Biodiversity Status of Pure Oak (Quercus spp.) Stands in Northeastern Greece: Implications for Adaptive Silviculture
Abstract
1. Introduction
2. Materials and Methods
2.1. Study Area
2.2. Biodiversity Index Calculation
- –
- Thermes–Satres Public Forest Complex Management Plan (2020–2029) [27];
- –
- Echinos Public Forest Complex Management Plan (2019–2028) [28];
- –
- Kotyli Public Forest Complex Management Plan (2018–2027) [29];
- –
- Myki Public Forest Complex Management Plan (2022–2031) [30];
- –
- Oraio Public Forest Complex Management Plan (2015–2024) [31];
- –
- Gerakas Xanthis–Kimmeria Public Forest Complex Management Plan (2017–2026) [32].
- Total amount of wood stock:
- –
- <100 m3/ha: 0 (low or no biodiversity);
- –
- 100–250 m3/ha: 0.5 (moderate biodiversity);
- –
- >250 m3/ha: 1 (high biodiversity).
- Age:
- –
- Even-aged stands: 0;
- –
- Uneven-aged stands: 1 (moderate biodiversity not applicable).
- Canopy density:
- –
- Both density values <1: 0;
- –
- One density value <1 and the other ≥1: 0.5;
- –
- Both density values ≥: 1.
- Regeneration:
- –
- None or minimal regeneration: 0;
- –
- Moderate regeneration: 0.5;
- –
- High regeneration: 1.
- Aspect:
- –
- Exposure to one direction: 0;
- –
- Exposure to two directions: 0.5;
- –
- Exposure to more than two directions: 1.
- –
- Total score <1.5: low biodiversity;
- –
- Total score 1.5–3: moderate biodiversity;
- –
- Total score >3: high biodiversity.
2.3. Statistical Data Processing
3. Results
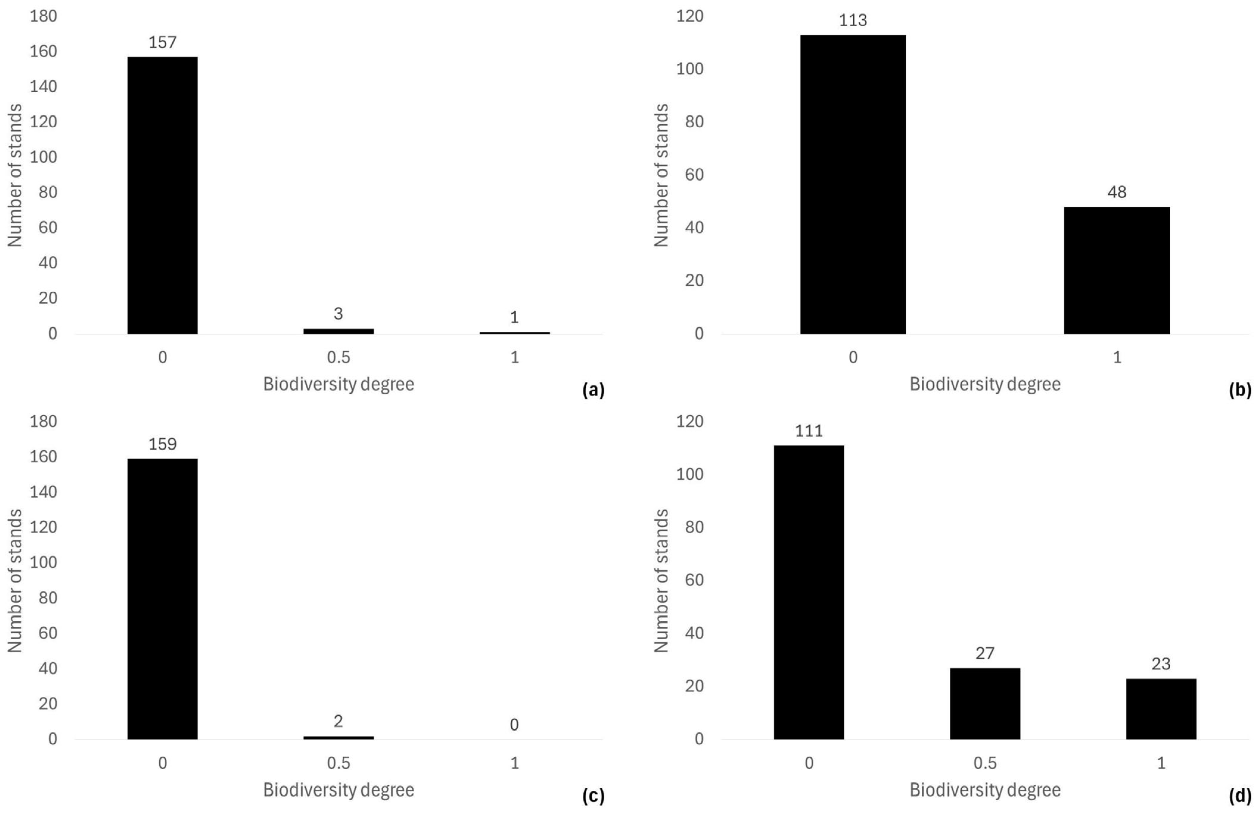
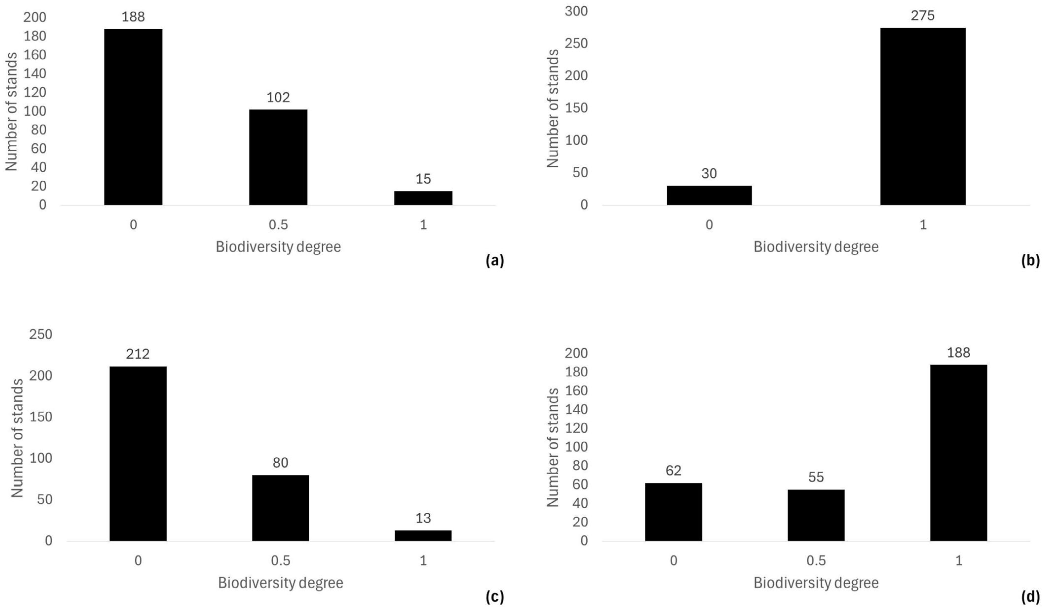
3.1. Total Number of the Stands
3.2. High-Biodiversity Stands
3.3. Moderate-Biodiversity Stands
3.4. Low-Biodiversity Stands
4. Discussion
- Stand densification through extended rotation periods or light thinning until wood stock exceeds 250 m3/ha.
- Retention of legacy trees and standing dead wood to enhance habitat heterogeneity.
- Strict regulation of grazing, which in many cases must be forbidden.
5. Conclusions
Author Contributions
Funding
Data Availability Statement
Conflicts of Interest
References
- Secretariat of the Convention on Biological Diversity. Handbook of the Convention on Biological Diversity: Including Its Cartagena Protocol on Biosafety; Secretariat of Convention: Bonn, Germany, 2005. [Google Scholar]
- Lindenmayer, D.B.; Franklin, J.F. Conserving Forest Biodiversity: A Comprehensive Multiscaled Approach; Island Press: Washington, DC, USA, 2002. [Google Scholar]
- Burrascano, S.; Chianucci, F.; Trentanovi, G.; Kepfer-Rojas, S.; Sitzia, T.; Tinya, F.; Doerfler, I.; Paillet, Y.; Nagel, T.A.; Mitic, B.; et al. Where are we now with European forest multi-taxon biodiversity and where can we head to? Biol. Conserv. 2023, 284, 110176. [Google Scholar] [CrossRef]
- Uhl, B.; Schall, P.; Bässler, C. Achieving structural heterogeneity and high multi-taxon biodiversity in managed forest ecosystems: A European review. Biodivers. Conserv. 2025, 34, 3327–3358. [Google Scholar] [CrossRef]
- de Conto, T.; Armston, J.; Dubayah, R. Characterizing the structural complexity of the Earth’s forests with spaceborne lidar. Nat. Commun. 2024, 15, 8116. [Google Scholar] [CrossRef]
- Parisi, F.; D’Amico, G.; Vangi, E.; Chirici, G.; Francini, S.; Cocozza, C.; Giannetti, F.; Londi, G.; Nocentini, S.; Borghi, C.; et al. Tree-related microhabitats and multi-taxon biodiversity quantification exploiting ALS data. Forests 2024, 15, 660. [Google Scholar] [CrossRef]
- Gao, T.; Hedblom, M.; Emilsson, T.; Nielsen, A.B. The role of forest stand structure as biodiversity indicator. For. Ecol. Manag. 2014, 330, 82–93. [Google Scholar] [CrossRef]
- Heym, M.; Uhl, E.; Moshammer, R.; Dieler, J.; Stimm, K.; Pretzsch, H. Utilising Forest inventory data for biodiversity assessment. Ecol. Indic. 2020, 121, 107196. [Google Scholar] [CrossRef]
- Bourma, K.; Milios, E.; Radoglou, K.; Kitikidou, K. Development of a Graded Biodiversity Assessment (GBA) Index for the Assessment of the Biodiversity of Managed Natural Forests. Ecologies 2023, 4, 614–626. [Google Scholar] [CrossRef]
- Milios, E.; Kitikidou, K. Enhancing biodiversity assessment in forests: Integrating instrumented measurements for a robust graded biodiversity assessment (GBA) index. Environ. Ecol. Res. 2025, 13, 131–139. [Google Scholar] [CrossRef]
- Sullivan, T.P.; Sullivan, D.S.; Lindgren, P.M.F. Partial harvesting of dry Douglas-fir forests: Stand structure, range habitats and maintenance of biodiversity using small mammal indicators. Forestry 2011, 84, 247–257. [Google Scholar] [CrossRef][Green Version]
- Persiani, A.; Lombardi, F.; Lunghini, D.; Granito, V.; Tognetti, R.; Maggi, O.; Pioli, S.; Marchetti, M. Stand structure and deadwood amount influences saproxylic fungal biodiversity in Mediterranean mountain unmanaged forests. iForest 2015, 9, 115–124. [Google Scholar] [CrossRef]
- Parisi, F.; Innangi, M.; Tognetti, R.; Lombardi, F.; Chirici, G.; Marchetti, M. Forest stand structure and coarse woody debris determine the biodiversity of beetle communities in Mediterranean mountain beech forests. Glob. Ecol. Conserv. 2021, 28, e01637. [Google Scholar] [CrossRef]
- McElhinny, C.; Gibbons, P.; Brack, C.; Bauhus, J. Forest and woodland stand structural complexity: Its definition and measurement. For. Ecol. Manag. 2005, 218, 1–24. [Google Scholar] [CrossRef]
- Milios, E.; Kitikidou, K. How to improve forest biodiversity management by comparing broad-scale stands’ structural spatial heterogeneity between two forests. Ann. Silvic. Res. 2025, 50, 7–11. [Google Scholar]
- Kitikidou, K.; Milios, E.; Stampoulidis, A.; Pipinis, E.; Radoglou, K. Within-forest stand (or formation, or plot) and between-forest stand (or formation, or plot) biodiversity indices. MethodsX 2022, 9, 101919. [Google Scholar] [CrossRef]
- Kitikidou, K.; Milios, E.; Stampoulidis, A.; Pipinis, E.; Radoglou, K. Using biodiversity indices effectively: Considerations for forest management. Ecologies 2024, 5, 42–51. [Google Scholar] [CrossRef]
- Ministry of Agriculture. First National Inventory of Greek Forests; Diretorate of Forest Cadastre: Athens, Greece, 1992; pp. 1–134. [Google Scholar]
- Athanasiadis, N. Forest Botany: Trees and Shrubs of the Forests of Greece, Part II; Giahoudis-Giapoulis: Thessaloniki, Greece, 1986. (In Greek) [Google Scholar]
- Dafis, S. Forest Ecology; Giahoudis-Giapoulis: Thessaloniki, Greece, 1986. (In Greek) [Google Scholar]
- Dafis, S. Applied Silviculture; Giahoudis-Giapoulis: Thessaloniki, Greece, 1992. (In Greek) [Google Scholar]
- Korakis, G. Forest Botany. Trees and Shrubs Native in Greece; Athanasiou Altintzi Editions: Thessaloniki, Greece, 2019. (In Greek) [Google Scholar]
- Oliver, C.D.; Larson, B.C. Forest Stand Dynamics; McGraw Hill: New York, NY, USA, 1996. [Google Scholar]
- Smith, D.M.; Larson, B.C.; Kelty, M.J.; Ashton, P.; Mark, S. The Practice of Silviculture: Applied Forest Ecology; Wiley: Hoboken, NJ, USA, 1997. [Google Scholar]
- Stampoulidis, A.; Pipinis, E.; Petrou, P.; Kitikidou, K. Regeneration analysis of the Juniperus excelsa mixed stands in Prespa National Park of Greece as a base for the assessment of the appropriate silvicultural treatment for the conservation of the species. South-East Eur. For. 2023, 14, 47–52. [Google Scholar] [CrossRef]
- Kitikidou, K.; Milios, E.; Radoglou, K. Allometry, biomass, and productivity of deciduous oak forests in Xanthi, northern Greece. Banko Janakari 2024, 34, 48–60. [Google Scholar] [CrossRef]
- Theodoridis, P. Thermes–Satres Public Forest Complex Management Plan 2020–2029; Forest Directorship of Xanthi: Xanthi, Greece, 2019. (In Greek) [Google Scholar]
- Theodoridis, P. Echinos Public Forest Complex Management Plan 2019–2028; Forest Directorship of Xanthi: Xanthi, Greece, 2018. (In Greek) [Google Scholar]
- Theodoridis, P. Kotyli Public Forest Complex Management Plan 2018–2027; Forest Directorship of Xanthi: Xanthi, Greece, 2018. (In Greek) [Google Scholar]
- Theodoridis, P. Myki Public Forest Complex Management Plan 2022–2031; Forest Directorship of Xanthi: Xanthi, Greece, 2021. (In Greek) [Google Scholar]
- Theodoridis, P. Oraio Public Forest Complex Management Plan 2015–2024; Forest Directorship of Xanthi: Xanthi, Greece, 2015. (In Greek) [Google Scholar]
- Theodoridis, P. Gerakas Xanthis–Kimmeria Public Forest Complex Management Plan 2017–2026; Forest Directorship of Xanthi: Xanthi, Greece, 2016. (In Greek) [Google Scholar]
- ForOaks Project. Available online: https://foroaks.fmenr.duth.gr/ (accessed on 22 July 2025).
- Ishii, H.T.; Tanabe, S.-I.; Hiura, T. Exploring the relationships among canopy structure, stand productivity, and biodiversity of temperate forest ecosystems. For. Sci. 2004, 50, 342–355. [Google Scholar]
- Naqinezhad, A.; De Lombaerde, E.; Gholizadeh, H.; Wasof, S.; Perring, M.P.; Meeussen, C.; De Frenne, P.; Verheyen, K. The combined effects of climate and canopy cover changes on understorey plants of the Hyrcanian Forest biodiversity hotspot in northern Iran. Glob. Change Biol. 2021, 28, 1103–1118. [Google Scholar] [CrossRef]
- Koutoulas, G. Thermes–Satres Public Forest Complex Management Plan 1988–1997; Forest Service of Xanthi: Xanthi, Greece, 1988. (In Greek) [Google Scholar]
- Koutoulas, G.; Maragos, N.; Asimakopoulos, G. Kotyli Public Forest Complex Management Plan 1998–2007; Forest Service of Xanthi: Xanthi, Greece, 1998. (In Greek) [Google Scholar]
- Koutoulas, G. Echinos Public Forest Complex Management Plan 1999–2008; Forest Service of Xanthi: Xanthi, Greece, 1999. (In Greek) [Google Scholar]
- Lin, S.; Fan, C.; Wang, J.; Zhang, C.; Zhao, X.; von Gadow, K. Chronic anthropogenic disturbance mediates the biodiversity-productivity relationship across stand ages in a large temperate forest region. J. Appl. Ecol. 2024, 61, 502–512. [Google Scholar] [CrossRef]
- Correia, D.L.P.; Raulier, F.; Filotas, É.; Bouchard, M. Stand height and cover type complement forest age structure as a biodiversity indicator in boreal and northern temperate forest management. Ecol. Indic. 2016, 72, 288–296. [Google Scholar] [CrossRef]
- Bagnaresi, U. Stand structure and biodiversity in mixed, uneven-aged coniferous forests in the eastern Alps. Forestry 2002, 75, 357–364. [Google Scholar] [CrossRef]
- Redon, M.; Luque, S.; Gosselin, F.; Cordonnier, T. Is generalisation of uneven-aged management in mountain forests the key to improve biodiversity conservation within forest landscape mosaics? Ann. For. Sci. 2014, 71, 751–760. [Google Scholar] [CrossRef]
- Savilaakso, S.; Johansson, A.; Häkkilä, M.; Uusitalo, A.; Sandgren, T.; Mönkkönen, M.; Puttonen, P. What are the effects of even-aged and uneven-aged forest management on boreal forest biodiversity in Fennoscandia and European Russia? A systematic review. Environ. Evid. 2021, 10, 1. [Google Scholar] [CrossRef]
- O’Hara, K. Multiaged Silviculture: Managing for Complex Forest Stand Structures; Oxford University Press: Oxford, UK, 2014. [Google Scholar]






| Parameter | Contrast (Level A vs. Level B) | A: Proportion % (n/N) | B: Proportion % (n/N) | Z | p-Value |
|---|---|---|---|---|---|
| Wood stock (m3/ha) | 0 (<100) vs. 0.5 [100–250] | 71.9 (346/481) | 24.1 (116/481) | 14.84 | <0.001 |
| Wood stock (m3/ha) | 0 (<100) vs. 1 (>250) | 71.9 (346/481) | 4.0 (19/481) | 21.72 | <0.001 |
| Wood stock (m3/ha) | 0.5 [100–250] vs. 1 (>250) | 24.1 (116/481) | 4.0 (19/481) | 9.00 | <0.001 |
| Age structure | 0 (even-aged) vs. 1 (uneven-aged) | 29.7 (143/481) | 70.3 (338/481) | −12.57 | <0.001 |
| Canopy density | 0 (both <1) vs. 0.5 (one <1, one ≥1) | 77.8 (374/481) | 18.3 (88/481) | 18.46 | <0.001 |
| Canopy density | 0 (both <1) vs. 1 (both ≥1) | 77.8 (374/481) | 4.0 (19/481) | 23.28 | <0.001 |
| Canopy density | 0.5 (one <1, one ≥1) vs. 1 (both ≥1) | 18.3 (88/481) | 4.0 (19/481) | 7.08 | <0.001 |
| Regeneration | 0 (none/minimal) vs. 0.5 (moderate) | 36.0 (173/481) | 17.3 (83/481) | 6.57 | <0.001 |
| Regeneration | 0 (none/minimal) vs. 1 (high) | 36.0 (173/481) | 46.8 (225/481) | −3.40 | 0.001 |
| Regeneration | 0.5 (moderate) vs. 1 (high) | 17.3 (83/481) | 46.8 (225/481) | −9.81 | <0.001 |
| Aspect | 0 (one direction) vs. 0.5 (two directions) | 73.6 (354/481) | 23.1 (111/481) | 15.68 | <0.001 |
| Aspect | 0 (one direction) vs. 1 (>two directions) | 73.6 (354/481) | 3.3 (16/481) | 22.40 | <0.001 |
| Aspect | 0.5 (two directions) vs. 1 (>two directions) | 23.1 (111/481) | 3.3 (16/481) | 9.05 | <0.001 |
Disclaimer/Publisher’s Note: The statements, opinions and data contained in all publications are solely those of the individual author(s) and contributor(s) and not of MDPI and/or the editor(s). MDPI and/or the editor(s) disclaim responsibility for any injury to people or property resulting from any ideas, methods, instructions or products referred to in the content. |
© 2025 by the authors. Licensee MDPI, Basel, Switzerland. This article is an open access article distributed under the terms and conditions of the Creative Commons Attribution (CC BY) license (https://creativecommons.org/licenses/by/4.0/).
Share and Cite
Michailidis, E.; Stampoulidis, A.; Petrou, P.; Kitikidou, K.; Pipinis, E.; Radoglou, K.; Milios, E. Biodiversity Status of Pure Oak (Quercus spp.) Stands in Northeastern Greece: Implications for Adaptive Silviculture. Environments 2025, 12, 339. https://doi.org/10.3390/environments12090339
Michailidis E, Stampoulidis A, Petrou P, Kitikidou K, Pipinis E, Radoglou K, Milios E. Biodiversity Status of Pure Oak (Quercus spp.) Stands in Northeastern Greece: Implications for Adaptive Silviculture. Environments. 2025; 12(9):339. https://doi.org/10.3390/environments12090339
Chicago/Turabian StyleMichailidis, Efthimios, Athanasios Stampoulidis, Petros Petrou, Kyriaki Kitikidou, Elias Pipinis, Kalliopi Radoglou, and Elias Milios. 2025. "Biodiversity Status of Pure Oak (Quercus spp.) Stands in Northeastern Greece: Implications for Adaptive Silviculture" Environments 12, no. 9: 339. https://doi.org/10.3390/environments12090339
APA StyleMichailidis, E., Stampoulidis, A., Petrou, P., Kitikidou, K., Pipinis, E., Radoglou, K., & Milios, E. (2025). Biodiversity Status of Pure Oak (Quercus spp.) Stands in Northeastern Greece: Implications for Adaptive Silviculture. Environments, 12(9), 339. https://doi.org/10.3390/environments12090339

