
- Saito, W.; Nitta, T.; Kakiuchi, Y.; Saito, Y.; Tsuda, K.; Omura, I.; Yamaguchi, M. Suppression of Dynamic On-Resistance Increase and Gate Charge Measurements in High-Voltage GaN-HEMTs With Optimized Field-Plate Structure. IEEE Trans. Electron Devices 2007, 54, 1825–1830. [Google Scholar] [CrossRef]
- Benny Sathish, M.; Fletcher, A.S.A. Design and modeling of HEMT using field plate technique. In Proceedings of the 2017 International Conference on Innovations in Electrical, Electronics, Instrumentation and Media Technology (ICEEIMT), Coimbatore, India, 3–4 February 2017; pp. 157–159. [Google Scholar] [CrossRef]
- Uemoto, Y.; Shibata, D.; Yanagihara, M.; Ishida, H.; Matsuo, H.; Nagai, S.; Batta, N.; Li, M.; Ueda, T.; Tanaka, T.; et al. 8300 V Blocking Voltage AlGaN/GaN Power HFET with Thick Poly-AlN Passivation. In Proceedings of the 2007 IEEE International Electron. Devices Meeting, Washington, DC, USA, 10–12 December 2007; pp. 861–864. [Google Scholar]
- Kabemura, T.; Ueda, S.; Kawada, Y.; Horio, K. Enhancement of Breakdown Voltage in AlGaN/GaN HEMTs: Field Plate Plus High-k Passivation Layer and High Acceptor Density in Buffer Layer. IEEE Trans. Electron Devices 2018, 65, 3848–3854. [Google Scholar] [CrossRef]
- Aamir Ahsan, S.; Ghosh, S.; Sharma, K.; Dasgupta, A.; Khandelwal, S.; Chauhan, Y.S. Capacitance Modeling in Dual Field-Plate Power GaN HEMT for Accurate Switching Behavior. IEEE Trans. Electron Devices 2016, 63, 565–572. [Google Scholar] [CrossRef]
- Saito, W.; Kuraguchi, M.; Takada, Y.; Tsuda, K.; Omura, I.; Ogura, T. Design Optimization of High Breakdown Voltage AlGaN–GaN Power HEMT on an Insulating Substrate for RONA-VB Tradeoff Characteristics. IEEE Trans. Electron Devices 2005, 52, 106–111. [Google Scholar] [CrossRef]
- Mao, W.; She, W.-B.; Yang, C.; Zhang, J.-F.; Zheng, X.-F.; Wang, C.; Hao, Y. Reverse blocking characteristics and mechanisms in Schottky-drain AlGaN/GaN HEMT with a drain field plate and floating field plates. Chin. Phys. B 2016, 25, 017303. [Google Scholar] [CrossRef]
- Lian, Y.-W.; Lin, Y.-S.; Lu, H.-C.; Huang, Y.-C.; Hsu, S.S.H. AlGaN/GaN HEMTs on Silicon With Hybrid Schottky–Ohmic Drain for High Breakdown Voltage and Low Leakage Current. IEEE Electron Device Lett. 2012, 33, 973–975. [Google Scholar] [CrossRef]
- Silvaco TCAD. Version 2016 Software for DC, AC and Transient Analysis for Compound Semiconductor Devices; Silvaco Inc.: Santa Clara, CA, USA, 2016. [Google Scholar]
- Hu, J.; Stoffels, S.; Lenci, S.; Bakeroot, B.; De Jaeger, B.; Van Hove, M.; Ronchi, N.; Venegas, R.; Liang, H.; Zhao, M.; et al. Performance Optimization of Au-Free Lateral AlGaN/GaN Schottky Barrier Diode with Gated Edge Termination on 200-mm Silicon Substrate. IEEE Trans. Electron Devices 2016, 63, 997–1004. [Google Scholar] [CrossRef]
- Zhe, C.; Yun, Z.; Lian, Z.; Zhao, Y.B.; Wang, J.X.; Li, J.M. Normally-off recessed MOS-gate AlGaN/GaN HEMTs with over +4 V saturation drain current density and a 400 V breakdown voltage. In Proceedings of the China International Forum on Solid State Lighting: International Forum on Wide Bandgap Semiconductors, Beijing, China, 15–17 November 2016. [Google Scholar]
- Hu, J.; Lenci, S.; Stoffels, S.; Jaeger, B.D.; Groeseneken, G.; Decoutere, S. Leakage-current reduction and improved on-state performance of Au-free AlGaN/GaN-on-Si Schottky diode by embedding the edge terminations in the anode region. Phys. Status Solidi C 2014, 11, 862–865. [Google Scholar] [CrossRef]
- Hanawa, H.; Onodera, H.; Nakajima, A.; Horio, K. Numerical Analysis of Breakdown Voltage Enhancement in AlGaN/GaN HEMTs With a High-k Passivation Layer. IEEE Trans. Electron Devices 2014, 61, 769–775. [Google Scholar] [CrossRef]
- Chvála, A.; Nagy, L.; Marek, J.; Priesol, J.; Donoval, D.; Blaho, M.; Gregušová, D.; Kuzmík, J.; Šatka, A. Characterization of Monolithic InAlN/GaN NAND Logic Cell Supported by Circuit and Device Simulations. IEEE Trans. Electron Devices 2018, 65, 2666–2669. [Google Scholar] [CrossRef]
- Horio, K.; Yonemoto, K.; Takayanagi, H.; Nakano, H. Physics-based simulation of buffer-trapping effects on slow current transients and current collapse in GaN field effect transistors. J. Appl. Phys. 2005, 98, 124502. [Google Scholar] [CrossRef]
- Hanawa, H.; Horio, K. Increase in breakdown voltage of AlGaN/GaN HEMTs with a high-kdielectric layer. Phys. Status Solidi A 2014, 211, 784–787. [Google Scholar] [CrossRef]
- Shealy, J.R.; Prunty, T.R.; Chumbes, E.M.; Ridley, B.K. Growth and passivation of AlGaN/GaN heterostructures. J. Cryst. Growth 2003, 250, 7–13. [Google Scholar] [CrossRef]
- Xu, Z.; Zhou, Y.; Li, J. 200 °C normally off AlGaN/GaN MISFET with 321 mA/mm drain current density and 1055 V breakdown voltage. Electron. Lett. 2019, 55, 282–283. [Google Scholar] [CrossRef]
- Aminbeidokhti, A.; Dimitrijev, S.; Han, J.; Chen, X.; Xu, X. The Power Law of Phonon-Limited Electron Mobility in the 2-D Electron Gas of AlGaN/GaN Heterostructure. IEEE Trans. Electron Devices 2016, 63, 2214–2218. [Google Scholar] [CrossRef]
- Kunihiro, K.; Kasahara, K.; Takahashi, Y.; Ohno, Y. Experimental evaluation of impact ionization coefficients in GaN. IEEE Electron Device Lett. 1999, 20, 608–610. [Google Scholar] [CrossRef]













| Parameter | Optimized Value |
|---|---|
| t1 | 250 nm |
| LFP-G | 4 μm |
| tFP-G | 100 nm |
| tFP-S | 1.4 μm |
| LFP-D | 1 μm |
© 2019 by the authors. Licensee MDPI, Basel, Switzerland. This article is an open access article distributed under the terms and conditions of the Creative Commons Attribution (CC BY) license (http://creativecommons.org/licenses/by/4.0/).
Share and Cite
Liao, B.; Zhou, Q.; Qin, J.; Wang, H. Simulation of AlGaN/GaN HEMTs’ Breakdown Voltage Enhancement Using Gate Field-Plate, Source Field-Plate and Drain Field Plate. Electronics 2019, 8, 406. https://doi.org/10.3390/electronics8040406
Liao B, Zhou Q, Qin J, Wang H. Simulation of AlGaN/GaN HEMTs’ Breakdown Voltage Enhancement Using Gate Field-Plate, Source Field-Plate and Drain Field Plate. Electronics. 2019; 8(4):406. https://doi.org/10.3390/electronics8040406
Chicago/Turabian StyleLiao, Biyan, Quanbin Zhou, Jian Qin, and Hong Wang. 2019. "Simulation of AlGaN/GaN HEMTs’ Breakdown Voltage Enhancement Using Gate Field-Plate, Source Field-Plate and Drain Field Plate" Electronics 8, no. 4: 406. https://doi.org/10.3390/electronics8040406
APA StyleLiao, B., Zhou, Q., Qin, J., & Wang, H. (2019). Simulation of AlGaN/GaN HEMTs’ Breakdown Voltage Enhancement Using Gate Field-Plate, Source Field-Plate and Drain Field Plate. Electronics, 8(4), 406. https://doi.org/10.3390/electronics8040406

