Reduction of Train-Induced Vibrations—Calculations of Different Railway Lines and Mitigation Measures in the Transmission Path
Abstract
1. Introduction
2. Methods of Calculation
2.1. The Thin Layer Method (TLM)
2.2. Boundary-Element Method (BEM)
2.3. The Benefit of 2-Dimensional Calculations
3. The Reference System: A Surface Line on a Homogeneous Soil
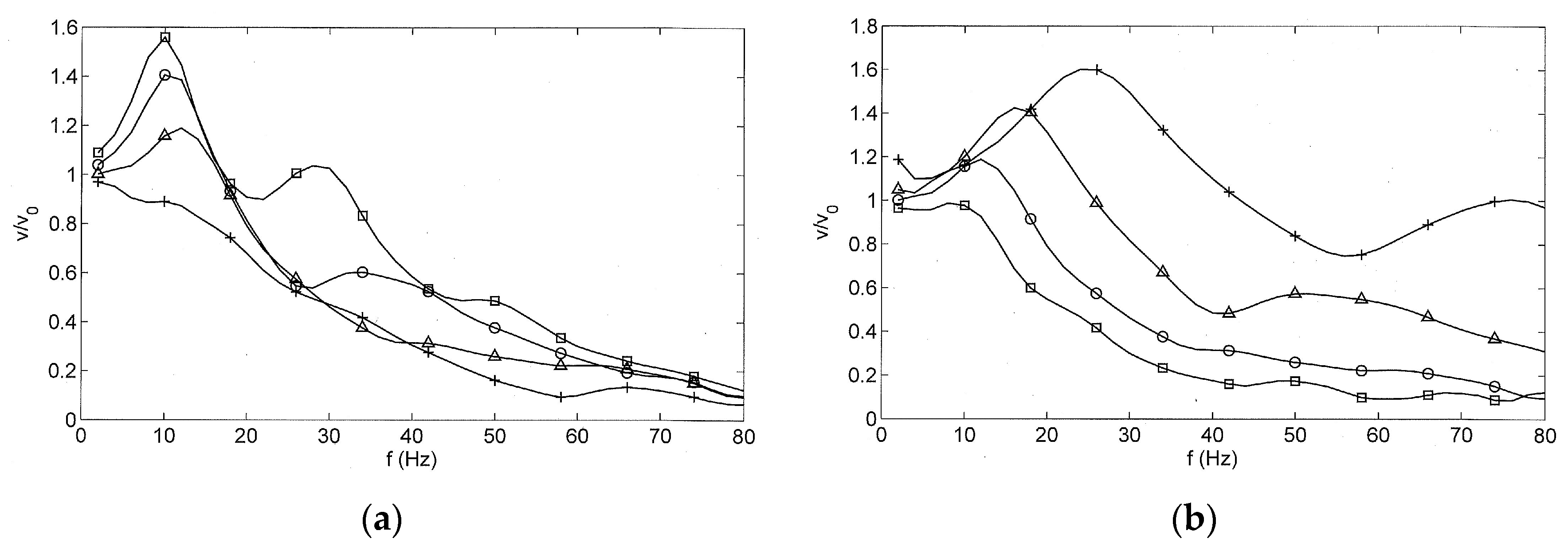
4. Soft and Stiff Reduction Measures in the Propagation Path
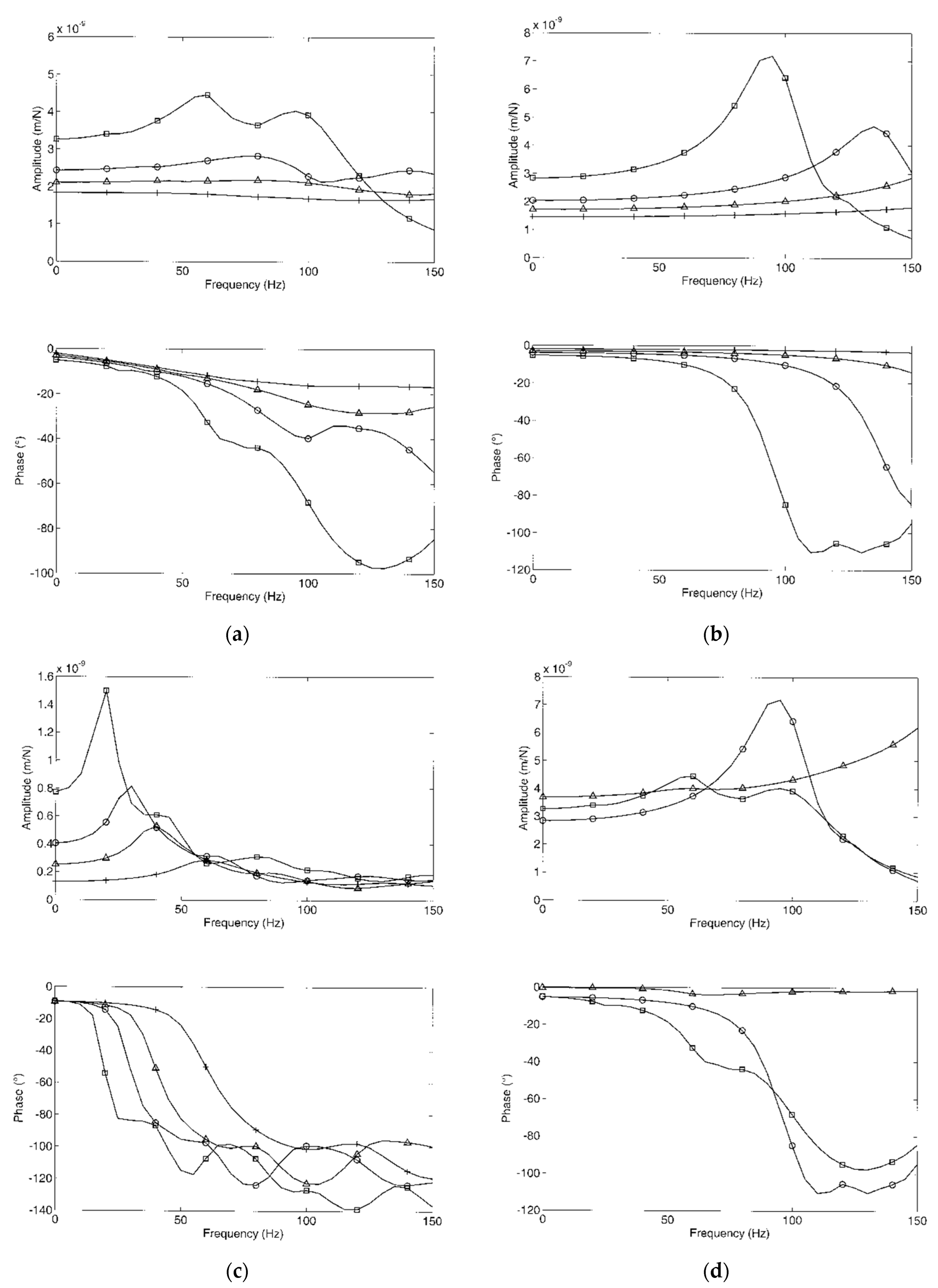
5. Railway Lines on an Embankmnet and in a Cut
6. Railway Lines in a Tunnel and on a Bridge
7. Wave Propagation Sideway from a Tunnel Line by 2D-FEBEM Calculation
8. Conclusions
Funding
Data Availability Statement
Acknowledgments
Conflicts of Interest
Appendix A. Calculation of Dynamic Track Compliances by 3-Dimensional FEBEM
Appendix A.1. Ballasted Track on the Surface of a Homogeneous Soil

Appendix A.2. Ballasted Track on a Bridge (Rigid Base)
Appendix A.3. Slab Track in a Tunnel (on a Layer over Bedrock)
References
- Yoshioka, O. Basic characteristics of Shinkansen-induced ground vibration and its reduction measures. In Proceedings of the Wave 2000, Wave Propagation, Moving Load, Vibration Reduction, Bochum, Germany, 13–15 December 2000; pp. 219–237. [Google Scholar]
- Wu, Y.; Yang, Y. A semi-analytical approach for analyzing ground vibrations caused by trains moving over elevated bridges. Soil Dyn. Earthq. Eng. 2004, 24, 949–962. [Google Scholar] [CrossRef]
- Takemiya, H.; Bian, X. Shinkansen high-speed train induced ground vibrations in view of viaduct–ground interaction. Soil Dyn. Earthq. Eng. 2007, 27, 506–520. [Google Scholar] [CrossRef]
- Ju, S. Finite element analysis of structure borne vibration from high-speed train. Soil Dyn. Earthq. Eng. 2007, 27, 259–273. [Google Scholar]
- Chen, Y.; Ju, S.; Ni, S.; Shen, Y. Prediction methodology for ground vibration induced by passing trains on bridge structures. J. Sound Vib. 2007, 302, 806–820. [Google Scholar]
- Xing, M.; Wang, P.; Zhao, C.; Wu, X.; Kang, X. Ground-borne vibration generated by high-speed train viaduct systems in soft-upper/hard-lower rock strata. J. Cent. South Univ. 2021, 28, 2140–2157. [Google Scholar] [CrossRef]
- Duval, G. Cartographie des Champs Vibratoires à la Surface des sols en Milieu Urbain: Application Ferroviaire et Chantiers. Ph.D. Thesis, Université de Lyon, Lyon, France, 2022. [Google Scholar]
- Ma, M.; Xu, L.; Du, L.; Wu, Z.; Tan, X. Prediction of building vibration induced by metro trains running in a curved tunnel. J. Vib. Control 2021, 27, 515–528. [Google Scholar]
- Degrande, G.; Clouteau, D.; Othman, R.; Arnst, M.; Chebli, H. A numerical model for ground-borne vibrations from underground railway traffic based on a periodic finite element-boundary element formulation. J. Sound Vib. 2006, 293, 645–666. [Google Scholar] [CrossRef]
- Gupta, S.; van den Berghe, H.; Lombaert, G.; Degrande, G. Numerical modelling of vibrations from a Thalys high speed train in the Groene Hart tunnel. Soil Dyn. Earthq. Eng. 2010, 30, 82–97. [Google Scholar] [CrossRef]
- Kuo, K. Vibration from Underground Railways: Considering Piled Foundations and Twin Tunnels. Ph.D. Thesis, University of Cambridge, UK, 2010. [Google Scholar]
- Clot, A. A dynamical Model of a Double-Deck Circular Tunnel Embedded in a Full Space. Ph.D. Thesis, Universitat Politecnica de Catalunya, Barcelona, Spain, 2014. [Google Scholar]
- Villot, M.; Augis, E.; Guigou-Carter, C.; Jean, P.; Ropars, P.; Bailhache, S.; Gallais, C. Vibration emission from railway lines in tunnel—Characterization and prediction. Int. J. Rail Transp. 2016, 4, 208–228. [Google Scholar] [CrossRef]
- Hussein, M.; Hunt, H. A numerical model to calculating vibration from a railway tunnel embedded in a full-space. J. Sound Vib. 2007, 305, 401–431. [Google Scholar]
- Lopes, P.; Alves Costa, P.; Ferraz, M.; Calcada, R.; Silva Cardoso, A. Numerical modeling of vibrations induced by railway traffic in tunnels: From the source to the nearby buildings. Soil Dyn. Earthq. Eng. 2014, 61–62, 269–285. [Google Scholar] [CrossRef]
- Hussein, M.; Hunt, H.; Kuo, K.; Alves Costa, P.; Barbosa, J. The use of sub-modelling technique to calculate vibration in buildings from underground railways. J. Rail Rapid Transit 2015, 229, 303–314. [Google Scholar]
- Galvin, P.; Romero, A.; Dominguez, J. Fully three-dimensional analysis of high-speed train-track-soil-structure dynamic interaction. J. Sound Vib. 2010, 329, 5147–5163. [Google Scholar] [CrossRef]
- Auersch, L.; Schmid, G. A simple boundary element formulation and its application to wavefield excited soil-structure interaction. Earthq. Eng. Struct. Dyn. 1990, 19, 931–947. [Google Scholar]
- Rücker, W. Ermittlung der Schwingungserregung Beim Betrieb Schienengebundener Fahrzeuge in Tunneln Sowie Untersuchung des Einflusses Einzelner Parameter auf die Auswirkung von Erschütterungen im Tunnel und Dessen Umgebung. Ph.D. Thesis, TU Berlin, Berlin, Germany, 1979. [Google Scholar]
- Tahadjodi, A. Beitrag zur Optimierung von Tunnelbauwerken in Dynamischer Hinsicht—Bemessungsdiagramme. Ph.D. Thesis, Universität Hannover, Hannover, Germany, 1989. [Google Scholar]
- Auersch, L. Advanced and simple boundary-element method for the soil and its application to railway dynamics. In Proceedings of the COMPDYN 2007, Computational Methods in Structural Dynamics and Earthquake Engineering, Rethymnon, Greece, 13–15 June 2007; pp. 1–12. [Google Scholar]
- Galvin, P.; Francois, S.; Schevenels, M.; Bongini, E.; Degrande, G.; Lombaert, G. A 2.5D coupled FE-BE model for the prediction of railway induced vibrations. Soil Dyn. Earthq. Eng. 2010, 30, 1500–1512. [Google Scholar] [CrossRef]
- Romero, A.; Galvín, P.; Antonio, J.; Dominguez, J.; Tadeu, A. Modelling of acoustic and elastic wave propagation from underground structures using a 2.5D BEM-FEM approach. Eng. Anal. Bound. Elem. 2017, 76, 26–39. [Google Scholar]
- Korzeb, J.; Chudzikiewicz, A. Evaluation of the vibration impact in the transport infrastructure environment. Arch. Appl. Mech. 2015, 85, 1331–1342. [Google Scholar]
- Kuzniar, K.; Tatara, T. Full-scale long-term monitoring of mine-induced vibrations for soil-structure interaction research using dimensionless response spectra. Case Stud. Constr. Mater. 2022, 16, e00801. [Google Scholar] [CrossRef]
- Xu, L. On dynamic analysis method for large scale train-track-substructure interaction. Railw. Eng. Sci. 2022, 30, 162–182. [Google Scholar]
- Mao, K.; Wang, T.; Ru, Q.; Li, Y. Comparative feature analysis of ground surface vibration induced by high-speed train running on viaduct and embankment. Appl. Mech. Mater. 2014, 638–640, 1229–1232. [Google Scholar] [CrossRef]
- Tamborek, A. Erschütterungsausbreitung vom Rad/Schiene-System bei Damm, Einschnitt und Ebene. Ph.D. Thesis, Universität Karlsruhe, Karlsruhe, Germany, 1992. [Google Scholar]
- Woods, R. Screening of Elastic Surface Waves by Trenches. Ph.D. Thesis, University of Michigan, Ann Arbor, MI, USA, 1967. [Google Scholar]
- Dolling, H. Die Abschirmung von Erschütterungen durch Bodenschlitze. Ph.D. Thesis, TU Berlin, Berlin, Germany, 1969. [Google Scholar]
- Beskos, D.; Dasgupta, G.; Vardoulakis, I. Vibration isolation using open or filled trenches, Part 1: 2-D homogeneous soil. Comput. Mech. 1986, 1, 43–63. [Google Scholar]
- Takemiya, H.; Fujiwara, A. Wave propagation/impediment in a stratum and wave impeding block (WIB) measured for SSI response reduction. Soil Dyn. Earthq. Eng. 1994, 13, 49–61. [Google Scholar] [CrossRef]
- Yang, Y.; Hung, H. A parametric study of wave barriers for reduction of train-induced vibrations. Int. J. Numer. Methods Eng. 1997, 40, 3729–3747. [Google Scholar]
- Thompson, D.; Jiang, J.; Toward, M.; Hussein, M.; Ntotsios, E.; Dijckman, A.; Coulier, P.; Lombaert, G.; Degrande, G. Reducing railway-induced ground-borne vibration by using open trenches and soft-filled barriers. Soil Dyn. Earthq. Eng. 2016, 88, 45–59. [Google Scholar]
- Guo, W.; Bai, Z.; Wang, X.; Liu, H.; Bu, D.; Guo, Z.; Hou, W.; Yu, Z. A combination strategy of hollow-closed-wall in-filled trench and elastic bearing for reducing environmental vibration induced by high-speed train. Soil Dyn. Earthq. Eng. 2020, 133, 106136. [Google Scholar] [CrossRef]
- Ouakka, S.; Verlinden, O.; Kouroussis, G. Railway ground vibration and mitigation measures—Benchmarking of best practices. Railw. Eng. Sci. 2022, 30, 1–22. [Google Scholar]
- Efthymiou, G.; Vrettos, C. Numerische Untersuchung zur Abschirmwirkung von Einzelpfählen und Pfahlgruppen im Wellenfeld einer stationären oder bewegten harmonischen Last (Numerical investigations on the shielding efficiency of single piles and pile groups in the wave field of a stationary or moving harmonic load). Bautechnik 2022, 99, 249–261. [Google Scholar]
- Waas, G. Linear Two-Dimensional Analysis of Soil Dynamic Problems in Semi-Infinite Media. Ph.D. Thesis, University of California, Berkeley, CA, USA, 1972. [Google Scholar]
- Kausel, E. Forced Vibrations of Circular Foundations on Layered Media. Ph.D. Thesis, Massachusetts Institute of Technology, Cambridge, MA, USA, 1974. [Google Scholar]
- Lysmer, J.; Kuhlemeyer, R. Finite Dynamic Model for Infinite Media. J. Eng. Mech. Div. ASCE 1969, 95, 859–877. [Google Scholar]
- Auersch, L. Wave propagation in layered soil: Theoretical solution in wavenumber domain and experimental results of hammer and railway traffic excitation. J. Sound Vib. 1994, 173, 233–264. [Google Scholar] [CrossRef]
- Auersch, L. Dynamics of the railway track and the underlying soil: The boundary-element solution, theoretical results and their experimental verification. Veh. Syst. Dyn. 2005, 43, 671–695. [Google Scholar] [CrossRef]
- Auersch, L. The excitation of ground vibration by rail traffic: Theory of vehicle-track-soil interaction and measurements on high-speed lines. J. Sound Vib. 2005, 284, 103–132. [Google Scholar] [CrossRef]
- Auersch, L. Mitigation of railway induced vibration at the track, in the transmission path through the soil and at the building. Procedia Eng. 2017, 199, 2312–2317. [Google Scholar] [CrossRef]
- Haupt, W. Verhalten von Oberflächenwellen im Inhomogenen Halbraum mit Besonderer Berücksichtigung der Wellenabschirmung. Ph.D. Thesis, Universität Karlsruhe, Karlsruhe, Germany, 1978. [Google Scholar]
- Heiland, T.; Aji, H.; Wuttke, F.; Stempniewski, L.; Stark, A. Influence of soil-structure interaction on the dynamic characteristics of railroad frame bridges. Soil Dyn. Earthq. Eng. 2023, 167, 107800. [Google Scholar] [CrossRef]
- Auersch, L. Railway-induced ground and building vibrations—Analysis in frequency-wavenumber domain and fast prediction with approximate models. In Proceedings of the ISMA 2022, KU Leuven, Leuven, Belgium, 12–14 September 2022; pp. 3234–3246. [Google Scholar]
- Auersch, L. The dynamic train-track interaction on a bridge and in a tunnel compared with the simultaneous vehicle, track, and soil measurements at a surface line. Appl. Sci. 2023; in preparation. [Google Scholar]

















| Parameter | Symbol | Value | Variation |
|---|---|---|---|
| Soil | |||
| Shear modulus | G | 8 × 107 N/m2 | |
| Damping ratio | D | 2% | |
| Poisson ratio | ν | 0.33 | |
| Mass density | ρ | 2000 kg/m3 | |
| Shear wave velocities | vS | 200 m/s | 100, 150, 300, 500 m/s |
| Compressional wave velocities | vP | 400 m/s | |
| Concrete | |||
| Young’s Modulus | E | 3 × 1010 N/m2 | |
| Mass density | ρ | 2500 kg/m3 | |
| Railway line | |||
| Track width | b | 3 m | |
| Embankment height | 5 m | ||
| Embankment width | 5 m | ||
| Embankment inclination | 1:1 | 1:2, 2:1 | |
| Cut depth | 5 m | ||
| Cut width | 5 m | ||
| Cut inclination | 1:1 | 1:2, 2:1, ∞ | |
| Tunnel | |||
| Width | 6 m | 9 m | |
| Height | 6 m | ||
| Wall thickness | 0.5 m | 0.3, 0.7, 1.0 m | |
| Bridge | |||
| Width | 16 m | 6, 11 m | |
| Span | 15 m | 5, 10 m | |
| Height | 6 m | ||
| Wall thickness | 0.5 m | ||
| Pier dimension | 5 m × 5 m | ||
| Reduction measures | |||
| Trench depth | 9 m | ||
| Trench thickness | 0.5 m | ||
| Wall depth | 9 m | ||
| Wall thickness | 0.5 m | ||
| Plate length | 9 m | ||
| Plate thickness | 0.5 m | ||
| Box dimension | 5 m × 5 m |
| Span Length | f1 | f2 | f3 | f4 |
|---|---|---|---|---|
| 15 m | 6 Hz | 38 Hz | 56 Hz | 100 Hz |
| 10 m | 12 Hz | 50 Hz | 90 Hz | |
| 5 m | 28 Hz | 72 Hz |
Disclaimer/Publisher’s Note: The statements, opinions and data contained in all publications are solely those of the individual author(s) and contributor(s) and not of MDPI and/or the editor(s). MDPI and/or the editor(s) disclaim responsibility for any injury to people or property resulting from any ideas, methods, instructions or products referred to in the content. |
© 2023 by the author. Licensee MDPI, Basel, Switzerland. This article is an open access article distributed under the terms and conditions of the Creative Commons Attribution (CC BY) license (https://creativecommons.org/licenses/by/4.0/).
Share and Cite
Auersch, L. Reduction of Train-Induced Vibrations—Calculations of Different Railway Lines and Mitigation Measures in the Transmission Path. Appl. Sci. 2023, 13, 6706. https://doi.org/10.3390/app13116706
Auersch L. Reduction of Train-Induced Vibrations—Calculations of Different Railway Lines and Mitigation Measures in the Transmission Path. Applied Sciences. 2023; 13(11):6706. https://doi.org/10.3390/app13116706
Chicago/Turabian StyleAuersch, Lutz. 2023. "Reduction of Train-Induced Vibrations—Calculations of Different Railway Lines and Mitigation Measures in the Transmission Path" Applied Sciences 13, no. 11: 6706. https://doi.org/10.3390/app13116706
APA StyleAuersch, L. (2023). Reduction of Train-Induced Vibrations—Calculations of Different Railway Lines and Mitigation Measures in the Transmission Path. Applied Sciences, 13(11), 6706. https://doi.org/10.3390/app13116706