Next Issue
Volume 12, October
Previous Issue
Volume 12, August
 
 

Environments, Volume 12, Issue 9 (September 2025) – 49 articles

Cover Story (view full-size image): Plasticisers and bisphenols are emerging contaminants of concern in aquatic ecosystems. Bivalve molluscs, due to their filter-feeding and bioaccumulation capacity, are effective bioindicators. This study analysed three clam species (Ruditapes decussatus, Cerastoderma glaucum, Polititapes aureus) from two Sicilian lagoons with different human pressures: the urbanised Capo Peloro (Lake Ganzirri) and the less impacted Oliveri-Tindari. Clams, water, and sediments collected in winter 2023 that contained phthalates (DMP, DEP, DiBP, DEHP) and non-phthalate plasticisers (DEHT, DBA, DEA, DEHA). Non-phthalates consistently exceeded phthalates, confirming their emerging dominance in all matrices. Detection of bisphenol A analogues highlights increasing prevalence of BPA-like compounds. Results confirm persistent contamination and associated risks to ecosystems and human health. View this paper
  • Issues are regarded as officially published after their release is announced to the table of contents alert mailing list.
  • You may sign up for e-mail alerts to receive table of contents of newly released issues.
  • PDF is the official format for papers published in both, html and pdf forms. To view the papers in pdf format, click on the "PDF Full-text" link, and use the free Adobe Reader to open them.
Order results
Result details
Select all
Export citation of selected articles as:
14 pages, 1598 KB  
Article
Biodiversity Status of Pure Oak (Quercus spp.) Stands in Northeastern Greece: Implications for Adaptive Silviculture
by Efthimios Michailidis, Athanasios Stampoulidis, Petros Petrou, Kyriaki Kitikidou, Elias Pipinis, Kalliopi Radoglou and Elias Milios
Environments 2025, 12(9), 339; https://doi.org/10.3390/environments12090339 - 21 Sep 2025
Viewed by 635
Abstract
The aim of this study is the estimation of the biodiversity of pure oak stands within the jurisdiction of the Forest Service of Xanthi in northeastern Greece. Using a published graded biodiversity index that operates on management-plan description sheets, we scored five stand-level [...] Read more.
The aim of this study is the estimation of the biodiversity of pure oak stands within the jurisdiction of the Forest Service of Xanthi in northeastern Greece. Using a published graded biodiversity index that operates on management-plan description sheets, we scored five stand-level attributes (total wood stock, age of trees, canopy density, presence of regeneration, and stand aspect/orientation) for every eligible stand and classified biodiversity as low, moderate, or high. These data were sourced from the description sheets of pure oak stands found in the management plans of public forest complexes. Moderate biodiversity predominates (63.4% of stands), followed by low (33.5%), while high biodiversity is scarce (3.1%). Forest practice can influence all the factors which were used for the assessment of the biodiversity characterization of the stands except the aspect of the stand. From these factors the total amount of wood stock and the canopy density were the main factors which determined the low percentage of high-biodiversity stands. On the other hand, the age structure and the regeneration existence were the main factors which counterbalanced the negative influence of the total amount of wood stock and of the canopy density and thus led to the dominance of the stands characterized as having moderate biodiversity score. Full article
Show Figures

Figure 1

19 pages, 4914 KB  
Article
Development of a Portable Calibration Chamber for PM Sensors Equipped with Wireless Connectivity Controlled by a Graphical Interface in Python
by Daniel Cuevas-González, Martín Aarón Sánchez-Barajas, Marco A. Reyna, Juan Pablo García-Vázquez, Eladio Altamira-Colado and Roberto L. Avitia
Environments 2025, 12(9), 338; https://doi.org/10.3390/environments12090338 - 21 Sep 2025
Viewed by 797
Abstract
The health impact of air pollutants has generated a trend in the design and manufacture of portable, personal and fixed PM monitoring systems to help reduce exposure to air pollutants. However, these devices still need to be improved and properly evaluated to compete [...] Read more.
The health impact of air pollutants has generated a trend in the design and manufacture of portable, personal and fixed PM monitoring systems to help reduce exposure to air pollutants. However, these devices still need to be improved and properly evaluated to compete with environmental monitors in the market. In this work, a test chamber with controlled environmental conditions and wireless connectivity is developed for the evaluation of low-cost portable and personal PM sensors. The developed system ensures rapid evaluation tests ranging from seconds to hours to corroborate prolonged operation and correct calibration. The system is controlled by a Python-based graphical user interface (GUI) and monitors PM concentration, altitude, relative humidity, atmospheric pressure, illuminance, and temperature measurements. Fifty measurement tests with a duration of 10 min each were conducted to ensure robust performance and data transfer. Subsequently, four calibration tests were conducted using two SENSIRION SPS30 (SPS A and SPS B) personal PM sensors and two PMS5003 (PMS A and PMS B) personal PM sensors. The Prana Air PAS-OUT-01 sensor served as the reference to calculate the correlations and the descriptive statistics between each sensor to be calibrated. A contamination source was employed utilizing a monodispersed aerosol generator for 0.46 µm latex polystyrene particle atomization. Linear regression was applied during the calibration to determine the calibration coefficients, which were then used to adjust the sensor readings in the respective code and descriptive statistics of the sensor calibration tests were calculated. For the PMS5003 sensors, the Pearson correlation coefficients (r) after calibration were PMS A: 0.9870 and PMS B: 0.9898 compared to their uncalibrated values of PMS A: 0.9828 and PMS B: 0.9863. In contrast, the uncalibrated SPS A sensor initially had a correlation of 0.9939, which slightly decreased to 0.9917 after calibration. Meanwhile, the uncalibrated SPS B sensor showed a correlation of 0.9422, which improved to 0.9715 after calibration. Full article
(This article belongs to the Special Issue Ambient Air Pollution, Built Environment, and Public Health)
Show Figures

Figure 1

24 pages, 3196 KB  
Article
Multiscale Geophysical Characterization of Leachate and Gas Plumes in a Tropical Landfill Using Electrical Resistivity Tomography for Environmental Analysis and Diagnosis
by Omar E. Trujillo-Romero, Gloria M. Restrepo and Jorge E. Corrales-Celedon
Environments 2025, 12(9), 337; https://doi.org/10.3390/environments12090337 - 21 Sep 2025
Viewed by 1012
Abstract
Monitoring environmental risks in operational landfills that contain closed cells requires non-invasive techniques capable of accurately characterizing subsurface contaminant dynamics. Electrical Resistivity Tomography (ERT) was selected because it enables continuous imaging across capped cells without intrusive drilling, with high sensitivity to the strong [...] Read more.
Monitoring environmental risks in operational landfills that contain closed cells requires non-invasive techniques capable of accurately characterizing subsurface contaminant dynamics. Electrical Resistivity Tomography (ERT) was selected because it enables continuous imaging across capped cells without intrusive drilling, with high sensitivity to the strong conductivity/resistivity contrasts that differentiate leachate (very low resistivity) from landfill gas or dry waste (high resistivity). This study employed ERT to spatially characterize contaminant distribution in closed cells within a landfill system in the Caribbean region of Colombia. Fifteen geophysical survey lines were acquired using Wenner, Dipole–Dipole, and Gradient arrays and processed through 2D, 2.5D, and 3D inversion models. The results revealed extensive low-resistivity zones (<2.1 Ω·m) in the southeastern sector, interpreted as leachate accumulations, some reaching the surface. Conversely, high-resistivity anomalies (>154 Ω·m) were identified in the southwestern area, associated with potential biogas pockets. Although these high-resistivity volumes represent <1.1% of the total modeled volume, their location and depth may pose geoenvironmental risks due to internal pressure build-up and preferential migration pathways. Existing leachate and gas collection systems showed adequate performance, though targeted corrective actions are recommended. ERT proved to be a precise, scalable, and cost-effective method for mapping subsurface contamination, offering critical insights for post-closure landfill management in tropical settings. Full article
Show Figures

Figure 1

28 pages, 7590 KB  
Article
A Two-Stage Machine Learning Framework for Air Quality Prediction in Hamilton, New Zealand
by Noor H. S. Alani, Praneel Chand and Mohammad Al-Rawi
Environments 2025, 12(9), 336; https://doi.org/10.3390/environments12090336 - 20 Sep 2025
Viewed by 1976
Abstract
Air quality significantly affects human health, productivity, and overall well-being. This study applies machine learning techniques to analyse and predict air quality in Hamilton, New Zealand, focusing on particulate matter (PM2.5 and PM10) and environmental factors such as temperature, humidity, wind speed, and [...] Read more.
Air quality significantly affects human health, productivity, and overall well-being. This study applies machine learning techniques to analyse and predict air quality in Hamilton, New Zealand, focusing on particulate matter (PM2.5 and PM10) and environmental factors such as temperature, humidity, wind speed, and wind direction. Data were collected from two monitoring sites (Claudelands and Rotokauri) to explore relationships between variables and evaluate the performance of different predictive models. First, the unsupervised k-means clustering algorithm was used to categorise air quality levels based on data from one or both locations. These cluster labels were then used as target variables in supervised learning models, including random forests, decision trees, support vector machines, and k-nearest neighbours. Model performance was assessed by comparing prediction accuracy for air quality at either Claudelands or Rotokauri. Results show that the random forest (93.6%) and decision tree (91.8%) models outperformed k-nearest neighbours (KNN, 83%) and support vector machine (SVM, 61%) in predicting air quality clusters derived from k-means analysis. The three clusters (very good, good, and moderate) reflected seasonal and urban–semi-urban gradients, while cross-location validation confirmed that models trained at Claudelands generalised effectively to Rotokauri, demonstrating scalability for regional air quality forecasting. These findings highlight the potential of combining clustering with supervised learning to improve air quality predictions. Such methods could support environmental monitoring and inform strategies for mitigating pollution-related health risks in New Zealand cities and beyond. Full article
(This article belongs to the Special Issue Air Pollution in Urban and Industrial Areas III)
Show Figures

Figure 1

22 pages, 2358 KB  
Article
Sonic Contrasts at Sea: A Comparative Case Study of Noise Exposure and Crew Fatigue on a Conventional Ferry and a High-Speed Craft
by Fernando Crestelo Moreno, Rebeca Bouzón Otero, Luis Alfonso Díaz-Secades and Yolanda Amado-Sánchez
Environments 2025, 12(9), 335; https://doi.org/10.3390/environments12090335 - 20 Sep 2025
Viewed by 992
Abstract
This study provides a comparative analysis of noise exposure and its occupational implications for two types of vessels operating in the Strait of Gibraltar: a conventional steel roll-on/roll-off passenger ferry (Ro-Pax) and an aluminium high-speed catamaran (HSC). A mixed-methods approach was employed, integrating [...] Read more.
This study provides a comparative analysis of noise exposure and its occupational implications for two types of vessels operating in the Strait of Gibraltar: a conventional steel roll-on/roll-off passenger ferry (Ro-Pax) and an aluminium high-speed catamaran (HSC). A mixed-methods approach was employed, integrating objective acoustic measurements with subjective assessments of fatigue, workload, and circadian typology using validated survey instruments. The comparative framework is based on International Maritime Organization (IMO) Resolution A.468(XII), which establishes design-based noise limits for both vessel types. This framework is supported by the High-Speed Craft (HSC) Code and European Union (EU) Directive 2003/10/EC, both of which address occupational exposure. While both vessels comply with IMO design standards, the HSC consistently exceeds the noise limits set out in the HSC Code and European regulations in the accommodation and bridge areas. These elevated noise levels correlate with higher fatigue and workload scores among HSC crew, particularly in the engine and deck departments. In contrast, the Ro-Pax ferry demonstrates better acoustic insulation due to its steel construction, resulting in lower overall exposure and improved rest conditions. The results highlight the inadequacy of applying uniform noise standards to structurally distinct vessels, emphasising the importance of vessel-specific acoustic management strategies. Crucially, the study reaffirms the importance of maintaining compliance with both IMO design standards and EU occupational health regulations to ensure the comprehensive protection of seafarers’ well-being and safety. Full article
(This article belongs to the Special Issue Interdisciplinary Noise Research)
Show Figures

Figure 1

15 pages, 3023 KB  
Article
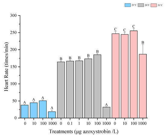
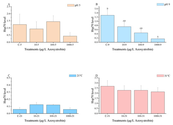
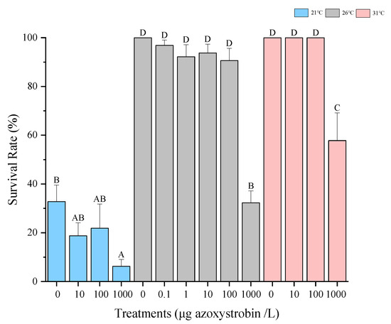
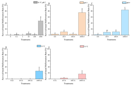
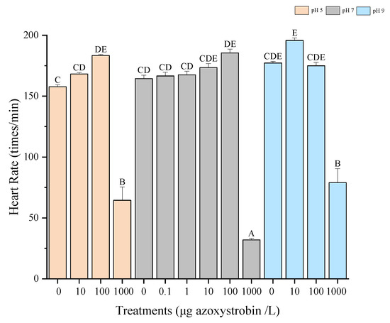
Environmental Drivers of Pesticide Toxicity: Temperature and pH Shift Azoxystrobin’s Effects on Zebrafish (Danio rerio) Early Development
by Zequn Li, Heinz-R. Köhler and Rita Triebskorn
Environments 2025, 12(9), 334; https://doi.org/10.3390/environments12090334 - 18 Sep 2025
Viewed by 1535
Abstract
Azoxystrobin, a widely used strobilurin fungicide, poses a potential risk to aquatic ecosystems due to its frequent detection in surface waters. Although its toxicity to non-target organisms has been extensively studied under standardized conditions, few investigations have considered how environmental factors can modulate [...] Read more.
Azoxystrobin, a widely used strobilurin fungicide, poses a potential risk to aquatic ecosystems due to its frequent detection in surface waters. Although its toxicity to non-target organisms has been extensively studied under standardized conditions, few investigations have considered how environmental factors can modulate the adverse effects of this chemical. In this study, we examined the toxicity of azoxystrobin to zebrafish (Danio rerio) embryos under different pH (5, 7, 9) and temperature (21 °C, 26 °C, 31 °C) conditions. Embryos were exposed to azoxystrobin concentrations ranging from 0 to 1000 μg/L, and endpoints such as survival, hatching rate, heart rate, malformations, developmental delay, and Hsp70 expression were assessed over 96 h post-fertilization. Our results demonstrate that azoxystrobin induces significant malformations (including edema, eye, tail, and spinal defects) and developmental delays at 1000 μg/L across all environmental conditions. Furthermore, both pH and temperature were found to modulate azoxystrobin toxicity: elevated temperature and alkaline pH partly alleviated mortality at high concentrations. The hsp70 expression patterns revealed complex interactions between the effects of the chemical and environmental factors. These findings highlight the importance of incorporating environmental variables into ecotoxicological risk assessments of pesticides to better reflect realistic exposure scenarios and potential ecological impacts. Full article
Show Figures

Figure 1

15 pages, 1047 KB  
Article
Sustainable Soybean Production Using Residual Vermicompost Inputs in Corn-Soybean Rotation
by Ivan Oyege and Maruthi Sridhar Balaji Bhaskar
Environments 2025, 12(9), 333; https://doi.org/10.3390/environments12090333 - 18 Sep 2025
Viewed by 838
Abstract
Soybeans (Glycine max L.), a globally significant crop, play a critical role in economic, nutritional, and ecological systems, particularly in rotational farming due to their nitrogen-fixing capacity. This study investigated the residual effects of vermicompost (VC) and vermicompost tea (VCT) applied during [...] Read more.
Soybeans (Glycine max L.), a globally significant crop, play a critical role in economic, nutritional, and ecological systems, particularly in rotational farming due to their nitrogen-fixing capacity. This study investigated the residual effects of vermicompost (VC) and vermicompost tea (VCT) applied during a preceding corn cycle on subsequent soybean growth and productivity in an organic corn–soybean rotation. Soybeans were grown in raised beds previously treated with different VCT concentrations and combinations of VC+VCT, without additional fertilization during the soybean phase. Physiological traits, including leaf chlorophyll content (SPAD values) and stomatal conductance, were measured alongside biomass, yield, and plant leaves nutrient concentrations. VC+VCT treatments significantly increased biomass and yield, with VC1+VCT20 achieving the highest biomass (3.02 tons/ha) and yield (1.68 tons/ha). Leaf nutrient analysis revealed increased uptake of both macro- and micronutrients in amended treatments, while SPAD and stomatal conductance values remained consistently higher than in the control. Soil analyses confirmed improved nutrient retention and cation exchange capacity in amended plots, demonstrating the legacy benefits of organic inputs. Therefore, residual VCT and VC+VCT applications improved soybean productivity, nutrient acquisition, and physiological performance in rotational systems. By reducing reliance on synthetic fertilizers and enhancing soil fertility, this strategy supports climate-smart agriculture principles and contributes to SDG 2 (Zero Hunger), SDG 12 (Responsible Consumption and Production), and SDG 13 (Climate Action). Full article
Show Figures

Graphical abstract

26 pages, 866 KB  
Article
Decarbonizing the Skies: Evolution of EU Air Transport Efficiency and Carbon Emissions
by Ana Nieto, Gustavo Alonso, Javier Cubas and Arturo Benito
Environments 2025, 12(9), 332; https://doi.org/10.3390/environments12090332 - 18 Sep 2025
Viewed by 1524
Abstract
The European air traffic sector underwent significant disruption due to the COVID-19 pandemic, followed by a complex recovery phase. Throughout this period, the decarbonization of aviation remained a strategic priority for EU institutions and regulators. This study presents a comparative analysis of air [...] Read more.
The European air traffic sector underwent significant disruption due to the COVID-19 pandemic, followed by a complex recovery phase. Throughout this period, the decarbonization of aviation remained a strategic priority for EU institutions and regulators. This study presents a comparative analysis of air traffic activity and associated CO2 emissions across EU member states between 2019 and 2024, using publicly available operational data and a standardized emissions estimation method. It explores changes in traffic volume, structural shifts in fleet composition, and the evolving market dynamics among European carriers. While the overall sectoral characteristics remained relatively stable, notable intra-EU variations influenced both operational efficiency and emissions outcomes. These findings underscore the importance of tailoring decarbonization measures to reflect national and regional differences, ensuring equitable and effective implementation across the EU. Full article
Show Figures

Figure 1

20 pages, 4021 KB  
Article
Poultry Slaughterhouse Wastewater Treatment by Green Algae: An Eco-Friendly Restorative Process
by Elvira E. Ziganshina, Ksenia A. Yureva and Ayrat M. Ziganshin
Environments 2025, 12(9), 331; https://doi.org/10.3390/environments12090331 - 18 Sep 2025
Viewed by 991
Abstract
Poultry slaughterhouse wastewater (PSW) affects environmental and economic issues, and the introduction of modern treatment technologies, including microalgae-based ones, is strictly necessary. In this study, bioremediation of unsterilized PSW by several algal representatives of the genera Chlorella, Tetradesmus, Desmodesmus, and [...] Read more.
Poultry slaughterhouse wastewater (PSW) affects environmental and economic issues, and the introduction of modern treatment technologies, including microalgae-based ones, is strictly necessary. In this study, bioremediation of unsterilized PSW by several algal representatives of the genera Chlorella, Tetradesmus, Desmodesmus, and Neochloris was investigated. All microalgae grew in original wastewater, and the elevated N, P, and S levels in PSW allowed the microalgae to increase the biomass yield (from 2.44–3.15 to 2.73–4.42 g L−1). Modification of PSW for cultivation of microalgae made it possible to obtain biomass with a high content of valuable metabolites. The highest protein content was observed in cells of cultures of Chlorella sorokiniana and Neochloris sp. (26% and 33% of the final dry weight, respectively). At the same time, starch and lipids were also accumulated in the algal cells at substantial levels in both original and modified PSW. With the growth of algae, a decrease in the relative abundance of members of Arcobacteraceae and Clostridium, which include pathogens, was also observed. At the same time, PSW contained a variety of bacteria capable of stimulating the growth of microalgae. Thus, integrating microalgae into the treatment of PSW will reduce the negative impact of such wastewaters on the environment and improve the sanitary indicators. Full article
Show Figures

Figure 1

34 pages, 7273 KB  
Review
Understanding PFAS Adsorption: How Molecular Structure Affects Sustainable Water Treatment
by Muhammad Hamza, Ridwan T. Ayinla, Islam Elsayed and El Barbary Hassan
Environments 2025, 12(9), 330; https://doi.org/10.3390/environments12090330 - 18 Sep 2025
Viewed by 4622
Abstract
Per- and polyfluoroalkyl substances (PFASs) are a broad group of synthetic chemicals characterized by strong carbon–fluorine bonds, making them highly persistent and widely distributed in the environment. Their chain length and functional head groups, such as sulfonate and carboxylate groups, determine key molecular [...] Read more.
Per- and polyfluoroalkyl substances (PFASs) are a broad group of synthetic chemicals characterized by strong carbon–fluorine bonds, making them highly persistent and widely distributed in the environment. Their chain length and functional head groups, such as sulfonate and carboxylate groups, determine key molecular properties like hydrophobicity, acidity, and sorption behavior. These properties significantly impact the effectiveness of PFAS removal from water systems. This review provides a structural classification of PFASs and explores removal strategies, with a particular emphasis on adsorption. It examines sustainable adsorbents, including both natural materials (e.g., cellulose, chitosan, lignin, and cyclodextrins) and engineered synthetic materials (e.g., covalent organic frameworks, metal–organic frameworks, and molecularly imprinted polymers). The discussion highlights important parameters such as chain length and functional chemistry, as these can greatly influence removal efficiency. Furthermore, the discussion addresses the adsorption mechanisms-such as electrostatic attraction, hydrophobic interaction, and fluorophilic interactions-to show how they contribute in different systems. By combining structural insights with adsorption performance data, this review aims to help design and select sustainable, high-performance adsorbents for efficiently reducing PFASs in contaminated water. Full article
(This article belongs to the Special Issue Editorial Board Members’ Collection Series: Wastewater Treatment)
Show Figures

Figure 1

16 pages, 1937 KB  
Article
Aptamer-Functionalized Magnetic Nanoparticles for Rapid Isolation of Environmental Escherichia coli
by Zulema Herazo-Romero, Wendy Yulieth Royero-Bermeo, Miguel Octavio Pérez-Navarro, Miryan Margot Sánchez-Jiménez and Juan David Ospina-Villa
Environments 2025, 12(9), 329; https://doi.org/10.3390/environments12090329 - 18 Sep 2025
Cited by 1 | Viewed by 1525
Abstract
Access to safe water remains a vital public health challenge, especially in low- and middle-income countries like Colombia, where untreated sources lead to severe diarrheal diseases in children under five. Escherichia coli (E. coli), a key indicator of fecal contamination, is [...] Read more.
Access to safe water remains a vital public health challenge, especially in low- and middle-income countries like Colombia, where untreated sources lead to severe diarrheal diseases in children under five. Escherichia coli (E. coli), a key indicator of fecal contamination, is often detected using culture-based methods that are time-consuming and rely on specialized infrastructure. To overcome these limitations, we developed an aptamer-based isolation system targeting environmental E. coli. Aptamers were obtained using a Cell-SELEX protocol, and after six enrichment rounds, two candidates—APT-EC-1 and its truncated version APT-EC-MUT—were synthesized and attached to carboxyl-functionalized magnetic nanoparticles (MNP-COOH). Both complexes demonstrated a strong binding affinity and high specificity, successfully isolating E. coli from environmental and ATCC reference strains in the laboratory. Sensitivity tests detected E. coli at dilutions up to 1:10,000, showing reliable performance. In early in-field testing with environmental water samples, APT-EC-1 consistently identified E. coli colonies, while APT-EC-MUT struggled with low bacterial levels, illustrating performance differences. These findings demonstrate the promise of aptamer-functionalized MNPs as the basis for quick, affordable, and portable biosensors for water quality testing, especially in resource-scarce areas. Future efforts will add colorimetric or electrochemical readouts to allow real-time, on-site detection of fecal contamination. Full article
Show Figures

Graphical abstract

20 pages, 1305 KB  
Review
Impacts of Microplastics and Nanoplastics on Tomato Crops: A Critical Review
by Laura Hernández-Sánchez, Vianii Cruz-López, Rosario Herrera-Rivera, Francisco Solis-Pomar, José Navarro-Antonio and Heriberto Cruz-Martínez
Environments 2025, 12(9), 328; https://doi.org/10.3390/environments12090328 - 16 Sep 2025
Viewed by 2051
Abstract
The growing prevalence of plastic pollution has raised significant environmental concerns, particularly regarding microplastics and nanoplastics that persist in various ecosystems. As these particles accumulate in terrestrial environments, their potential impact on crop health and growth has become a growing area of focus. [...] Read more.
The growing prevalence of plastic pollution has raised significant environmental concerns, particularly regarding microplastics and nanoplastics that persist in various ecosystems. As these particles accumulate in terrestrial environments, their potential impact on crop health and growth has become a growing area of focus. Ongoing studies show that microplastics and nanoplastics can disrupt various stages of crop development. Therefore, several studies are currently being conducted on the impact of microplastics and nanoplastics on the germination, growth, and productivity of various crops, highlighting the tomato (Solanum lycopersicum) crop. Although several studies have explored the effects of microplastics and nanoplastics on tomato crops, a comprehensive review of their impacts is still lacking. Therefore, this manuscript presents a detailed review regarding the influence of microplastics and nanoplastics on tomato cultivation. This review revealed that most studies have primarily focused on assessing the effects of microplastics on tomato crop germination, physiological growth, yield, and fruit quality. Therefore, it is essential to conduct further research addressing the impact of nanoplastics on these same aspects. Full article
(This article belongs to the Special Issue Editorial Board Members’ Collection Series: Plastic Contamination)
Show Figures

Figure 1

12 pages, 1403 KB  
Article
The Vascular Flora of Italian Volcanic Lake Calderas: A Comprehensive Floristic Study
by Lorenzo Pinzani, Dario Di Lernia, Emanuele Pelella and Simona Ceschin
Environments 2025, 12(9), 327; https://doi.org/10.3390/environments12090327 - 16 Sep 2025
Cited by 1 | Viewed by 846
Abstract
A comprehensive floristic study on the vascular flora of the 11 Italian volcanic lake calderas is presented. Despite encompassing one of the Mediterranean’s major freshwater systems, floristic research in these areas has proved fragmented and often outdated. By integrating literature data with original [...] Read more.
A comprehensive floristic study on the vascular flora of the 11 Italian volcanic lake calderas is presented. Despite encompassing one of the Mediterranean’s major freshwater systems, floristic research in these areas has proved fragmented and often outdated. By integrating literature data with original data from new floristic surveys, a total of 1182 spontaneous plant taxa were recorded, including 152 alien plants. Six taxa represent regional novelties and 102 are new for the study area, while 48 taxa reported before 1950 were not confirmed locally. From a conservation perspective, 27 taxa of national interest were reported, including two species classified as Critically Endangered (Isoëtes sabatina, Vicia incisa) and four Endangered (Carex vulpina, Baldellia ranunculoides, Hippuris vulgaris, Hydrocotyle vulgaris) according to IUCN criteria, along with 50 taxa listed on regional red lists. Floristic richness varies notably, from 124 taxa in the caldera of Lake Giulianello to 756 in Lake Bracciano, reflecting differences in caldera size, degree of anthropogenic impact and availability of previous botanical data. These results significantly enrich the floristic knowledge of the calderas of Italian volcanic lakes and may represent a solid reference for future naturalistic research in these areas. Full article
Show Figures

Figure 1

27 pages, 421 KB  
Review
A Synthesis of Environmental Policies and Identification of Critical Gaps in Critical Zones of South and East Africa
by Lwando Mdleleni, Kwanele Qonono, Konosoang Sobane, Wilfred Lunga, Mmakotsedi Magampa, Abongile Pindo, Caiphus Baloyi, Irene Koko and Christine Noe
Environments 2025, 12(9), 326; https://doi.org/10.3390/environments12090326 - 15 Sep 2025
Cited by 1 | Viewed by 1159
Abstract
Africa’s Critical Zones experience unprecedented environmental degradation but do not have effective governance modalities for policy implementation coordination across jurisdictional and stakeholder scales. This study addresses three specific scientific challenges: (1) How does policy discordance between national environmental policies and local implementation cultures [...] Read more.
Africa’s Critical Zones experience unprecedented environmental degradation but do not have effective governance modalities for policy implementation coordination across jurisdictional and stakeholder scales. This study addresses three specific scientific challenges: (1) How does policy discordance between national environmental policies and local implementation cultures undermine conservation effectiveness in Critical Zones? (2) What do power asymmetries among stakeholders contribute to governance failure? (3) To what extent do implementation gaps stem from the exclusion of Indigenous knowledge systems from mainstream policy-making processes? In this qualitative multi-case study, the research examines policy reports, technical reports, and interviews with important stakeholders in five African Critical Zones: Central Rift Valley (Ethiopia), Kilombero Valley (Tanzania), Maligunde Dam (Malawi), Lake Chivero (Zimbabwe), and Muizenberg East (South Africa). Evidence shows that shattered institutional imperatives create policy gaps exploited by industrial stakeholders, where policy design from the top down routinely leaves in place established community-based systems of governance that have historically maintained these ecosystems in equilibrium. Excess power held by government ministries compared to local communities results in 73% of environmental policy being enforced with ineffective stakeholder engagement, with non-compliance levels across examined locations exceeding 60%. The study attests to the fact that co-management incorporated governance systems that adopt traditional ecological knowledge systems register 40% greater compliance rates with policies. These findings are empirical evidence of adaptive governance models that can bridge Africa’s most vulnerable ecosystems’ policy–practice gap, and they guide direct implementation of the African Union Agenda 2063 environmental targets. Full article
Show Figures

Figure 1

15 pages, 4872 KB  
Article
Influence of Dietary Microalgae on Acartia tonsa Copepod Microbiome
by Jiantong Feng, Maurizio Mazzei, Giacomo Bernabei, Valentina Vitiello, Xiaojun Yan, Isabella Buttino and Simona Di Gregorio
Environments 2025, 12(9), 325; https://doi.org/10.3390/environments12090325 - 15 Sep 2025
Viewed by 887
Abstract
This study investigates the effect of different microalgae diets on the microbiomes associated with the marine copepod Acartia tonsa. Copepods were fed with two different mixed-diet compositions: (i) Isochrysis galbana (ISO) and Rhinomonas reticulata (RHI)—(ISO + RHI) and (ii) ISO and Rhodomonas [...] Read more.
This study investigates the effect of different microalgae diets on the microbiomes associated with the marine copepod Acartia tonsa. Copepods were fed with two different mixed-diet compositions: (i) Isochrysis galbana (ISO) and Rhinomonas reticulata (RHI)—(ISO + RHI) and (ii) ISO and Rhodomonas baltica (RHO)—(ISO + RHO). 16S rDNA metabarcoding and comparative statistic have been adopted to study microbial diversity associated with algae and copepods. Diversity index, taxonomic profiling, and statistically significant taxa differential abundances were evaluated with reference to the different algal and copepod microbiomes. Results showed that the different feeding regimes shape different copepod microbial communities. The abundance of Vermiphilaceae, OM190, KI89A_clade, Cyanobium_PCC-6307, and Cyclobacteriaceae increased in copepod microbiomes independently by the feeding regimes. On the other hand, Tistlia sp., Bradymonadales, and Alteromonadaceae were differentially enriched in copepod microbiomes in relation to the different feeding regimes. Differences in the microbial community composition between ISO + RHI and ISO + RHO were observed, suggesting that the specific algal diet plays a pivotal role in shaping microbiome structure. Full article
Show Figures

Graphical abstract

29 pages, 1943 KB  
Review
Revitalizing Degraded Soils: The Role of Biochar in Enhancing Soil Health and Productivity
by Stavroula Dimitriadou, Ekavi Aikaterini Isari, Eleni Grilla, Petros Kokkinos and Ioannis K. Kalavrouziotis
Environments 2025, 12(9), 324; https://doi.org/10.3390/environments12090324 - 14 Sep 2025
Cited by 1 | Viewed by 2210
Abstract
Biochar (BC), a carbonaceous material derived from biomass pyrolysis, exhibits a wide range of physicochemical properties, including a high cation exchange capacity, porosity, and specific surface area, which make it a highly valuable amendment for soil enhancement and environmental sustainability. As BC has [...] Read more.
Biochar (BC), a carbonaceous material derived from biomass pyrolysis, exhibits a wide range of physicochemical properties, including a high cation exchange capacity, porosity, and specific surface area, which make it a highly valuable amendment for soil enhancement and environmental sustainability. As BC has shown strong potential to remediate soils, enhance their fertility, and increase crop productivity, it can successfully be used as a soil remediation factor. Additionally, it can play a critical role in carbon sequestration and climate change mitigation, revealing a high sorption capacity, multifunctionality, and long-term persistence in soils, where it can remain stable for hundreds to thousands of years. The present systematic review aims at presenting the dynamics of BC when incorporated into a soil system, focusing on its pH, water-holding capacity, aeration, microbiota, and carbon and nutrient availability across various case studies, particularly in acid, saline/sodic, and heavy metal-contaminated soils. Given the variability in BC performance, robust, long-term field-based research is essential to validate the current findings and support the development of targeted and sustainable biochar applications. Full article
Show Figures

Graphical abstract

19 pages, 5878 KB  
Article
Spatial and Multivariate Analysis of Groundwater Hydrochemistry in the Solana Aquifer, SE Spain
by Víctor Sala-Sala, José Miguel Andreu, Ana Pérez-Gimeno, Manuel M. Jordán, Jose Navarro-Pedreño and María Belén Almendro-Candel
Environments 2025, 12(9), 323; https://doi.org/10.3390/environments12090323 - 12 Sep 2025
Viewed by 1024
Abstract
The Solana aquifer is located in the South-East of the Iberian Peninsula and forms part of the Villena-Benejama groundwater body. It is a limestone and dolomite aquifer that has historically been considered overexploited due to intensive agriculture and urban use. Despite this, the [...] Read more.
The Solana aquifer is located in the South-East of the Iberian Peninsula and forms part of the Villena-Benejama groundwater body. It is a limestone and dolomite aquifer that has historically been considered overexploited due to intensive agriculture and urban use. Despite this, the quality of the water has remained stable over time. This study analyses the spatial and temporal variability within the aquifer and identifies the controlling processes. Chemical analyses were conducted on samples taken from 26 wells in July 2024 and February 2025. The results reveal a predominant calcium carbonate facies with minimal seasonal variation. However, sulphate-chloride water was found in the South-Western sector, which is associated with the dissolution of evaporitic materials from the Triassic Keuper. Principal Component Analysis (PCA) and Hierarchical Cluster Analysis (HCA) identified two processes: a salinity gradient linked to lithology, and a second process related to bicarbonates and nitrates, indicating potential nitrate inputs in the eastern half of the aquifer. HCA differentiates four clusters: one highly mineralised group located in the south-western sector near Triassic outcrops, two intermediate groups with slight differences in composition and distribution, and a fourth group with the lowest mineralisation located on the Southern flank of the Solana range. Full article
(This article belongs to the Special Issue Research Progress in Groundwater Contamination and Treatment)
Show Figures

Figure 1

37 pages, 3897 KB  
Article
The Role of Phytoplankton in the Assessment of the Ecological State of the Floodplain Lakes of the Irtysh River, Kazakhstan
by Elena Krupa, Yerkezhan Argynbayeva, Sophia Barinova and Sophia Romanova
Environments 2025, 12(9), 322; https://doi.org/10.3390/environments12090322 - 12 Sep 2025
Viewed by 1120
Abstract
Floodplain lakes play a significant role in maintaining biological diversity and providing a food base for aquatic organisms. In 2023–2024, for the first time, we studied phytoplankton of five floodplain lakes of the transboundary Irtysh River in Kazakhstan. A total of 149 species [...] Read more.
Floodplain lakes play a significant role in maintaining biological diversity and providing a food base for aquatic organisms. In 2023–2024, for the first time, we studied phytoplankton of five floodplain lakes of the transboundary Irtysh River in Kazakhstan. A total of 149 species and forms of planktonic algae were recorded, with a low level of similarity between the lakes. The ratio of indicator species (predominance of eutraphents and meso-eutraphents), abundance (3301.6–168,961.1 thou. cells L−1), biomass (2.41–83.67 mg L−1) of phytoplankton communities, and composition of dominant phyla and species (Cyanobacteria: Microcystis pulverea, M. aeruginosa, Aphanizomenon flos-aquae; Chlorophyta: Volvox globator; Dinoflagellata: Ceratium hirundinella and others) testified to a high level of organic pollution of floodplain lakes. Chemical variables (nitrogen compound content, PI) supported this conclusion. Analysis of the RDA revealed that the biomass of Cyanobacteria was controlled by nitrate nitrogen, while phosphates controlled that of Chlorophyta. The applied integrated approach showed an improvement in the trophic status of lakes in a high-water year and can be useful in assessing the ecological state of aquatic ecosystems in other regions. Full article
(This article belongs to the Special Issue Environmental Risk Assessment of Aquatic Environments)
Show Figures

Figure 1

19 pages, 1939 KB  
Article
Genotoxic Effects of Water in Aquatic Ecosystems with Varying Cyanobacterial Abundance Assessed Using the Allium Test
by Svetlana Kurbatova, Dmitry Pesnya, Andrey Sharov, Igor Yershov, Ekaterina Chernova, Roman Fedorov, Ivan Semadeni and Galina Shurganova
Environments 2025, 12(9), 321; https://doi.org/10.3390/environments12090321 - 12 Sep 2025
Viewed by 974
Abstract
Cyanobacterial blooms in aquatic ecosystems are a major global environmental concern. While the mutagenic and mitosis-disrupting properties of isolated cyanobacterial toxins are well documented, evidence of cytogenotoxic effects resulting from cyanobacterial blooms in natural aquatic ecosystems remains limited. In this study, water genotoxicity [...] Read more.
Cyanobacterial blooms in aquatic ecosystems are a major global environmental concern. While the mutagenic and mitosis-disrupting properties of isolated cyanobacterial toxins are well documented, evidence of cytogenotoxic effects resulting from cyanobacterial blooms in natural aquatic ecosystems remains limited. In this study, water genotoxicity was evaluated in microcosms simulating cyanobacterial blooms of varying abundance. In microcosms with initially high cyanobacterial abundances (4.6 × 107 and 2.2 × 107 cells L−1) and biomass (58 mg L−1 and 20 mg L−1), significant toxic, cytotoxic, mitosis-disrupting, and mutagenic effects were observed: root elongation was inhibited by up to 49.6% (Day 1), the mitotic index decreased by ~33% (Treatment I, Day 42) vs. Control, and total chromosomal aberrations and lagging chromosomes increased by ~2.5-fold on Day 1 (Treatment I) and ~4.7-fold on Day 42 (Treatment I) vs. Control; micronuclei increased ~10-fold on Day 42 in Treatment I and II. In microcosms with lower cyanobacterial abundance (1.2 × 107 cells L−1) and biomass (9 mg L−1), significant reductions were observed only in root growth and in the mitotic index compared with Control. Future research should aim to identify a broader spectrum of cyanobacterial toxins and to investigate their environmental fate and persistence in aquatic ecosystems, particularly since genotoxic effects were detected even during the post-bloom period: on Day 42 extracellular microcystins in water were <LOQ in Treatments I and III (and 0.025 µg L−1 in Treatment II), yet chromosome lagging and micronuclei remained elevated. The observed genotoxicity associated with cyanobacterial metabolites underscores the need for thorough risk assessments of cyanobacterial blooms in aquatic environments. Full article
(This article belongs to the Special Issue Environmental Risk Assessment of Aquatic Environments)
Show Figures

Graphical abstract

24 pages, 2567 KB  
Article
How Altitude Affects the Phenolic Potential of the Grapes of cv. ‘Fokiano’ (Vitis vinifera L.) on Ikaria Island
by Ioannis Daskalakis, Maritina Stavrakaki, Katerina Vardaka, Stavroula Nikolaou, Stefania Koukoufiki, Theodora Giannakou, Despoina Bouza and Katerina Biniari
Environments 2025, 12(9), 320; https://doi.org/10.3390/environments12090320 - 11 Sep 2025
Viewed by 1701
Abstract
Climate is one of the main factors that significantly impacts the terroir of vineyards by directly affecting vine growth, yield, and berry composition, which, in turn, are key to the quality characteristics of the wines produced. Climate change poses new challenges, especially in [...] Read more.
Climate is one of the main factors that significantly impacts the terroir of vineyards by directly affecting vine growth, yield, and berry composition, which, in turn, are key to the quality characteristics of the wines produced. Climate change poses new challenges, especially in insular regions where changing grapevine varieties is limited due to Protected Designation of Origin (PDO) rules. Cultivating vines at higher altitudes may prove to be a potential solution. This study aimed to investigate the phenolic potential of the skins and seeds of cv. ‘Fokiano’, cultivated at two different altitudes, namely, 200 m and 800 m, on the Greek island of Ikaria, during 2019–2021. The results showed that grapes from 200 m exhibited higher values for weight, length, and width, while those from 800 m exhibited higher berry water content and higher skin-to-grape ratios. In addition, higher values of anthocyanins, enhancing the grapes’ color and phenolic composition, were recorded in grapes harvested at 800 m. It is, therefore, evident that higher altitudes can help grapes exhibit higher anthocyanin content and titratable acidity. Consequently, the choice of an altitude can counteract the phenomenon of early ripening caused by climate change. Adaptation strategies based on the present study’s observations may constitute viable long-term recommendations for vineyard establishment, especially in insular regions where it is not possible to move geographically to northern latitudes. Full article
Show Figures

Figure 1

14 pages, 1259 KB  
Article
Carbon Dioxide Bio-Capture and Organic Carbon Production in Two Microalgae Strains Grown Under Different CO2 Conditions
by David A. Gabrielyan, Maria A. Sinetova, Grigoriy A. Savinykh, Elena V. Zadneprovskaya, Maria A. Goncharova, Bogdan Yu. Bulychev, Ekaterina A. Flerova and Nikolay V. Lobus
Environments 2025, 12(9), 319; https://doi.org/10.3390/environments12090319 - 11 Sep 2025
Viewed by 1860
Abstract
The need to reduce anthropogenic greenhouse gas emissions drives the development of innovative carbon dioxide capture technologies. Microalgae-based biotechnologies represent a promising approach in this field. In this study, we evaluated the CO2 assimilation efficiency of two novel microalgae strains, Desmodesmus armatus [...] Read more.
The need to reduce anthropogenic greenhouse gas emissions drives the development of innovative carbon dioxide capture technologies. Microalgae-based biotechnologies represent a promising approach in this field. In this study, we evaluated the CO2 assimilation efficiency of two novel microalgae strains, Desmodesmus armatus ARC-06 and Tribonema minus ARC-10, under low (0.04%) and high (1.5%) CO2 conditions in a periodic cultivation system. The two strains exhibited distinct CO2 adaptation strategies. D. armatus demonstrated higher tolerance to low CO2 conditions, whereas T. minus showed superior performance under elevated CO2. Although elevated CO2 stimulated growth in both strains, their carbon dioxide sequestration efficiency (CDSE) differed markedly. The maximum CDSE was significantly higher in T. minus (30.0 ± 1.52%) compared to D. armatus (16.5 ± 1.12%). Similarly, the average CDSE over the cultivation period was greater in T. minus (19.1 ± 2.18%) than in D. armatus (11.8 ± 1.45%). These results underscore the importance of bioprospecting for novel microalgae strains, and the need for further research to develop efficient biological CO2 sequestration methods. Full article
Show Figures

Figure 1

10 pages, 913 KB  
Article
Combined Exposure to Polyethylene Microplastics and Copper Affects Growth and Antioxidant Responses in Rice Seedlings
by Ziwen Hao, Ziyang Li, Zhangdong Wei, Lin Wang and Ming Xu
Environments 2025, 12(9), 318; https://doi.org/10.3390/environments12090318 - 10 Sep 2025
Viewed by 805
Abstract
The co-existence of polyethylene microplastics (PE-MPs) and heavy metals in aquatic ecosystems poses emerging threats to crop systems, yet their combined phytotoxic effects remain insufficiently understood. In this study, hydroponic rice (Oryza sativa) seedlings were exposed to PE-MPs (50 mg/L) and [...] Read more.
The co-existence of polyethylene microplastics (PE-MPs) and heavy metals in aquatic ecosystems poses emerging threats to crop systems, yet their combined phytotoxic effects remain insufficiently understood. In this study, hydroponic rice (Oryza sativa) seedlings were exposed to PE-MPs (50 mg/L) and copper (Cu, 20 mg/L) individually and in combination. The results showed that PE-MPs alone had no significant impact on shoot or root elongation, while Cu exposure slightly reduced root length (from 6.2 cm in the control to 5.8 cm) without affecting shoot growth (~37 cm). Combined PE+Cu treatment resulted in intermediate biomass values, suggesting that microplastics partially mitigated but did not eliminate Cu toxicity. Antioxidant responses displayed organ specificity: shoot peroxidase (POD) activity dropped sharply from >10,000 U/g in the control to ~1200 U/g under Cu exposure, while root POD activity decreased from >11,000 U/g in the control to ~1500 U/g under combined exposure. Cu accumulation was markedly elevated under co-exposure, reaching ~450 mg/kg, about 25% higher than Cu alone and more than 12 times greater than control. These findings demonstrate that PE-MPs can enhance Cu bioavailability and uptake, thereby intensifying oxidative stress in roots while altering shoot defense responses. The study highlights the ecological risks of microplastic–metal co-contamination in agricultural systems and underscores the need for further investigation into long-term impacts on crop productivity and food safety. Full article
Show Figures

Figure 1

22 pages, 1462 KB  
Article
Analysis of Selected Potentially Harmful Metal Elements in Soils and Vegetables in Gold Mining Region: Case Study Evaluated in Kenya, Africa
by John M. Macharia, Ngure Veronica, Lareen Wangare and Raposa L. Bence
Environments 2025, 12(9), 317; https://doi.org/10.3390/environments12090317 - 9 Sep 2025
Cited by 1 | Viewed by 1819
Abstract
This study aimed to assess heavy metal and associated trace element contamination in soils and vegetables from artisanal gold mining areas in Migori County, Kenya. Soil concentrations were markedly elevated, with Pb (15.4–706 mg/kg), Cd (0.14–6.07 mg/kg), Ni (0.2–33.4 mg/kg), Cr (11.9–119.3 mg/kg), [...] Read more.
This study aimed to assess heavy metal and associated trace element contamination in soils and vegetables from artisanal gold mining areas in Migori County, Kenya. Soil concentrations were markedly elevated, with Pb (15.4–706 mg/kg), Cd (0.14–6.07 mg/kg), Ni (0.2–33.4 mg/kg), Cr (11.9–119.3 mg/kg), As (0.1–37.4 mg/kg), Zn (38–1454 mg/kg), Se (0.1–0.8 mg/kg), and Hg (0.51–1830 mg/kg) all exceeding international guideline values. Corresponding vegetable concentrations were as follows: Pb (0.17–71.3 mg/kg), Ni (0.2–111 mg/kg), Cr (2.4–244 mg/kg), As (1.2–399 mg/kg), Hg (0.22–35 mg/kg), Zn (11.2–67.4 mg/kg), and Se (0.1–5.7 mg/kg). Brassica oleracea var. capitata (cabbage) exhibited the highest uptake, while Amaranthus hybridus (smooth pigweed) showed the lowest. Estimated daily intake (EDI) values for Pb, Ni, Cr, As, Zn, and Hg exceeded FAO/WHO limits, with hazard quotients (HQ) > 1 for all metals and hazard index (HI) values between 15.6 and 30.4, indicating significant non-carcinogenic and carcinogenic risks. These findings highlight severe contamination linked to geological background and mining activity, underscoring the urgent need for regular monitoring and mitigation to protect food safety and public health. Full article
Show Figures

Figure 1

17 pages, 2631 KB  
Article
Adsorption of Phosphates from Wastewater Using MgAlFe-Layered Double Hydroxides
by Oanamari Daniela Orbuleţ, Liliana Bobirică, Mirela Enache (Cişmaşu), Ramona Cornelia Pațac, Magdalena Bosomoiu and Cristina Modrogan
Environments 2025, 12(9), 316; https://doi.org/10.3390/environments12090316 - 7 Sep 2025
Viewed by 1639
Abstract
Phosphates pollution, primarily from agricultural runoff and wastewater discharge, is a major contributor to water eutrophication, adversely affecting aquatic ecosystems. This study reports the synthesis, characterization, and phosphates adsorption performance of a MgAlFe-layered double hydroxide (MgAlFe-LDH) with a 2:1:1 cationic ratio. The material [...] Read more.
Phosphates pollution, primarily from agricultural runoff and wastewater discharge, is a major contributor to water eutrophication, adversely affecting aquatic ecosystems. This study reports the synthesis, characterization, and phosphates adsorption performance of a MgAlFe-layered double hydroxide (MgAlFe-LDH) with a 2:1:1 cationic ratio. The material was prepared via co-precipitation and characterized using digital microscopy, XRD, BET, XPS, and FTIR. Adsorption experiments were conducted at pH 3 and 9 to investigate equilibrium, kinetics, and reusability. The MgAlFe-LDH exhibited a high maximum adsorption capacity (q_max ≈ 215 mg/g) largely independent of pH, with adsorption well described by the Langmuir model. Kinetic studies revealed a pseudo-first-order mechanism, indicating that adsorption is dominated by surface diffusion and electrostatic interactions. Phosphate removal occurs through a dual mechanism involving rapid electrostatic attraction at protonated surface sites and slower ion exchange in the LDH interlayers. The material retained over 75% of its adsorption capacity after five consecutive adsorption–desorption cycles, highlighting its potential for sustainable phosphate recovery. Overall, the MgAlFe-LDH represents a promising, reusable adsorbent for phosphorus removal from wastewater, supporting circular economy strategies. Full article
(This article belongs to the Special Issue Advanced Technologies of Water and Wastewater Treatment (2nd Edition))
Show Figures

Figure 1

3 pages, 147 KB  
Editorial
Microplastics Pollution in Aquatic Ecosystems: Challenges and Perspectives
by Farhan R. Khan, Charles Rolsky, Ana I. Catarino and Varun Kelkar
Environments 2025, 12(9), 315; https://doi.org/10.3390/environments12090315 - 5 Sep 2025
Viewed by 1212
Abstract
Over the last 20 years, microplastics have emerged as a grave environmental concern owing to their ubiquitous presence and demonstrable toxic effects [...] Full article
19 pages, 1888 KB  
Article
Adsorption of Phenol from Aqueous Solution Utilizing Activated Carbon Prepared from Catha edulis Stem
by Meseret Dawit Teweldebrihan, Mikiyas Abewaa Gnaro and Megersa Olumana Dinka
Environments 2025, 12(9), 314; https://doi.org/10.3390/environments12090314 - 5 Sep 2025
Viewed by 2183
Abstract
Phenol and its derivatives in water and wastewater are highly toxic and challenging to degrade, posing serious environmental and health risks. Therefore, this research focuses on the removal of phenol from aqueous solutions using activated carbon made from Catha edulis stems. The activation [...] Read more.
Phenol and its derivatives in water and wastewater are highly toxic and challenging to degrade, posing serious environmental and health risks. Therefore, this research focuses on the removal of phenol from aqueous solutions using activated carbon made from Catha edulis stems. The activation process involved impregnating the Catha edulis stems with phosphoric acid followed by thermal treatment at 500 °C for 2 h. The resulting adsorbent was extensively characterized using various techniques, including Scanning Electron Microscopy (SEM), Fourier Transform Infrared Spectroscopy (FTIR), Brunauer–Emmett–Teller (BET) surface area analysis, and proximate analysis. Batch adsorption experiments were designed using a full factorial approach with four factors at two levels, resulting in 16 different experimental conditions. The characterization results showed that the activated carbon has a high surface area of 1323 m2/g, a porous and heterogeneous structure, and an amorphous surface with multiple functional groups. Under optimal conditions of pH 2, a contact time of 60 min, an adsorbent dosage of 0.1 g/100 mL, and an initial phenol concentration of 100 mg/L, the adsorbent achieved a phenol removal efficiency of 99.9%. Isotherm and kinetics analyses revealed that phenol adsorption fits the Langmuir model and pseudo-second-order kinetics, indicating a uniform interaction and chemisorptive process. This study highlights the effectiveness of Catha edulis stem-based activated carbon as a promising material for phenol removal in water treatment applications. Full article
(This article belongs to the Special Issue Advanced Technologies of Water and Wastewater Treatment (2nd Edition))
Show Figures

Figure 1

26 pages, 6536 KB  
Article
Biogenic CO2, CH4, and N2O Emissions from Abalone Culture in Tidal Ponds
by Yi-Jung Chen, Wen-Chen Chou, Hsiao-Chun Tseng, Ruei-Feng Shiu, Meng-Chou Lee, Fan-Hua Nan and Han-Yang Yeh
Environments 2025, 12(9), 313; https://doi.org/10.3390/environments12090313 - 4 Sep 2025
Cited by 1 | Viewed by 1400
Abstract
Abalone is among the most highly prized seafoods, valued for its delicate flavor and texture. As abalone aquaculture continues to expand, addressing its environmental impacts has become increasingly important. Although aquaculture is recognized as a contributor to greenhouse gas (GHG) emissions, the specific [...] Read more.
Abalone is among the most highly prized seafoods, valued for its delicate flavor and texture. As abalone aquaculture continues to expand, addressing its environmental impacts has become increasingly important. Although aquaculture is recognized as a contributor to greenhouse gas (GHG) emissions, the specific mechanisms and pathways of GHG emissions—particularly in abalone farming—remain poorly understood. To clarify the patterns and drivers of GHG emissions in abalone (Haliotis discus) culture systems, this study was conducted in three aquaculture ponds located in Gongliao District, New Taipei City, Taiwan. We measured CO2, CH4, and N2O fluxes along with key environmental parameters to assess variation across sampling locations, times, and seasons. The results showed that sampling time had no significant effect on GHG flux variations, whereas seasonal changes influenced all three gases, and sampling location significantly affected N2O flux only. During the culture period, average fluxes were 2.19 ± 10.83 mmol m−2 day−1 for CO2, 2.11 ± 2.81 µmol m−2 day−1 for CH4, and 1.65 ± 2.73 µmol m−2 day−1 for N2O, indicating that the abalone ponds served as net sources of these GHGs. When converted to CO2-equivalents (CO2-eq), the total average CO2-eq flux from the ponds was 0.02 ± 0.09 mg CO2-eq m−2 day−1, calculated using global warming potential (GWP20 and GWP100) metrics. This study provides the first comprehensive assessment of GHG emissions in abalone pond systems and offers valuable insights into their emission dynamics. The findings contribute to the scientific basis needed to improve aquaculture GHG inventories. Full article
Show Figures

Figure 1

16 pages, 530 KB  
Article
Investigating the Cosmic and Solar Drivers of Stratospheric 7Be Variability
by Alessandro Rizzo, Giuseppe Antonacci, Massimo Astarita, Enrico Maria Borra, Luca Ciciani, Nadia di Marco, Giovanna la Notte, Patrizio Ripesi, Luciano Sperandio, Ignazio Vilardi and Francesca Zazzaron
Environments 2025, 12(9), 312; https://doi.org/10.3390/environments12090312 - 4 Sep 2025
Viewed by 960
Abstract
Space weather exerts a significant influence on the Earth’s atmosphere, driving a variety of physical processes, including the production of cosmogenic radionuclides. Among these, 7Be is a naturally occurring radionuclide formed through spallation reactions induced by cosmic-ray showers interacting with atmospheric constituents, [...] Read more.
Space weather exerts a significant influence on the Earth’s atmosphere, driving a variety of physical processes, including the production of cosmogenic radionuclides. Among these, 7Be is a naturally occurring radionuclide formed through spallation reactions induced by cosmic-ray showers interacting with atmospheric constituents, primarily oxygen and nitrogen. Over long timescales, the atmospheric concentration of 7Be exhibits a direct correlation with the cosmic-ray flux reaching the Earth and an inverse correlation with solar activity, which modulates this flux via variations of the heliosphere. The large availability of 7Be concentration data, resulting from its use as a natural tracer employed in atmospheric transport studies and in monitoring the fallout from radiological incidents such as the Chernobyl disaster, can also be exploited to investigate the impact of space weather conditions on the terrestrial atmosphere and related geophysical processes. The present study analyzes a long-term dataset of monthly 7Be activity concentrations in air samples collected at ground level since 1987 at the ENEA Casaccia Research Center in Rome, Italy. In particular, the linear correlation of this time series with the galactic cosmic ray flux on Earth and solar activity have been investigated. Data from a ground-based neutron monitor and sunspot numbers have been used as proxies for galactic cosmic rays and solar activity, respectively. A centered running-mean low-pass filter was applied to the monthly 7Be time series to extract its low-frequency component associated with cosmic drivers, which is partially hidden by high-frequency modulations induced by atmospheric dynamics. For Solar Cycles 22, 23, 24, and partially 25, the analysis shows that a substantial portion of the relationship between stratospheric 7Be concentrations and cosmic drivers is captured by linear correlation. Within a statistically consistent framework, the evidence supports a correlation between 7Be and cosmic drivers consistent with solar-cycle variability. The 7Be radionuclide can therefore be regarded as a reliable atmospheric tracer of cosmic-ray variability and, indirectly, of solar modulation. Full article
Show Figures

Figure 1

52 pages, 2983 KB  
Systematic Review
Niobium-Based Catalysts in Advanced Oxidation Processes: A Systematic Review of Mechanisms, Material Engineering, and Environmental Applications
by Michel Z. Fidelis, Julia Faria, William Santacruz, Thays S. Lima, Giane G. Lenzi and Artur J. Motheo
Environments 2025, 12(9), 311; https://doi.org/10.3390/environments12090311 - 4 Sep 2025
Viewed by 1916
Abstract
Water contamination by emerging pollutants poses a significant environmental challenge, demanding innovative treatment technologies beyond conventional methods. Advanced oxidation processes (AOPs) utilizing niobium-based catalysts, particularly niobium oxide (Nb2O5) and its modified forms, are prominent due to their high chemical [...] Read more.
Water contamination by emerging pollutants poses a significant environmental challenge, demanding innovative treatment technologies beyond conventional methods. Advanced oxidation processes (AOPs) utilizing niobium-based catalysts, particularly niobium oxide (Nb2O5) and its modified forms, are prominent due to their high chemical stability, effective reactive oxygen species (ROS) generation, and versatility. This review systematically examines recent advancements in Nb2O5-based catalysts across various AOPs, including heterogeneous photocatalysis, electrocatalysis, and Fenton-like reactions, highlighting their mechanisms, material modifications, and performance. Following PRISMA and InOrdinatio guidelines, 381 papers were selected for this synthesis. The main findings indicate that niobium incorporation enhances pollutant degradation by extending light absorption, reducing electron–hole recombination, and increasing ROS generation. Structural modifications such as crystalline phase tuning, defect engineering, and the formation of heterostructures further amplify catalytic efficiency and stability. These catalysts demonstrate considerable potential for water treatment, effectively degrading a broad range of persistent contaminants such as dyes, pharmaceuticals, pesticides, and personal care products. This review underscores the environmental benefits and practical relevance of Nb2O5-based systems, identifying critical areas for future research to advance sustainable water remediation technologies. Full article
(This article belongs to the Special Issue Advanced Research on Micropollutants in Water, 2nd Edition)
Show Figures

Graphical abstract

26 pages, 2939 KB  
Article
Finding Common Climate Action Among Contested Worldviews: Stakeholder-Informed Approaches in Austria
by Claire Cambardella, Chase Skouge, Christian Gulas, Andrea Werdenigg, Harald Katzmair and Brian D. Fath
Environments 2025, 12(9), 310; https://doi.org/10.3390/environments12090310 - 3 Sep 2025
Viewed by 1100
Abstract
Our goal was to identify and understand perspectives of different stakeholders in the field of climate policy and test a process of co-creative policy development to support the implementation of climate protection measures. As the severity of climate change grows globally, perceptions of [...] Read more.
Our goal was to identify and understand perspectives of different stakeholders in the field of climate policy and test a process of co-creative policy development to support the implementation of climate protection measures. As the severity of climate change grows globally, perceptions of climate science and climate-based policy have become increasingly polarized. The one-solution consensus or compromise that has encapsulated environmental policymaking has proven insufficient or unable to address accurately or efficiently the climate issue. Because climate change is often described as a wicked problem (multiple causes, widespread impacts, uncertain outcomes, and an array of potential solutions), a clumsy solution that incorporates ideas and actions representative of varied and divergent worldviews is best suited to address it. This study used the Theory of Plural Rationality, which uses a two-dimensional spectrum to identify four interdependent worldviews as well as a fifth autonomous perspective to define the differing perspectives in the field of climate policy in Austria. Stakeholder inputs regarding general worldviews, climate change, and climate policy were evaluated to identify agreeable actions representative of the multiple perspectives. Thus, we developed and tested a co-creative process for developing clumsy solutions. This study concludes that while an ideological consensus is unlikely, agreement is more likely to occur on the practical level of concrete actions (albeit perhaps for different reasons). Findings suggested that creating an ecological tax reform was an acceptable policy action to diverse stakeholders. Furthermore, the study illuminated that the government is perceived to have the most potential influence on climate protection policy and acts as a key “broker”, or linkage, between other approaches that are perceived to be more actualized but less impactful. Full article
Show Figures

Figure 1

Previous Issue
Next Issue
Back to TopTop