The Issue of Hydrodynamic Friction in the Context of the Operational Properties of Ring-Shaped Torsional Vibration Dampers
Abstract
1. Introduction
2. Materials and Methods
| Parameters of the torsional vibration viscous damper | |
|---|---|
| 1. The inner radius of the inertia ring | mm |
| 2. The outer radius of the housing interior | mm |
| 3. Inner radial clearance | mm |
| 4. Outer radial clearance | mm |
| 5. Width of the inertia ring | mm |
| 6. External surface of the damper | m2 |
| 7. Weight of the inertia ring | N |
| 8. The heat transfer coefficient | W·m−2K−1 |
| The remaining input values for calculation of the damper operating parameters | |
| 9. Type of silicone oil | M30000 |
| 10. Silicone oil density | kg·m−3 (Figure 5b) |
| 11. Silicone oil dynamic viscosity | kg ·m−1s−1 |
| (Figure 5a) | |
| 12. Ambient temperature | °C |
| 13. Relative angular velocity | rad·s−1 |
- Housing temperature, .
- Minimum height of inner and outer oil film, and .
- The damper’s construction elements are non-deformable, perfectly smooth, axial parallel, cylindrical surfaces, and their material is homogeneous.
- Oil is an incompressible Newtonian fluid; its viscosity is a function of temperature ; the pressure generated in the oil film may take values greater than or equal to zero; the pressure in the direction of the radial variable y is constant and the ambient pressure is constant.
- Oil flow is laminar for [48]; the velocity of the oil film near the surface is equal to the velocity of the surface rotating inertia ring or housing; the oil flow rate in the axial direction is much greater than the flow rate of oil flowing in the circumferential direction.
- Ambient temperature
- The heat is absorbed by conduction through the damper housing and discharged to the environment.
- The quantity describing the heat transfer intensity is the heat transfer coefficient W·m−2K−1 [48].
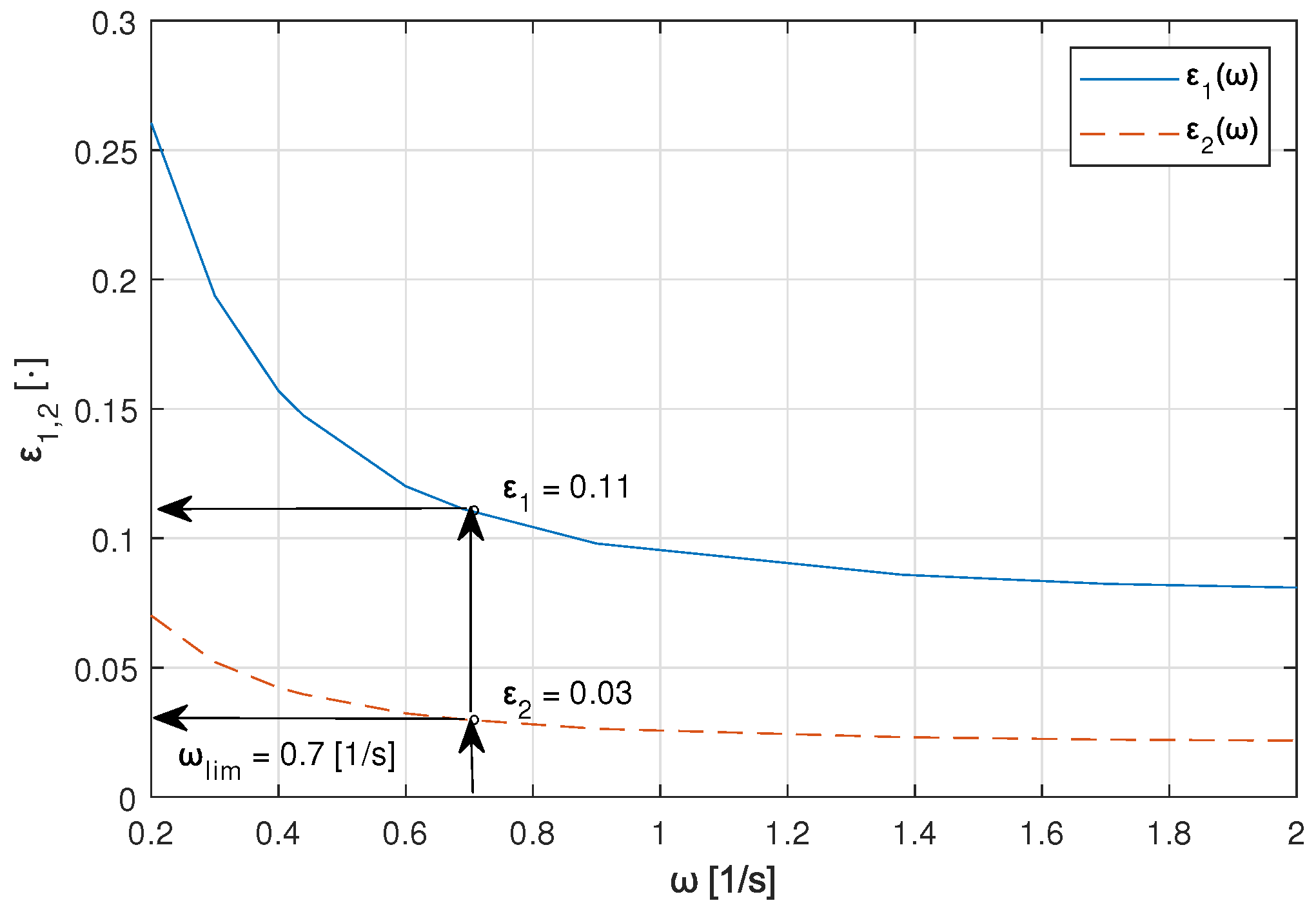
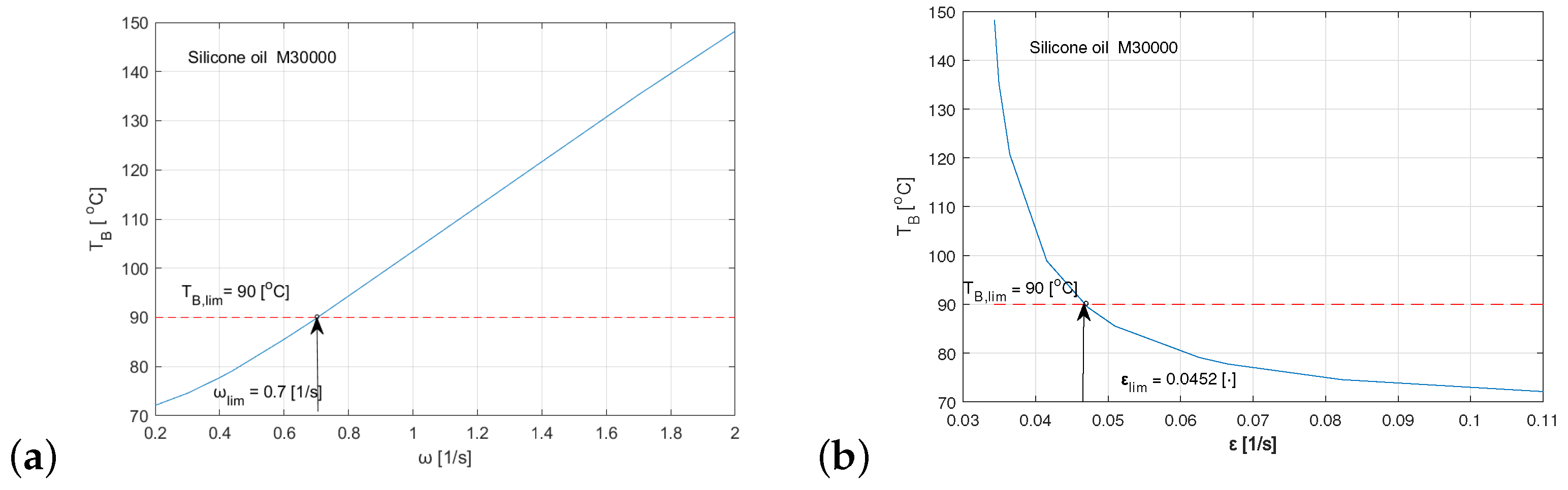
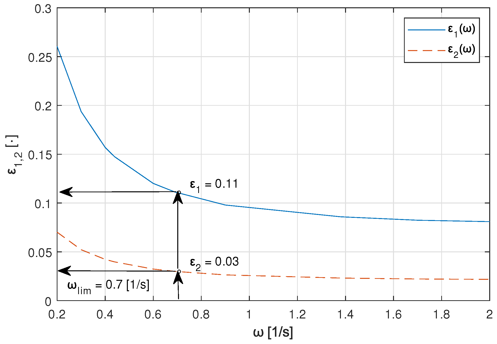
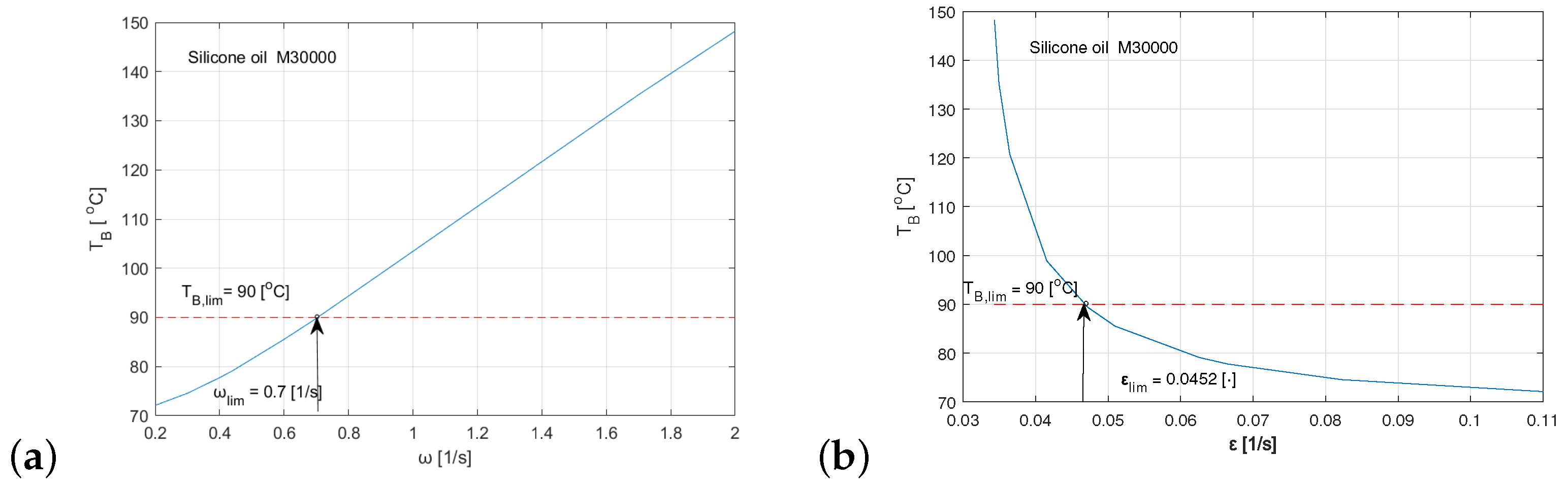
3. Results
4. Conclusions
Author Contributions
Funding
Institutional Review Board Statement
Informed Consent Statement
Data Availability Statement
Conflicts of Interest
References
- Novaković, B.; Djordjević, L.; Đurđev, M.; Radovanović, L.; Zuber, N.; Desnica, E.; Bakator, M. Effect of changes in hydraulic parameters and tank capacity of the hydraulic press system on the heating of the hydraulic oil. Eksploat. Niezawodn.—Maint. Reliab. 2024, 26, 190826. [Google Scholar] [CrossRef]
- Hryciów, Z.; Rybak, P.; Gieleta, R. The influence of temperature on the damping characteristic of hydraulic shock absorbers. Eksploat. Niezawodn.—Maint. Reliab. 2021, 23, 346–351. [Google Scholar] [CrossRef]
- Stawiński, Ł.; Kosucki, A.; Cebulak, M.; Górniak vel Górski, A.; Grala, M. Investigation of the influence of hydraulic oil temperature on the variable-speed pump performance. Eksploat. Niezawodn.—Maint. Reliab. 2022, 24, 289–296. [Google Scholar] [CrossRef]
- Chen, R.; Qiu, Z.; Wu, C.; Gan, X. Study on heat dissipation of torsional vibration damper for engine crankshaft. J. Physics: Conf. Ser. 2024, 2790, 012009. [Google Scholar] [CrossRef]
- Atzori, B.; Berto, F.; Lazzarin, P.; Quaresimin, M. A stress invariant based criterion to estimate fatigue damage under multiaxial loading. Int. J. Fatigue 2006, 28, 485–493. [Google Scholar] [CrossRef]
- Czarnigowski, J.; Drozdziel, P.; Kordos, P. Characteristic rotational speed ranges of a crankshaft during combustion engine operation at car maintenance. Eksploat. Niezawodn.—Maint. Reliab. 2002, 2, 55–62. [Google Scholar]
- Bue, L.; Stefano, A.; Giagonia, C.; Pipitone, E. Misfire Detection System based on the Measure of Crankshaft Angular Velocity. In Advanced Microsystems for Automotive Applications 2007; Valldorf, J., Gessner, W., Eds.; Springer: Berlin/Heidelberg, Germany, 2007; pp. 149–161. [Google Scholar] [CrossRef]
- Drozdziel, P.; Krzywonos, L. The estimation of the reliability of the first daily diesel engine start-up during its operation in the vehicle. Eksploat. Niezawodn.—Maint. Reliab. 2009, 1, 4–10. [Google Scholar]
- Jung, D.; Kim, H.; Pyoun, Y.; Gafurov, A.; Choi, G.; Ahn, J. Reliability prediction of the fatigue life of a crankshaft. J. Mech. Sci. Technol. 2009, 23, 1071–1074. [Google Scholar] [CrossRef]
- Vladov, S.; Bulakh, M.; Baranovskyi, D.; Kisiliuk, E.; Vysotska, V.; Romanov, M.; Czyżewski, J. Application of the Integral Energy Criterion and Neural Network Model for Helicopter Turboshaft Engines’ Vibration Characteristics Analysis. Energies 2024, 17, 5776. [Google Scholar] [CrossRef]
- Vladov, S.; Bulakh, M.; Czyżewski, J.; Lytvynov, O.; Vysotska, V.; Vasylenko, V. Method for Helicopter Turboshaft Engines Controlling Energy Characteristics Through Regulating Free Turbine Rotor Speed and Fuel Consumption Based on Neural Networks. Energies 2024, 17, 5755. [Google Scholar] [CrossRef]
- Becarra, J.; Jimenez, F.; Torrez, M.; Sanchez, D.; Carvajal, E. Failure analysis of reciprocating compressor crankshafts. Eng. Fail. Anal. 2011, 18, 735–746. [Google Scholar] [CrossRef]
- Asi, O. Failure analysis of a crankshaft made from ductile cast iron. Eng. Fail. Anal. 2005, 13, 1260–1267. [Google Scholar] [CrossRef]
- Alfares, M.; Falah, A.; Elkholy, A. Failure analysis of a vehicle engine crankshaft. J. Fail. Anal. Prev. 2007, 7, 12–17. [Google Scholar] [CrossRef]
- Bahumik, S.; Rangaraju, R.; Venkataswamy, M.; Baskaran, T.; Parameswara, M. Fatigue fracture of crankshaft of an aircraft engine. Eng. Fail. Anal. 2002, 9, 255–263. [Google Scholar] [CrossRef]
- Changli, C.; Chengjie, Z.; Deping, W. Analysis of an unusual crankshaft failure. Eng. Fail. Anal. 2005, 12, 465–473. [Google Scholar] [CrossRef]
- Chen, X.; Yu, X.; Hu, R.; Li, J. Statistical distribution of crankshaft fatigue: Experiment and modelling. Eng. Fail. Anal. 2014, 4, 210–220. [Google Scholar] [CrossRef]
- Fonte, M.; Li, B.; Reis, L.; Freitas, M. Crankshaft failure analysis of a motor vehicle. Eng. Fail. Anal. 2013, 35, 147–152. [Google Scholar] [CrossRef]
- Pandey, R. Failure of diesel engine crankshaft. Eng. Fail. Anal. 2003, 10, 165–175. [Google Scholar] [CrossRef]
- Wilson, W. Practical Solution of Torsional Vibration Problems; Springer: New York, NY, USA, 1969. [Google Scholar]
- Deuszkiewicz, P.; Pankiewicz, J.; Dziurdz, J.; Zawisza, M. Modeling of powertrain system dynamic behavior with torsional vibration damper. Adv. Mater. Res. 2014, 1036, 586–591. [Google Scholar] [CrossRef]
- Lakshminarayanan, P.; Agarwal, A.K. (Eds.) Design and Development of Heavy Duty Diesel Engines: A Handbook; Springer: Singapore, 2020. [Google Scholar] [CrossRef]
- Latarche, M. Pounder’s Marine Diesel Engines and Gas Turbines; Butterworth-Heinemann: Cambridge, UK, 2021. [Google Scholar]
- Wilbur, C.; Wight, D. Pounder’s Marine Diesel Engines; Butterworth: Cambridge, UK, 1984. [Google Scholar]
- Sezgen, H.; Tinkir, M. Optimization of torsional vibration damper of cranktrain system using a hybrid damping approach. Eng. Sci. Technol. Int. J. 2021, 24, 959–973. [Google Scholar] [CrossRef]
- Qiu, Z.; Chen, R.; Gan, X.; Wu, C. Torsional damper design for diesel engine: Theory and application. Phys. Scr. 2024, 99, 125214. [Google Scholar] [CrossRef]
- Kozytskyi, S.; Kiriian, S. Dilatant-fluid torsional vibration damper for a four-stroke diesel engine crankshaft. Pol. Marit. Res. 2023, 30, 121–125. [Google Scholar] [CrossRef]
- Kim, Y.; Park, J.; Lee, J. Effects of Viscous Damper Characteristics Under Marine Operation Conditions on Torsional Vibration of a 4 Stroke Marine Diesel Engine Shafting System. J. Vib. Eng. Technol. 2025, 13, 230. [Google Scholar] [CrossRef]
- Hohl, A.; Kulke, V.; Ostermeyer, G.P.; Kueck, A.; Peters, V.; Reckmann, H. Design and field deployment of a torsional vibration damper. In Proceedings of the SPE/IADC Drilling Conference and Exhibition, Bangkok, Thailand, 9–10 August 2022; p. 011. [Google Scholar] [CrossRef]
- Yucesan, Y.; Viana, F.; Manin, L.; Mahfoud, J. Adjusting a torsional vibration damper model with physics-informed neural networks. Mech. Syst. Signal Process. 2021, 154, 107552. [Google Scholar] [CrossRef]
- Venczel, M.; Veress, Á.; Peredy, Z. Past and future practical solutions for torsional vibration damping in vehicle industry. Period. Polytech. Transp. Eng. 2022, 50, 318–329. [Google Scholar] [CrossRef]
- Kodama, T.; Honda, Y. Study on the Modeling and Dynamic Characteristics of the Viscous Damper Silicone Fluid Using Vibration Control of Engine Crankshaft Systems. Int. J. Mech. Eng. Robot. Res. 2018, 7, 273–278. [Google Scholar] [CrossRef]
- Chmielowiec, A.; Michajłyszyn, A.; Homik, W. Behaviour of a Torsional Vibration Viscous Damper in the Event of a Damper Fluid Shortage. Pol. Marit. Res. 2023, 30, 105–113. [Google Scholar] [CrossRef]
- Zhai, L.; Wang, E.; Xu, W.; Huang, C.; Yang, Z. Impact Analysis of the Aging Silicone Oil in the Damper on the Torsional Vibration of the Crankshaft of the Heavy-Duty Vehicle Diesel Engine. In Proceedings of the China SAE Congress 2019: Selected Papers; Springer: Singapore, 2021; pp. 623–633. [Google Scholar] [CrossRef]
- Qiu, Z.; Chen, R.; Wu, C.; Liu, D.; Gan, X. Optimized design of silicone oil torsional damper for diesel generator. J. Phys. Conf. Ser. 2024, 2790, 012007. [Google Scholar] [CrossRef]
- Hu, S.; Hu, R.; Yang, M.; Meng, D.; Igarashi, A. Numerical and experimental study on the damping performance of the fluid viscous damper considering the gap effect. J. Vib. Control 2024, 30, 4946–4963. [Google Scholar] [CrossRef]
- Emami, M.; Dezvareh, R.; Mousavi, S. Contribution of fluid viscous dampers on fatigue life of lattice-type offshore wind turbines. Ocean Eng. 2022, 245, 110506. [Google Scholar] [CrossRef]
- Lak, H.; Zahrai, S. Self-heating of viscous dampers under short-& long-duration loads: Experimental observations and numerical simulations. In Structures; Elsevier: Amsterdam, The Netherlands, 2023; Volume 48, pp. 275–287. [Google Scholar] [CrossRef]
- Zhang, Y.; Xu, W.; Wang, S.; Du, D.; Geng, Y. Mechanical modeling of viscous fluid damper with temperature and pressure coupling effects. Machines 2024, 12, 366. [Google Scholar] [CrossRef]
- Greco, R.; Marano, G. Identification of parameters of Maxwell and Kelvin–Voigt generalized models for fluid viscous dampers. J. Vib. Control 2015, 21, 260–274. [Google Scholar] [CrossRef]
- Cucuzza, R.; Domaneschi, M.; Greco, R.; Marano, G. Numerical models comparison for fluid-viscous dampers: Performance investigations through genetic algorithm. Comput. Struct. 2023, 288, 107122. [Google Scholar] [CrossRef]
- Lak, H.; Zahrai, S.; Mirhosseini, S.; Zeighami, E. Application of computational fluid dynamics in design of viscous dampers-CFD modeling and full-scale dynamic testing. Earthq. Eng. Eng. Vib. 2023, 22, 1065–1080. [Google Scholar] [CrossRef]
- Homik, W.; Mazurkow, A.; Chmielowiec, A. Determination of a Torsional Vibration Viscous Damper’s Operating Temperature Using a New Thermohydrodynamic Model. Transp. Probl. 2023, 18, 161–174. [Google Scholar] [CrossRef]
- Homik, W.; Mazurkow, A.; Woś, P. Application of a Thermo-Hydrodynamic Model of a Viscous Torsional Vibration Damper to Determining Its Operating Temperature in a Steady State. Materials 2021, 14, 5234. [Google Scholar] [CrossRef]
- Venczel, M.; Bognár, G.; Veress, Á. Temperature-dependent viscosity model for silicone oil and its application in viscous dampers. Processes 2021, 9, 331. [Google Scholar] [CrossRef]
- Venczel, M.; Veress, Á.; Peredy, Z. Development of a 2-dimensional thermal calculation method to estimate silicone oil’s temperature distribution in viscous torsional vibration dampers. Int. Rev. Appl. Sci. Eng. 2024, 15, 29–43. [Google Scholar] [CrossRef]
- Chmielowiec, A.; Woś, W.; Gumieniak, J. Viscosity Approximation of PDMS Using Weibull Function. Materials 2021, 14, 6060. [Google Scholar] [CrossRef]
- DIN 31652; Plain Bearings—Hydrodynamic Plain Journal Bearings Under Steady-State Conditions. Deutsches Institut Fur Normung E.V.: Berlin, Germany, 2017.
- Barwell, F. Theories of wear and their significance for engineering practice. Treatise Mater. Sci. Technol. 1979, 13, 1–83. [Google Scholar] [CrossRef]
- Barwell, F. Bearing Systems: Principles and Practice; Oxford University Press: Oxford, UK, 1980. [Google Scholar]
- Hori, Y. Hydrodynamic Lubrication; Springer: Tokyo, Japan, 2006. [Google Scholar] [CrossRef]










| Coordinate systems | |
|---|---|
| Cartesian coordinate system with the z-axis coinciding with | |
| the axis of rotation of the damper | |
| Polar coordinate system for the plane, where | |
| and . | |
| Geometrical quantities and the quantities dependent on them | |
| Inner diameter, radius of the housing body | |
| Outer diameter, radius of the housing body | |
| Inner diameter, radius of the inertia ring | |
| Outer diameter, radius of the inertia ring | |
| Average inner diameter | |
| Average inner radius | |
| Average outer diameter | |
| Average outer radius | |
| Inner and outer width of inertia ring () | |
| Inner radial clearance | |
| Outer radial clearance | |
| External area of the damper housing | |
| e | The eccentricity of the housing and the inertia ring |
| Inner relative eccentricity | |
| Outer relative eccentricity | |
| Resultant relative eccentricity | |
| The angle between the y-axis and the line connecting | |
| the center of the housing and the center of the inertia ring | |
| Functions of the inner and outer oil film thicknesses | |
| Minimum of the inner and outer oil film thicknesses | |
| Physical quantities | |
| The angular velocity of the inertia ring relative to the housing | |
| T | Temperature |
| Ambient temperature | |
| Temperature of the damper housing | |
| The maximum allowable operating temperature of the damper | |
| Silicone oil density | |
| Silicone oil dynamic viscosity | |
| F | Weight of the inertia ring |
| Inner and outer hydrodynamic buoyant forces | |
| The fluid friction coefficients of the inner and outer film layers | |
| The heat transfer coefficient between the damper housing and | |
| the surrounding environment | |
| The frictional moment generated by the front, inner, and outer | |
| oil film layers | |
| The damping coefficient of the front, inner, and outer | |
| oil film layers | |
Disclaimer/Publisher’s Note: The statements, opinions and data contained in all publications are solely those of the individual author(s) and contributor(s) and not of MDPI and/or the editor(s). MDPI and/or the editor(s) disclaim responsibility for any injury to people or property resulting from any ideas, methods, instructions or products referred to in the content. |
© 2025 by the authors. Licensee MDPI, Basel, Switzerland. This article is an open access article distributed under the terms and conditions of the Creative Commons Attribution (CC BY) license (https://creativecommons.org/licenses/by/4.0/).
Share and Cite
Mazurkow, A.; Chmielowiec, A.; Homik, W. The Issue of Hydrodynamic Friction in the Context of the Operational Properties of Ring-Shaped Torsional Vibration Dampers. Appl. Sci. 2025, 15, 6528. https://doi.org/10.3390/app15126528
Mazurkow A, Chmielowiec A, Homik W. The Issue of Hydrodynamic Friction in the Context of the Operational Properties of Ring-Shaped Torsional Vibration Dampers. Applied Sciences. 2025; 15(12):6528. https://doi.org/10.3390/app15126528
Chicago/Turabian StyleMazurkow, Aleksander, Andrzej Chmielowiec, and Wojciech Homik. 2025. "The Issue of Hydrodynamic Friction in the Context of the Operational Properties of Ring-Shaped Torsional Vibration Dampers" Applied Sciences 15, no. 12: 6528. https://doi.org/10.3390/app15126528
APA StyleMazurkow, A., Chmielowiec, A., & Homik, W. (2025). The Issue of Hydrodynamic Friction in the Context of the Operational Properties of Ring-Shaped Torsional Vibration Dampers. Applied Sciences, 15(12), 6528. https://doi.org/10.3390/app15126528

