Influence of Dietary Microalgae on Acartia tonsa Copepod Microbiome
Abstract
1. Introduction
2. Materials and Methods
2.1. Microalgal Culture
2.2. Copepod Culture
2.3. DNA Extraction and 16S rRNA Sequencing
2.4. Bioinformatics Analyses
3. Results
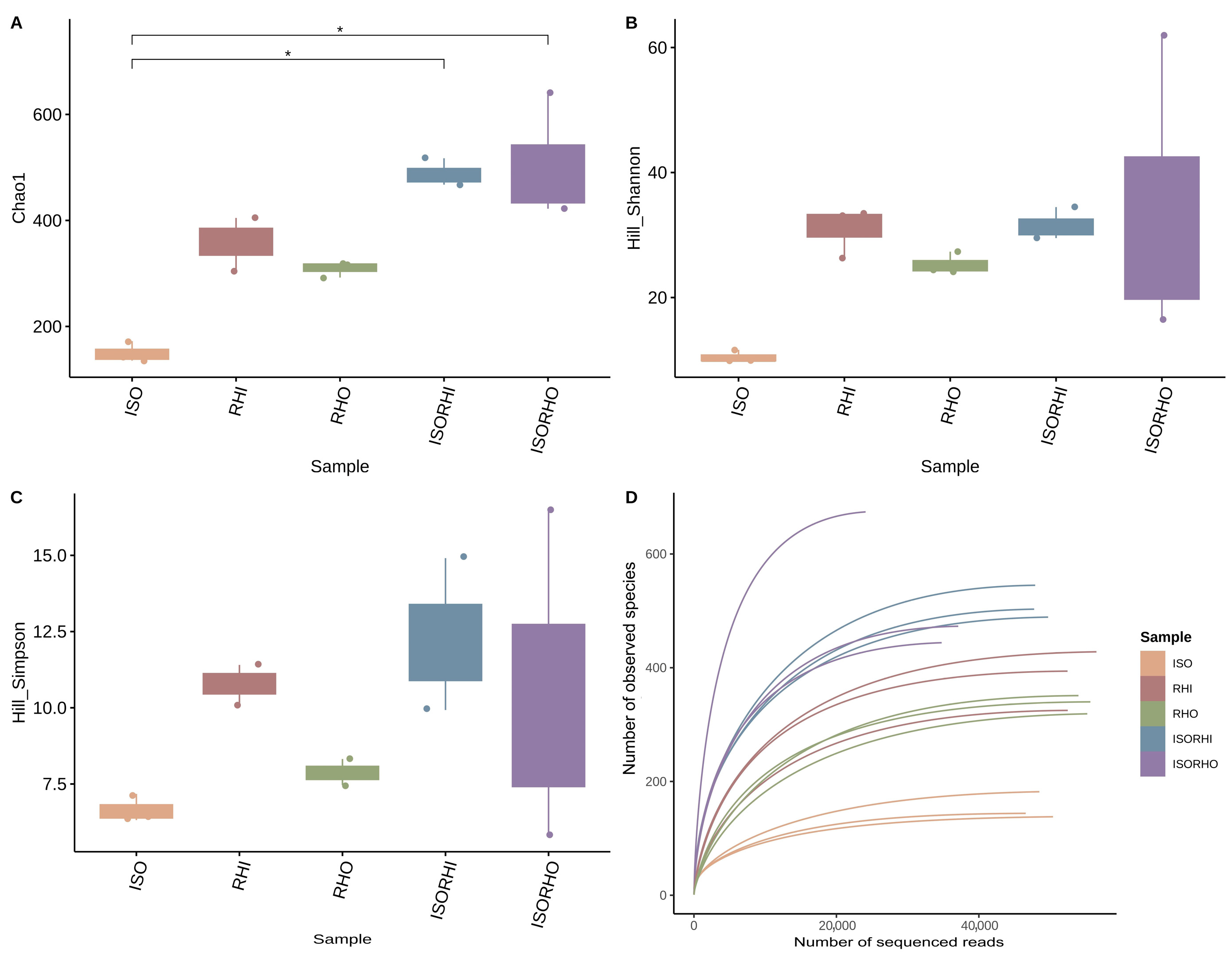
3.1. Bacterial Community Diversity
3.2. Microbiome Taxonomic Composition
4. Discussion
5. Conclusions
Supplementary Materials
Author Contributions
Funding
Data Availability Statement
Acknowledgments
Conflicts of Interest
Abbreviations
| ISO | Isochrysis galbana |
| RHI | Rhinomonas reticulata |
| RHO | Rhodomonas baltica |
| PCoA | Principal Component Analysis |
| ANCOM-BC | An analysis of compositions of microbiomes with bias correction |
| FSW | Filtered seawater |
| DNA | Deoxyribonucleic Acid |
| ASVs | Amplicon Sequence Variants |
| log10FC | Log10 fold change |
References
- Humes, A.G. How many copepods? In Ecology and Morphology of Copepods; Ferrari, F.D., Bradley, B.P., Eds.; Springer: Dordrecht, The Netherlands, 1994; pp. 1–7. [Google Scholar]
- Mauchline, J. The Biology of Calanoid Copepods; Academic Press: Cambridge, MA, USA, 1998. [Google Scholar]
- Yang, K.; Jing, S.; Liu, Y.; Zhou, H.; Liu, Y.; Yan, M.; Yi, X.; Liu, R. Acute toxicity of tire wear particles, leachates and toxicity identification evaluation of leachates to the marine copepod, Tigriopus japonicus. Chemosphere 2022, 297, 134099. [Google Scholar] [CrossRef] [PubMed]
- Van Ginderdeuren, K. Zooplankton and Its Role in North Sea Food Webs: Community Structure and Selective Feeding by Pelagic Fish in Belgian Marine Waters. Ph.D. Thesis, Ghent University, Ghent, Belgium, 2013; pp. 1–226. [Google Scholar]
- Turner, J.T. The importance of small planktonic copepods and their roles in pelagic marine food webs. Zool. Stud. 2004, 43, 255–266. [Google Scholar]
- Verity, P.; Smetacek, V. Organism life cycles, predation, and the structure of marine pelagic ecosystems. Mar. Ecol. Prog. Ser. 1996, 130, 277–293. [Google Scholar] [CrossRef]
- Drouin, G.; Rioux, V.; Legrand, P. The n-3 docosapentaenoic acid (DPA): A new player in the n-3 long chain polyunsaturated fatty acid family. Biochimie 2019, 159, 36–48. [Google Scholar] [CrossRef] [PubMed]
- von Schacky, C. Importance of EPA and DHA blood levels in brain structure and function. Nutrients 2021, 13, 1074. [Google Scholar] [CrossRef]
- Dana, J.D. Conspectus crustaceorum, quae in orbis terrarum circumnavigatione, Carolo Wilkes, e classe Reipublicae foederatae duce, lexit et descripsit Jacobus D. Dana. Pars II. Proc. Am. Acad. Arts Sci. 1849–1852, 2, 9–61. [Google Scholar]
- Calliari, D.; Andersen Borg, M.C.; Thor, P.; Gorokhova, E.; Tiselius, P. Instantaneous salinity reductions affect the survival and feeding rates of the co-occurring copepods Acartia tonsa Dana and A. clausi Giesbrecht differently. J. Exp. Mar. Biol. Ecol. 2008, 362, 18–25. [Google Scholar] [CrossRef]
- Miller, D.D.; Marcus, N.H. The effects of salinity and temperature on the density and sinking velocity of eggs of the calanoid copepod Acartia tonsa Dana. J. Exp. Mar. Biol. Ecol. 1994, 179, 235–252. [Google Scholar] [CrossRef]
- Castonguay, M.; Plourde, S.; Robert, D.; Runge, J.A.; Fortier, L. Copepod production drives recruitment in a marine fish. Can. J. Fish. Aquat. Sci. 2008, 65, 1528–1531. [Google Scholar] [CrossRef]
- Marcus, N.H.; Wilcox, J.A. A Guide To The Meso-Scale Production of The Copepod Acartia tonsa. Florida State University: Tallahassee, FL, USA, 2007; pp. 1–29. Available online: https://repository.library.noaa.gov/pdfjs/web/viewer.html?file=/view/noaa/35372/noaa_35372_DS1.pdf (accessed on 16 June 2025).
- Zhou, C.; Vitiello, V.; Casals, E.; Puntes, V.F.; Iamunno, F.; Pellegrini, D.; Changwen, W.; Benvenuto, G.; Buttino, I. Toxicity of nickel in the marine calanoid copepod Acartia tonsa: Nickel chloride versus nanoparticles. Aquat. Toxicol. 2016, 170, 1–12. [Google Scholar] [CrossRef] [PubMed]
- Vu, M.T.T.; Hansen, B.W.; Kiørboe, T. The constraints of high-density production of the calanoid copepod Acartia tonsa Dana. J. Plankton Res. 2017, 39, 1028–1039. [Google Scholar] [CrossRef]
- Vitiello, V.; Oliva, M.; Renzi, M.; Cuccaro, A.; Fumagalli, G.; Anselmi, S.; Bentivoglio, T.; Matarazzi, I.; Sanna, V.; Pellegrini, D.; et al. Ecotoxicological assays with the calanoid copepod Acartia tonsa: A comparison between Mediterranean and Baltic strains. Water 2024, 16, 1171. [Google Scholar] [CrossRef]
- Ali, S.; Waqas, W.; Bakky, M.A.H.; Zada, S.; Saif, U.M.; Hasan, M.T.; Shafiq, M.; Dildar, T.; Hui, W. Implications of microalgal–bacterial interactions in modern aquaculture practices: A review of the current knowledge. Rev. Aquac. 2024, 17, e12980. [Google Scholar] [CrossRef]
- Buttino, I.; Vitiello, V.; Macchia, S.; Scuderi, A.; Pellegrini, D. Larval development ratio test with the calanoid copepod Acartia tonsa as a new bioassay to assess marine sediment quality. Ecotoxicol. Environ. Saf. 2018, 149, 1–9. [Google Scholar] [CrossRef] [PubMed]
- Syberg, K.; Nielsen, A.; Khan, F.R.; Banta, G.T.; Palmqvist, A.; Jepsen, P.M. Microplastic potentiates triclosan toxicity to the marine copepod Acartia tonsa (Dana). J. Toxicol. Environ. Health A 2017, 80, 1369–1371. [Google Scholar] [CrossRef]
- Jepsen, P.M.; van Someren Gréve, H.; Jørgensen, K.N.; Kjær, K.G.W.; Hansen, B.W. Evaluation of high-density tank cultivation of the live-feed cyclopoid copepod Apocyclops royi (Lindberg 1940). Aquaculture 2021, 533, 736125. [Google Scholar] [CrossRef]
- Zhang, J.; Ianora, A.; Wu, C.; Pellegrini, D.; Esposito, F.; Buttino, I. How to increase productivity of the copepod Acartia tonsa (Dana): Effects of population density and food concentration. Aquac. Res. 2015, 46, 2982–2990. [Google Scholar] [CrossRef]
- Rong, R.L.; Gagnat, M.R.; Attramadal, Y.; Vadstein, O. Microbial water quality of the copepod Acartia tonsa in cultures for use as live feed. Aquaculture 2022, 560, 738439. [Google Scholar] [CrossRef]
- Ramakrishnan, B.; Maddela, N.R.; Venkateswarlu, K.; Megharaj, M. Potential of microalgae and cyanobacteria to improve soil health and agricultural productivity: A critical view. Environ. Sci. Adv. 2023, 2, 586–611. [Google Scholar] [CrossRef]
- Natrah, F.M.I.; Bossier, P.; Sorgeloos, P.; Yusoff, F.M.; Defoirdt, T. Significance of microalgal-bacterial interactions for aquaculture. Rev. Aquac. 2014, 6, 48–61. [Google Scholar] [CrossRef]
- Feng, J.T.; Di Gregorio, S.; Niccolini, L.; Vitiello, V.; Ye, Y.; Guo, B.; Yan, X.; Buttino, I. Marine copepods as a microbiome hotspot: Revealing their interactions and biotechnological applications. Water 2023, 15, 4203. [Google Scholar] [CrossRef]
- Wirth, R.; Pap, B.; Böjti, T.; Shetty, P.; Lakatos, G.; Bagi, Z.; Kovács, K.L.; Maróti, G. Chlorella vulgaris and its phycosphere in wastewater: Microalgae–bacteria interactions during nutrient removal. Front. Bioeng. Biotechnol. 2020, 8, 557572. [Google Scholar] [CrossRef]
- Cirri, E.; Pohnert, G. Algae–bacteria interactions that balance the planktonic microbiome. New Phytol. 2019, 223, 100–106. [Google Scholar] [CrossRef]
- Holmes, B.; Paddock, M.B.; VanderGheynst, J.S.; Higgins, B.T. Algal photosynthetic aeration increases the capacity of bacteria to degrade organics in wastewater. Biotechnol. Bioeng. 2020, 117, 62–72. [Google Scholar] [CrossRef]
- Wierzchos, J.; DiRuggiero, J.; Vítek, P.; Artieda, O.; Souza-Egipsy, V.; Škaloud, P.; Tisza, M.; Davila, A.F.; Vílchez, C.; Garbayo, I.; et al. Adaptation strategies of endolithic chlorophototrophs to survive the hyperarid and extreme solar radiation environment of the Atacama Desert. Front. Microbiol. 2015, 6, 934. [Google Scholar] [CrossRef]
- Zhang, J.; Wu, C.; Pellegrini, D.; Romano, G.; Esposito, F.; Ianora, A.; Buttino, I. Effects of different monoalgal diets on egg production, hatching success and apoptosis induction in a Mediterranean population of the calanoid copepod Acartia tonsa (Dana). Aquaculture 2013, 400–401, 65–72. [Google Scholar] [CrossRef]
- Helm, M.M.; Bourne, N.; Lovatelli, A. The Hatchery Culture of Bivalves: A Practical Manual; FAO Fisheries and Aquaculture Department: Rome, Italy, 2004; p. 201. [Google Scholar]
- Sánchez, S.; Martínez, M.E.; Espinola, F. Biomass production and biochemical variability of the marine microalga Isochrysis galbana in relation to culture medium. Biochem. Eng. J. 2000, 6, 13–18. [Google Scholar] [CrossRef] [PubMed]
- Du, S.H.; Cui, J.L.; Meng, F.P.; Li, H.; Cui, H.; Xia, Y. Bioremediation of propylbenzenes by a novel marine microalga Rhinomonas reticulata S6A isolated from Daya Bay: Performance, acute toxicity, growth kinetics and biodegradation. Front. Mar. Sci. 2023, 10, 1171944. [Google Scholar] [CrossRef]
- Hill, D.R.; Rowan, K.S. The biliproteins of the Cryptophyceae. Phycologia 1989, 28, 455–463. [Google Scholar] [CrossRef]
- Parke, M. Studies on marine flagellates. J. Mar. Biol. Assoc. 1949, 28, 255–288. [Google Scholar] [CrossRef]
- Novarino, G. Observations on Rhinomonas reticulata comb. nov. and R. reticulata var. eleniana var. nov. (Cryptophyceae), with comments on the genera Pyrenomonas and Rhodomonas. Nord. J. Bot. 1991, 11, 243–252. [Google Scholar]
- Karsten, G. Rhodomonas baltica N. g. et sp. Wissenschaftliche Meeresuntersuchungen: Abteilung Kiel, 1898; pp. 15–16. [Google Scholar]
- Guiry, M.D.; Guiry, G.M.; AlgaeBase. World-Wide Electronic Publication, National University of Ireland, Galway. 2024. Available online: http://www.algaebase.org/ (accessed on 6 July 2025).
- Guillard, R.R. Culture of phytoplankton for feeding marine invertebrates. In Culture of Marine Invertebrate Animals; Smith, W.L., Chanley, M.H., Eds.; Springer: Boston, MA, USA, 1975; pp. 29–60. [Google Scholar]
- Moisander, P.H.; Sexton, A.D.; Daley, M.C. Stable associations masked by temporal variability in the marine copepod microbiome. PLoS ONE 2015, 10, e0138967. [Google Scholar] [CrossRef]
- Bernabei, G.; De Simone, G.; Becarelli, S.; Di Mambro, R.; Gentini, A.; Di Gregorio, S. Co-metabolic growth and microbial diversity: Keys for the depletion of the α, δ, β and γ-HCH isomers. J. Hazard. Mater. 2024, 480, 135963. [Google Scholar] [CrossRef]
- Martin, M. Cutadapt removes adapter sequences from high-throughput sequencing reads. EMBnet J. 2011, 17, 10–12. [Google Scholar] [CrossRef]
- Nearing, J.T.; Douglas, G.M.; Comeau, A.M.; Langille, M.G.I. Denoising the denoisers: An independent evaluation of microbiome sequence error-correction approaches. PeerJ 2018, 6, e5364. [Google Scholar] [CrossRef]
- Prodan, A.; Tremaroli, V.; Brolin, H.; Zwinderman, A.H.; Nieuwdorp, M.; Levin, E. Comparing bioinformatic pipelines for microbial 16S rRNA amplicon sequencing. PLoS ONE 2020, 15, e0227434. [Google Scholar] [CrossRef] [PubMed]
- Bolyen, E.; Rideout, J.R.; Dillon, M.R.; Bokulich, N.A.; Abnet, C.C.; Al-Ghalith, G.A.; Alexander, H.; Alm, E.J.; Arumugam, M.; Asnicar, F.; et al. Reproducible, interactive, scalable and extensible microbiome data science using QIIME 2. Nat. Biotechnol. 2019, 37, 852–857. [Google Scholar] [CrossRef] [PubMed]
- Robeson, M.S.; O’Rourke, D.R.; Kaehler, B.D.; Ziemski, M.; Dillon, M.R.; Foster, J.T.; Bokulich, N.A.; Pertea, M. RESCRIPt: Reproducible sequence taxonomy reference database management. PLoS Comput. Biol. 2021, 17, e1009581. [Google Scholar] [CrossRef] [PubMed]
- Chao, A.; Gotelli, N.J.; Hsieh, T.C.; Sander, E.L.; Ma, K.H.; Colwell, R.K.; Ellison, A.M. Rarefaction and extrapolation with Hill numbers: A framework for sampling and estimation in species diversity studies. Ecol. Monogr. 2014, 84, 45–67. [Google Scholar] [CrossRef]
- Alberdi, A.; Gilbert, M.T.P. A guide to the application of Hill numbers to DNA-based diversity analyses. Mol. Ecol. Resour. 2019, 19, 804–817. [Google Scholar] [CrossRef]
- Gotelli, N.J.; Chao, A. Measuring and estimating species richness, species diversity, and biotic similarity from sampling data. In Encyclopedia of Biodiversity; Academic Press: San Diego, CA, USA, 2013; pp. 195–211. [Google Scholar]
- Noguchi, K.; Gel, Y.R.; Brunner, E.; Konietschke, F. nparLD: An R software package for the nonparametric analysis of longitudinal data in factorial experiments. J. Stat. Softw. 2012, 50, 1–23. [Google Scholar] [CrossRef]
- McMurdie, P.J.; Holmes, S. phyloseq: An R package for reproducible interactive analysis and graphics of microbiome census data. PLoS ONE 2013, 8, e61217. [Google Scholar] [CrossRef]
- Dixon, P. VEGAN, a package of R functions for community ecology. J. Veg. Sci. 2003, 14, 927–930. [Google Scholar] [CrossRef]
- Yan, J.; Herzog, J.W.; Tsang, K.; Brennan, C.A.; Bower, M.A.; Garrett, W.S.; Sartor, B.R.; Aliprantis, A.O.; Charles, J.F. Gut microbiota induce IGF-1 and promote bone formation and growth. Proc. Natl. Acad. Sci. USA 2016, 113, E7554–E7563. [Google Scholar] [CrossRef] [PubMed]
- Brugnano, C.; Guglielmo, L.; Zagami, G. Food type effects on reproduction of hyperbenthic calanoid species Pseudocyclops xiphophorus Wells, 1967, under laboratory conditions. Chem. Ecol. 2008, 24, 111–117. [Google Scholar] [CrossRef]
- Xu, Y.; Liang, J.; Qin, L.; Niu, T.; Liang, Z.; Li, Z.; Yu, K. The Dynamics of Symbiodiniaceae and Photosynthetic Bacteria under High-Temperature Conditions. Microb. Ecol. 2024, 87, 169. [Google Scholar] [CrossRef] [PubMed]
- Lu, Z.; Lin, W.; Li, Q.; Wu, Q.; Ren, Z.; Mu, C.; Ye, Y. Recirculating Aquaculture System as Microbial Community and Water Quality Management Strategy in the Larviculture of Scylla paramamosain. Water Res. 2024, 252, 121218. [Google Scholar] [CrossRef]
- Wan, K.; Yu, Y.; Hu, J.; Liu, X.; Deng, X.; Yu, J.; Xiao, C. Recovery of Anammox Process Performance after Substrate Inhibition: Reactor Performance, Sludge Morphology, and Microbial Community. Bioresour. Technol. 2022, 357, 127351. [Google Scholar] [CrossRef]
- Di Gregorio, S.; Niccolini, L.; Seggiani, M.; Strangis, G.; Barbani, N.; Vitiello, V.; Becarelli, S.; Petroni, G.; Yan, X.; Buttino, I. Marine copepod culture as a potential source of bioplastic-degrading microbiome: The case of poly(butylene succinate-co-adipate). Chemosphere 2024, 362, 142603. [Google Scholar] [CrossRef]
- Cnudde, C.; Moens, T.; Hoste, B.; Willems, A.; De Troch, M. Limited Feeding on Bacteria by Two Intertidal Benthic Copepod Species as Revealed by Trophic Biomarkers. Environ. Microbiol. Rep. 2013, 5, 301–309. [Google Scholar] [CrossRef][Green Version]
- Yan, B.C.; Rabbani, G.; Lee, N.L.Y.; Ooi, J.L.S.; Lee, J.N.; Huang, D.; Wainwright, B.J. The microbiome of the seagrass Halophila ovalis: Community structuring from plant parts to regional scales. Aquat. Microb. Ecol. 2021, 87, 139–150. [Google Scholar] [CrossRef]
- Díaz-Cárdenas, C.; Patel, B.K.C.; Baena, S. Tistlia consotensis gen. nov., sp. nov., an aerobic, chemoheterotrophic, free-living, nitrogen-fixing alphaproteobacterium, isolated from a Colombian saline spring. Int. J. Syst. Evol. Microbiol. 2010, 60, 1437–1443. [Google Scholar] [CrossRef]
- Gong, Y.; Ping, X.-Y.; Zeng, C.-H.; Wang, S.-X.; Zhou, Y.; Wang, M.-Y.; Mu, D.-S.; Du, Z.-J. Predation capacity of Bradymonabacteria, a recently discovered group in the order Bradymonadales, isolated from marine sediments. Arch. Microbiol. 2022, 204, 695. [Google Scholar] [CrossRef] [PubMed]
- Mu, D.-S.; Wang, S.; Liang, Q.-Y.; Du, Z.-Z.; Tian, R.; Ouyang, Y.; Wang, X.-P.; Zhou, A.; Gong, Y.; Chen, G.-J.; et al. Bradymonabacteria, a novel bacterial predator group with versatile survival strategies in saline environments. Microbiome 2020, 8, 126. [Google Scholar] [CrossRef]
- Smahajcsik, D.; Roager, L.; Strube, M.L.; Zhang, S.D.; Gram, L. Stronger together: Harnessing natural algal communities as potential probiotics for inhibition of aquaculture pathogens. Microbiol. Spectr. 2025, 13, e00421-25. [Google Scholar] [CrossRef] [PubMed]
- Roager, L.; Sonnenschein, E.C.; Gram, L. Sequence-Based Characterization of Microalgal Microbiomes: Impact of DNA Extraction Protocol on Yield and Community Composition. Microbiol. Spectr. 2023, 11, e0340822. [Google Scholar] [CrossRef]
- Ahern, O.M.; Whittaker, K.A.; Williams, T.C.; Hunt, D.E.; Rynearson, T.A. Host Genotype Structures the Microbiome of a Globally Dispersed Marine Phytoplankton. Proc. Natl. Acad. Sci. USA 2021, 118, e2105207118. [Google Scholar] [CrossRef]
- Park, B.S.; Choi, W.-J.; Guo, R.; Kim, H.; Ki, J.-S. Changes in Free-Living and Particle-Associated Bacterial Communities Depending on the Growth Phases of Marine Green Algae, Tetraselmis suecica. J. Mar. Sci. Eng. 2021, 9, 171. [Google Scholar] [CrossRef]
- Shoemaker, K.M.; McCliment, E.A.; Moisander, P.H. Copepod-associated gammaproteobacterial alkaline phosphatases in the North Atlantic Subtropical Gyre. Front. Microbiol. 2020, 11, 1033. [Google Scholar] [CrossRef]





| Bacterial Taxa | ISORHI | ISORHO |
|---|---|---|
| Vermiphilaceae | + | + |
| OM190 | + | + |
| KI89A_clade | + | + |
| Cyanobium_PCC-6307 | + | + |
| (NIatGL) Uncultured sp. 51 | + | + |
| (NIatGL) Uncultured sp. 22 | + | + |
| (NIatGL) Uncultured sp. 20 | + | + |
| (NIatGL) Uncultured sp. 2 | + | + |
| Cyclobacteriaceae | + | + |
| Bradymonadales | + | |
| Alteromonadaceae | + | |
| Tistlia sp. | + |
Disclaimer/Publisher’s Note: The statements, opinions and data contained in all publications are solely those of the individual author(s) and contributor(s) and not of MDPI and/or the editor(s). MDPI and/or the editor(s) disclaim responsibility for any injury to people or property resulting from any ideas, methods, instructions or products referred to in the content. |
© 2025 by the authors. Licensee MDPI, Basel, Switzerland. This article is an open access article distributed under the terms and conditions of the Creative Commons Attribution (CC BY) license (https://creativecommons.org/licenses/by/4.0/).
Share and Cite
Feng, J.; Mazzei, M.; Bernabei, G.; Vitiello, V.; Yan, X.; Buttino, I.; Di Gregorio, S. Influence of Dietary Microalgae on Acartia tonsa Copepod Microbiome. Environments 2025, 12, 325. https://doi.org/10.3390/environments12090325
Feng J, Mazzei M, Bernabei G, Vitiello V, Yan X, Buttino I, Di Gregorio S. Influence of Dietary Microalgae on Acartia tonsa Copepod Microbiome. Environments. 2025; 12(9):325. https://doi.org/10.3390/environments12090325
Chicago/Turabian StyleFeng, Jiantong, Maurizio Mazzei, Giacomo Bernabei, Valentina Vitiello, Xiaojun Yan, Isabella Buttino, and Simona Di Gregorio. 2025. "Influence of Dietary Microalgae on Acartia tonsa Copepod Microbiome" Environments 12, no. 9: 325. https://doi.org/10.3390/environments12090325
APA StyleFeng, J., Mazzei, M., Bernabei, G., Vitiello, V., Yan, X., Buttino, I., & Di Gregorio, S. (2025). Influence of Dietary Microalgae on Acartia tonsa Copepod Microbiome. Environments, 12(9), 325. https://doi.org/10.3390/environments12090325

