Next Article in Journal
Sustainable Viticulture: Effects of Soil Management in Vitis vinifera
Previous Article in Journal
Recovery of Phosphorus in Soils Amended with Manure for 119 Years
 
 
Font Type:
Arial Georgia Verdana
Font Size:
Aa Aa Aa
Line Spacing:
Column Width:
Background:
Article

Genetic Characterization, Agro-Morphological and Physiological Evaluation of Grafted Tomato under Salinity Stress Conditions

by
Emad A. Abdeldym
1,
Mohamed M. El-Mogy
1,*,
Hoda R. L. Abdellateaf
1 and
Mohamed A. M. Atia
2,*
1
Vegetable Crops Department, Faculty of Agriculture, Cairo University, Giza 12619, Egypt
2
Molecular Genetics and Genome Mapping Laboratory, Genome Mapping Department, Agricultural Genetic Engineering Research Institute (AGERI), Agricultural Research Center (ARC), Giza 12619, Egypt
*
Authors to whom correspondence should be addressed.
Agronomy 2020, 10(12), 1948; https://doi.org/10.3390/agronomy10121948
Submission received: 25 October 2020 / Revised: 5 December 2020 / Accepted: 9 December 2020 / Published: 11 December 2020
(This article belongs to the Section Horticultural and Floricultural Crops)

Abstract

This study aims to determine grafting’s efficiency to improve tomato growth and production under salinity stress conditions. A commercial tomato hybrid (cv. Bark) and eight wild tomato accessions were evaluated at molecular, physiological and agronomic levels. At the molecular level, two robust gene-targeting marker systems (Conserved DNA-Derived Polymorphism; CDDP and Start Codon Targeted Polymorphism; SCoT) were employed. Bark cv. was grafted as a scion onto the four tomato genotypes’ roots as stocks. The rootstocks effect was evaluated by growing plants at 0, 100 and 200 mM NaCl. Our results showed that grafting enhanced plant shoots and roots growth (plant height, number of branches, plant fresh weight, root length, and root fresh and dry weight), fruit yield (total yield, number and weight of fruits) and fruit quality (Vitamin C, firmness and total soluble solids) in Bark on most tested rootstocks. A significant interaction between salinity levels and rootstocks for all measured hormones, antioxidants and proline was observed. In conclusion, our consistent results from the three approaches (molecular, physiological and agronomical) revealed that the four genotypes (LA1995, LA2711, LA2485 and LA3845) were found to be grouped and exhibit better performance under salinity stress conditions. Furthermore, grafting could be a low-cost alternative method to improve salt tolerance in sensitive tomato genotypes.

1. Introduction

Tomato (Solanum lycopersicum L.) is considered one of the most important vegetable crops grown worldwide due to its economic and health importance. According to a statement by the FAO in 2018 (http://faostat.fao.org/), the world production of tomato was 182,258,016 tons, which was harvested from 4,762,129 hectares. The importance of tomato fruits is related to its considerable level of antioxidants, including lycopene pigment, vitamins such as Vit C and several minerals, which can reduce the progression of various types of dangerous human diseases such as prostate, colon and breast cancers [1]. Recently, the salinity of soil and water became a severe universal problem restricting the growth, productivity and quality of most crops [2,3,4]. In the coming few decades, the percentage of affected land will increase due to a reduction in the quantity and quality of available irrigation water and global climate change [5]. Nearly twenty percent of the global cultivated lands and 33% of the irrigated agricultural lands suffer from high salinity [6].
Two theories have explained plant growth inhibition by salinity, either through ion toxicity or disruption of osmotic functions [7]. It was reported that salinity reduce many physiological processes in plants including reduce water absorption [8], inhibit nutrient uptake [9], reduction in photosynthetic rate [10] and reduce yield [6]. Numerous commercial cultivars of tomato range from moderately sensitive to sensitive to saline stress. Creating a new irrigation system or producing phenotypes resistant to adverse conditions are two principal strategies for controlling salinity stress. Many previous techniques were evaluated to reduce the adverse effect of salinity, such as the using of compost and vermicompost [11,12], application of plant growth-promoting bacteria [13], aeration of soil by the improvement of root growth, photosynthetic rate, water infiltration rates, as well as nutrient absorption [14,15], foliar application of indole-3-acetic acid [16] and root and foliar application of salicylic acid [17].
Hence, it is essential to develop novel effective methods to reduce the salinity stress of tomato. One of these treatments for reducing the adverse effect of salinity of tomato is grafting on resistance rootstocks. Moreover, grafting is a sustainable technique and environmentally friendly. Recently, the grafting procedure has been commonly used to cover soil-borne diseases and abiotic stress conditions such as salinity, drought, chilling stress, the poison of heavy metal and alkalinity of soil [18]. The benefits of grafting to enhance tomato plant growth and production under salinity stress were recorded [19]. Some cultivars, such as the local Egyptian cultivar, Edkawi, show greater salt tolerance by demonstrating greater stability in growth with increasing salinity. Moreover, high salt tolerance has been reported for various wild tomatoes, such as Lycopersicon peruvianum and Solanum pennelli, which are salt-tolerant relatives of cultivated ones [20].
Molecular evaluation of the genetic diversity among crop germplasm is a key for breeding and conservation of genetic resources. It is especially helpful as a general guide for selecting parents for breeding hybrids [21]. The conservation of numerous collections of plant genetic resources represents the backbone of plant breeding programs; therefore, this genetic variability is considered the raw material for the crop breeding business, which relies on choices to evolve new superior genotypes. Molecular markers have been widely employed during the last decades for each assessment of original material and exploration of valuable plant phenotypes.
The conventional plant taxonomy relies on shared phenological, biochemical and ecological characteristics. In the past few years, many powerful molecular marker techniques were developed and applied in various research studies. The development of those techniques is principally the result of invasiveness in genomic studies. It has been initiated as a modern trend to develop a group of gene-targeting markers more powerful and effective than Random markers [22]. As a result of the massive availability of genomic databases, the progress in developing efficient markers positioned inside or close to specific genes has become more straightforward [3]. These gene-targeting markers have several applications, such as genetic diversity, molecular ecology, molecular phylogeny, genetic resources conservation and developmental biology. In 2009, Collard and Mackill developed two of the foremost effective gene-targeting molecular marker techniques in plants. These techniques are called Start Codon Targeted Polymorphism (SCoT) and Conserved DNA-Derived Polymorphism (CDDP).
The SCoT technique theory depended on the conserved regions flanking the start codon (ATG) in plant genes. The SCoT system was highly reproducible because of the utilization of an 18-mer single primer with a relatively high annealing temperature (50 °C) [23]. SCoT is dominant, like the inter-simple sequence repeats (ISSR) and random amplified polymorphic DNA (RAPD) techniques. During the last decade, SCoT was effectively used in different applications such as genetic analyses, QTL-mapping and bulk segregant analysis. SCoT markers showed particularly significant success in diversity studies and fingerprinting in potato, grape, peanut and medicinal plants [24].
Meanwhile, the CDDP technique was developed to produce DNA markers based on sequence-mining of short conserved amino acid parts within plant proteins. CDDP employed a singular primer within a length ranging from 15 to 19-mer and a Ta of 50 °C [25]. In fact, gene-targeted marker systems such as CDDP and SCoT were evolved to join the traditional practices of random marker systems with powerful workflow through combining promoter or gene sequences in their primers [26]. These characteristics of gene-targeted markers give it some advantages, such as improved resolution and good reproducibility.
In nature, plants evolve their non-enzymatic and enzymatic antioxidation mechanisms to counteract the adverse effects of salinity. The enzymatic antioxidation mechanisms include various enzymes such as peroxidase (POD), ascorbate peroxidase (APX) and dehydroascorbate reductase (DHAR). In contrast, the non-enzymatic antioxidation mechanisms include compounds such as proline and vitamin C [27]. Thus, the previous compounds could be serving as an indicator of salinity stress.
Therefore, the current study aimed to evaluate growth performance, yield parameters, bioactive compounds, plant hormones (peroxidase (POD), ascorbate peroxidase (APX) and dehydroascorbate reductase (DHAR)), antioxidant enzymes and proline of different wild genotypes and commercial tomato hybrids under different salinity stress conditions. Additionally, to perform a molecular phylogeny and characterization of nine tomato cultivars/hybrids using two robust gene-targeting markers toward assessing their salinity tolerance.

2. Materials and Methods

2.1. Plant Material

The seeds of eight wild tomato accessions (LA1995, LA2711, LA2485, LA3845, LA1310, LA3120, LA3847 and LA2661) with known salinity tolerance characteristics were obtained from the International Tomato Genetic Resource Center in the USA. Also, one local hybrid with known tolerance characteristics was implemented in this study. Initially, the few seeds obtained for each cultivar were propagated to be used in the salinity tolerance evaluation experiment.

2.2. Molecular Analysis

2.2.1. Extraction of Tomato DNA

DNA was extracted from young fresh leaves (100 mg) of each cultivar/hybrid via a DNeasy Plant Mini Kit (QIAGEN, Santa Clarita, CA, USA), according to the manufacturer’s protocol. The concentrations of DNA were assessed using the Qubit® 3.0 Fluorometer (Thermo Fisher Scientific Inc., Waltham, MA, USA). For subsequent molecular analyses, DNA concentrations were normalized to 10 ng/µL in all samples.

2.2.2. CDDP Analysis

The CDDP PCR was performed according to Collard and Mackill-a [28]. Twelve CDDP primers were applied on the nine tomato samples. The PCR reaction volume was 25 μL including 1X PCR reaction buffer, 1.5 mM of MgCl2, 1 μM of primer, 0.2 μM of dNTPs mix, 1 unit of G2 Go-Taq Flexi polymerase (Promega) and 25 ng of DNA. A PCR program was done as follows: an initial denaturing at 94 °C for 3 min, and then 35 cycles of 94 °C for 1 min, 50 °C for 1 min and 72 °C for 2 min; the final elongation was carried out for 5 min. The electrophoresis of all PCR products was done on 1.5% agarose gels, then visualized using the Gel Doc XR+ Gel Documentation System (Bio-Rad Laboratories, Inc., Hercules, CA, USA).

2.2.3. SCoT Analysis

The SCoT PCR amplification was performed according to Collard and Mackill-b [29]. Eight SCoT primers were applied on the nine DNA tomato samples. The PCR reaction mixtures were 25 μL including 1X PCR reaction buffer, 1.5 mM of MgCl2, 0.2 μM of dNTPs mix, 1 μM of primer, 1 unit of G2 Go-Taq Flexi polymerase (Promega) and 30 ng of DNA. A PCR program was set as follows: an initial denaturing at 94 °C for 3 min, and then 35 cycles (94 °C for 1 min, 50 °C for 1 min and 72 °C for 90 s) and a final elongation step at 72 °C for 7 min. The PCR products were resolved using 1.5% agarose gel electrophoresis, then visualized using the Gel Doc XR+ Gel Documentation System (Bio-Rad Laboratories, Inc.).

2.2.4. Data Analysis

For the molecular data analysis, only the clear and distinguishable amplicons were visually scored to minimize the errors. The amplicons were scored as (1) for present or (0) for absent to construct a binary data matrix. The percentage of polymorphism was computed by dividing the number of polymorphic bands by the total number of amplicons for each primer or primer mixture. To determine the genetic similarity levels, Jaccard’s coefficient was used [30]. The UPGMA-based phylogenetic tree was constructed for the two gene-targeting marker techniques and finally visualized using the Interactive Tree of Life (iTOL) online tool [31]. Principal component analysis (PCA) was calculated using a D center module [32].

2.3. Greenhouse Experiment

2.3.1. Growth Conditions

Tomato plants were transplanted in plastic to a greenhouse (6 × 40 m) in 6 L black plastic pots filled with a 1:1:1 mixture of peat moss, vermiculite and perlite during 2017/2018 and 2018/2019 winter seasons at the Faculty of Agriculture, Cairo University, Giza, Egypt. Nutrients in kg ha–1 (315 N, 225 P, and 450 K) required by tomato plants were provided during growth season. The average temperature during plant growth was 26/19 °C (day/night), and the mean relative humidity was 65–75%. The average photon flux density was 800–1000 µmol m−2 s−2 during the two growing seasons.

2.3.2. Salinity Treatments

Twenty days after transplantation, the three levels of saline treatments which contained 0, 100 and 200 mM NaCl (El-Nasr pharmaceutical chemical company, Obour, Egypt) were applied with a nutrient solution. The application of saline treatments was continued until the end of the experiment (160 days after seedling transplantation). The mean electrical conductivities (ECs) of the nutrient solution (containing salt) for 0, 100 and 200 mM NaCl were 1.1, 7.2 and 13.8 dSm−1. Two factorial experiments with two factors (three levels of saline water and five lines) were conducted. A completely randomized design was used for the treatments and each treatment was replicated six times.

2.3.3. Plant Growth and Yield

Tomato growth parameters; including plant height, plant fresh, leaf number and dry weight, and chlorophyll content using a SPAD meter (SPAD 502 Minolta Co, Osaka, Japan), were measured 40 days after the salt treatment application. The height of the tomato plant was measured from the soil surface to the highest growing tip. Three SPAD readings were taken around the tomato’s fourth leaf and the average was calculated. Fruits were harvested at the red color stage. The total fruit yield per plant was calculated.

2.3.4. Determination of Chlorophyll A and B and Ascorbic Acid

Ten fruits of tomato were selected randomly to measure the following chemical compositions. Chlorophyll a (Chl a) and b (Chl b) were measured according to Strain and Svec [33]. Ascorbic acid (AA) content of red-ripe fruits was assayed using a titrimetric method with 2, 6-dichlorophenol indophenol according to Association of Official Analytical Chemistry 967.21. The results were expressed as mg equivalent/100 g fresh weigh (mg 100 g−1 FW).

2.3.5. Determination of Total Soluble Solid Content and Firmness

Total soluble solid (TSS) of tomato juice extract was estimated using a digital refractometer (model PR101, Co. Ltd., Tokyo, Japan. Firmness was determined in ripe fruits using a Force Gauge Model M4-200 (ELECTROMATIC Equipment Co., Inc. Cedarhurst, NY, USA) with a 1-mm diameter flat probe. Firmness readings of tomato fruits were taken at two opposite points of the equatorial region and expressed in Newtons. Four fruits per replicate were selected to determine the firmness.

2.3.6. Determination of Minerals

After 40 days of salt treatments, the fifth leaf of five tomato plants was selected randomly and was ground in liquid nitrogen and then conserved in −80 °C freezer for chemical analysis.
Essential elements (N, P, K, Ca, Mg, Fe, Zn, and Na) were assessed on the freeze-dried tomato leaves. The acidic digestion of 0.5 g tomato leaves with mixed solutions consists of sulfuric and perchloric acids. The mixture was heated at 50 °C for 10 min. 0.5 mL perchloric acid was added and heating continued till a clear solution was obtained. The total nitrogen content of the dried leaves was assessed using the Kjeldahel method, according to A.O.A.C (1990). Phosphorus (P) in leaf tissue was assessed colorimetrically using the chlorostannous molybdophosphoric blue color method in sulfuric acid. Potassium (K) content were determined using the flame photometer apparatus (CORNING M 410, Essex, UK). The content of Ca, Mg, Fe, Zn and Na were estimated using an Atomic Absorption Spectrophotometer with air-acetylene fuel (Pye Unicam, model SP-1900, US).

2.3.7. Leaf Proline, Gibberellic Acid, and Abscisic Acid Content

Proline content was assessed according to Bates et al. [34] method. 1 g of freeze-dried samples was homogenized in 10 mL 3% (w/v) Solphosalicylic acid. The solutions were filtered through filter paper (Whatman, No.1). Next, 2 mL ninhydrin acid agent and acetic acid were added to a filtered solution. Tubes were boiled in a water bath at 100 °C for 1 h. Then, 4 mL toluene was added and kept in tubes for 20 s. The colored fractions were read at a wavelength of 520 nm. Praline concentration was measured using a standard curve and expressed as µg.Kg−1 FW.
The concentration of gibberellic acid and abscisic acid content in tomato leaves was determined by the method described by Fales et al. [35]. Freeze-dried tomato samples were powdered and then fine material was mixed with methanol (80% v/v, 15 mL/g) and butylated hydroxy toluene at 4 °C in darkness. Further details of the extraction, determination and quantification of Gibberellic acid (GA) and abscisic acid (ABA) are reported elsewhere [8,9].

2.3.8. Antioxidant Enzymes

The activity of POD (peroxidase, EC 1.11.1.7) and APX (ascorbate peroxidase, EC 1.11.1.7) were measured using the García-Limones method [36]. The enzymes in freeze-dried leave samples were extracted according to the procedure described by Wang et al. [37]. The concentration of soluble protein in the leaf samples was determined according to the Bradford method. Dehydroascorbate reductase (DHAR, EC 1.8.5.1) activity was assessed spectrophotometrically (Hitachi U-1100 spectrophotometer, Japan) at 265 nm according to the method reported by Baier et al. [38].

2.4. Statistical Analyses

The data were statistically analyzed by ANOVA using the SPSS software program (version 16.0 for Windows, Chicago, IL, USA). Two factors were considered (salt treatments and rootstocks) for analysis. An ANOVA test was performed to assess the main effect of each factor and their interactions. Means were separated by Tukey’s multiple range test at a 5% significance level.

3. Results

3.1. Analysis of CDDP and SCoT

Investigation of the genetic diversity and evaluation of the degree of polymorphism between the nine tomato genotypes was done using twelve CDDP (Table S1) and 8 SCoT primers (Table S2). For CDDP analysis, a total of 239 amplicons were obtained, 67 of which were polymorphic (28%). The total number of amplicons per primer ranged from 17 (primer CDDP–5) to 23 (primer CDDP–10). The total number of polymorphic amplicons per primer ranged from 3 (primer CDDP–11) to 7 (primers CDDP–2, 4 and 7), with percentages of polymorphism ranging from 16.7% (primer CDDP–11) to 35% (primers CDDP–4 and CDDP–7). The average number of amplicons/primer was 19.9, while the average number of polymorphic amplicons/primer was 5.6 (Table 1).
For SCoT analysis, a total of 144 scorable bands were obtained, 71 of which were polymorphic (49.3%). The total number of amplicons per primer ranged from 13 (primer SCoT-9) to 23 (primer SCoT-1), while the total number of polymorphic amplicons per primer ranged from 6 (primer SCoT-9) to 11 (primers SCoT-1) with percentages of polymorphism ranging from 45.0% (primer SCoT-5) to 60.0% (primers SCoT-7). The average number of amplicons/primer was 12.0, while the average number of polymorphic amplicons/primer was 5.9 (Table 1).

3.2. Molecular Phylogeny Analysis

Phylogenetic trees based on UPGMA analysis of SCoT, CDDP and combined data were developed for the nine tomato cultivars/hybrids. For CDDP analysis, the phylogenetic tree comprised three main clusters. The first and second clusters included accessions LA3847 and LA2661, respectively. The third cluster split into two main sub-clusters; the first sub-cluster comprised only the LA3120 accession, while the second sub-cluster divided into two branches. The first branch includes only the LA1310 accession, while the second branch contains the last five accessions g(LA1995, LA2711, LA2485, LA3845 and Bark) that were the most genetically similar (Figure 1B). Furthermore, the PCA analysis exhibited comparable results to the dendrogram. The PCA layout revealed that the most genetically similar accessions (LA1995, LA2711, LA2485, LA3845, and Bark) were grouped similarly to those shown in the cluster analysis (Figure 1B,E).
For SCoT, the dendrogram comprised three main clusters; the first and second clusters included accessions LA3120 and LA1310, respectively. The third cluster divided into two main sub-clusters. The first sub-cluster involved only the LA2661 accession, while the second sub-cluster divided into two branches. The first branch includes only the LA3847 genotype, while the second branch contains the last five accessions (LA1995, LA2711, Bark, LA3845 and LA2485) that were the most genetically similar (Figure 1C). The PCA analysis of SCoT data exhibited similar results to the SCoT dendrogram. The PCA topology indicated that the most genetically similar accessions (LA1995, LA2711, Bark, LA3845 and LA2485) remained similarly grouped to those shown in the cluster analysis (Figure 1C,F).
For the combined data (CDDP and SCoT), the molecular phylogeny analysis of the nine tomato genotypes using the two marker systems revealed that two dendrograms exhibiting different topologies with high similarities. The scoring data from CDDP and SCoT were merged and analyzed to show deeper relationships based on more comprehensive genome coverage. The combined dendrogram comprised three main clusters with a topology that highly matched the CDDP dendrogram. The first and second clusters included accessions LA2661 and LA3847, respectively. Moreover, the third cluster divided into two main sub-clusters; the first sub-cluster comprised only the LA3120 accession, while the second sub-cluster divided into two branches. The first branch involved only the LA1310 accession, while the second branch included the last five accessions (LA1995, LA2711, LA2485, LA3845 and Bark) that were the most genetically similar (Figure 1A). Furthermore, the PCA developed based on the combined data exhibited comparable results to the cluster analysis. The topology of the combined data PCA showed consistent results with CDDP, in which the most genetically similar accessions (LA1995, LA2711, LA2485, LA3845, and Bark) remained grouped (Figure 1A,D).
On the other hand, the binary scoring generated from CDDP, SCoT and combined analysis were used to calculate Jaccard’s similarity matrices (Table 2, Table 3 and Table 4, respectively). The values within the CDDP, SCoT and combined similarity matrices ranged from 65 to 100%, 64 to 100% and 65 to 100%, respectively.

3.3. Plant Growth

All measured plant growth parameters were significantly affected by the salt treatments and rootstocks (Table 5). No significant interactions between salt treatments and rootstocks were observed except plant fresh weight. Significant reductions occurred in plant height, the number of branches, SPAD reading, plant fresh weight and plant dry weight by increasing salinity levels (Figure 2A–D). As shown in Figure 2A–C, plants grafted onto all tested rootstocks (LA2711, LA1995, LA3845, and LA4285) have higher values of plant height, number of branches, and SPAD reading than plants grafted on themselves (control plants, Bark hybrid). Rootstocks LA1995 and LA4285 showed 44% and 40% higher plant dry weight than Bark hybrid (Figure 1D). Besides, no significant differences were recorded between the other two rootstocks (LA2711 and LA3845) and the Bark hybrid. Plant fresh weight was significantly affected by salinity levels, rootstocks, and their interaction (Table 6). Plants grafted onto all rootstocks recorded significantly higher fresh weight at the low and high salt concentrations (100 and 200 mM NaCl) than Bark hybrid.
All measured tomato roots parameters were significantly affected by the salt treatments and rootstocks, while their interaction was not statistically significant (Table 7). Root length, fresh weight and dry weight were significantly decreased by increasing salt concentrations (Figure 3A–C). Plants grafted onto all tested rootstocks have a taller root length and higher root fresh weight than the Bark hybrid. Rootstocks LA1995 and LA4285 showed higher root dry weight than other rootstocks and Bark hybrids.

3.4. Yield and Its Compounds

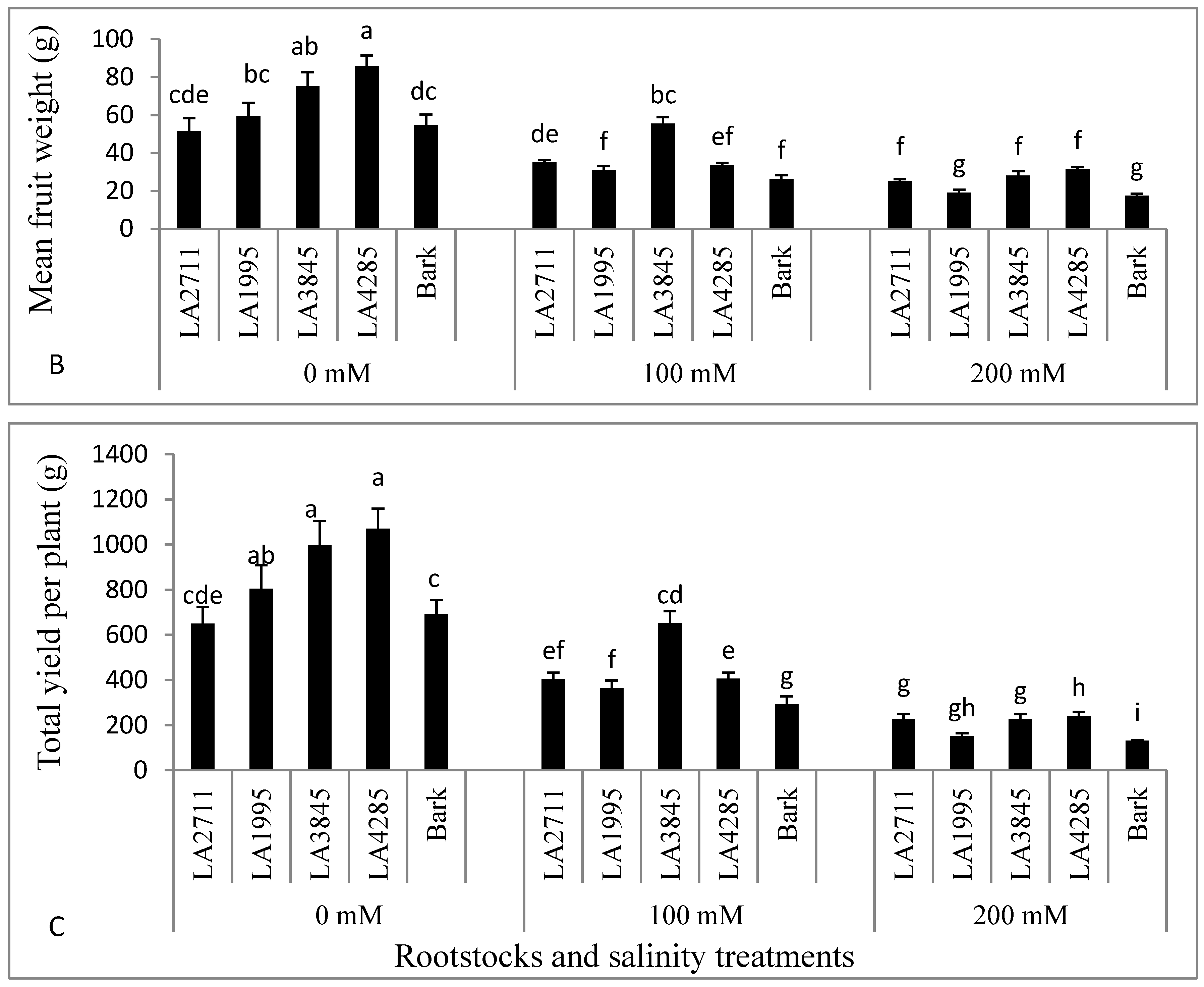
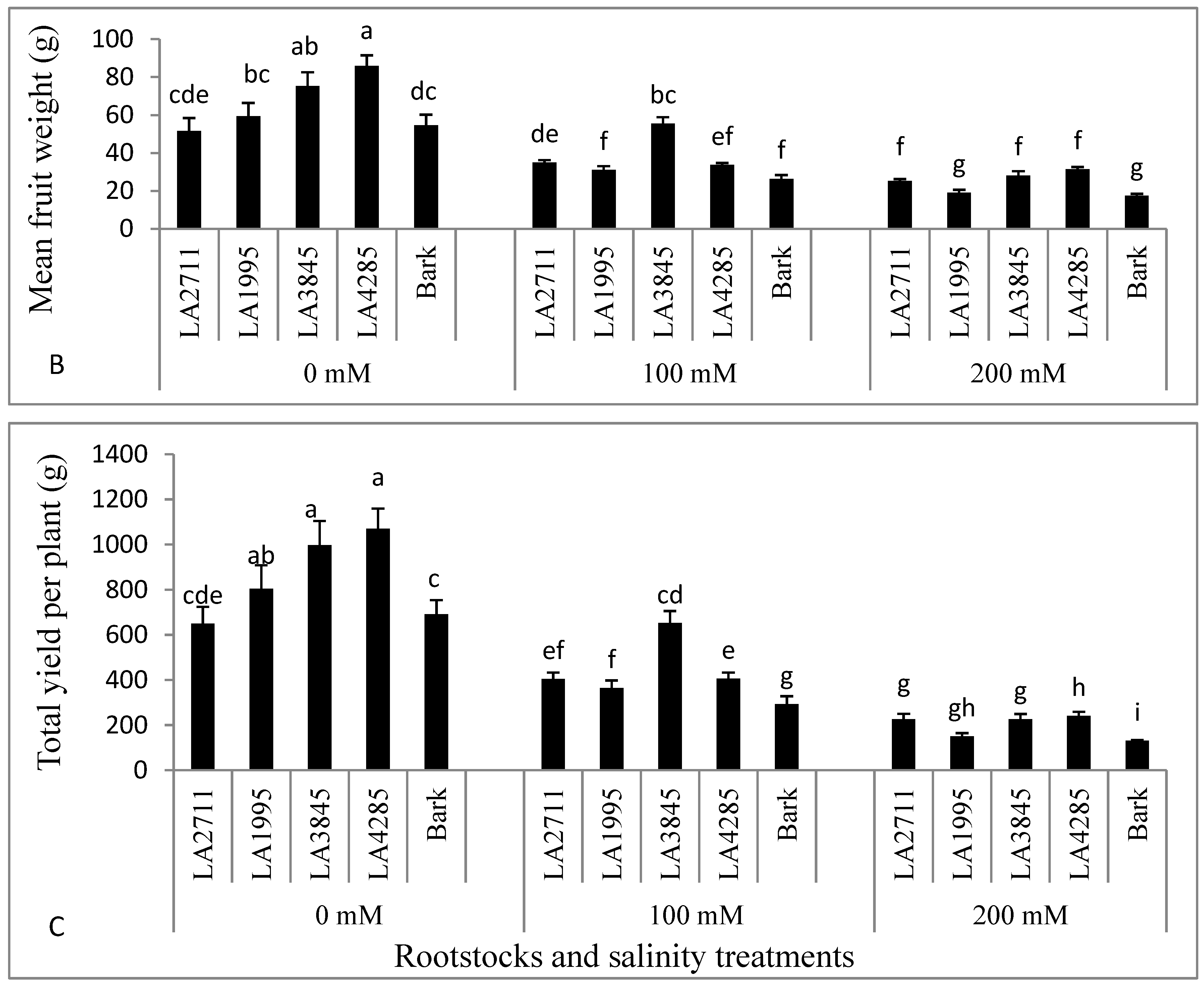
Fruit number, the main fruit weight and total yield per plant were significantly decreased with increasing salinity levels (Table S3). Plants grafted onto all rootstocks recorded significantly higher fruit numbers than the Bark hybrid. Rootstocks LA3845 and LA4285 recorded the highest mean fruit weight and total yield per plant without significant difference. On the other hand, neither rootstock LA2711 nor LA1995 were significantly different in mean fruit weight and total yield per plant in comparison with Bark hybrid. No significant differences among rootstocks in the number of fruits were observed using 0 and 100 mM NaCl, while Bark hybrid showed the lowest values using 200 mM NaCl (Figure 4A). The highest mean fruit weight was recorded in rootstocks LA4285 and LA3845 at the salinity level of 0 and 100 mM NaCl (Figure 4B). Also, under the 200 mM level, all rootstocks showed higher mean fruit weight than Bark hybrid except rootstock LA1995. Plants grafted onto rootstocks LA1995, LA3845 and LA4285 had a higher total yield per plant, whereas at 100 and 200 mM, all rootstocks recorded higher values than Bark hybrid (Figure 4C). The lowest number of fruits was observed in Barak rootstock at 200 mM NaCl (Figure 4A). The highest mean fruit weight was recorded in rootstock LA4285 in non-saline water, while the lowest values were recorded in rootstocks Bark and LA1995 in 200 mM NaCl (Figure 4B). The highest total yield per plant was obtained from plants grafted on rootstocks LA3845 and LA4285 and irrigated with non-saline water (Figure 4C). On the other hand, Bark rootstock showed a lower total yield at 200 mM NaCl level.

3.5. Quality of Tomato Fruits

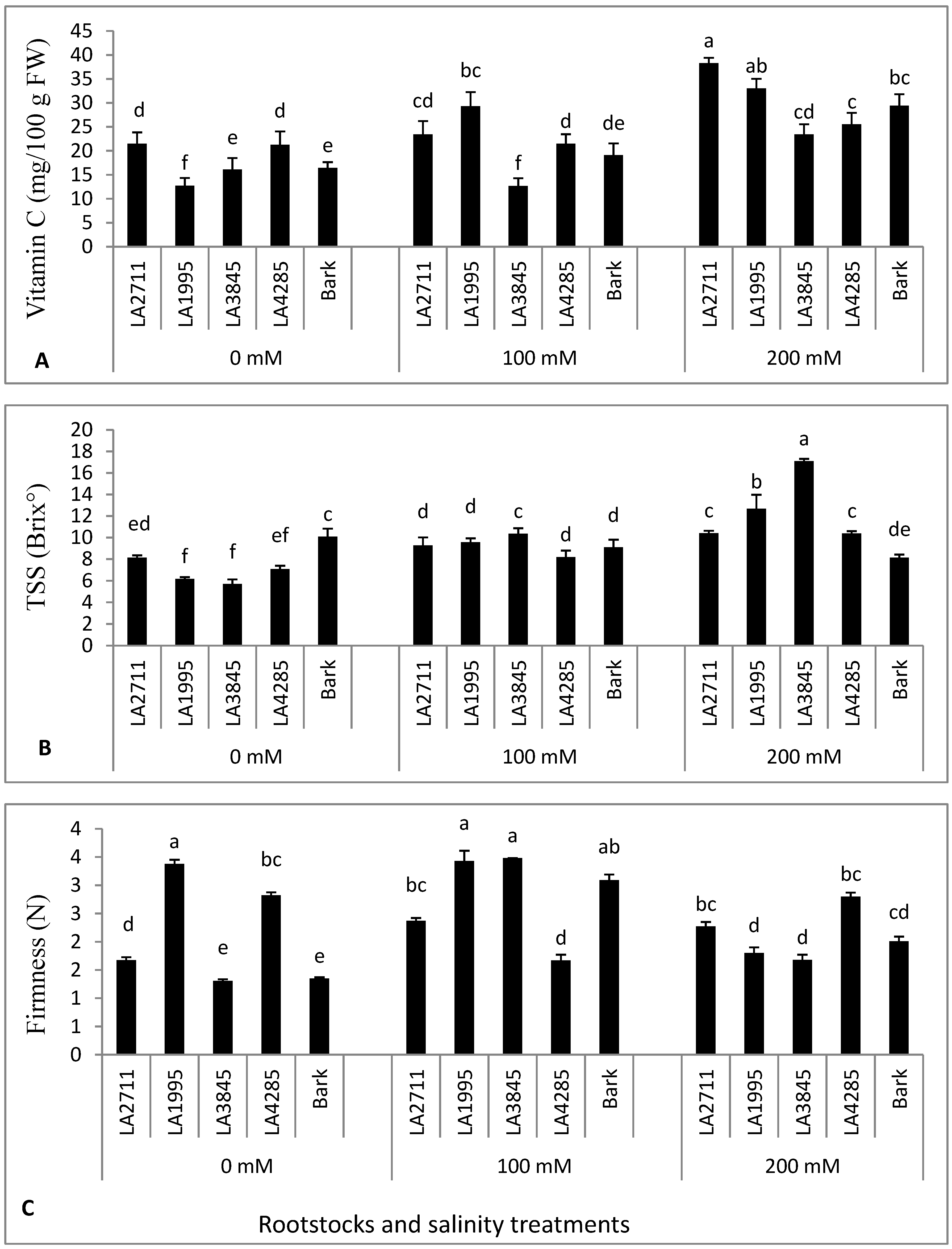
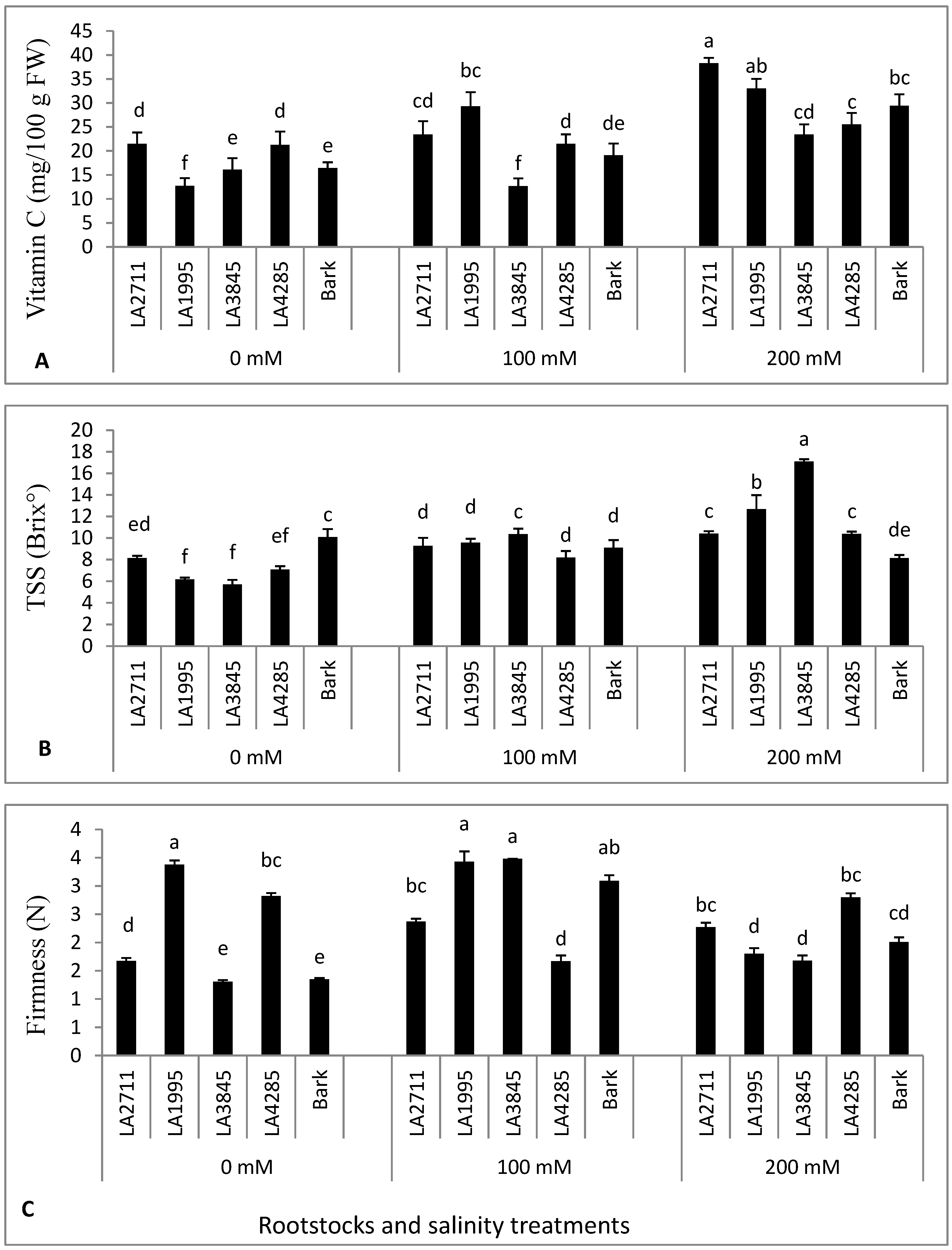
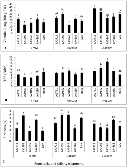
Vitamin C, TSS, and firmness of tomato fruits were significantly influenced by salinity levels, rootstocks and their interaction (Table 8). Vitamin C and TSS were increased dramatically by increasing salt levels. The firmness of fruits was increased by increasing salt level until 100 mM NaCl and then decreased at 200 mM NaCl level. Tomato fruits harvested from rootstocks LA2711 and LA1995 showed significantly higher vitamin C content than other tested rootstocks. The higher TSS content was recorded from rootstock LA3845 compared with other rootstocks. Related to fruit firmness, no significant differences were recorded among rootstocks. Interactions were marked by a higher vitamin C for rootstock LA2711 and TSS for rootstock LA3845 at 200 mM NaCl than other rootstocks (Figure 5A,B). Firmer fruits were recorded for rootstock LA1995 (at non-saline water) and both rootstocks LA1995 and LA3845 at 100 mM NaCl (Figure 5C).

3.6. Mineral Content in Tomato Shoots

All associated mineral characteristics were significantly affected by the salinity treatments, rootstocks and their interactions (Table 9 and Table 10). NaCl stress significantly decreased N, P, K, Ca, Mg, Fe and Zn concentrations in tomato shoots while the Na concentration was increased. Plants grafted onto all tested rootstocks accumulated more minerals (except Na) than Bark rootstock. No significant difference was found in Na concentration for all tested rootstocks (Table 10). Meaningful interactions were found between salinity levels and rootstocks for all measured minerals (Figure 6 and Figure 7). At zero NaCl treatment, plants grafted onto rootstock LA2711 had higher shoots minerals concentration. In comparison, rootstock Bark had a lower concentration of measured minerals at 200 mM NaCl than all other rootstocks.

3.7. Plant Hormones and Antioxidant Enzymes in Tomato Shoots

Since NaCl and grafting treatments induced a different change in the chemical composition and the number of minerals in tomato plants’ tissues, we then studied changes in the activity of the most important hormones and antioxidant enzymes, including GA3, ABA, APX, POD and DHAR in response to NaCl stress and grafting (Table 11). GA3 content was higher in salt-treated plants than that in control. Also, rootstock Bark had the lowest GA3 content. ABA content showed no significant change at the control and high salt level (200 mM), whereas it increased at 100 mM NaCl. Higher activity of APX was recorded at 100 and 200 mM NaCl compared with non-saline water (control). There was a significant interaction between salinity levels and rootstocks for all measured hormones, antioxidants and proline (Figure 8).
Moreover, rootstock LA2711 had lower APX activity than other rootstocks. POD activity was increased by salt treatment. Besides, there were no significant differences in POD activity between the low and high salt levels. Moreover, rootstock LA2711 had lower POD activity than other rootstocks. The activity of DHAR in tomato shoots increased with increasing NaCl concentration. Moreover, rootstock LA2711 had lower DHAR activity than other rootstocks.

3.8. Proline Content

The content of proline increased with increasing NaCl stress (Table 11). Rootstocks LA2711 and Bark had lower proline than other rootstocks (Figure 8F).

4. Discussion

For the first time in this study, the genetic diversity between wild accessions and commercial cultivars/hybrids of tomato in terms of their salinity tolerance was analyzed using two modern functional markers (SCoT and CDDP). Genome-wide conserved regions across diverse plant species have sped the development of several functional markers such as CDDP and SCoT. These marker systems employ longer primers (15- to 19-mer) with higher annealing temperatures, which gives them more reproducibility and reliability than other random marker systems such as DAF or RAPD. Furthermore, they focus on coding regions, which makes them preferable over random markers in genome mapping applications [29]. Collard and Mackill-b [30] used conserved regions within groups of well-known plant gene families mainly involved in response to abiotic and biotic stresses or plant developmental stages to design CCDP primers. Conclusively, several reports advised employing the CDDP and SCoT markers in genetic analyses because they were developed based on functional regions of the genome with great expectations to be highly useful in crop improvement programs [39].
Based on the obtained results, the two marker systems successfully differentiated between the nine tomato genotypes, although the percentage of polymorphism for ScoT was higher than CDDP (49.3% and 28%, respectively). Although, these results indicated that SCoT was more capable of discriminating between the tested genotypes than CDDP. Simultaneously, in terms of salinity tolerance, the CDDP was found to be more precise to cluster the five accessions (LA1995, LA2711, LA2485, LA3845, and Bark) characterized by better performance under salinity condition. This relatively high degree of precision may be because CDDP utilizes conserved regions of well-known plant gene families mainly involved in response to abiotic and biotic stresses. Our obtained results agree with the findings of two independent studies on durum wheat and chickpea, which also reported that CDDP markers proved superior over SCoT in studying genetic diversity across different durum or chickpea accessions [40,41]. Also, Poczai et al. [42] reported that the CDDP marker had higher reproducibility than other traditional arbitrary markers. The technique could easily generate functional markers related to a given plant phenotype.
The tomato plant is classified as a moderate salt-tolerant crop. There are many considerable variations among its genotypes. Plant growth is an ideal index for evaluating various abiotic stresses on the plant. In the current study, shoot and root measured growth parameters of tomato plants decreased with increasing salt stress. Similar results have been obtained in previous studies [5,43]. Our results, in Figure 3, indicated that root growth was negatively affected by salt stress, which affects foliage growth, in Figure 2, plus water and ion uptake [44]. All tested grafted rootstocks showed higher values of plant and root growth compared with the commercial hybrid. These rootstocks have the capability to enhance the salt tolerance of grafted tomato plants.
The harmful effects of saline stress on vegetative and root growth of plants might be due to the presence of some ion toxicity such as Na+ and Cl, which create an ionic imbalance inside the plant cells (Chaichi et al. 2017 and our results in Table 10), restriction of plant growth [45] and a reduction in photosynthesis [46]. In this study, the high concentration of Na+ recorded in the shoots of tomato plants under salt stress may be due to an increase in Na+ accumulation in cellular vacuoles to achieve osmotic balance and allow the ideal photosynthesis operation of the tomato leaves [47].
In the current study, the highest number of fruits, mean fruit weight, and total yield per plant was obtained with the control treatment (non-saline water), while the lowest values were obtained with the highest salt treatments (sub.3). Tomato fruit yield can be reduced either by a decrease in fruit weight or the number of fruit [44]. The reduction of yield could be explained by the fact that high NaCl concentration decreases water potential in plants, which reduces water flow into fruit and limits the rate of fruit expansion [48]. Moreover, decreased mean fruit weight could also be explained by an accumulation of Na+ in plant tissue as supported by our results in Table 10 and Incrocci et al. [49]. LA3845 and LA4285 grafted rootstocks have higher total yield compared with control grafted rootstock (Bark).
Our results presented in Table 8 and previous studies have exposed that tomato fruit quality such as TSS, vitamin C and firmness is affected in fruit from tomato plants irrigated with saline water [44]. Despite the decrease of tomato yield irrigated with saline water, tomato fruit quality increased under saline conditions [5]. Total soluble solids content in tomato fruits is considered to be one of the most critical factors influencing tomato quality. Our findings in Figure 5B showed that TSS increased with increasing NaCl levels. Previous works have been reported that high levels of NaCl increased TSS content in tomato fruits [2,50]. This result could be due to lower fruit water content, as irrigation high salt level leads to increases in percentage of TSS [51] or the adaptation of tomato plants to saline stress by increasing TSS in tomato fruits [43].
The firmness of tomato fruits increased significantly (Figure 5C) with increasing water salinity. The same result was observed by El-Mogy et al. [2] and Abdelgawad et al. [5], which supports the results of this study. Increases in firmness with increasing salt stress could either be due to that salinity firming tomato skin resulting in increases in its thickness [52] or the presence of smaller cells with thicker walls in the pericarp of tomato fruits grown under salt stress [53].
Ascorbic acid is considered to be one of the most important antioxidant compounds for human health. Our results in Table 8 support the hypothesis that vitamin C increased with high salinity levels (100 and 200 mM NaCl). The same trend was reported by Marín et al. [54], who found that the increase of nutrient solution salinity resulted in a rise in vitamin C content in red pepper fruit.
In the current study, the content of N, P, K, Ca, Mg, Fe and Zn in tomato shoots was lower under salinity stress (Table 9 and Table 10). On the other hand, in Table 5, Na content was higher in plants irrigated with saline water (100 and 200 mM NaCl). Chaichi et al. [55] and Zhu et al. [56] indicated that the N, K, Ca and Mg contents in the aerial part of tomato plant were decreased at the high salinity level compared to the lower salinity level. It was reported that a shortage of mineral absorbance is negatively affecting the metabolic functions in plants [57]. The results in Figure 2 and Figure 3 show a reduction in tomato plant growth (shoots and roots) and yield is due to the reduction of mineral absorbance under salinity stress. The higher Na content in plants that received saline water could be due to the accumulation of this element inside vacuoles to decrease cell water potential [47]. Gibberellin (GA3) controls several important physiochemical processes inside plants, such as cambium activity, xylem fiber expansion and secondary growth [58].
In general, abiotic stresses including salinity, drought and wounding increase abscisic acid ABA biosynthesis. As in this study (Table 11), previous research has shown that ABA concentration is increased in tomato shoots under saline stress [59]. This result might be due to ABA’s role in preventing water loss via transpiration and maintaining the water content of plant leaf [58].
In this study, peroxidase activity (POD) increased with increasing salt stress (Table 11). This result agrees with Rahnama and Ebrahimzadeh [60], suggesting that POD was increased significantly at 100 mM NaCl in potato seedling leaves. It has been well known that ascorbate peroxidase (APX) is one of the major antioxidant enzymes involved in the ascorbate-glutathione cycle, which has a vital role in protecting the plants against salt stress and acting as reactive oxygen species (ROS) scavengers [61]. Our results in Table 11 indicated that APX activity in plant shoots was increased at high salt levels. The same results have been obtained in previous studies such as Mittova et al. [62] and Murshed et al. [63] in tomato. The increasing APX activity in tomato plant shoots under salt stress is one of the plant defense mechanisms that can recover the damage in tissue metabolism and the toxic levels of H2O2 [64].
Abiotic stress, including salinity, is also responsible for ROS’s overproduction, which induces oxidative stress in plants [65]. Dehydroascorbate reductase (DHAR) is one of the ROS scavengers in plants; produced under salinity stress to recover ROS overproduced. Our findings in Table 11 showed that DHAR activity increased with increasing water salinity at a 100 and 200 mM NaCl concentration. This finding is supported by previous studies [66,67].
Non-enzymatic low molecular metabolites such as proline are acting as ROS scavengers. Accumulation of porline in plant tissues under salinity stress is counteracting ROS toxicity [68]. In this study, proline content in plant shoots was significantly increased with increasing salinity stress (Table 11). Our results agree with Kahlaoui et al. [69], who found that proline content in tomato increased with increasing salt levels.
Our results suggest that grafting is an alternative technique for enhancing salt tolerance in tomato plants. Under saline stress conditions, plant growth and fruit yield of most graft combinations were significantly higher than that of the commercial hybrid Barak on its rootstock.

Supplementary Materials

The following are available online at https://www.mdpi.com/2073-4395/10/12/1948/s1, Table S1: Conserved DNA sequence targets and primer sequences and details title, Table S2: Primer code and primer sequences of the SCoT primers, Table S3: Effect of salinity treatments, rootstocks, and their interactions on yield and its compounds.

Author Contributions

Conceptualization, M.M.E.-M. and E.A.A.; methodology, H.R.L.A.; software, M.A.M.A.; validation, M.M.E.-M., E.A.A. and M.A.M.A.; formal analysis, M.A.M.A.; investigation, H.R.L.A.; resources, H.R.L.A.; data curation, E.A.A.; writing—original draft preparation, M.M.E.-M.; writing—review and editing, E.A.A.; visualization, M.M.E.-M.; supervision, M.M.E.-M.; project administration, M.M.E.-M.; funding acquisition, M.M.E.-M. All authors have read and agreed to the published version of the manuscript

Funding

This research was funded by CAIRO UNIVERSITY, grant number: 16–57.

Acknowledgments

We appreciate the finically support from Cairo University to the Vegetable Crops Department, Faculty of Agriculture—Cairo University, Giza, Egypt. Thanks also to Karima Abdelgawad for her valuable comments and revision.

Conflicts of Interest

The authors declare no conflict of interest.

References

  1. Ballon-Landa, E.; Parsons, J.K. Nutrition, physical activity, and lifestyle factors in prostate cancer prevention. Curr. Opin. Urol. 2018, 28, 55–61. [Google Scholar] [CrossRef] [PubMed]
  2. El-Mogy, M.M.; Garchery, C.; Stevens, R. Irrigation with saltwater affects growth, yield, fruit quality, storability and marker-gene expression in cherry tomato. Acta Agric. Scand. Sect. B Soil Plant Sci. 2018, 68, 727–737. [Google Scholar]
  3. Atia, M.A.; Abdeldaym, E.A.; Abdelsattar, M.; Ibrahim, D.S.; Saleh, I.; Abd Elwahab, M.; Abdelaziz, M.E. Piriformospora indica promotes cucumber tolerance against Root-knot nematode by modulating photosynthesis and innate responsive genes. Saudi J. Biol. Sci. 2020, 27, 279–287. [Google Scholar] [CrossRef] [PubMed]
  4. Vwioko, E.D.; El-Esawi, M.A.; Imoni, M.E.; Al-Ghamdi, A.A.; Ali, H.M.; El-Sheekh, M.M.; Abdeldaym, E.A.; Al-Dosary, M.A. Sodium azide priming enhances waterlogging stress tolerance in Okra (Abelmoschus esculentus L.). Agronomy 2019, 9, 679. [Google Scholar] [CrossRef]
  5. Abdelgawad, K.F.; El-Mogy, M.M.; Mohamed, I.A.M.; Garchery, C.; Stevens, R. Increasing ascorbic acid content and salinity tolerance of cherry tomato plants by suppressed expression of the ascorbate oxidase gene. Agronomy 2019, 9, 51. [Google Scholar] [CrossRef]
  6. Singh, H.; Kumar, P.; Kumar, A.; Kyriacou, M.C.; Colla, G.; Rouphael, Y. Grafting tomato as a tool to improve salt tolerance. Agronomy 2020, 10, 263. [Google Scholar] [CrossRef]
  7. Boari, F.; Donadio, A.; Pace, B.; Schiattone, M.I.; Cantore, V. Kaolin improves salinity tolerance, water use efficiency and quality of tomato. Agric. Water Manag. 2016, 167, 29–37. [Google Scholar] [CrossRef]
  8. Abdelaziz, M.E.; Abdeldaym, E.A. Effect of grafting and different ec levels of saline irrigation water on growth, yield and fruit quality of tomato (lycopersicon esculentum) in greenhouse. Plant Arch. 2019, 19, 3021–3027. [Google Scholar]
  9. Abdelaziz, M.E.; Abdelsattar, M.; Abdeldaym, E.A.; Atia, M.A.; Mahmoud, A.W.M.; Saad, M.M.; Hirt, H. Piriformospora indica alters Na+/K+ homeostasis, antioxidant enzymes and LeNHX1 expression of greenhouse tomato grown under salt stress. Sci. Hortic. 2019, 256, 108532. [Google Scholar] [CrossRef]
  10. Mahmoud, A.W.M.; Abdeldaym, E.A.; Abdelaziz, S.M.; El-Sawy, M.B.; Mottaleb, S.A. Synergetic effects of zinc, boron, silicon, and zeolite nanoparticles on confer tolerance in potato plants subjected to salinity. Agronomy 2020, 10, 19. [Google Scholar] [CrossRef]
  11. Leogrande, R.; Lopedota, O.; Vitti, C.; Ventrella, D.; Montemurro, F. Saline water and municipal solid waste compost application on tomato crop: Effects on plant and soil. J. Plant Nutr. 2016, 39, 491–501. [Google Scholar] [CrossRef]
  12. Benazzouk, S.; Dobrev, P.I.; Djazouli, Z.-E.; Motyka, V.; Lutts, S. Positive impact of vermicompost leachate on salt stress resistance in tomato (Solanum lycopersicum L.) at the seedling stage: A phytohormonal approach. Plant Soil 2020, 446, 145–162. [Google Scholar] [CrossRef]
  13. Chanratana, M.; Joe, M.M.; Roy Choudhury, A.; Anandham, R.; Krishnamoorthy, R.; Kim, K.; Jeon, S.; Choi, J.; Choi, J.; Sa, T. Physiological response of tomato plant to chitosan-immobilized aggregated Methylobacterium oryzae CBMB20 inoculation under salinity stress. 3 Biotech 2019, 9, 397. [Google Scholar] [CrossRef] [PubMed]
  14. Li, Y.; Niu, W.; Cao, X.; Wang, J.; Zhang, M.; Duan, X.; Zhang, Z. Effect of soil aeration on root morphology and photosynthetic characteristics of potted tomato plants (Solanum lycopersicum) at different NaCl salinity levels. BMC Plant Biol. 2019, 19, 331. [Google Scholar] [CrossRef] [PubMed]
  15. Abuarab, M.E.; El-Mogy, M.M.; Hassan, A.M.; Abdeldaym, E.A.; Abdelkader, N.H.; El-Sawy, M.B.I. The effects of root aeration and different soil conditioners on the nutritional values, yield, and water productivity of potato in clay loam soil. Agronomy 2019, 9, 418. [Google Scholar] [CrossRef]
  16. Alam, M.; Khan, M.A.; Imtiaz, M.; Khan, M.A.; Naeem, M.; Shah, S.A.; Ahmad, S.H.; Khan, L. Indole-3-acetic acid rescues plant growth and yield of salinity stressed tomato (Lycopersicon esculentum L.). Gesunde Pflanzen 2020, 72, 87–95. [Google Scholar] [CrossRef]
  17. Souri, M.K.; Tohidloo, G. Effectiveness of different methods of salicylic acid application on growth characteristics of tomato seedlings under salinity. Chem. Biol. Technol. Agric. 2019, 6, 26. [Google Scholar] [CrossRef]
  18. Zhang, Z.; Cao, B.; Gao, S.; Xu, K. Grafting improves tomato drought tolerance through enhancing photosynthetic capacity and reducing ROS accumulation. Protoplasma 2019, 256, 1013–1024. [Google Scholar] [CrossRef]
  19. Yao, X.; Yang, R.; Zhao, F.; Wang, S.; Li, C.; Zhao, W. An analysis of physiological index of differences in drought tolerance of tomato rootstock seedlings. J. Plant Biol. 2016, 59, 311–321. [Google Scholar] [CrossRef]
  20. Santa-Cruz, A.; Martinez-Rodriguez, M.M.; Perez-Alfocea, F.; Romero-Aranda, R.; Bolarin, M.C. The rootstock effect on the tomato salinity response depends on the shoot genotype. Plant Sci. 2002, 162, 825–831. [Google Scholar] [CrossRef]
  21. Talebi, R.; Fayaz, R.; Mardi, M.; Pirsyedi, S.M.; Naji, A.M. Genetic relationships among chickpea (Cicer arietinum) elite lines based on RAPD and agronomic markers. Int. J. Agric. Biol. 2008, 8, 1560–8530. [Google Scholar]
  22. Osuna-Martínez, U.; Reyes-Esparza, J.; Rodríguez-Fragoso, C. (Opuntia ficus-indica): A review on its antioxidants properties and potential pharmacological use in chronic diseases. Nat. Prod. Chem. Res. 2014, 2–6. [Google Scholar] [CrossRef]
  23. Butterworth, C.A. Phylogenetic Studies of Tribe Cacteae (Cactaceae) with Special Emphasis on the Genus Mammillaria. Ph.D. Thesis, Iowa State University, Ames, IA, USA, 2003. [Google Scholar]
  24. Solórzano, S.; Patricia, D.C.; Verónica, G.; Patricia, D. Genetic diversity and conservation of Mammillaria huitzilopochtli and M. supertexta, two threatened species endemic of the semiarid region of central Mexico. Rev. Mex. BioDivers. 2014, 85, 565–575. [Google Scholar] [CrossRef]
  25. Cecília de Fátima, C.B.R.; Elba, L.C.D.; Ulysses, P.D.; Maria, B.S.M. Medicinal plants popularly used in the Xingó region—A semi-arid location in Northeastern Brazil. J. Ethnobiol. Ethnomed. 2006, 2, 1–7. [Google Scholar]
  26. Mokhtar, M.M.; Atia, M.A.M. SSRome: An integrated database and pipelines for exploring microsatellites in all organisms. Nucleic Acids Res. 2019, 47, D244–D252. [Google Scholar] [CrossRef]
  27. Noctor, G.; Foyer, C. Ascorbate and glutathione: Keeping active oxygen under control. Annu. Rev. Plant Physiol. Plant Mol. Biol. 1998, 49, 249–279. [Google Scholar] [CrossRef]
  28. Collard, B.C.Y.; Mackill, D.J. Conserved DNA-derived polymorphism (CDDP): A simple and novel method for generating DNA markers in plants. Plant Mol. Biol. Rep. 2009, 27, 558–562. [Google Scholar] [CrossRef]
  29. Collard, B.C.; Mackill, D.J. Start codon targeted (SCoT) polymorphism: A simple, novel DNA marker technique for generating gene-targeted markers in plants. Plant Mol. Biol. Rep. 2009, 27, 86–93. [Google Scholar] [CrossRef]
  30. Atia, M.A.; Sakr, M.M.; Mokhtar, M.M.; Adawy, S.S. Development of sex-specific PCR-based markers in date palm. In Date Palm Biotechnology Protocols; Humana Press: New York, NY, USA, 2017; Volume II, pp. 227–244. [Google Scholar]
  31. Letunic, I.; Bork, P. Interactive tree of life v2: Online annotation and display of phylogenetic trees made easy. Nucleic Acids Res. 2011, 39, W475–W478. [Google Scholar] [CrossRef]
  32. Abouseadaa, H.; Atia, M.A.; Younis, I.Y.; Issa, M.Y.; Ashour, H.A.; Saleh, I.; Osman, G.H.; Arif, I.A.; Mohsen, E. Gene-targeted molecular phylogeny, phytochemical profiling, and antioxidant activity of nine species belonging to family Cactaceae. Saudi J. Biol. Sci. 2020, 27, 1649–1658. [Google Scholar] [CrossRef]
  33. Strain, H.H.; Svec, W.A. Extraction, separation estimation and isolation of chlorophylls. In The Chlorophylls; Vernon, L.P., Seely, G.R., Eds.; Academic Press: Cambridge, UK, 1966; pp. 21–66. [Google Scholar]
  34. Bates, L.S.; Waldren, R.P.; Teare, I.D. Rapid determination of free proline for water stress studies. Plant Soil 1973, 39, 205–207. [Google Scholar] [CrossRef]
  35. Fales, T.M.; Jaouni, J.F.; Babashak, I. Simple device for preparing ethereal diazomethane without resorting to codistillation. Ann. Chem. 1973, 45, 2302–2303. [Google Scholar] [CrossRef]
  36. García-Limones, C.; Hervás, A.; Navas-Cortés, J.A.; Jiménez-Díaz, R.M.; Tena, M. Induction of an antioxidant enzyme system and other oxidative stress markers associated with compatible and incompatible interactions between chickpea (Cicer arietinum L.) and Fusarium oxysporum f. sp. ciceris. Physiol. Mol. Plant Pathol. 2002, 61, 325–337. [Google Scholar] [CrossRef]
  37. Wang, N.; Qiao, W.; Liu, X.; Shi, J.; Xu, Q.; Zhou, H.; Yan, G.; Huang, Q. Relative contribution of Na+/K+ homeostasis, photochemical efficiency and antioxidant defense system to differential salt tolerance in cotton (Gossypium hirsutum L.) cultivars. Plant Physiol. Biochem. 2017, 119, 121–131. [Google Scholar] [CrossRef] [PubMed]
  38. Baier, M.; Noctor, G.; Foyer, C.; Dietz, K.-J. Antisense suppression of 2-cysteine peroxiredoxin in Arabidopsis specifically enhances the activities and expression of enzymes associated with ascorbate metabolism but not glutathione metabolism. Plant Physiol. 2000, 124, 823–832. [Google Scholar] [CrossRef] [PubMed]
  39. Zibaee, A.; Zibaee, I.; Sendi, J.J. A juvenile hormone analog, pyriproxifen, affects some biochemical components in the hemolymph and fat bodies of Eurygaster integriceps Puton (Hemiptera: Scutelleridae). Pestic. Biochem. Physiol. 2011, 100, 289–298. [Google Scholar] [CrossRef]
  40. Seyedimoradi, H.; Talebi, R.; Fayaz, F. Geographical diversity pattern in Iranian landrace durum wheat (Triticum turgidum) accessions using start codon targeted polymorphism and conserved DNA-derived polymorphism markers. Environ. Exp. Biol. 2016, 14, 63–68. [Google Scholar] [CrossRef]
  41. Hajibarat, Z.; Saidi, A.; Hajibarat, Z.; Talebi, R. Characterization of genetic diversity in chickpea using SSR markers, start codon targeted polymorphism (SCoT) and conserved DNA-derived polymorphism (CDDP). Physiol. Mol. Biol. Plants 2015, 21, 365–373. [Google Scholar] [CrossRef]
  42. Poczai, P.; Varga, I.; Laos, M.; Cseh, A.; Bell, N.; Valkonen, J.P.; Hyvönen, J. Advances in plant gene-targeted and functional markers: A review. Plant Methods 2013, 9, 1–31. [Google Scholar] [CrossRef]
  43. Abuarab, M.E.; Hafez, S.M.; Shahein, M.M.; Hassan, A.M.; El-Sawy, M.B.; El-Mogy, M.M.; Abdeldaym, E.A. Irrigation scheduling for green beans grown in clay loam soil under a drip irrigation system. Water SA 2020, 46, 573–582. [Google Scholar]
  44. Cuartero, J.; Fernández-Muñoz, R. Tomato and salinity. Sci. Hortic. 1998, 78, 83–125. [Google Scholar] [CrossRef]
  45. Zhu, J.K. Salt and drought stress signal transduction in plants. Annu. Rev. Plant Biol. 2002, 53, 247–273. [Google Scholar] [CrossRef] [PubMed]
  46. Psarras, G.; Bertaki, M.; Chartzoulakis, K. Response of greenhouse tomato to salt stress and K+ supplement. Plant Biosyst. Int. J. Deal. Asp. Plant Biol. 2008, 142, 149–153. [Google Scholar] [CrossRef]
  47. Munns, R.; Tester, M. Mechanisms of salinity tolerance. Annu. Rev. Plant Biol. 2008, 59, 651–681. [Google Scholar] [CrossRef] [PubMed]
  48. Johnson, R.W.; Dixon, M.A.; Lee, D.R. Water relations of the tomato during fruit growth. Plant Cell Environ. 1992, 15, 947–953. [Google Scholar] [CrossRef]
  49. Incrocci, L.; Malorgio, F.; Della Bartola, A.; Pardossi, A. The influence of drip irrigation or subirrigation on tomato grown in closed-loop substrate culture with saline water. Sci. Hortic. 2006, 107, 365–372. [Google Scholar] [CrossRef]
  50. Moya, C.; Oyanedel, E.; Verdugo, G. Increased electrical conductivity in nutrient solution management enhances dietary and organoleptic qualities in soilless culture tomato. HortScience 2017, 52, 868–872. [Google Scholar] [CrossRef]
  51. Al-Ismaily, S.S.; Al-Yahyai, R.A.; Al-Rawahy, S.A. Mixed fertilizer can improve fruit yield and quality of field-grown tomatoes irrigated with saline water. J. Plant Nutr. 2014, 37, 1981–1996. [Google Scholar] [CrossRef]
  52. Ruiz, M.S.; Yasuor, H.; Ben-Gal, A.; Yermiyahu, U.; Saranga, Y.; Elbaum, R. Salinity induced fruit hypodermis thickening alters the texture of tomato (Solanum lycopersicum Mill) fruits. Sci. Hortic. 2015, 192, 244–249. [Google Scholar] [CrossRef]
  53. Petersen, K.K.; Willumsen, J.; Kaack, K. Composition and taste of tomatoes as affected by increased salinity and different salinity sources. J. Hortic. Sci. Biotechnol. 1998, 73, 205–215. [Google Scholar] [CrossRef]
  54. Marín, A.; Rubio, J.S.; Martínez, V.; Gil, M.I. Antioxidant compounds in green and red peppers as affected by irrigation frequency, salinity and nutrient solution composition. J. Sci. Food Agric. 2009, 89, 1352–1359. [Google Scholar] [CrossRef]
  55. Chaichi, M.R.; Keshavarz-Afshar, R.; Lu, B.; Rostamza, M. Growth and nutrient uptake of tomato in response to application of saline water, biological fertilizer, and surfactant. J. Plant Nutr. 2017, 40, 457–466. [Google Scholar] [CrossRef]
  56. Zhu, J.; Bie, Z.; Huang, Y.; Han, X. Effect of grafting on the growth and ion concentrations of cucumber seedlings under NaCl stress. Soil Sci. Plant Nutr. 2008, 54, 895–902. [Google Scholar] [CrossRef]
  57. Greenway, H.; Munns, R. Mechanisms of salt tolerance in non-halophytes. Annu. Rev. Plant Physiol. 1980, 31, 149–190. [Google Scholar] [CrossRef]
  58. Singh, V.; Sergeeva, L.; Ligterink, W.; Aloni, R.; Zemach, H.; Doron-Faigenboim, A.; Yang, J.; Zhang, P.; Shabtai, S.; Firon, N. Gibberellin promotes sweetpotato root vascular lignification and reduces storage-root formation. Front. Plant Sci. 2019, 10, 1320. [Google Scholar] [CrossRef]
  59. Peña-Cortés, H.; Sánchez-Serrano, J.J.; Mertens, R. Abscisic acid is involved in the wound-induced expression of the proteinase inhibitor II gene in potato and tomato. Proc. Natl. Acad. Sci. USA 1989, 86, 9851–9855. [Google Scholar] [CrossRef]
  60. Rahnama, H.; Ebrahimzadeh, H. The effect of NaCl on antioxidant enzyme activities in potato seedlings. Biol. Plant. 2005, 49, 93–97. [Google Scholar] [CrossRef]
  61. Wang, S.Q.; Tang, J.; Hu, K.D.; Huang, Z.Q.; Yang, F.; Zhang, H.Y.; Hu, L.Y.; Li, Y.H.; Yao, G.F.; Zhang, H. Antioxidative system in sweet potato root is activated by low temperature storage. J. Sci. Food Agric. 2019, 99, 3824–3833. [Google Scholar] [CrossRef]
  62. Mittova, V.; Guy, M.; Tal, M.; Volokita, M. Salinity up-regulates the antioxidative system in root mitochondria and peroxisomes of the wild salt-tolerant tomato species Lycopersicon pennellii. J. Exp. Bot. 2004, 55, 1105–1113. [Google Scholar] [CrossRef]
  63. Murshed, R.; Lopez-Lauri, F.; Sallanon, H. Effect of salt stress on tomato fruit antioxidant systems depends on fruit development stage. Physiol. Mol. Biol. Plants 2014, 20, 15–29. [Google Scholar] [CrossRef]
  64. Sudhakar, C.; Lakshmi, A.; Giridarakumar, S. Changes in the antioxidant enzyme efficacy in two high yielding genotypes of mulberry (Morus alba L.) under NaCl salinity. Plant Sci. 2001, 161, 613–619. [Google Scholar] [CrossRef]
  65. Hossain, M.S.; Hasanuzzaman, M.; Sohag, M.M.H.; Bhuyan, M.H.M.B.; Fujita, M. Acetate-induced modulation of ascorbate: Glutathione cycle and restriction of sodium accumulation in shoot confer salt tolerance in Lens culinaris Medik. Physiol. Mol. Biol. Plants 2019, 25, 443–455. [Google Scholar] [CrossRef] [PubMed]
  66. Kabir, M.H.; Wang, M.-H. Expression pattern of two dehydroascorbate reductase genes from tomato (Solanum lycopersicum L.) in response to stress. J. Korean Soc. Appl. Biol. Chem. 2010, 53, 668–676. [Google Scholar] [CrossRef]
  67. Parvin, K.; Hasanuzzaman, M.; Bhuyan, M.H.M.B.; Mohsin, S.M.; Fujita, M. Quercetin mediated salt tolerance in tomato through the enhancement of plant antioxidant defense and glyoxalase systems. Plants 2019, 8, 247. [Google Scholar] [CrossRef]
  68. Kumar, S.G.; Madhusudhan, K.V.; Sreenivasulu, N.; Sudhakar, C. Stress responses in two genotypes of mulberry (Morus alba L.) under NaCl salinity. Indian J. Exp. Biol. 2000, 38, 192–195. [Google Scholar]
  69. Kahlaoui, B.; Hachicha, M.; Misle, E.; Fidalgo, F.; Teixeira, J. Physiological and biochemical responses to the exogenous application of proline of tomato plants irrigated with saline water. J. Saudi Soc. Agric. Sci. 2018, 17, 17–23. [Google Scholar] [CrossRef]
Figure 1. Cluster analysis based on Jaccard’s similarity coefficient of the combined analysis (A); CDDP and SCoT), CDDP analysis (B) and SCoT analysis (C) of the nine tomato genotypes. Principal Component Analysis (PCA) of the combined data analysis (D); CDDP and SCoT), CDDP analysis (E) and SCoT analysis (F) of the nine tomato genotypes showing the two-dimensional plot (PC1 and PC2).
Figure 1. Cluster analysis based on Jaccard’s similarity coefficient of the combined analysis (A); CDDP and SCoT), CDDP analysis (B) and SCoT analysis (C) of the nine tomato genotypes. Principal Component Analysis (PCA) of the combined data analysis (D); CDDP and SCoT), CDDP analysis (E) and SCoT analysis (F) of the nine tomato genotypes showing the two-dimensional plot (PC1 and PC2).
Agronomy 10 01948 g001
Figure 2. Effect of salt treatments and rootstocks on (A) plant height, (B) number of branches, (C) SPAD reading, and (D) plant dry weight. Different letters indicate significant differences between treatments (Tukey test at p < 0.05).
Figure 2. Effect of salt treatments and rootstocks on (A) plant height, (B) number of branches, (C) SPAD reading, and (D) plant dry weight. Different letters indicate significant differences between treatments (Tukey test at p < 0.05).
Agronomy 10 01948 g002
Figure 3. Effect of salt treatments and rootstocks on (A) root length, (B) root fresh weight, and (C) root dry weight. Different letters indicate significant differences between treatments (Tukey test at p < 0.05).
Figure 3. Effect of salt treatments and rootstocks on (A) root length, (B) root fresh weight, and (C) root dry weight. Different letters indicate significant differences between treatments (Tukey test at p < 0.05).
Agronomy 10 01948 g003aAgronomy 10 01948 g003b
Figure 4. Effect of salinity levels × rootstocks interaction on (A) number of fruits, (B) mean fruit weight (g), and (C) total yield per plant (g). Vertical bars represent standard errors of means (n = 3); in each bar, values followed by different letters differ significantly at p = 0.05 according to Tukey test.
Figure 4. Effect of salinity levels × rootstocks interaction on (A) number of fruits, (B) mean fruit weight (g), and (C) total yield per plant (g). Vertical bars represent standard errors of means (n = 3); in each bar, values followed by different letters differ significantly at p = 0.05 according to Tukey test.
Agronomy 10 01948 g004aAgronomy 10 01948 g004b
Figure 5. Effect of salinity levels × rootstocks interaction on (A) Vit. C, (B) TSS and (C) firmness. Vertical bars represent standard errors of means (n = 3); in each bar, values followed by different letters differ significantly at p = 0.05 according to Tukey test.
Figure 5. Effect of salinity levels × rootstocks interaction on (A) Vit. C, (B) TSS and (C) firmness. Vertical bars represent standard errors of means (n = 3); in each bar, values followed by different letters differ significantly at p = 0.05 according to Tukey test.
Agronomy 10 01948 g005
Figure 6. Effect of salinity levels × rootstocks interaction on (A) N, (B) P, (C) K and (D) Ca. Vertical bars represent standard errors of means (n = 3); in each bar, values followed by different letters differ significantly at p = 0.05 according to Tukey test.
Figure 6. Effect of salinity levels × rootstocks interaction on (A) N, (B) P, (C) K and (D) Ca. Vertical bars represent standard errors of means (n = 3); in each bar, values followed by different letters differ significantly at p = 0.05 according to Tukey test.
Agronomy 10 01948 g006aAgronomy 10 01948 g006b
Figure 7. Effect of salinity levels × rootstocks interaction on (A) Mg, (B) Fe, (C) Zn and (D) Na. Vertical bars represent standard errors of means (n = 3); in each bar, values followed by different letters differ significantly at p = 0.05 according to Tukey test.
Figure 7. Effect of salinity levels × rootstocks interaction on (A) Mg, (B) Fe, (C) Zn and (D) Na. Vertical bars represent standard errors of means (n = 3); in each bar, values followed by different letters differ significantly at p = 0.05 according to Tukey test.
Agronomy 10 01948 g007aAgronomy 10 01948 g007b
Figure 8. Effect of salinity levels × rootstocks interaction on (A) GA3, (B) ABA, (C) APX, (D) POD, (E) DHAR and (F) proline. Vertical bars represent standard errors of means (n = 3); in each bar, values followed by different letters differ significantly at p = 0.05 according to Tukey test.
Figure 8. Effect of salinity levels × rootstocks interaction on (A) GA3, (B) ABA, (C) APX, (D) POD, (E) DHAR and (F) proline. Vertical bars represent standard errors of means (n = 3); in each bar, values followed by different letters differ significantly at p = 0.05 according to Tukey test.
Agronomy 10 01948 g008aAgronomy 10 01948 g008bAgronomy 10 01948 g008c
Table 1. Primer code, total number of bands, number of polymorphic bands and percentage of polymorphism in the Start Codon Targeted Polymorphism (SCoT) and Conserved DNA-Derived Polymorphism (CDDP) primers.
Table 1. Primer code, total number of bands, number of polymorphic bands and percentage of polymorphism in the Start Codon Targeted Polymorphism (SCoT) and Conserved DNA-Derived Polymorphism (CDDP) primers.
CodeNumber of Bands% of Polymorphism% of Polymorphism
TotalPolymorphic
CDDP
CDDP-121523.8
CDDP-222731.8
CDDP-319631.6
CDDP-420735.0
CDDP-517529.4
CDDP-621628.6
CDDP-720735.0
CDDP-819421.1
CDDP-920630.0
CDDP-1023521.7
CDDP-1118316.7
CDDP-1219631.6
Total2396728
Average19.95.6
SCoT
SCoT-1231147.8
SCoT-217952.9
SCoT-316850.0
SCoT-520945.0
SCoT-6221045.5
SCoT-715960.0
SCoT-913646.2
SCoT-1018950.0
Total1447149.3
Average 12.05.9
Table 2. Similarity matrix based on the CDDP analysis of the eight wild accessions and hybrid of tomato.
Table 2. Similarity matrix based on the CDDP analysis of the eight wild accessions and hybrid of tomato.
LA1995LA4285LA2711LA3845LA1310LA3120LA3847LA2661Bark
LA1995100%--------
LA428582%100%-------
LA271185%80%100%------
LA384579%77%78%100%-----
LA131075%75%74%70%100%----
LA312073%73%73%68%69%100%---
LA384771%70%70%65%67%68%100%--
LA266170%71%70%66%66%67%70%100%-
Bark78%79%78%79%68%65%66%66%100%
Table 3. Similarity matrix based on the SCoT analysis of the eight wild accessions and hybrid of tomato.
Table 3. Similarity matrix based on the SCoT analysis of the eight wild accessions and hybrid of tomato.
LA1995LA4285LA2711LA3845LA1310LA3120LA3847LA2661Bark
LA1995100%--------
LA428577%100%-------
LA271185%75%100%------
LA384580%78%80%100%-----
LA131071%76%72%70%100%----
LA312070%74%70%69%70%100%---
LA384775%79%75%75%67%66%100%--
LA266173%77%73%71%68%67%70%100%-
Bark82%76%82%80%65%64%65%64%100%
Table 4. Similarity matrix based on the combined data analysis (CDDP + SCoT) of the eight wild accessions and hybrid of tomato.
Table 4. Similarity matrix based on the combined data analysis (CDDP + SCoT) of the eight wild accessions and hybrid of tomato.
LA1995LA4285LA2711LA3845LA1310LA3120LA3847LA2661Bark
LA1995100%--------
LA428585%100%-------
LA271181%80%100%------
LA384578%78%76%100%-----
LA131075%75%74%70%100%----
LA312073%73%74%68%68%100%---
LA384771%70%69%66%66%68%100%--
LA266170%71%70%66%66%68%70%100%-
Bark77%76%76%78%70%65%66%65%100%
Table 5. Analysis of variance (mean square) of tomato growth attributes.
Table 5. Analysis of variance (mean square) of tomato growth attributes.
SourcedfPlant Height (cm)Number of BranchesSPADPlant Fresh Weight (g)Plant Dry Weight (g)
Salinity (S)21371.99 ***100.69 ***1541.80 ***35465.29 ***440.74 ***
Rootstock (R)4361.55 ***17.45 ***465.46 ***2022.27 ***208.07 ***
S × R856.55 ns3.79 ns75.28 ns820.15 ***30.09 ns
ns, *** non-significant, significant at p ≤ 0.001, analysis of variance.
Table 6. Fresh weight attribute as affected by Salinity × Rootstock interaction.
Table 6. Fresh weight attribute as affected by Salinity × Rootstock interaction.
Rootstock0 mM100 mM200 mM
LA271140.97 ± 1.96 e22.30 ± 1.01 gh8.27 ± 1.94 k
LA199585.16 ± 2.89 a38.21 ± 2.48 e18.32 ± 2.20 i
LA384553.24 ± 1.94 c26.41 ± 1.54 g13.96 ± 2.60 j
LA428571.58 ± 2.91 b29.92 ± 1.16 f11.26 ± 1.67 j
Bark48.09 ± 2.4 dc17.24 ± 1.96 i7.30 ± 0.92 k
Values followed by the same letter are not significant according to Tukey test (p ≤ 0.05%).
Table 7. Analysis of variance (mean square) of tomato root attributes.
Table 7. Analysis of variance (mean square) of tomato root attributes.
SourcedfRoot LengthRoot Fresh WeightRoot Dry Weight
Salinity (S)21154.20 ***122.27 ***53.38 ***
Rootstock (R)4346.85***9.70 ***5.53 ***
S × R836.65 ns3.66 ns0.90 ns
ns, *** non-significant, significant at p ≤ 0.001, analysis of variance.
Table 8. Effect of salinity treatments, rootstocks and their interactions on fruits quality.
Table 8. Effect of salinity treatments, rootstocks and their interactions on fruits quality.
Vit. C (mg.100 g−1 fw)TSS (Brix°)Firmness (n)
Salinity (S)
0 mM17.61 ± 1.6 b7.43 ± 0.75 c2.10 ± 0.04 b
100 mM21.21 ± 1.20 b9.30 ± 0.57 b2.80 ± 0.03 a
200 mM29.94 ± 1.98 a11.73 ± 0.08a2.11 ± 0.03 b
Rootstock (R)
LA271127.71 ± 1.60 a9.28 ± 0.47 b2.10± 0.03 b
LA199525.03 ± 1.57 a9.47 ± 1.10 b2.86 ± 0.03 a
LA384517.42 ± 1.17 b11.05 ± 0.48 a2.15 ± 0.04 ab
LA428522.75 ± 2.40 ab8.55 ± 0.29 b2.43 ± 0.06 ab
Bark21.69 ± 1.60 ab9.09 ± 0.24 b2.14 ± 0.04 ab
Analysis of variance
S********
R*******
S × R********
Values followed by the same letter are not significant according to Tukey test (p ≤ 0.05%). *, **, *** Significant at p ≤ 0.05, p ≤ 0.01, p ≤ 0.001, analysis of variance.
Table 9. Effect of salinity treatments, rootstocks and their interactions on the minerals of the tomato shoots.
Table 9. Effect of salinity treatments, rootstocks and their interactions on the minerals of the tomato shoots.
N (%)P (%)K (%)Ca (%)
Salinity (S)
0 mM3.17 ± 0.19 a0.34 ± 0.005 a3.37 ± 0.160 a0.89 ± 0.130 a
100 mM2.72 ± 0.04 b0.26 ± 0.006 b2.45 ± 0.178 b0.76 ± 0.032 b
200 mM2.32 ± 0.044 c0.21 ± 0.005 c2.02 ± 0.056 c0.48 ± 0.024 c
Rootstock (R)
LA27113.06 ± 0.006 a0.30 ± 0.006 a3.28 ± 0.121 a0.78 ± 0.014 a
LA19952.73 ± 0.034 b0.28 ± 0.005 a2.53 ± 0.049 c0.75 ± 0.027 a
LA38452.74 ± 0.067 b0.26 ± 0.005 b2.79 ± 0.089 b0.72 ± 0.027 a
LA42852.80 ± 0.037 b0.29 ± 0.005 a2.63 ± 0.087 bc0.76 ± 0.012 a
Bark2.3 ± 6 0.039 c0.21 ± 0.003 c1.84 ± 0.042 d0.54 ± 0.013 b
Analysis of variance
S************
R************
S × R************
Values followed by the same letter are not significant according to Tukey test (p ≤ 0.05%). *** Significant at p ≤ 0.001, analysis of variance.
Table 10. Effect of salinity treatments, rootstocks and their interactions on the minerals of the tomato shoots.
Table 10. Effect of salinity treatments, rootstocks and their interactions on the minerals of the tomato shoots.
Mg (%)Fe (ppm)Zn (ppm)Na (%)
Salinity (S)
0 mM0.43± 0.011 a58.70 ± 0.005 a37.25 ± 3.830 a0.80 ± 0.022 c
100 mM0.32 ± 0.006 b54.24 ± 0.027 b25.47 ± 1.332 b1.62 ± 0.1701 b
200 mM0.24 ± 0.005 c46.20 ± 0.019 c25.62 ± 0.840 b2.56 ± 0.0420 a
Rootstock (R)
LA27110.37 ± 0.005 a60.47 ± 0.038 a34.86 ± 1.801 a1.67 ± 0.0621 a
LA19950.33± 0.066 b56.07 ± 0.018 b30.11 ± 1.746 b1.61 ± 0.066 a
LA38450.33 ± 0.066 b55.24 ± 0.034 b29.88 ± 0.660 b1.68 ± 0.1431 a
LA42850.34 ± 0.0015 b58.01 ± 0.018 ab30.17 ± 0.593 b1.59 ± 0.2751 a
Bark0.28 ± 0.009 c35.42 ± 0.016 c22.21 ± 0.635 c1.76 ± 0.1210 a
Analysis of variance
S************
R************
S × R************
Values followed by the same letter are not significant according to Tukey test (p ≤ 0.05%). *** Significant at p ≤ 0.001, analysis of variance.
Table 11. Effect of salinity treatments, rootstocks and their interactions on hormones of tomato shoots.
Table 11. Effect of salinity treatments, rootstocks and their interactions on hormones of tomato shoots.
GA3 µg.g−1 fwABA µg.g−1 fwAPX Unit.min−1.g−1 fwPOD Unit.min−1.g−1 fwDHAR Unit.min−1.g−1 fwProline mmol.g−1 fw
Salinity (S)
0 mM57.99 ± 0.81 c44.36 ± 0.26 b5.98 ± 0.18 b5.69 ± 0.14 b6.38 ± 0.19 c7.70 ± 0.27 c
100 mM65.93 ± 1.34 b60.34 ±1.46 a9.51 ± 0.29 a7.83 ± 0.19 a7.48 ± 0.11 b11.09 ± 0.20 b
200 mM70.60 ± 0.61 a44.25 ±1.01 b9.62 ± 0.33 a7.78 ± 0.25 a8.22 ± 0.12 a12.19 ± 0.35 a
Rootstock (R)
LA271186.39 ± 3.27 a43.95 ± 3.53 c6.88 ± 0.34 c5.07 ± 0.03 d5.84 ± 0.14 d8.81 ± 0.44 b
LA199562.30 ± 1.72 b49.41 ± 0.46 b9.18 ± 0.37 a6.92 ± 0.09 c7.64 ± 0.03 b10.81 ± 0.26 a
LA384560.80 ± 1.66 b49.86 ± 2.06 b8.57 ± 0.33 ab7.79 ± 0.14 b7.72 ± 0.09 b11.25 ± 0.19 a
LA428563.17 ± 0.65 b48.65 ± 0.21 b9.05 ± 0.21 a8.80 ± 0.18 a8.55 ± 0.22 a11.43 ± 0.34 a
Bark51.54 ± 0.70 c56.37 ± 0.47 a8.15 ± 0.37 b6.92 ± 0.34 c7.06 ± 0.18 c9.45 ± 0.34 b
Analysis of variance
S******************
R******************
S × R****************
Values followed by the same letter are not significant according to Tukey test (p ≤ 0.05%). **, *** Significant at p ≤ 0.01, p ≤ 0.001, analysis of variance.
Publisher’s Note: MDPI stays neutral with regard to jurisdictional claims in published maps and institutional affiliations.

Share and Cite

MDPI and ACS Style

Abdeldym, E.A.; El-Mogy, M.M.; Abdellateaf, H.R.L.; Atia, M.A.M. Genetic Characterization, Agro-Morphological and Physiological Evaluation of Grafted Tomato under Salinity Stress Conditions. Agronomy 2020, 10, 1948. https://doi.org/10.3390/agronomy10121948

AMA Style

Abdeldym EA, El-Mogy MM, Abdellateaf HRL, Atia MAM. Genetic Characterization, Agro-Morphological and Physiological Evaluation of Grafted Tomato under Salinity Stress Conditions. Agronomy. 2020; 10(12):1948. https://doi.org/10.3390/agronomy10121948

Chicago/Turabian Style

Abdeldym, Emad A., Mohamed M. El-Mogy, Hoda R. L. Abdellateaf, and Mohamed A. M. Atia. 2020. "Genetic Characterization, Agro-Morphological and Physiological Evaluation of Grafted Tomato under Salinity Stress Conditions" Agronomy 10, no. 12: 1948. https://doi.org/10.3390/agronomy10121948

APA Style

Abdeldym, E. A., El-Mogy, M. M., Abdellateaf, H. R. L., & Atia, M. A. M. (2020). Genetic Characterization, Agro-Morphological and Physiological Evaluation of Grafted Tomato under Salinity Stress Conditions. Agronomy, 10(12), 1948. https://doi.org/10.3390/agronomy10121948

Note that from the first issue of 2016, this journal uses article numbers instead of page numbers. See further details here.

Article Metrics

Back to TopTop