The Temperature-Influenced Scaling Law of Hydraulic Conductivity of Sand under the Centrifugal Environment
Abstract
1. Introduction
2. Temperature-Influence Scaling Law of Hydraulic Conductivity for Centrifuge Modeling
3. A Newly Developed Temperature-Controlled Falling-Head Permeameter Apparatus for Centrifuge Modeling
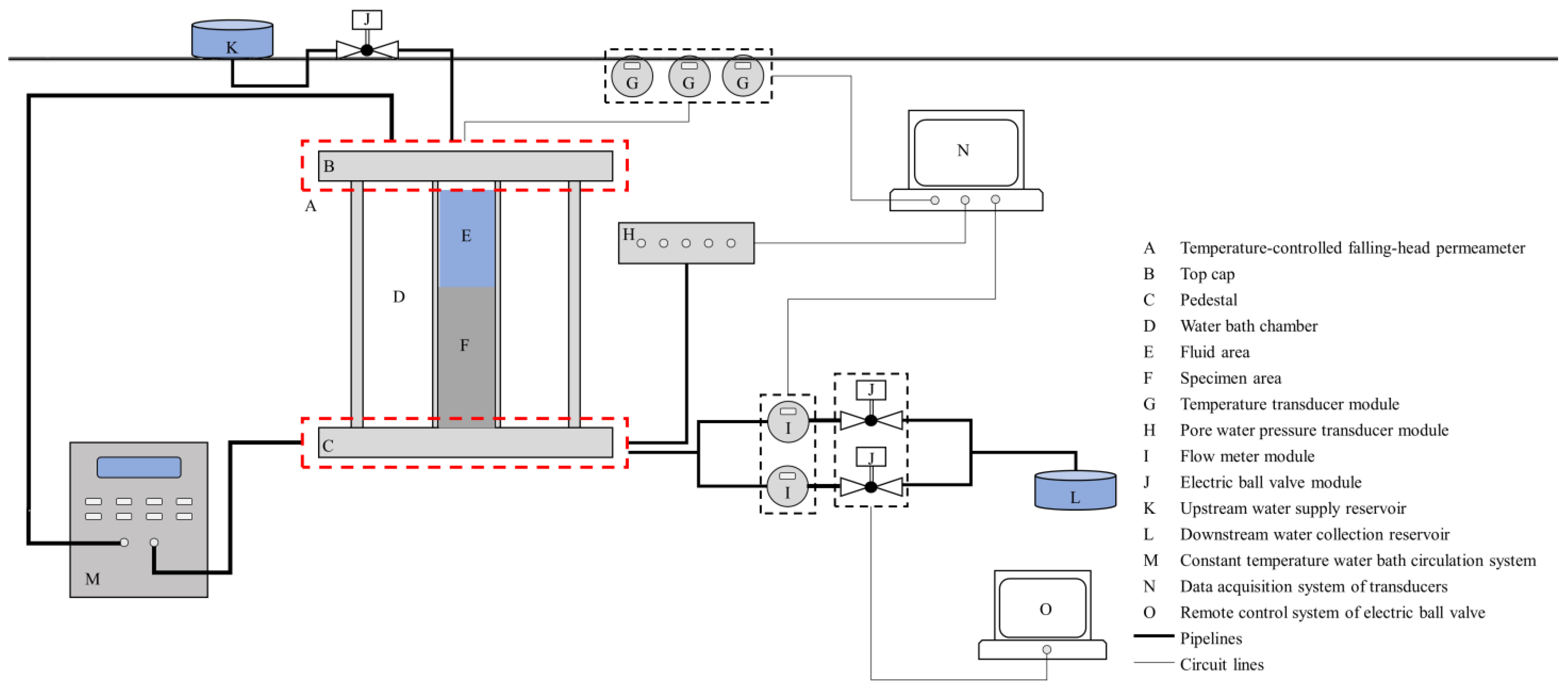
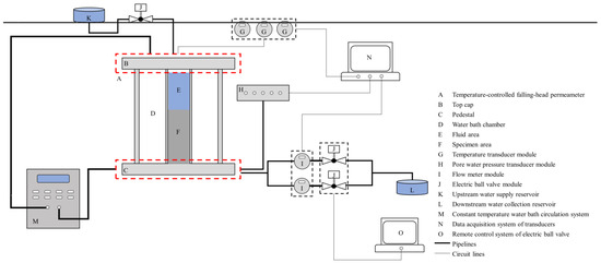
3.1. General Design of the Apparatus
3.2. Details of the Apparatus and Transducer Arrangement
4. Materials and Methods
4.1. Test Soil and Test Plan
4.2. Test Preparation under the 1 g Environment
4.3. Test Procedures under the Centrifugal Environment
5. Performance of the New Developed Apparatus
5.1. Sealing of the Temperature-Controlled Falling-Head Permeameter
5.2. Performance of the Temperature Control
6. Temperature-Controlled Falling-Head Tests Results and Discussion
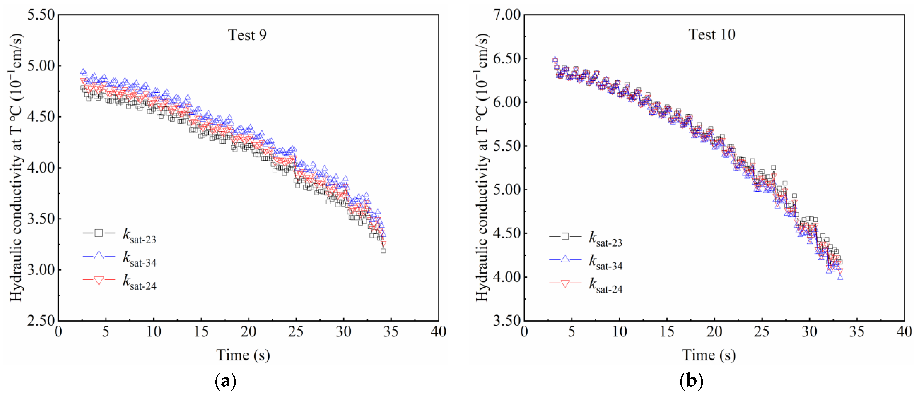
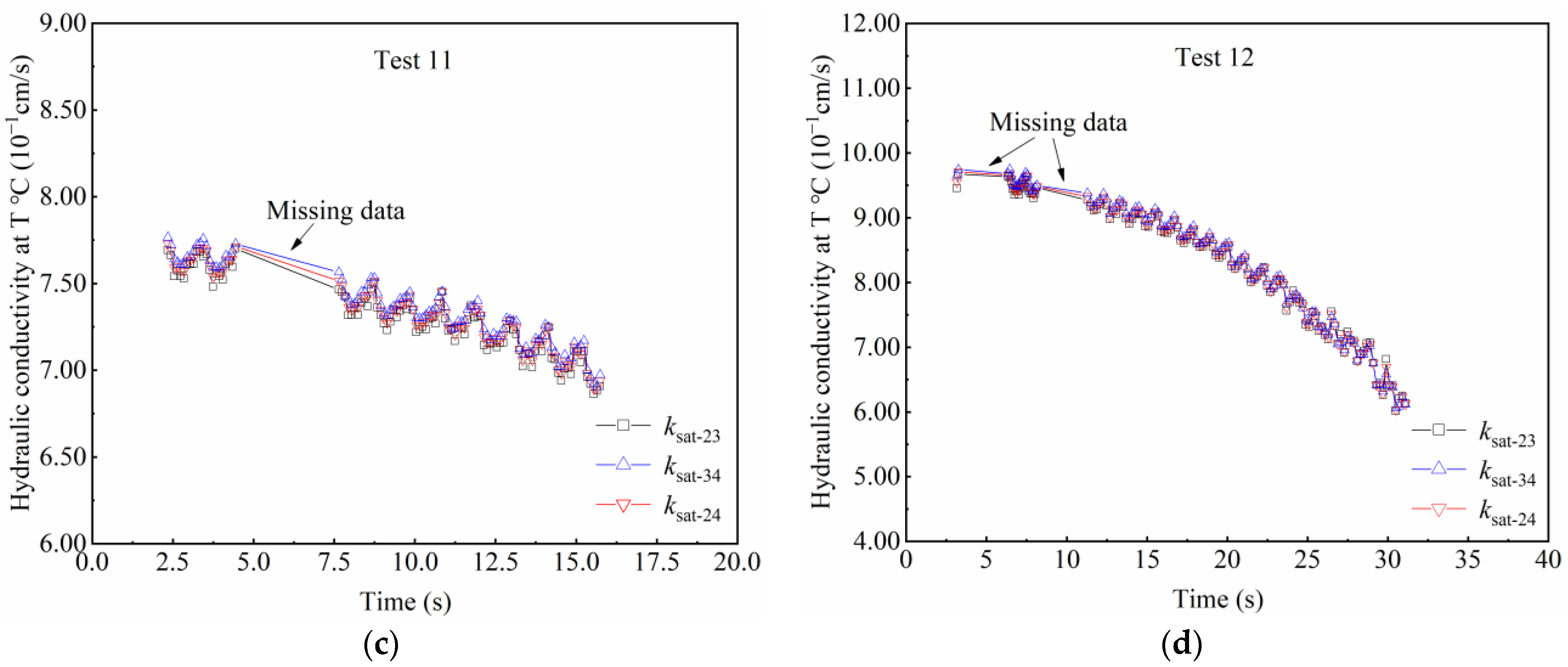
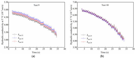
6.1. Calculation of Hydraulic Conductivity and Typical Test Results
6.2. Hydraulic Conductivity
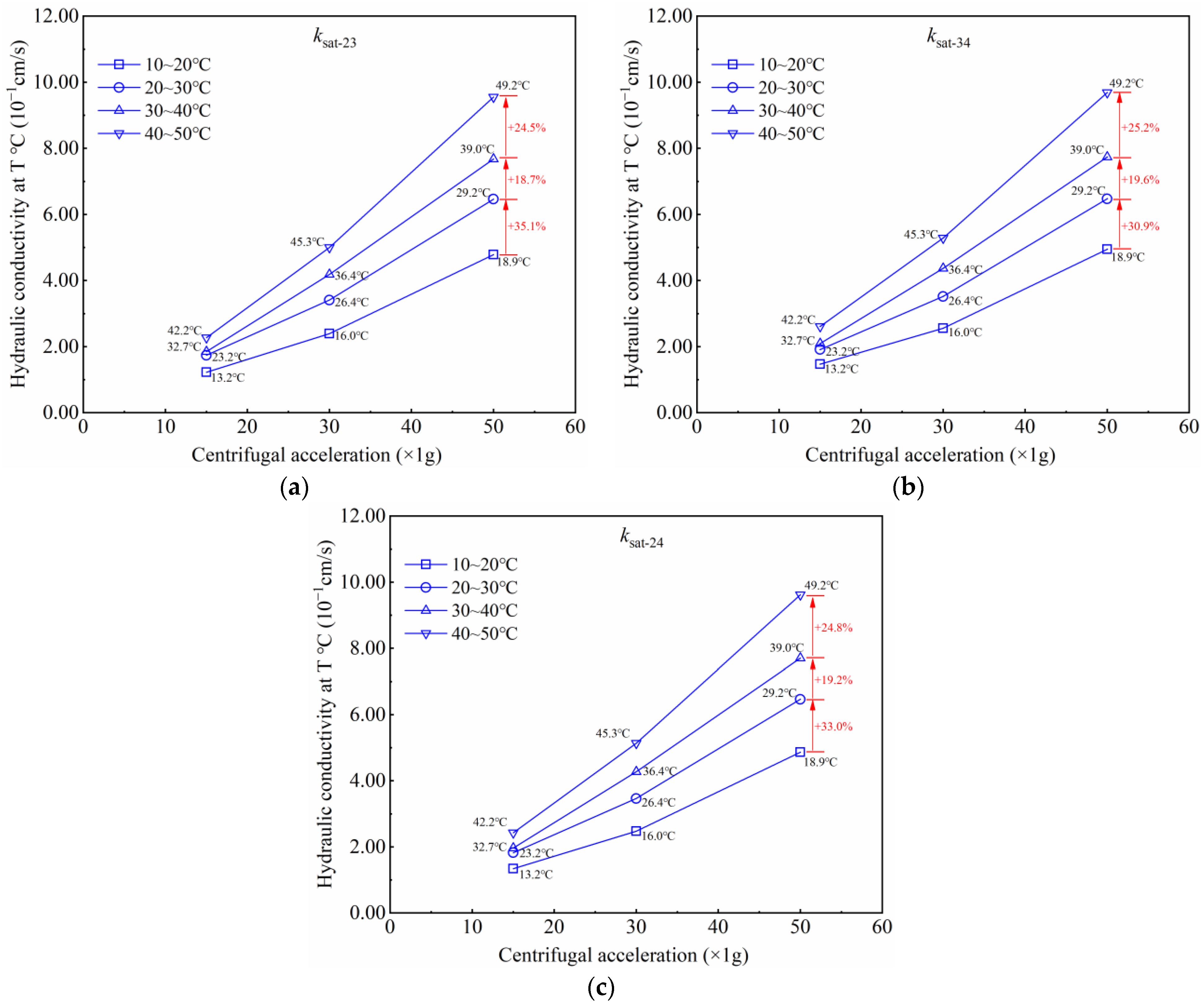
6.3. Effect of Centrifugal Acceleration and Temperature on Hydraulic Conductivity
6.4. Effect of Temperature on the Scaling Factor of Hydraulic Conductivity
6.5. Scaling Factor Index of Hydraulic Conductivity
6.6. Discussion
7. Conclusions
- (1)
- The sealing of the permeameter, the constant temperature control effect on the soil specimen and the fluid, and the reliability of test results were tested. The permeameter had good sealing, and the apparatus can effectively control the temperature of the soil specimen and fluid under the centrifugal environment. The test results also had good repeatability.
- (2)
- The hydraulic conductivity of sand was not always constant but varied with time in these tests, and it may be due to the presence of radial seepage in addition to vertical seepage as the test progressed. As a result, the test process can be divided into a stabilization stage of hydraulic conductivity and a gradually decreasing stage of hydraulic conductivity.
- (3)
- The temperature had a great influence on the hydraulic conductivity of sand and its scaling factor under the centrifugal environment. Additionally, the proposed scaling law of hydraulic conductivity considering the influence of temperature was also verified.
Author Contributions
Funding
Data Availability Statement
Conflicts of Interest
References
- Schofield, A.N. Cambridge geotechnical centrifuge operations. Geotechnique 1980, 30, 227–268. [Google Scholar] [CrossRef]
- Zhu, W.X. Centrifuge modeling for geotechnical engineering in the world. Chin. J. Geotech. Eng. 1986, 8, 82–95. [Google Scholar]
- Liu, F.X. The Effects of Radial Linear Acceleration on the Centrifuge Modeling of Soil Slope Instability and Seepage. Ph.D. Thesis, Hohai University, Nanjing, China, 2023. [Google Scholar]
- Chen, Y.M.; Han, C.; Ling, D.S.; Kong, L.G.; Zhou, Y.G. Development of geotechnical centrifuge ZJU400 and performance assessment of its shaking table system. Chin. J. Geotech. Eng. 2011, 33, 1887–1894. [Google Scholar]
- Ng, C.W.W. The state-of-the-art centrifuge modeling of geotechnical problems at HKUST. J. Zhejiang Univ.-Sci. 2014, 15, 1–21. [Google Scholar] [CrossRef]
- Chen, S.S. Experimental techniques for earth and rockfill dams and their applications. Chin. J. Geotech. Eng. 2015, 37, 1–28. [Google Scholar] [CrossRef]
- Liao, B.; Li, Y.Y.; Guan, Y.; Liu, Y.H.; Huang, Q.Q.; Ye, C.W.; Liu, G.; Xu, F. Insight into barrier mechanism of fly ash-bentonite blocking wall for lead pollution in groundwater. J. Hydrol. 2020, 590, 125444. [Google Scholar] [CrossRef]
- Chen, Y.M.; Tang, Y.; Ling, D.S.; Wang, Y.B. Hypergravity experiments on multiphase media evolution. Sci. China Technol. Sci. 2022, 65, 2791–2808. [Google Scholar] [CrossRef]
- Marot, D.; Le, V.D.; Garnier, J.; Thorel, L.; Audrain, P. Study of scale effect in an internal erosion mechanism: Centrifuge model and energy analysis. Eur. J. Environ. Civ. Eng. 2012, 16, 1–19. [Google Scholar] [CrossRef]
- Ovalle-Villamil, W.; Sasanakul, I. Centrifuge modeling study of backward erosion piping with variable exit size. J. Geotech. Geoenviron. Eng. 2021, 147, 04022224. [Google Scholar] [CrossRef]
- Raisinghani, D.V.; Viswanadham, B.V.S. Centrifuge model study on low permeable slope reinforced by hybrid geosynthetics. Geotext. Geomembr. 2011, 29, 567–580. [Google Scholar] [CrossRef]
- Chen, Y.M.; Li, J.C.; Yang, C.B.; Zhu, B.; Zhan, L.T. Centrifuge modeling of municipal solid waste landfill failures induced by rising water levels. Can. Geotech. J. 2017, 54, 1739–1751. [Google Scholar] [CrossRef]
- Zhang, J.H.; Lo, I.M.C. Centrifuge study of long-term transport behavior and fate of copper in soils at various saturation of water, compaction and clay content. Soil Sediment Contam. 2008, 17, 237–255. [Google Scholar] [CrossRef]
- Zhan, L.T.; You, Y.Q.; Zhao, R.; Chen, C.; Chen, Y.M. Centrifuge modeling of lead retardation in soil-bentonite cut-off walls. Int. Int. J. Phys. Model. Geotech. 2022, 23, 166–179. [Google Scholar] [CrossRef]
- Zhao, T.L.; Chen, S.S.; Fu, C.J.; Zhong, Q.M. Centrifugal model test on the failure mechanism of barrier dam overtopping. KSCE J. Civ. Eng. 2019, 23, 1548–1559. [Google Scholar] [CrossRef]
- Mei, S.Y.; Zhong, Q.M.; Chen, S.S.; Shan, Y.B. Investigation of the overtopping-induced breach of tailings dams. Comput. Geotech. 2022, 149, 104864. [Google Scholar] [CrossRef]
- Ovalle-Villamil, W.; Sasanakul, I. Assessment of centrifuge modelling of internal erosion induced by upward flow conditions. Int. J. Phys. Model. Geotech. 2021, 21, 251–267. [Google Scholar] [CrossRef]
- Beckett, C.; Fourie, A.B.; O’Loughlin, C.D. Centrifuge modelling of seepage through tailings embankments. Int. J. Phys. Model. Geotech. 2016, 16, 18–30. [Google Scholar] [CrossRef]
- Ye, W.; Hu, J.; Ma, F.H. Centrifuge model study on the influence of desiccation cracks on the seepage behavior of upstream clay anti-seepage system subjected to abrupt flood. Bull. Eng. Geol. Environ. 2021, 80, 5075–5090. [Google Scholar] [CrossRef]
- Huang, B.; Guo, C.; Tang, Y.; Guo, J.C.; Cao, L.F. Experimental study on the permeability characteristic of fused quartz sand and mixed oil as a transparent soil. Water 2019, 11, 2514. [Google Scholar] [CrossRef]
- Nourani, V.; Ojaghj, A.; Zhang, Y.Q. Saturated and unsaturated seepage analysis of earth-fill dams using fractal hydraulic conductivity function and its verification. J. Hydrol. 2022, 612, 128302. [Google Scholar] [CrossRef]
- Li, N.P.; Xu, Y.S.; Wang, X.W. Estimation of hydraulic conductivity by the modified Kozeny-Carman equation considering the derivation principle of the original equation. J. Hydrol. 2023, 621, 129658. [Google Scholar] [CrossRef]
- Zhong, Y.; Zhou, A.N.; Du, J.P.; Teng, J.D.; Shen, S.L. Modified Kozeny-Carman equation for estimating hydraulic conductivity in nanoscale pores of clayey soils with active surfaces. J. Hydrol. 2023, 626, 130209. [Google Scholar] [CrossRef]
- Anderson, C.; Sivakumar, V.; Black, J.A. Measurement of permeability using a bench-top centrifuge. Geotechnique 2015, 65, 12–22. [Google Scholar] [CrossRef]
- Lei, G.H.; Liu, F.X.; Xia, S.W. A note on falling-head and rising-tail permeability tests on saturated soils in centrifuge. Can. Geotech. J. 2020, 57, 1232–1238. [Google Scholar] [CrossRef]
- Lei, G.; Dai, C.; Liu, F.; Xu, G.; Gu, X.; Ren, G. Effective centrifuge radius for determining saturated hydraulic conductivity in porous media. In Proceedings of the 10th International Conference on Physical Modelling in Geotechnics, Daejeon, Republic of Korea, 19–23 September 2022. [Google Scholar]
- Singh, D.N.; Gupta, A.K. Falling head hydraulic conductivity tests in a geotechnical centrifuge. J. Test. Eval. 2001, 29, 258–263. [Google Scholar] [CrossRef]
- Wang, Q.S.; Chen, Z.Y.; Sui, H.B.; Hou, Y.J.; Liang, J.H. Modeling seepage flow velocity in centrifuge models. Chin. J. Geotech. Eng. 2011, 33, 1235–1239. [Google Scholar]
- Arulanandan, K.; Thompson, P.Y.; Kutter, B.L.; Meegoda, N.J.; Muraleetharan, K.K.; Yogachandran, C. Centrifuge modeling of transport processes for pollutants in soils. J. Geotech. Eng. 1988, 114, 185–205. [Google Scholar] [CrossRef]
- Thusyanthan, N.I.; Madabhushi, S.P.G. Scaling of Seepage Flow Velocity in Centrifuge Models; Report, No. CUED/D-SOILS/TR326; Engineering Department, Cambridge University: Cambridge, UK, 2003; Available online: http://www-civ.eng.cam.ac.uk/geotech_new/publications/TR/TR326.pdf (accessed on 27 July 2024).
- Taylor, R.N. Discussion: Centrifuge scaling considerations for fluid-particle systems. Geotechnique 1987, 37, 131–133. [Google Scholar] [CrossRef]
- Butterfield, R. Scale-modeling of fluid flow in geotechnical centrifuges. Soils Found. 2000, 40, 39–45. [Google Scholar] [CrossRef]
- Tan, T.S.; Scott, R.F. Centrifuge scaling considerations for fluid-particle systems. Geotechnique 1985, 35, 461–470. [Google Scholar] [CrossRef]
- Cargill, K.W.; Ko, H.Y. Centrifuge modeling of transient water flow. J. Geotech. Eng. 1983, 109, 366–387. [Google Scholar] [CrossRef]
- Garnier, J.; Gaudin, C.; Springman, S.M.; Culligan, P.J.; Goodings, D.; Konig, D.; Kutter, B.; Phillips, R.; Randolph, M.F.; Thorel, L. Catalogue of scaling laws and similitude questions in geotechnical centrifuge modeling. Int. J. Phys. Model. Geotech. 2007, 7, 1–23. [Google Scholar] [CrossRef]
- Khalifa, A.; Garnier, J.; Thomas, P.; Rault, G. Scaling laws of water flow in centrifuge models. In Proceedings of the International Symposium on Physical Modelling in Environmental Geotechnics, Paris, France, 15–17 May 2000. [Google Scholar]
- Van Tonder, W.D.; Jacobsz, S.W. Seepage column hydraulic conductivity tests in the geotechnical centrifuge. J. S. Afr. Inst. Civ. Eng. 2017, 59, 16–24. [Google Scholar] [CrossRef]
- Jones, B.R.; Brouwers, L.B.; Van Tonder, W.D.; Dippenaar, M.A. Assessing geotechnical centrifuge modeling in addressing variably saturated flow in soil and fractured rock. Environ. Sci. Pollut. Res. 2017, 24, 13203–13223. [Google Scholar] [CrossRef] [PubMed]
- Singh, D.N.; Gupta, K.A. Modeling hydraulic conductivity in a small centrifuge. Can. Geotech. J. 2000, 37, 1150–1155. [Google Scholar] [CrossRef]
- Sharma, J.S.; Samarasekera, L. Effect of centrifuge radius on hydraulic conductivity measured in a falling-head test. Can. Geotech. J. 2007, 44, 96–102. [Google Scholar] [CrossRef]
- Guo, C. Design of Super Gravity Internal Erosion Device and Preliminary Experimental Study. Master’s Thesis, Zhejiang University, Hangzhou, China, 2020. [Google Scholar]
- Wang, Y.; Shi, B.; Gao, L.; Liu, J. Laboratory tests for temperature effects of clayey soil permeability. J. Eng. Geol. 2010, 18, 351–356. [Google Scholar] [CrossRef]
- Cho, W.J.; Lee, J.O.; Chun, K.S. The temperature effects on hydraulic conductivity of compacted bentonite. Appl. Clay Sci. 1999, 14, 47–58. [Google Scholar] [CrossRef]
- Huang, Y.H.; Zhang, Z.C.; Xiao, Y.; Li, L.H. Non-isothermal coupled effects of bound water content and permeability in sand and clay. Chin. J. Geotech. Eng. 2024, 46, 375–384. [Google Scholar] [CrossRef]
- Joshaghani, M.; Ghasemi-Fare, O. Exploring the effects of temperature on intrinsic permeability and void ratio alteration through temperature-controlled experiments. Eng. Geol. 2021, 293, 106299. [Google Scholar] [CrossRef]
- Guo, Y.N.; Yang, Y.; Jiang, J.Q.; Yu, J.X.; Wang, Y.L. Analysis of influences of helium working medium replacement and operating pressure on wind resistance power of geotechnical centrifuge. Earthq. Eng. Eng. Dyn. 2020, 40, 197–206. [Google Scholar] [CrossRef]
- Wen, L.F.; Chai, J.R.; Wang, X.; Xu, Z.G.; Qin, Y.; Li, Y.L. Behavior of concrete-face rockfill dam on sand and gravel foundation. Proc. Inst. Civ. Eng.-Geotech. Eng. 2015, 168, 439–456. [Google Scholar] [CrossRef]
- Ikbarieh, A.; Izadifar, M.; Abu-Farsakh, M.Y.; Voyiadjis, G.Z. A parametric study of embankment supported by geosynthetic reinforced load transfer platform and timber piles tip on sand. Transp. Geotech. 2023, 38, 100901. [Google Scholar] [CrossRef]
- Sun, Y.; Zhao, Y.; Zhang, D.L. Surface subsidence of pit-in-pit foundation in sand-obble stratum in Beijing area. Proc. Inst. Civ. Eng.-Ground Improv. 2019, 172, 96–107. [Google Scholar] [CrossRef]
- Ye, W.M.; Wan, M.; Chen, B.; Chen, Y.G.; Cui, Y.J.; Wang, J. Temperature effects on the swelling pressure and saturated hydraulic conductivity of the compacted GMZ01 bentonite. Environ. Earth Sci. 2013, 68, 281–288. [Google Scholar] [CrossRef]
- Flint, L.E.; Selker, J.S. Use of porosity to estimate hydraulic properties of volcanic tuffs. Adv. Water Resour. 2003, 26, 561–571. [Google Scholar] [CrossRef]
- Zhu, Z.H.; Zhang, F.; Dupla, J.C.; Canou, J.; Foerster, E.; Peng, Q.Y. Assessment of tamping-based specimen preparation methods on static liquefaction of loose silty sand. Soil Dyn. Earthq. Eng. 2021, 143, 106592. [Google Scholar] [CrossRef]
- Zheng, G.; Zeng, C.F.; Diao, Y.; Xue, X.L. Test and numerical research on wall deflections induced by pre-excavation dewatering. Comput. Geotech. 2014, 62, 244–256. [Google Scholar] [CrossRef]
- Towhata, I.; Kuntiwattanaku, P.; Seko, I.; Ohishi, K. Volume change of clays induced by heating as observed in consolidation tests. Soils Found. 1993, 33, 170–183. [Google Scholar] [CrossRef]
- Chen, W.Z.; Ma, Y.S.; Yu, H.D.; Li, F.F.; Li, X.L.; Sillen, X. Effects of temperature and thermally-induced microstructure change on hydraulic conductivity of Boom Clay. J. Rock Mech. Geotech. Eng. 2017, 9, 383–395. [Google Scholar] [CrossRef]
















| Test ID | Centrifugal Acceleration (×1 g) | Target Test Temperature (°C) | Actual Test Temperature (°C) |
|---|---|---|---|
| 1 | 15 | 13 | 13.2 |
| 2 | 23 | 23.2 | |
| 3 | 33 | 32.7 | |
| 4 | 43 | 42.2 | |
| 5 | 30 | 16 | 16.0 |
| 6 | 26 | 26.4 | |
| 7 | 36 | 36.4 | |
| 8 | 46 | 45.3 | |
| 9 | 50 | 19 | 18.9 |
| 10 | 29 | 29.2 | |
| 11 | 39 | 39.0 | |
| 12 | 49 | 49.2 |
| Test ID | Centrifugal Acceleration (×1 g) | Actual Test Temperature (°C) | Initial Void Ratio | Initial Hydraulic Conductivity at T °C (cm/s) | Final Hydraulic Conductivity at T °C (cm/s) | Calculated Final Void Ratio |
|---|---|---|---|---|---|---|
| 1 | 15 | 13.2 | 0.615 | 0.1227 | 0.0730 | 0.5051 |
| 2 | 23.2 | 0.1739 | 0.1710 | 0.6110 | ||
| 3 | 32.7 | 0.1851 | 0.1475 | 0.5642 | ||
| 4 | 42.2 | 0.2268 | 0.1941 | 0.5796 | ||
| 5 | 30 | 16.0 | 0.2396 | 0.1732 | 0.5436 | |
| 6 | 26.4 | 0.3410 | 0.2390 | 0.5377 | ||
| 7 | 36.4 | 0.4184 | 0.3406 | 0.5688 | ||
| 8 | 45.3 | 0.4998 | 0.4573 | 0.5945 | ||
| 9 | 50 | 18.9 | 0.4785 | 0.3538 | 0.5484 | |
| 10 | 29.2 | 0.6462 | 0.4132 | 0.5192 | ||
| 11 | 39.0 | 0.7673 | 0.6959 | 0.5925 | ||
| 12 | 49.2 | 0.9549 | 0.5680 | 0.5053 |
| Test ID | Centrifugal Acceleration (×1 g) | Actual Test Temperature (°C) | Hydraulic Conductivity | ||
|---|---|---|---|---|---|
| Soil Layer 23 at 20 °C (cm/s) | Soil Layer 34 at 20 °C (cm/s) | Soil Layer 24 at 20 °C (cm/s) | |||
| 1 | 15 | 13.2 | 0.1457 | 0.1747 | 0.1589 |
| 2 | 23.2 | 0.1613 | 0.1775 | 0.1690 | |
| 3 | 32.7 | 0.1396 | 0.1578 | 0.1482 | |
| 4 | 42.2 | 0.1422 | 0.1634 | 0.1520 | |
| 5 | 30 | 16.0 | 0.2645 | 0.2823 | 0.2731 |
| 6 | 26.4 | 0.2939 | 0.3033 | 0.2985 | |
| 7 | 36.4 | 0.2938 | 0.3068 | 0.3001 | |
| 8 | 45.3 | 0.2962 | 0.3133 | 0.3045 | |
| 9 | 50 | 18.9 | 0.4917 | 0.5079 | 0.4997 |
| 10 | 29.2 | 0.5245 | 0.5252 | 0.5248 | |
| 11 | 39.0 | 0.5102 | 0.5147 | 0.5124 | |
| 12 | 49.2 | 0.5292 | 0.5368 | 0.5330 | |
| Test ID | Centrifugal Acceleration (×1 g) | Actual Test Temperature, T (°C) | Hydraulic Conductivity | ||
|---|---|---|---|---|---|
| Soil Layer 23 at T °C (cm/s) | Soil Layer 34 at T °C (cm/s) | Soil Layer 24 at T °C (cm/s) | |||
| 1 | 15 | 13.2 | 0.1227 | 0.1472 | 0.1339 |
| 2 | 23.2 | 0.1739 | 0.1913 | 0.1822 | |
| 3 | 32.7 | 0.1851 | 0.2091 | 0.1964 | |
| 4 | 42.2 | 0.2268 | 0.2607 | 0.2426 | |
| 5 | 30 | 16.0 | 0.2396 | 0.2557 | 0.2474 |
| 6 | 26.4 | 0.3410 | 0.3518 | 0.3463 | |
| 7 | 36.4 | 0.4184 | 0.4369 | 0.4274 | |
| 8 | 45.3 | 0.4998 | 0.5286 | 0.5138 | |
| 9 | 50 | 18.9 | 0.4785 | 0.4943 | 0.4863 |
| 10 | 29.2 | 0.6462 | 0.6471 | 0.6466 | |
| 11 | 39.0 | 0.7673 | 0.7739 | 0.7706 | |
| 12 | 49.2 | 0.9549 | 0.9686 | 0.9617 | |
| Centrifugal Acceleration (×1 g) | Temperature (°C) | Nk-theoretical | Nk-measured |
|---|---|---|---|
| 15 | 13.2 | 15 | 13.6 |
| 23.2 | 18.5 | ||
| 32.7 | 20.0 | ||
| 42.2 | 24.6 | ||
| 30 | 16 | 30 | 25.2 |
| 26.4 | 35.2 | ||
| 36.2 | 43.4 | ||
| 45.3 | 52.2 | ||
| 50 | 18.9 | 50 | 49.4 |
| 29.2 | 65.7 | ||
| 39 | 78.3 | ||
| 49.2 | 97.7 |
Disclaimer/Publisher’s Note: The statements, opinions and data contained in all publications are solely those of the individual author(s) and contributor(s) and not of MDPI and/or the editor(s). MDPI and/or the editor(s) disclaim responsibility for any injury to people or property resulting from any ideas, methods, instructions or products referred to in the content. |
© 2024 by the authors. Licensee MDPI, Basel, Switzerland. This article is an open access article distributed under the terms and conditions of the Creative Commons Attribution (CC BY) license (https://creativecommons.org/licenses/by/4.0/).
Share and Cite
He, J.; Jiang, X.; Wang, Y. The Temperature-Influenced Scaling Law of Hydraulic Conductivity of Sand under the Centrifugal Environment. Water 2024, 16, 2596. https://doi.org/10.3390/w16182596
He J, Jiang X, Wang Y. The Temperature-Influenced Scaling Law of Hydraulic Conductivity of Sand under the Centrifugal Environment. Water. 2024; 16(18):2596. https://doi.org/10.3390/w16182596
Chicago/Turabian StyleHe, Jianjian, Xihao Jiang, and Yubing Wang. 2024. "The Temperature-Influenced Scaling Law of Hydraulic Conductivity of Sand under the Centrifugal Environment" Water 16, no. 18: 2596. https://doi.org/10.3390/w16182596
APA StyleHe, J., Jiang, X., & Wang, Y. (2024). The Temperature-Influenced Scaling Law of Hydraulic Conductivity of Sand under the Centrifugal Environment. Water, 16(18), 2596. https://doi.org/10.3390/w16182596

