Carbon Dioxide Bio-Capture and Organic Carbon Production in Two Microalgae Strains Grown Under Different CO2 Conditions
Abstract
1. Introduction
2. Materials and Methods
2.1. Microalgae Strains and Cultivation Conditions
2.2. Growth and Productivity Measurements
2.3. Organic Carbon
- Total carbon (TC)—pyrolysis at 900 °C in oxygen;
- Inorganic carbon (IC)—acid extraction (1 mL 25% H3PO4) at 200 °C.
2.4. Carbon Dioxide Fixation
- (1)
- Direct measurement of the OC content photosynthesized in the LSIC vials (dFCO2):
- (2)
- Stoichiometric composition of microalgae cells (sFCO2):
2.5. Carbon Dioxide Sequestration Efficiency (CDSE)
2.6. Statistics
- Temporal dynamics analysis: To assess the changes in each parameter over time within a single strain and CO2 condition, we used a one-way analysis of variance (ANOVA). For statistically significant ANOVA results, post hoc pairwise comparisons between different days of cultivation were performed using Tukey’s honestly significant difference (HSD) test.
- Inter-strain comparison: To assess the differences between the two strains (D. armatus and T. minus) on the same day of cultivation and under the same CO2 condition, an independent samples Student’s t-test was used.
3. Results
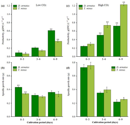
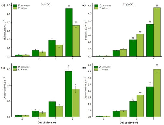
3.1. Growth Characteristics of Microalgae Strains
3.2. Carbon Dioxide Capture and CDSE
4. Discussion
5. Conclusions
Supplementary Materials
Author Contributions
Funding
Data Availability Statement
Acknowledgments
Conflicts of Interest
Abbreviations
| CO2 | Carbon dioxide |
| OC | Organic carbon |
| CDSE | Carbon dioxide sequestration efficiency |
| GAM | Gas–air mixture |
| FCO2 | Carbon dioxide fixation |
| LSIC | Laboratory system for intensive cultivation |
| DW | Dry weight |
References
- Udaypal; Goswami, R.K.; Mehariya, S.; Verma, P. Advances in microalgae-based carbon sequestration: Current status and future perspectives. Environ. Res. 2024, 249, 118397. [Google Scholar] [CrossRef]
- Shah, M.A.; Shibiru, A.L.; Kumar, V.; Srivastava, V.C. Carbon dioxide conversion to value-added products and fuels: Opportunities and challenges: A critical review. Int. J. Green Energy 2025, 22, 1532–1551. [Google Scholar] [CrossRef]
- Lobus, N.V.; Kulikovskiy, M.S. The Co-Evolution Aspects of the Biogeochemical Role of Phytoplankton in Aquatic Ecosystems: A Review. Biology 2023, 12, 92. [Google Scholar] [CrossRef]
- Zhang, S.; Liu, Z. Advances in the biological fixation of carbon dioxide by microalgae. J. Chem. Technol. Biotechnol. 2021, 96, 1475–1495. [Google Scholar] [CrossRef]
- Abdur Razzak, S.; Bahar, K.; Islam, K.M.O.; Haniffa, A.K.; Faruque, M.O.; Hossain, S.M.Z.; Hossain, M.M. Microalgae cultivation in photobioreactors: Sustainable solutions for a greener future. Green Chem. Eng. 2024, 5, 418–439. [Google Scholar] [CrossRef]
- Wang, R.; Wang, X.; Zhu, T. Research progress and application of carbon sequestration in industrial flue gas by microalgae: A review. J. Environ. Sci. 2025, 152, 14–28. [Google Scholar] [CrossRef]
- Lobus, N.V.; Knyazeva, M.A.; Popova, A.F.; Kulikovskiy, M.S. Carbon Footprint Reduction and Climate Change Mitigation: A Review of the Approaches, Technologies, and Implementation Challenges. C 2023, 9, 120. [Google Scholar] [CrossRef]
- Santos Ballardo, D.U.; Rossi, S. (Eds.) Microalgae as Promising Source of Commercial Bioproducts; Developments in Applied Phycology; Springer Nature: Cham, Switzerland, 2025; Volume 14, ISBN 978-3-031-86432-2. [Google Scholar]
- Silva, M.; Geada, P.; Pereira, R.N.; Teixeira, J.A. Microalgae biomass–A source of sustainable dietary bioactive compounds towards improved health and well-being. Food Chem. Adv. 2025, 6, 100926. [Google Scholar] [CrossRef]
- Chen, C.; Tang, T.; Shi, Q.; Zhou, Z.; Fan, J. The potential and challenge of microalgae as promising future food sources. Trends Food Sci. Technol. 2022, 126, 99–112. [Google Scholar] [CrossRef]
- Siddhnath; Surasani, V.K.R.; Singh, A.; Singh, S.M.; Hauzoukim; Murthy, L.N.; Baraiya, K.G. Bioactive compounds from micro-algae and its application in foods: A review. Discov. Food 2024, 4, 27. [Google Scholar] [CrossRef]
- Phung Hai, T.A.; Neelakantan, N.; Tessman, M.; Sherman, S.D.; Griffin, G.; Pomeroy, R.; Mayfield, S.P.; Burkart, M.D. Flexible polyurethanes, renewable fuels, and flavorings from a microalgae oil waste stream. Green Chem. 2020, 22, 3088–3094. [Google Scholar] [CrossRef]
- Kim, J.; Kim, Y.-M.; Lebaka, V.R.; Wee, Y.-J. Lactic Acid for Green Chemical Industry: Recent Advances in and Future Prospects for Production Technology, Recovery, and Applications. Fermentation 2022, 8, 609. [Google Scholar] [CrossRef]
- Dutta, S.; Kataki, S.; Banerjee, I.; Pohrmen, C.B.; Jaiswal, K.K.; Jaiswal, A.K. Microalgal biorefineries in sustainable biofuel production and other high-value products. New Biotechnol. 2025, 87, 39–59. [Google Scholar] [CrossRef]
- Sharma, A.K.; Jaryal, S.; Sharma, S.; Dhyani, A.; Tewari, B.S.; Mahato, N. Biofuels from Microalgae: A Review on Microalgae Cultivation, Biodiesel Production Techniques and Storage Stability. Processes 2025, 13, 488. [Google Scholar] [CrossRef]
- Rashad, M.A.; Jamil, F.; Hussain, M.; Inayat, A.; Akhter, P.; Hamayun, M.H.; Ahsan, A.; Park, Y.-K. Zero-carbon solution: Microalgae as a low-cost feedstock for fuel production and carbon sequestration. Crit. Rev. Environ. Sci. Technol. 2025, 55, 1249–1272. [Google Scholar] [CrossRef]
- Tiwari, T.; Kaur, G.A.; Singh, P.K.; Balayan, S.; Mishra, A.; Tiwari, A. Emerging bio-capture strategies for greenhouse gas reduction: Navigating challenges towards carbon neutrality. Sci. Total Environ. 2024, 929, 172433. [Google Scholar] [CrossRef]
- Cruz, T.J.T.; Calixto, G.Q.; Câmara, F.R.d.A.; Teixeira, D.I.A.; Braga, R.M.; Pergher, S.B.C. Cultivation of Chlorella sp. in a Closed System Using Mining Wastewater and Simulated Flue Gas: Biomass Production and CO2 Fixation Potential. Sustain. Chem. 2025, 6, 11. [Google Scholar] [CrossRef]
- Chisti, Y. Biodiesel from microalgae. Biotechnol. Adv. 2007, 25, 294–306. [Google Scholar] [CrossRef]
- Cui, H.; Yang, Z.; Lu, Z.; Wang, Q.; Liu, J.; Song, L. Combination of utilization of CO2 from flue gas of biomass power plant and medium recycling to enhance cost-effective Spirulina production. J. Appl. Phycol. 2019, 31, 2175–2185. [Google Scholar] [CrossRef]
- Li, G.; Xiao, W.; Yang, T.; Lyu, T. Optimization and Process Effect for Microalgae Carbon Dioxide Fixation Technology Applications Based on Carbon Capture: A Comprehensive Review. J. Carbon Res. 2023, 9, 35. [Google Scholar] [CrossRef]
- Zhou, J.-L.; Yang, L.; Huang, K.-X.; Chen, D.-Z.; Gao, F. Mechanisms and application of microalgae on removing emerging contaminants from wastewater: A review. Bioresour. Technol. 2022, 364, 128049. [Google Scholar] [CrossRef]
- Ethiraj, S.; Samuel, M.S.; Indumathi, S.M. A comprehensive review of the challenges and opportunities in microalgae-based wastewater treatment for eliminating organic, inorganic, and emerging pollutants. Biocatal. Agric. Biotechnol. 2024, 60, 103316. [Google Scholar] [CrossRef]
- Yang, S.; Yang, D.; Shi, W.; Deng, C.; Chen, C.; Feng, S. Global evaluation of carbon neutrality and peak carbon dioxide emissions: Current challenges and future outlook. Environ. Sci. Pollut. Res. 2022, 30, 81725–81744. [Google Scholar] [CrossRef]
- Ma, Z.; Cheah, W.Y.; Ng, I.-S.; Chang, J.-S.; Zhao, M.; Show, P.L. Microalgae-based biotechnological sequestration of carbon dioxide for net zero emissions. Trends Biotechnol. 2022, 40, 1439–1453. [Google Scholar] [CrossRef]
- Mat Aron, N.S.; Khoo, K.S.; Chew, K.W.; Show, P.L.; Chen, W.; Nguyen, T.H.P. Sustainability of the four generations of biofuels—A review. Int. J. Energy Res. 2020, 44, 9266–9282. [Google Scholar] [CrossRef]
- Chew, K.W.; Yap, J.Y.; Show, P.L.; Suan, N.H.; Juan, J.C.; Ling, T.C.; Lee, D.-J.; Chang, J.-S. Microalgae biorefinery: High value products perspectives. Bioresour. Technol. 2017, 229, 53–62. [Google Scholar] [CrossRef] [PubMed]
- Scapini, T.; Woiciechowski, A.L.; Manzoki, M.C.; Molina-Aulestia, D.T.; Martinez-Burgos, W.J.; Fanka, L.S.; Duda, L.J.; da Silva Vale, A.; de Carvalho, J.C.; Soccol, C.R. Microalgae-mediated biofixation as an innovative technology for flue gases towards carbon neutrality: A comprehensive review. J. Environ. Manag. 2024, 363, 121329. [Google Scholar] [CrossRef]
- Yang, M.; Chen, L.; Msigwa, G.; Tang, K.H.D.; Yap, P.-S. Implications of COVID-19 on global environmental pollution and carbon emissions with strategies for sustainability in the COVID-19 era. Sci. Total Environ. 2022, 809, 151657. [Google Scholar] [CrossRef] [PubMed]
- Guiry, M.D. How many species of algae are there? A reprise. Four kingdoms, 14 phyla, 63 classes and still growing. J. Phycol. 2024, 60, 214–228. [Google Scholar] [CrossRef] [PubMed]
- Sinetova, M.A.; Sidorov, R.A.; Starikov, A.Y.; Voronkov, A.S.; Medvedeva, A.S.; Krivova, Z.V.; Pakholkova, M.S.; Bachin, D.V.; Bedbenov, V.S.; Gabrielyan, D.A.; et al. Assessment of the Biotechnological Potential of Cyanobacterial and Microalgal Strains from IPPAS Culture Collection. Appl. Biochem. Microbiol. 2020, 56, 794–808. [Google Scholar] [CrossRef]
- Levine, I.A. Algae. In Microalgae in Health and Disease Prevention; Elsevier: Amsterdam, The Netherlands, 2018; pp. 1–10. [Google Scholar]
- Badary, A.; Hidasi, N.; Ferrari, S.; Mayfield, S.P. Isolation and characterization of microalgae strains able to grow on complex biomass hydrolysate for industrial application. Algal Res. 2024, 78, 103381. [Google Scholar] [CrossRef]
- Labara Tirado, J.; Herdean, A.; Ralph, P.J. The need for smart microalgal bioprospecting. Nat. Prod. Bioprospect. 2025, 15, 7. [Google Scholar] [CrossRef]
- Lobus, N.V.; Glushchenko, A.M.; Osadchiev, A.A.; Maltsev, Y.I.; Kapustin, D.A.; Konovalova, O.P.; Kulikovskiy, M.S.; Krylov, I.N.; Drozdova, A.N. Production of Fluorescent Dissolved Organic Matter by Microalgae Strains from the Ob and Yenisei Gulfs (Siberia). Plants 2022, 11, 3361. [Google Scholar] [CrossRef]
- Yuorieva, N.; Sinetova, M.; Messineva, E.; Kulichenko, I.; Fomenkov, A.; Vysotskaya, O.; Osipova, E.; Baikalova, A.; Prudnikova, O.; Titova, M.; et al. Plants, Cells, Algae, and Cyanobacteria In Vitro and Cryobank Collections at the Institute of Plant Physiology, Russian Academy of Sciences—A Platform for Research and Production Center. Biology 2023, 12, 838. [Google Scholar] [CrossRef]
- Gabrielyan, D.A.; Sinetova, M.A.; Gabrielyan, A.K.; Bobrovnikova, L.A.; Bedbenov, V.S.; Starikov, A.Y.; Zorina, A.A.; Gabel, B.V.; Los, D.A. Laboratory System for Intensive Cultivation of Microalgae and Cyanobacteria. Russ. J. Plant Physiol. 2023, 70, 20. [Google Scholar] [CrossRef]
- Wang, Y.; Stessman, D.J.; Spalding, M.H. The CO2 concentrating mechanism and photosynthetic carbon assimilation in limiting CO2: How Chlamydomonas works against the gradient. Plant J. 2015, 82, 429–448. [Google Scholar] [CrossRef] [PubMed]
- Gabrielyan, D.A.; Gabel, B.V.; Sinetova, M.A.; Gabrielian, A.K.; Markelova, A.G.; Shcherbakova, N.V.; Los, D.A. Optimization of CO2 Supply for the Intensive Cultivation of Chlorella sorokiniana IPPAS C-1 in the Laboratory and Pilot-Scale Flat-Panel Photobioreactors. Life 2022, 12, 1469. [Google Scholar] [CrossRef] [PubMed]
- Yaashikaa, P.R.; Senthil Kumar, P.; Varjani, S.J.; Saravanan, A. A review on photochemical, biochemical and electrochemical transformation of CO2 into value-added products. J. CO2 Util. 2019, 33, 131–147. [Google Scholar] [CrossRef]
- Aghaalipour, E.; Akbulut, A.; Güllü, G. Carbon dioxide capture with microalgae species in continuous gas-supplied closed cultivation systems. Biochem. Eng. J. 2020, 163, 107741. [Google Scholar] [CrossRef]
- Tréguer, P.J.; Sutton, J.N.; Brzezinski, M.; Charette, M.A.; Devries, T.; Dutkiewicz, S.; Ehlert, C.; Hawkings, J.; Leynaert, A.; Liu, S.M.; et al. Reviews and syntheses: The biogeochemical cycle of silicon in the modern ocean. Biogeosciences 2021, 18, 1269–1289. [Google Scholar] [CrossRef]
- Kupriyanova, E.V.; Pronina, N.A.; Los, D.A. Adapting from Low to High: An Update to CO2-Concentrating Mechanisms of Cyanobacteria and Microalgae. Plants 2023, 12, 1569. [Google Scholar] [CrossRef]
- Iñiguez, C.; Capó-Bauçà, S.; Niinemets, Ü.; Stoll, H.; Aguiló-Nicolau, P.; Galmés, J. Evolutionary trends in RuBisCO kinetics and their co-evolution with CO2 concentrating mechanisms. Plant J. 2020, 101, 897–918. [Google Scholar] [CrossRef]
- Catherall, E.; Musial, S.; Atkinson, N.; Walker, C.E.; Mackinder, L.C.M.; McCormick, A.J. From algae to plants: Understanding pyrenoid-based CO2-concentrating mechanisms. Trends Biochem. Sci. 2025, 50, 33–45. [Google Scholar] [CrossRef] [PubMed]
- Prasad, R.; Gupta, S.K.; Shabnam, N.; Oliveira, C.Y.B.; Nema, A.K.; Ansari, F.A.; Bux, F. Role of Microalgae in Global CO2 Sequestration: Physiological Mechanism, Recent Development, Challenges, and Future Prospective. Sustainability 2021, 13, 13061. [Google Scholar] [CrossRef]
- Ubando, A.T.; Anderson, S.; Ng, E.; Chen, W.-H.; Culaba, A.B.; Kwon, E.E. Life cycle assessment of microalgal biorefinery: A state-of-the-art review. Bioresour. Technol. 2022, 360, 127615. [Google Scholar] [CrossRef]
- Xu, P.; Li, J.; Qian, J.; Wang, B.; Liu, J.; Xu, R.; Chen, P.; Zhou, W. Recent advances in CO2 fixation by microalgae and its potential contribution to carbon neutrality. Chemosphere 2023, 319, 137987. [Google Scholar] [CrossRef]
- Leflay, H.; Pandhal, J.; Brown, S. Direct measurements of CO2 capture are essential to assess the technical and economic potential of algal-CCUS. J. CO2 Util. 2021, 52, 101657. [Google Scholar] [CrossRef]
- de Godos, I.; Mendoza, J.L.; Acién, F.G.; Molina, E.; Banks, C.J.; Heaven, S.; Rogalla, F. Evaluation of carbon dioxide mass transfer in raceway reactors for microalgae culture using flue gases. Bioresour. Technol. 2014, 153, 307–314. [Google Scholar] [CrossRef]
- Wang, B.; Xu, Y.-F.; Sun, Z.-L. Mass transfer characteristics and effect of flue gas used in microalgae culture. Appl. Microbiol. Biotechnol. 2022, 106, 7013–7025. [Google Scholar] [CrossRef]
- Hajinajaf, N.; Fallahi, A.; Eustance, E.; Sarnaik, A.; Askari, A.; Najafi, M.; Davis, R.W.; Rittmann, B.E.; Varman, A.M. Managing carbon dioxide mass transfer in photobioreactors for enhancing microalgal biomass productivity. Algal Res. 2024, 80, 103506. [Google Scholar] [CrossRef]
- Gabrielyan, D.A.; Sinetova, M.A.; Savinykh, G.A.; Zadneprovskaya, E.V.; Goncharova, M.A.; Markelova, A.G.; Gabrielian, A.K.; Gabel, B.V.; Lobus, N.V. Productivity and Carbon Utilization of Three Green Microalgae Strains with High Biotechnological Potential Cultivated in Flat-Panel Photobioreactors. Phycology 2025, 5, 43. [Google Scholar] [CrossRef]
- Gabrielyan, D.A.; Sinetova, M.A.; Gabel, B.V.; Gabrielian, A.K.; Markelova, A.G.; Rodionova, M.V.; Bedbenov, V.S.; Shcherbakova, N.V.; Los, D.A. Cultivation of Chlorella sorokiniana IPPAS C-1 in Flat-Panel Photobioreactors: From a Laboratory to a Pilot Scale. Life 2022, 12, 1309. [Google Scholar] [CrossRef]
- Jones, C.M.; Innes, S.; Holland, S.; Burch, T.; Parrish, S.; Nielsen, D.R. In Situ, High-Resolution Quantification of CO2 Uptake Rates via Automated Off-Gas Analysis Illuminates Carbon Uptake Dynamics in Cyanobacterial Cultures. Biotechnol. Bioeng. 2025, 122, 594–605. [Google Scholar] [CrossRef]
- Banerjee, S.; Dasgupta, S.; Atta, A.; Das, D.; Dayal, D.; Malik, S.; Kumar, H.; Kishore, S.; Rustagi, S.; Almutary, A.G. Flow Rate Optimization in a Flat-Panel Photobioreactor for the Cultivation of Microalgae for Mitigating Waste Gas. Water 2023, 15, 2824. [Google Scholar] [CrossRef]
- Chunzhuk, E.A.; Grigorenko, A.V.; Kiseleva, S.V.; Chernova, N.I.; Ryndin, K.G.; Kumar, V.; Vlaskin, M.S. The Influence of Elevated CO2 Concentrations on the Growth of Various Microalgae Strains. Plants 2023, 12, 2470. [Google Scholar] [CrossRef] [PubMed]
- Aljabory, M.N.; Alhaboubi, N.A. Green Solutions for CO2 Mitigation: Exploring Microalgae-Based Carbon Capture and Utilization Technologies. J. Biotechnol. Res. Cent. 2025, 19, 52–64. [Google Scholar] [CrossRef]
- Morais, M.G.; Rosa, G.M.; Moraes, L.; Lopes, L.C.; Costa, J.A.V. Membrane Technologies for Bioengineering Microalgae: Sustainable Applications in Biomass Production, Carbon Capture, and Industrial Wastewater Valorization. Membranes 2025, 15, 205. [Google Scholar] [CrossRef]
- Yadav, D.K.; Yadav, M.; Rani, P.; Yadav, A.; Bhardwaj, N.; Bishnoi, N.R.; Singh, A. Screening of best growth media for Chlorella vulgaris cultivation and biodiesel production. Biofuels 2024, 15, 271–277. [Google Scholar] [CrossRef]



| Parameters | Strain | Day of Cultivation | |||
|---|---|---|---|---|---|
| 0 | 3 | 6 | 9 | ||
| Low CO2 | |||||
| OD750 | D. armatus | 0.12 ± 0.01 | 0.44 ± 0.01 | 1.04 ± 0.03 | 3.13 ± 0.05 ** |
| T. minus | 0.13 ± 0.01 | 0.45 ± 0.02 | 0.78 ± 0.04 | 2.57 ± 0.06 ** | |
| pH | D. armatus | 6.74 ± 0.08 | 8.22 ± 0.05 * | 8.97 ± 0.07 * | 10.75 ± 0.08 ** |
| T. minus | 6.92 ± 0.02 | 7.62 ± 0.07 * | 8.01 ± 0.07 * | 9.08 ± 0.09 ** | |
| High CO2 | |||||
| OD750 | D. armatus | 0.12 ± 0.01 | 1.05 ± 0.02 | 2.69 ± 0.04 ** | 5.73 ± 0.05 ** |
| T. minus | 0.13 ± 0.01 | 1.43 ± 0.03 | 5.04 ± 0.03 ** | 8.15 ± 0.04 ** | |
| pH | D. armatus | 6.74 ± 0.08 | 7.54 ± 0.06 | 7.92 ± 0.08 | 7.99 ± 0.09 |
| T. minus | 6.92 ± 0.02 | 7.36 ± 0.08 | 7.86 ± 0.09 | 7.98 ± 0.10 | |
| Strain | Cultivation Period (days) | |||
|---|---|---|---|---|
| 0–3 | 3–6 | 6–9 | 0–9 (Mean) | |
| Low CO2 | ||||
| D. armatus | 0.17 ± 0.01 | 0.31 ± 0.03 | 1.09 ± 0.05 | 0.57 ± 0.04 |
| 0.17 ± 0.01 | 0.37 ± 0.04 | 1.17 ± 0.04 | 0.57 ± 0.05 | |
| T. minus | 0.11 ± 0.02 | 0.19 ± 0.03 | 0.60 ± 0.08 | 0.34 ± 0.03 |
| 0.16 ± 0.04 | 0.25 ± 0.08 | 0.71 ± 0.11 | 0.36 ± 0.04 | |
| High CO2 | ||||
| D. armatus | 0.49 ± 0.05 | 0.88 ± 0.08 | 1.30 ± 0.05 | 0.93 ± 0.06 |
| 0.44 ± 0.04 | 0.95 ± 0.07 | 1.35 ± 0.04 | 0.91 ± 0.04 | |
| T. minus | 0.53 ± 0.03 | 1.43 ± 0.07 | 2.41 ± 0.07 | 1.50 ± 0.09 |
| 0.61 ± 0.06 | 1.37 ± 0.09 | 2.28 ± 0.08 | 1.42 ± 0.08 | |
Disclaimer/Publisher’s Note: The statements, opinions and data contained in all publications are solely those of the individual author(s) and contributor(s) and not of MDPI and/or the editor(s). MDPI and/or the editor(s) disclaim responsibility for any injury to people or property resulting from any ideas, methods, instructions or products referred to in the content. |
© 2025 by the authors. Licensee MDPI, Basel, Switzerland. This article is an open access article distributed under the terms and conditions of the Creative Commons Attribution (CC BY) license (https://creativecommons.org/licenses/by/4.0/).
Share and Cite
Gabrielyan, D.A.; Sinetova, M.A.; Savinykh, G.A.; Zadneprovskaya, E.V.; Goncharova, M.A.; Bulychev, B.Y.; Flerova, E.A.; Lobus, N.V. Carbon Dioxide Bio-Capture and Organic Carbon Production in Two Microalgae Strains Grown Under Different CO2 Conditions. Environments 2025, 12, 319. https://doi.org/10.3390/environments12090319
Gabrielyan DA, Sinetova MA, Savinykh GA, Zadneprovskaya EV, Goncharova MA, Bulychev BY, Flerova EA, Lobus NV. Carbon Dioxide Bio-Capture and Organic Carbon Production in Two Microalgae Strains Grown Under Different CO2 Conditions. Environments. 2025; 12(9):319. https://doi.org/10.3390/environments12090319
Chicago/Turabian StyleGabrielyan, David A., Maria A. Sinetova, Grigoriy A. Savinykh, Elena V. Zadneprovskaya, Maria A. Goncharova, Bogdan Yu. Bulychev, Ekaterina A. Flerova, and Nikolay V. Lobus. 2025. "Carbon Dioxide Bio-Capture and Organic Carbon Production in Two Microalgae Strains Grown Under Different CO2 Conditions" Environments 12, no. 9: 319. https://doi.org/10.3390/environments12090319
APA StyleGabrielyan, D. A., Sinetova, M. A., Savinykh, G. A., Zadneprovskaya, E. V., Goncharova, M. A., Bulychev, B. Y., Flerova, E. A., & Lobus, N. V. (2025). Carbon Dioxide Bio-Capture and Organic Carbon Production in Two Microalgae Strains Grown Under Different CO2 Conditions. Environments, 12(9), 319. https://doi.org/10.3390/environments12090319

