Next Article in Journal
Detrimental Industries’ Sponsorship in Football Clubs Across Ten Major Leagues from 2000–2022: A Retrospective Study
Previous Article in Journal
Systematic Review and Meta-Analysis on the Association Between Daily Niacin Intake and Glaucoma
 
 
Font Type:
Arial Georgia Verdana
Font Size:
Aa Aa Aa
Line Spacing:
Column Width:
Background:
Article

A Comparative Analysis of Folate and Mineral Contents in Freshly Squeezed and Commercial 100% Orange Juices Available in Europe

1
Nutrition and Food Science Department, Pharmacy Faculty, Complutense University of Madrid (UCM), Plaza Ramón y Cajal, s/n, 28040 Madrid, Spain
2
Lab. Fitoquímica y Alimentos Saludables (LabFAS), CSIC, CEBAS, Campus Universitario Espinardo 25, 30100 Murcia, Spain
3
Human Nutrition Unit, Department of Food and Drug, University of Parma, 43124 Parma, Italy
*
Author to whom correspondence should be addressed.
Nutrients 2024, 16(21), 3605; https://doi.org/10.3390/nu16213605
Submission received: 12 October 2024 / Revised: 21 October 2024 / Accepted: 22 October 2024 / Published: 24 October 2024
(This article belongs to the Section Micronutrients and Human Health)

Abstract

Background: Orange juices are widely known for their organoleptic characteristics and potential health benefits derived from their nutritional and functional composition. Objectives: The aim of this work was to provide comprehensive, up-to-date information on the content of folates and some minerals (Ca, K, Mg, Fe, Mn, and Zn) present in different fresh and commercial orange juices available in the European market, including juices from concentrate (FC) and not from concentrate (NFC). Methods: A total of twenty-five juice samples were selected, comprising the most purchased types of commercial juices from France, the United Kingdom (UK), Germany, and Spain, and four fresh squeezed juices (FSJ) made from Spanish oranges. In FSJ, nutrient stability during storage time (0–48 h) was also assessed. Results: Folate concentration was highly variable between commercial samples, with higher contents in FSJ and NFC samples, followed by FC juices. Regarding mineral content, FSJ showed significant differences with FC (except for Mg) and NFC juice samples (except for Ca and Mg), while FC and NFC had similar mineral profiles, except for Ca. Storage time had no significant impact on FSJ folates and minerals. Conclusions: Among commercial juices, the NFC category generally showed the highest content of folates, K, Mg, and Fe, whereas FC juices showed the highest contents of Ca, Mn, and Zn. Some commercial juices met the legal use conditions for a “Source of folate” claim, whereas both commercial and fresh juices met the conditions for a “Source of potassium” claim, according to European and UK regulations.

1. Introduction

Among the various types of citrus fruits, oranges (Citrus sinensis) are the most extensively cultivated, comprising over half of the world citrus production and being the most frequently traded [1]. In Europe, citrus production was projected to be 9.9 million tons, with 85% coming from the oranges and mandarins/tangerines categories [2]. Oranges have significant use and acceptance as a food source for humans, also including orange juices.
Oranges and their juices are widely known for their characteristic taste and aroma and potential health benefits derived from their nutritional and functional characteristics [3]. Oranges are abundant in bioactive compounds, such as folic acid, minerals, and polyphenols, all of which are crucial for overall nutritional and health status [4]. Folic acid plays a crucial role in neural tube closure by influencing processes such as nucleotide biosynthesis and methylation reactions [5,6,7]. In addition, folates are important in the synthesis of amino acids, in the process of cell division, and in blood formation, with a special incidence during pregnancy when its requirements are increased [8]. On the other hand, macro- and micro-minerals serve as cofactors in numerous enzymatic reactions and various physiological functions. Calcium (Ca) and magnesium (Mg) are vital for the nervous and muscular systems and play a key role in bone formation. Mg also plays a crucial role in glucose metabolism, and low serum levels of this mineral have been linked to different disorders and chronic diseases, such as diabetes mellitus [9]. Copper (Cu) and iron (Fe) are essential for the circulatory system, with Cu involved in hemoglobin synthesis and enhancing iron absorption from the digestive tract. Fe is one essential micronutrient for several bodily functions, including energy metabolism, red blood cell and hemoglobin formation, and oxygen transport in the body, and it is involved in the process of cell division and cell death. Iodine (I) is also considered an important element for its crucial role in the synthesis of thyroid hormones, which are vital for brain and central nervous system development, and selenium (Se) is crucial for iodine metabolism within the thyroid. Finally, zinc (Zn) is important for cell reproduction, sperm and testosterone production, as well as growth and development in children [10].
Knowledge of the composition of these bioactive compounds in foods, particularly orange juices, is essential for the correct application of legislation on food information provided to the consumer concerning its nutritional and/or health properties. In this context, European Regulation (EC) Nº 1924/2006 establishes the conditions to consider a food product as a source of vitamins (as folates) and minerals, and Regulation (EU) Nº 1169/2011 indicates its Nutrient Reference Value (NRV) for folates and certain minerals [11,12].
In this regard, a recent study by our research group examined the vitamin C and flavanone content of commercial juices compared with freshly squeezed juices made from “Navelina” oranges. Results showed that flavanones and vitamin C levels were constant among countries and processing systems. In addition, orange juices preserved their bioactive compounds during a typical period of shelf life [13]. The present work builds on the former by providing comprehensive, up-to-date information on the content of folates and some minerals (Ca, K, Mg, Fe, Mn, and Zn) present in fresh and commercial orange juices available on the European market.

2. Materials and Methods

2.1. Samples

A total of 25 orange juice samples were included in this analysis. The majority (21/25, 84%) were commercial 100% orange juice samples purchased from local markets in 4 different countries (France, United Kingdom [UK], Germany, and Spain), whereas 4 samples corresponded to fresh orange juices made according to the procedures described by Salar et al. (2024) [13].
Regarding the commercial juices, market research was conducted to identify the orange juice products with the highest market share in each of the 4 targeted countries. A total of 6 samples were selected from the UK market (since one product was available with or without orange cells), whereas 5 commercial orange juices were selected from the French, German, and Spanish markets. The present study included both chilled “not from concentrate” (NFC) orange juices and ambient “from concentrate” (FC) orange juices. All commercial samples were transported at the recommended temperature via courier (3 bottles per sample) to the LabFAS, CEBAS-CSIC (Murcia, Spain).
Furthermore, four sets of Navelina oranges were freshly harvested and sourced from the following Spanish companies (AMC Group, Murcia; Riverbend, Murcia; and ZUVAMESA (ZVM), Valencia) to make freshly squeezed juices (FSJ) under controlled laboratory conditions using an electric citrus juicer (Orbegozo EP 2210, Murcia, Spain). A total of 20 kg of fresh oranges per company were used to obtain the freshly squeezed juices (FSJ).
Shelf-life assessment tests were performed by analyzing the content of different bioactive compounds (folates and minerals) at 0-, 12-, 24-, and 48-h post-juicing and stored at 5 °C. This was performed to assess the rate of degradation of these bioactive compounds. The timeframe was chosen to reflect the typical duration of FSJ storage in a home refrigerator [13]. Fresh orange juices were extracted in triplicate. Table 1 describes the orange juices analyzed in this study.
Table 1 describes the orange juices analyzed in this study.

2.2. Methodology

2.2.1. Determination of Folate Concentration

The determination of folates in the form of 5-methyl-tetrahydrofolic acid (5-MTHF) in the selected orange juices consisted of extraction in phosphate buffer (Na2HPO4 2H2O, 0.1 M, pH = 7, containing 0.1% L-ascorbic acid), heat treatment (100 °C), and centrifugation [14]. Following that, an enzymatic treatment with rat serum and incubation (at 37 °C for 2 h) were carried out. Finally, juice samples were subjected to centrifugation, filtration (0.2 µm), and quantification by liquid chromatography coupled with tandem mass spectrometry (LC-MS/MS) according to PNT-LACC/FQ 254, Analiza Calidad (Madrid, Spain) [15,16]. Centrifugation was performed during 15 min at 4000 rpm and room temperature using Unicen 21 equipment (supplied by Ortoalresa Álvarez Redondo S.A, Madrid, Spain). The equipment and chromatographic parameters used in the determination of folate concentration are described as follows: liquid chromatograph coupled to a triple quadrupole mass spectrometer (Agilent 6460 model, Agilent Technology, Santa Clara, CA, USA), C18 column (2.1 × 100 mm, 1.8 µm), flow rate 0.2 mL/min, and gradient mobile phase (A: H2O acidified with 0.2% formic acid; B: MeOH acidified with 0.2% formic acid). The preparation of a calibration curve was necessary for the folate quantification, and it was daily prepared from a standard solution of 5-MTHF (supplied by Supelco, Darmstadt, Germany, ref. 47866) in the same phosphate buffer used in the extraction process. Results were expressed as µg 5-methyl-tetrahydrofolic acid (5-MTHF)/100 mL orange juice.

2.2.2. Determination of Mineral Concentration

Minerals (Ca, K, Mg, Fe, Mn, and Zn) of orange juice samples were subject to an acid digestion (HNO3–HClO4, 2:1, v/v). The extract aliquot resulting from this digestion was diluted with LaCl3 + CsCl, and mineral content was determined using an inductively coupled plasma (ICP) spectrometer (OES Thermo ICAP 6000 SERIES®; ThermoElectron Corp., Franklin, MA, USA), according to Domínguez-Perles et al. (2010) [17].

3. Results and Discussion

3.1. Folate Content in Commercial and Fresh Orange Juices

Since folate degradation may occur during industrial production and storage of commercial orange juice, in the present study, the folate content of the commercial and fresh orange juice samples was assessed.
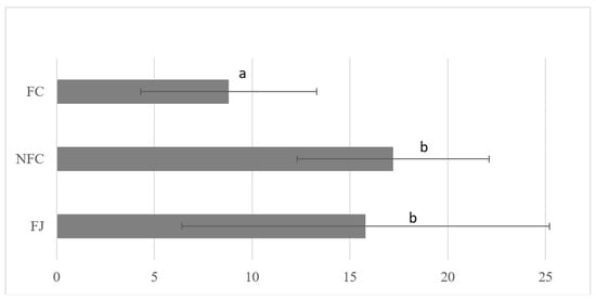
Folate concentration was highly variable among commercial samples, with several differences reaching statistical significance. Higher content corresponded to fresh juices (FSJ) and NFC samples, without statistical differences among them, while the lowest content corresponded to orange juice samples from concentrate (FC), with significant differences in comparison to the other juices, both FSJ and NFC (Table 2).
Considering the purchasing location, juices sold in France had the highest values (19.55 µg 5-MTHF/100 mL on average), mostly NFC, while those sold in Germany had the lowest (4.75 µg 5-MTHF/100 mL on average), being all of them FC. In the case of the individual commercial orange juices (FC) sold in Germany, no significant differences (p > 0.05) were found between samples except for GJ5C. Samples purchased in Spain were NFC and FC, with no significant differences (p > 0.05) among them except for SJ5C. Interestingly, the highest folate contents were found in two fresh orange juice samples, SFSJ4 (25.51 µg 5-MTHF/100 mL) and SFSJ1 (23.86 µg 5-MTHF/100 mL), followed by the commercial orange juices purchased in France (17.25–23.19 µg 5-MTHF/100 mL) and the UK (13.45–21.13 µg 5-MTHF/100 mL). These values are in the range reported by Delchier et al. (2016) and Öhrvik et al. (2008) [18,19].
The average folate content across the three different types of orange juice (FSJ, NFC, and FC) was 12.75 µg 5-MTHF/100 mL and median 13.48 µg 5-MTHF/100 mL (Figure 1). Orange juices with the lowest folate concentrations tended to be commercial FC samples purchased from Germany (range: 3.850–6.790 µg 5-MTHF/100 mL) and one FSJ sample (SFSJ2), which contained 6.025 µg 5-MTHF/100 mL. The lower folate levels in the FC samples may reflect different types of packaging, higher storage temperatures, and longer shelf life. These factors were not standardized in the sampling methodology.

3.1.1. Folate Stability in Fresh Orange Juices

Folic acid is a hydrosoluble vitamin with a high degradation rate that depends on the storage conditions (temperature, light exposure) and storage time. To verify whether folic acid concentration is stable in fresh orange juices during a reasonable shelf-life period, a study of folate stability was performed in these samples at four time points (t = 0, t = 12 h, t = 24 h, and t = 48 h). As can be seen in Table 3, storage time had not a significant effect (p > 0.05) on folic acid content in the following samples: SFSJ1 juices (t0 h vs. t48 h) (23.86 vs. 18.90 µg 5-MTHF/100 mL in 48 h), SFSJ2 samples (6.02 vs. 5.66 µg 5-MTHF/100 mL), and SFSJ3 juices (7.79 vs. 6.92 µg 5-MTHF/100 mL). However, the SFSJ4 sample showed significant differences (p < 0.01) at 12 h (25.51 vs. 23.31 µg 5-MTHF/100 mL).

3.1.2. Orange Juice Contribution to Folate Requirements

Consumption of the analyzed orange juices could contribute to the achievement of folate daily requirements established for different target groups following the scientific reports published by the European Food Safety Authority (EFSA) in 2017 (last amendment in 2019) [20]. As it can be deduced from the obtained results (Table 4), commercial orange juices sold in France could make the largest contribution to folate daily requirements, followed by orange juices sold in the UK, Spain, and Germany.
Regarding population sub-groups, children are the group most likely to benefit. Daily consumption of one glass of commercial orange juice (200 mL) analyzed in the present study could provide 7.9–32.6% of the folate daily requirements for children aged 1 to 3 years old; 6.3–26.1% for those between 4 and 5 years; and 4.8–19.6% and 3.5–14.5% in the case of children aged 6–9 years and 10–13 years old, respectively. Teenagers (14–19 years old) and the general adult population (20–70 years old) would also benefit from the intake of folate from commercial orange juices. Considering those samples with the highest content of folates (France and UK), it can be concluded that almost 10% of folate requirements could be fulfilled in these groups from one daily serving of orange juice.
Regarding fresh orange juice samples (SFSJ1, SFSJ2, SFSJ3, and SFSJ4), the contribution of one glass (200 mL) at t0 was much higher than the commercial samples (Table 4). For instance, 10.0–42.5% and 8.0–34.0% of folate daily requirements in toddlers between 1 and 3 years and 4 and 5 years old could be met with the consumption of these fresh orange juices, respectively. In relation to children between 6 and 9 years and 10 and 13 years old, folate contributions of 25.5 and 18.9% could be reached by consuming SFSJ4, the fresh orange juice with the highest content of folic acid at 0. Teenagers (14–19 years old) and the general population (20–70 years old) would also benefit from the intake of these fresh orange juices, with a folate daily contribution of 15.5%, whereas pregnant and lactating women could reach 10% of these recommendations through the daily consumption of SFSJ4.

3.2. Mineral Content in Commercial and Fresh Orange Juices

The content of six minerals (Ca, K, Mg, Fe, Mn, and Zn) was determined in the juice samples selected. Fresh juice samples showed significant different values of minerals in comparison to FC (except for Mg) and NFC samples (except for Ca and Mg). On the other hand, no significant differences were found in the mineral content of FC and NFC samples, except for Ca levels (Table 5).
Regarding the commercial orange juice samples, the mean contents of Ca, K, Mg, Mn, and Zn were significantly different among purchasing countries, whereas the concentration of Fe was not significantly different among countries, nor among juice samples sold in the same country in the case of UK and Germany samples (p > 0.05).
Orange juices sold in Germany, Spain, and France reported the highest contents of Ca (8.43–14.22 mg/100 mL), Fe (0.082–0.375 mg/100 mL), and Zn (0.042–0.071 mg/100 mL), respectively. The concentrations of K, Mg, and Mn were generally higher in juices sold in the UK (187.66–220.65 mg K/100 mL, 10.22–12.33 mg Mg/100 mL, and 0.033–0.051 mg Mn/100 mL, respectively).
Focusing on individual commercial juices, two samples sold in France (FJ1 NFC and FJ5 FC) showed the highest values for K and Zn (223.40 mg K/100 mL and 0.071 mg Zn/100 mL, respectively), one sample sold in the UK (UKJ1 NFC) reported the highest value for Mg (12.33 mg/100 mL), two FC samples sold in Germany (GJ4 FC and GJ5F C) had the highest concentrations of Ca and Mn (14.22 mg Ca/100 mL and 0.055 mg Mn/100 mL, respectively), and one sample sold in Spain (SJ3 NFC) had the highest Fe content (0.375 mg Fe/100 mL).
According to Berk (2016) [21], citrus juices are a fairly good source of minerals, particularly K, with typical values of around 200 mg/mL in orange juice. Concerning the fresh orange juices (FSJ) assessed in this study, SFSJ4 had the highest values for Ca (7.64 mg/100 mL), Mn (0.024 mg/100 mL), and Zn (0.043 mg/100 mL), whereas SFSJ1 had the highest content of K (197.09 mg/100 mL) and Mg (11.12 mg/100 mL), and SFSJ3 juice had the maximum Fe concentration (0.078 mg/100 mL). However, fresh orange juices had lower mineral concentrations in comparison with commercial juices (Table 5 and Table 6). Differences could be related to the different extraction procedures likely used among samples [22].
Among the FSJ samples, storage time had no significant effect (p > 0.05) on mineral content (t = 0–48 h) (Table 6), except for SFSJ1, which showed significant reductions in the concentration of K and Zn, and SFSJ2 and SFSJ3, which showed a reduction in the concentration of Mn.

Orange Juice Contribution to Potassium Requirements

Commercial and fresh juices analyzed contained higher amounts of K than orange juices considered by other authors. Dehelean and Magdas (2013) and Schmutzer et al. (2016) analyzed different commercial orange juices and reported K contents of 7.29–64.23 mg/100 mL and 7.57–147.17 mg/100 mL, respectively [23,24]. Fresh orange juices analyzed by Topuz et al. (2005) showed lower 101.1–136.4 mg K/100 mL, a lower concentration of this mineral in comparison with the samples selected for this study [25].
Following the EFSA report on the daily nutritional requirements recommended for different target groups of the population [20], the consumption of the orange juices analyzed in the present study could contribute to the achievement of the daily requirements of potassium established for children, teenagers, and adults, as well as vulnerable groups such as pregnant and lactating women. As it can be deduced from the information presented in Table 7, the consumption of only one glass of commercial orange juice (200 mL) could contribute to at least 40% of K daily requirements in toddlers between 1 and 3 years old, as well as 30% and 20% in children between 4 and 6 years old and 7 and 10 years, respectively. Teenagers (11–17 years) would also benefit from the intake of one glass of all analyzed orange juices, as they could cover 10–15% of the daily requirements of this mineral. Considering those samples with the highest content of K, that is, juices sold in the UK and Germany, it can be concluded that almost 11% of K requirements could be fulfilled in the general population (>18 years), including pregnant and lactating women.
Regarding the fresh orange juices, contributions to K requirements were interestingly similar to the commercial samples. For instance, one glass of these fresh juices could meet at least 40% in toddlers 1–3 years old, whereas in children 4–10 years, their contribution ranged between 17.6 and 35.8%. In the case of teenagers (11–17 years old), they could benefit from the intake of these fresh orange juices as their K requirements could be reached from 9 to 14.6%.

3.3. Potential Nutrition Claims

In terms of labeling, and according to the European Regulation in force (Regulation (EC) Nº 1924/2006 and Regulation (EU) Nº 1169/2011)—also adopted in the UK—analyzed orange juices, especially fresh samples, showed interesting contents of folate. According to our analysis, commercial juices NFC met the conditions of use for the nutrition claim: “Source of folates” with independence of being sold in France (FJ1 NFC, FJ2 NFC, FJ3 NFC, FJ4 NFC) and in the UK (UKJ1 NFC, UKJ2 NFC, UKJ3 NFC, UKJ4 NFC), as well as FC sample (FJ5 FC). In addition, fresh juice (FSJ) samples SFSJ1 and SFSJ4 met the conditions of use for a “Source of folates” claim. Nutrition claims can be used in labeling and other commercial communications as well as enable access to related health claims for folate provided by the European Commission.
Considering the relevant amounts of potassium in orange juices analyzed and under the European regulation in force (Regulation (EC) Nº 1924/2006, Regulation (EU) Nº 1169/2011), all commercial and fresh orange juices could use the nutrition claim “Source of potassium” in commercial communications and access associated health claims.

4. Conclusions

Folate concentration was highly variable between commercial samples, with higher contents corresponding to FSJ and NFC samples, followed by FC juices. Regarding mineral content, FSJs showed significant differences with FC (except for Mg) and NFC juice samples (except for Ca and Mg), while FC and NFC had similar mineral profiles, except for Ca levels. Storage time had no significant impact on FSJ folates and minerals. Among commercial orange juices, the NFC category generally showed the highest content of folates, K, Mg, and Fe, whereas juices made from concentrate showed the highest contents of Ca, Mn, and Zn.
The consumption of the analyzed orange juices could interestingly contribute to the achievement of the daily requirements of essential compounds like folates and potassium, particularly in children and teenagers, the most benefited population groups. Finally, some commercial juices could be considered a “Source of folate”, whereas all samples (commercial and fresh juices) could use the nutrition claim “Source of potassium” in their labeling, presentation, and/or advertising, according to the European regulation in force.

Author Contributions

Conceptualization, M.C., P.M. and C.G.-V.; Methodology, M.C., P.M. and C.G.-V.; Formal analysis, M.C., L.D. and S.M.; Investigation, L.D., S.M., P.M. and C.G.-V.; Writing—original draft, M.C. and L.D.; Writing—review & editing, M.C., S.M., P.M. and C.G.-V.; Funding acquisition, M.C., P.M. and C.G.-V. All authors have read and agreed to the published version of the manuscript.

Funding

Funding for this research was provided by a grant from the Fruit Juice Science Centre (https://fruitjuicesciencecentre.eu, accessed on 20 October 2024).

Institutional Review Board Statement

Not applicable.

Informed Consent Statement

Not applicable.

Data Availability Statement

The original contributions presented in the study are included in the article, further inquiries can be directed to the corresponding author.

Acknowledgments

The authors are grateful to the ALIMNOVA Research Group (UCM Ref. GFRN-32/23) for their technical support.

Conflicts of Interest

The authors declare no conflicts of interest.

References

  1. Food and Agriculture Organization of the United Nations (FAO). Citrus. Available online: https://www.fao.org/markets-and-trade/commodities/citrus/es/ (accessed on 4 October 2024).
  2. United States Department of Agriculture (USDA). European Union: EU Citrus Annual 2023. Available online: https://fas.usda.gov/data/european-union-eu-citrus-annual-2023 (accessed on 2 October 2024).
  3. Abel, E.S.; Aidoo, K.E. A comparative study of the nutritional quality of freshly extracted juices from organic versus conventional orange and apple fruits. EC Nutr. 2016, 4, 945–959. [Google Scholar]
  4. Riaz, S.; Ahmad, A.; Farooq, R.; Hussain, N.; Riaz, T.; Hussain, K.; Mazahir, M. Citrus: An Overview of Food Uses and Health Benefits. In Citrus Research—Horticultural and Human Health Aspects; IntechOpen: London, UK, 2022. [Google Scholar] [CrossRef]
  5. Meija, L.; Rezeberga, D. Proper Maternal Nutrition During Pregnancy Planning and Pregnancy: A Healthy Start in Life Recommendations for Health Care Professionals—The Experience from Latvia. 2017. Available online: https://www.who.int/andorra/publications/m/item/proper-maternal-nutrition-during-pregnancy-planning-and-pregnancy--a-healthy-start-in-life-(2017) (accessed on 1 October 2024).
  6. Koletzko, B.; Cremer, M.; Flothkötter, M.; Graf, C.; Hauner, H.; Hellmers, C.; Kersting, M.; Krawinkel, M.; Przyrembel, H.; Röbl-Mathieu, M. Diet and Lifestyle Before and During Pregnancy—Practical Recommendations of the Germany-wide Healthy Start—Young Family Network. Geburtsh Frauenheilk 2018, 78, 1262–1282. [Google Scholar] [CrossRef] [PubMed]
  7. Public Health England. National Diet and Nutrition Survey: Blood Folate Results for the UK, Scotland, Northern Ireland (Years 1 to 4 Combined) and Wales (Years 2 to 5 Combined). Available online: https://assets.publishing.service.gov.uk/media/5a81c99be5274a2e8ab55d33/NDNS_folate_revised_Statistical_Press_Notice.pdf (accessed on 7 October 2024).
  8. World Health Organization (WHO). Good Maternal Nutrition. In The Best Start in Life; WHO Regional Office for Europe: Copenhagen, Denmark, 2016; ISBN 978 92 890 5154 5. [Google Scholar]
  9. Pelczyńska, M.; Moszak, M.; Bogdański, P. The Role of Magnesium in the Pathogenesis of Metabolic Disorders. Nutrients 2022, 14, 1714. [Google Scholar] [CrossRef] [PubMed]
  10. Domínguez, L.; Fernández-Ruiz, V.; Cámara Hurtado, M. Phytochemicals and Nutraceuticals with Particular Health-Promoting Effects. Pharmatech 2020, 48, 74–78. [Google Scholar]
  11. European Parliament and Council of the European Union. Regulation (EC) No 1924/2006 of the European Parliament and of the Council of 20 December 2006 on nutrition and health claims made on food. Off. J. Eur. Union 2006, L404, 9. Available online: http://eurlex.europa.eu/legal-content/EN/ALL/?uri=CELEX%3A02006R1924-20121129 (accessed on 1 October 2024).
  12. European Parliament and Council of the European Union. Regulation (EU) No 1169/2011 of the European Parliament and of the Council of 25 October 2011 on the provision of food information to consumers, amending Regulations (EC) No 1924/2006 and (EC) 1925/2006 of the European Parliament and of the Council, and repealing Commission Directive 87/250/EEC, Council Directive 90/496/EEC, Commission Directive 1999/10/EC, Directive 2000/13/EC of the European Parliament and of the Council, Commission Directives 2002/67/EC and 2008/5/EC and Commission Regulation (EC) No 608/2004. Off. J. Eur. Union 2011, L304, 18. Available online: http://eur-lex.europa.eu/legal-content/EN/TXT/?uri=CELEX:32011R1169 (accessed on 5 October 2024).
  13. Salar, F.J.; Sánchez-Bravo, P.; Mena, P.; Cámara, M.; García-Viguera, C. Comparison of vitamin C and flavanones between freshly squeezed orange juices and commercial 100% orange juices from four European countries. Int. J. Food Sci. Nutr. 2024, 75, 255–263. [Google Scholar] [CrossRef] [PubMed]
  14. Morales, P.; Fernández-Ruiz, V.; Sánchez-Mata, M.C.; Cámara, M.; Tardío, J. Optimization and Application of FL-HPLC for Folates Analysis in 20 Species of Mediterranean Wild Vegetables. Food Anal. Methods 2015, 8, 302–311. [Google Scholar] [CrossRef]
  15. Calidad, A. Procedimiento Normalizado de Trabajo de Analiza Calidad Madrid S.L. para la determinación de folatos en zumos por LC-MS/MS (Ref.: PNT-LACC/FQ 254) 2023.
  16. UNE-EN ISO 5667-3:1996; Guía para la Conservación y Manipulación de Muestras. UNE: Madrid, Spain, 1996. Available online: https://www.une.org/encuentra-tu-norma/busca-tu-norma/norma?c=norma-une-en-iso-5667-3-1996-n0013542 (accessed on 20 October 2024).
  17. Domínguez-Perles, R.; Martínez-Ballesta, M.C.; Carvajal, M.; García-Viguera, C.; Moreno, D.A. Broccoli-derived by-products—A promising source of bioactive ingredients. J. Food Sci. 2010, 75, C383–C392. [Google Scholar] [CrossRef] [PubMed]
  18. Delchier, N.; Herbig, A.L.; Rychlik, M.; Renard, C.M.G.C. Folates in Fruits and Vegetables: Contents, Processing, and Stability. Compr. Rev. Food Sci. Food Saf. 2016, 15, 506–528. [Google Scholar] [CrossRef] [PubMed]
  19. Öhrvik, V.; Witthöft, C. Orange juice is a good folate source in respect to folate content and stability during storage and simulated digestion. Eur. J. Nutr. 2008, 47, 92–98. [Google Scholar] [CrossRef] [PubMed]
  20. European Food Safety Authority (EFSA). Dietary Reference Values for Nutrients Summary Report. Available online: https://efsa.onlinelibrary.wiley.com/doi/epdf/10.2903/sp.efsa.2017.e15121 (accessed on 7 October 2024).
  21. Berk, B. Chapter 13–Nutritional and health-promoting aspects of citrus consumption. In Citrus Fruit Processing, 1st ed.; Berk, Z., Ed.; Academic Press: Cambridge, MA, USA, 2016; pp. 261–279. [Google Scholar] [CrossRef]
  22. Alshallash, K.S.; Shahat, M.; Ibrahim, M.I.; Hegazy, A.I.; Hamdy, A.E.; Elnaggar, I.A.; Taha, I.M. The Effect of Different Processing Methods on the Behavior of Minerals Content in Food Products. J. Ecol. Eng. 2023, 24, 263–275. [Google Scholar] [CrossRef] [PubMed]
  23. Dehelean, A.; Magdas, D.A. Analysis of mineral and heavy metal content of some commercial fruit juices by inductively coupled plasma mass spectrometry. Sci. World J. 2013, 2013, 215423. [Google Scholar] [CrossRef] [PubMed]
  24. Schmutzer, G.R.; Dehelean, A.; Magdas, D.A.; Cristea, G.; Voica, C. Determination of stable isotopes, minerals, and volatile organic compounds in Romanian orange juice. Anal. Lett. 2016, 49, 2644–2658. [Google Scholar] [CrossRef]
  25. Topuz, A.; Topakci, M.; Canakci, M.; Akinci, I.; Ozdemir, F. Physical and nutritional properties of four orange varieties. J. Food Eng. 2005, 66, 519–523. [Google Scholar] [CrossRef]
Figure 1. Mean folic acid (5-MTHF) content in fresh (FJ) and commercial non from concentrate (NFC) and from concentrate (FC) orange juice samples. According to Fisher’s least significant difference (LSD) procedure, values (the mean of all samples from the same type of juice) followed by the same letter were not significantly different (p > 0.05).
Figure 1. Mean folic acid (5-MTHF) content in fresh (FJ) and commercial non from concentrate (NFC) and from concentrate (FC) orange juice samples. According to Fisher’s least significant difference (LSD) procedure, values (the mean of all samples from the same type of juice) followed by the same letter were not significantly different (p > 0.05).
Nutrients 16 03605 g001
Table 1. Description of fresh and commercial orange juices analyzed in this study.
Table 1. Description of fresh and commercial orange juices analyzed in this study.
Freshly Squeezed Juices (FSJ)
Code sampleOriginStored
SFSJ1 SpainChilled/Refrigeration
SFSJ2 SpainChilled/Refrigeration
SFSJ3SpainChilled/Refrigeration
SFSJ4 SpainChilled/Refrigeration
Not From Concentrate (NFC)
Code sampleRetail locationStored
FJ1 NFCFranceChilled/Refrigeration
FJ2 NFCFranceChilled/Refrigeration
FJ3 NFCFranceRoom temperature
FJ4 NFCFranceChilled/Refrigeration
UKJ1 NFCUKChilled/Refrigeration
UKJ2 NFCUKChilled/Refrigeration
UKJ3 NFCUKChilled/Refrigeration
UKJ4 NFCUKChilled/Refrigeration
SJ3 NFCSpainChilled/Refrigeration
SJ4 NFCSpainChilled/Refrigeration
From Concentrate (FC)
FJ5 FCFranceRoom temperature
UKJ5 FCUKRoom temperature
UKJ6 FCUKRoom temperature
GJ1 FCGermanyRoom temperature
GJ2 FCGermanyRoom temperature
GJ3 FCGermanyRoom temperature
GJ4 FCGermanyRoom temperature
GJ5 FCGermanyRoom temperature
SJ1 FCSpainRoom temperature
SJ2 FCSpainRoom temperature
SJ5 FCSpainRoom temperature
Table 2. Folic acid (5-MTHF) content in fresh and commercial orange juice samples.
Table 2. Folic acid (5-MTHF) content in fresh and commercial orange juice samples.
5-MTHF (µg/100 mL)
Differences between processing techniques, ANOVA TestSignificance
FSJ–NFCNS
FSJ–FC*
FC–NFC*
Differences between processing techniques, ANOVA TestSignificance
France***
UK***
Germany***
Spain***
Countries***
Tukey’s Multiple Range Test +
Spanish Fresh Squeezed Juices (t = 0)5-MTHF (µg/100 mL)
SFSJ123.860 (0.530) c
SFSJ26.025 (0.113) a
SFSJ37.787 (0.055) b
SFSJ425.510 (1.594) d
Commercial orange juicesMean
France
FJ1 NFC 17.253 (0.075) c
FJ2 NFC 23.193 (0.681) a
FJ3 NFC 20.030 (0.881) b
FJ4 NFC 19.966 (0.766) b
FJ5 FC17.323 (0.260) c
UK
UKJ1 NFC 16.500 (0.766) c
UKJ2 NFC 18.063 (0.826) b
UKJ3 NFC 21.130 (0.121) a
UKJ4 NFC 18.917 (0.051) b
UKJ5 FC13.880 (0.154) d
UKJ6 FC13.447 (0.291) d
Germany
GJ1 FC 3.850 (0.227) b
GJ2 FC4.390 (0.173) b
GJ3 FC 3.887 (0.057) b
GJ4 FC 4.817 (0.109) b
GJ5 FC 6.790 (0.060) a
Spain
SJ1 FC 8.252 (0.287) b
SJ2 FC 8.250 (0.040) b
SJ3 NFC8.150 (0.175) b
SJ4 NFC8.360 (0.177) b
SJ5 FC11.380 (0.701) a
Note: NS: not significant at p > 0.05; * and *** significant at p < 0.05 and 0.001, respectively. + Values: the mean of three replications (standard deviations), followed by the same letter within the same column and country, were not significantly different (p > 0.05). Results were expressed as µg 5-MTHF/100 mL.
Table 3. Folic acid (5-MTHF) content in fresh orange juice samples, from Spain, at four time points (t = 0, 12, 24, and 48 h).
Table 3. Folic acid (5-MTHF) content in fresh orange juice samples, from Spain, at four time points (t = 0, 12, 24, and 48 h).
Samples
TimeSFSJ1SFSJ2SFSJ3SFSJ4
t023.860 (0.530) a6.025 (0.113) a7.787 (0.055) a25.510 (1.592) ab
t1221.243 (0.925) a5.733 (0.593) a7.343 (0.461) a23.307 (0.540) b
t2424.580 (0.454) a5.547 (0.481) a7.123 (0.071) a25.883 (0.200) a
t4818.897 (0.681) a5.660 (0.440) a6.920 (0.503) a26.573 (0.690) a
ANOVA TestNSNSNS**
Note: The value mean of three replications (standard deviations) followed by the same letter within the same column and country were not significantly different (p > 0.05). NS: not significant at p > 0.05; ** significant at p < 0.001. Results were expressed as µg 5-MTHF/100 mL.
Table 4. Contribution of commercial and fresh orange juices (mean value of t = 0) to folate daily requirements established for different target groups (children aged 1–3 years, 4–6 years, and 7–10 years); teenagers (aged 11–14 years and 15–17 years); >18 years; pregnant women; and lactating women [20].
Table 4. Contribution of commercial and fresh orange juices (mean value of t = 0) to folate daily requirements established for different target groups (children aged 1–3 years, 4–6 years, and 7–10 years); teenagers (aged 11–14 years and 15–17 years); >18 years; pregnant women; and lactating women [20].
AgeSex5-MTHF % Contribution% Contribution
μg/dayFrance UK Spain Germany SFSJ1 SFSJ2 SFSJ3 SFSJ4
1–3 years-12032.628.314.87.939.810.013.042.5
4–5 years-15026.122.711.86.331.88.010.434.0
6–9 years-20019.617.08.94.823.96.07.825.5
10–13 yearsMen27014.512.66.63.517.74.55.818.9
Women27014.512.66.63.517.74.55.818.9
14–19 yearsMen33011.910.35.42.914.53.74.715.5
Women33011.910.35.42.914.53.74.715.5
20–70 yearsMen33011.910.35.42.914.53.74.715.5
Women33011.910.35.42.914.53.74.715.5
-Pregnant women5007.86.83.61.99.52.43.110.2
-Lactating women5007.86.83.61.99.52.43.110.2
Table 5. Mean mineral content of the most relevant minerals (Ca, K, Mg, Fe, Mn, and Zn) present in commercial and fresh orange juice samples. Results expressed as mg/100 mL.
Table 5. Mean mineral content of the most relevant minerals (Ca, K, Mg, Fe, Mn, and Zn) present in commercial and fresh orange juice samples. Results expressed as mg/100 mL.
SamplesCa K Mg FeMn Zn
ANOVA Tests among different types of juices
FC-FSJ**NS***
FC-NFC*NSNSNSNSNS
FSJ-NFCNS*NS***
ANOVA Tests within and among countries
France
FJ1 NFC 10.648 (0.922) a223.404 (6.618) a12.081 (0.440) a0.171 (0.029) a0.043 (0.007) a0.056 (0.003) abc
FJ2 NFC 7.479 (0.170) bc177.086 (0.265) b10.372 (0.010) cd0.087 (0.006) b0.026 (0.000) c0.042 (0.000) a
FJ3 NFC 6.298 (0.037) c185.696 (2.787) b9.966 (0.149) d0.106 (0.001) b0.035 (0.002) ab0.065 (0.015) bc
FJ4 NFC 8.856 (0.749) b185.141 (2.324) b11.263 (0.208) b0.113 (0.004) b0.043 (0.002) a0.046 (0.001) ab
FJ5 FC8.246 (0.178) b181.302 (7.265) b10.831 (0.210) bc0.118 (0.008) b0.032 (0.001) bc0.071 (0.024) c
ANOVA test***************NS
UK
UKJ1 NFC 8.908 (0.055) b220.648 (3.052) a12.329 (0.191) a0.137 (0.013) ab0.051 (0.000) a0.052 (0.001) a
UKJ2 NFC 8.763 (0.083) b209.656 (1.792) ab11.915 (0.118) ab0.132 (0.027) ab0.046 (0.002) bc0.045 (0.001) ab
UKJ3 NFC 6.382 (0.005) d187.662 (0.235) c10.221 (0.036) d0.095 (0.009) a0.033 (0.003) d0.041 (0.000) b
UKJ4 NFC 7.148 (0.044) c198.417 (5.359) bc10.976 (0.293) c0.144 (0.050) b0.043 (0.001) bc0.044 (0.004) ab
UKJ5 FC11.949 (0.228) a198.957 (11.052) bc11.505 (0.077) bc0.126 (0.030) ab0.047 (0.002) ab0.041 (0.008) b
UKJ6 FC11.918 (0.447) a201.796 (4.862) bc11.201 (0.285) c0.097 (0.002) ab0.042 (0.001) c0.047 (0.001) ab
ANOVA test*********NS*****
Germany
GJ1 FC 10.622 (0.199) bc202.755 (2.845) a11.859 (0.191) a0.126 (0.020) a0.041 (0.000) bc0.051 (0.001) a
GJ2 FC8.432 (0.290) c189.914 (6.703) bc10.462 (0.784) b0.149 (0.011) a0.032 (0.009) c0.042 (0.002) b
GJ3 FC 12.751 (0.032) ab197.339 (1.044) ab11.215 (0.051) ab0.116 (0.006) a0.036 (0.001) c0.046 (0.002) ab
GJ4 FC 14.222 (1.932) a193.217 (4.635) ab12.019 (0.650) a0.119 (0.020) a0.048 (0.001) ab0.049 (0.004) ab
GJ5 FC 10.307 (0.005) c181.455 (1.333) c11.391 (0.076) ab0.135 (0.046) a0.055 (0.001) a0.044 (0.004) ab
ANOVA test********NS*****
Spain
SJ1 FC 5.473 (0.241) c167.720 (5.813) b8.943 (0.318) b0.085 (0.006) c0.030 (0.002) b0.042 (0.001) a
SJ2 FC 6.723 (0.143) b189.997 (5.080) a9.629 (0.280) ab0.104 (0.007) c0.023 (0.002) c0.037 (0.002) b
SJ3 NFC6.852 (0.130) b168.774 (3.647) b9.050 (0.207) ab0.375 (0.054) a0.025 (0.001) c0.039 (0.000) ab
SJ4 NFC9.332 (0.254) a178.733 (1.426) ab10.261 (0.057) a0.082 (0.001) c0.018 (0.001) d0.036 (0.001) b
SJ5 FC9.385 (0.635) a173.173 (15.282) ab9.986 (0.925) ab0.227 (0.038) b0.042 (0.003) a0.040 (0.003) ab
ANOVA test***************
ANOVA test among countries of purchasing*********NS******
Note: NS: not significant at p > 0.05; *, **, and *** significant at p < 0.05, 0.01, and 0.001, respectively. Values: the mean of three replications (standard deviations) followed by the same letter within the same column and country were not significantly different (p > 0.05).
Table 6. The mean mineral content of fresh orange juice samples as obtained at t0 after storage (t = 0 to 48 h). Results expressed as mg/100 mL.
Table 6. The mean mineral content of fresh orange juice samples as obtained at t0 after storage (t = 0 to 48 h). Results expressed as mg/100 mL.
Samples at t = 0Ca K Mg FeMn Zn
SFSJ17.330 (0.053) b197.088 (1.888) c11.017 (0.139) b0.069 (0.011) a0.012 (0.002) a0.036 (0.000) b
SFSJ27.182 (0.584) b182.222 (12.752) b9.881 (0.391) a0.076 (0.012) a0.021 (0.000) b0.032 (0.000) a
SFSJ35.899 (0.602) a158.362 (2.573) a10.515 (0.171) ab0.078 (0.001) a0.012 (0.001) a0.036 (0.002) b
SFSJ47.644 (0.130) b163.459 (4.243) a9.963 (0.294) a0.077 (0.002) a0.024 (0.003) b0.043 (0.001) c
ANOVA Test—Influence of Storage time (from 0 to 48 h)
SamplesCaKMgFeMnZn
SFSJ1NS**NSNSNS***
SFSJ2NSNSNSNS***NS
SFSJ3NSNSNSNS**NS
SFSJ4NSNSNSNSNSNS
Note: NS: not significant at p > 0.05; ** and *** significant at p < 0.01 and 0.001, respectively. Values: the mean of three replications (standard deviations) followed by the same letter were not significantly different (p > 0.05).
Table 7. Contribution of commercial and fresh orange juices (mean value of t = 0) to potassium daily requirements established for different target groups (children aged 1–3 years, 4–6 years, and 7–10 years); teenagers (aged 11–14 years and 15–17 years); >18 years; pregnant women; and lactating women [20].
Table 7. Contribution of commercial and fresh orange juices (mean value of t = 0) to potassium daily requirements established for different target groups (children aged 1–3 years, 4–6 years, and 7–10 years); teenagers (aged 11–14 years and 15–17 years); >18 years; pregnant women; and lactating women [20].
AgeSexPotassium Requirements % Contribution of Commercial Orange Juices from Different Retail Locations% Contribution of Fresh Orange Juices
mg/dayFrance UK Spain Germany SFSJ1 SFSJ2 SFSJ3 SFSJ4
1–3 years-80047.650.743.948.249.345.639.640.9
4–6 years-110034.636.931.935.135.833.128.829.7
7–10 years-180021.222.519.521.421.920.217.618.2
11–14 yearsMen270014.115.013.014.314.613.511.712.1
Women270014.115.013.014.314.613.511.712.1
15–17 yearsMen350010.911.610.011.011.310.49.09.3
Women350010.911.610.011.011.310.49.09.3
>18 yearsMen350010.911.610.011.011.310.49.09.3
Women350010.911.610.011.011.310.49.09.3
-Pregnant women350010.911.610.011.011.310.49.09.3
-Lactating women40009.510.18.89.69.99.17.98.2
Disclaimer/Publisher’s Note: The statements, opinions and data contained in all publications are solely those of the individual author(s) and contributor(s) and not of MDPI and/or the editor(s). MDPI and/or the editor(s) disclaim responsibility for any injury to people or property resulting from any ideas, methods, instructions or products referred to in the content.

Share and Cite

MDPI and ACS Style

Cámara, M.; Domínguez, L.; Medina, S.; Mena, P.; García-Viguera, C. A Comparative Analysis of Folate and Mineral Contents in Freshly Squeezed and Commercial 100% Orange Juices Available in Europe. Nutrients 2024, 16, 3605. https://doi.org/10.3390/nu16213605

AMA Style

Cámara M, Domínguez L, Medina S, Mena P, García-Viguera C. A Comparative Analysis of Folate and Mineral Contents in Freshly Squeezed and Commercial 100% Orange Juices Available in Europe. Nutrients. 2024; 16(21):3605. https://doi.org/10.3390/nu16213605

Chicago/Turabian Style

Cámara, Montaña, Laura Domínguez, Sonia Medina, Pedro Mena, and Cristina García-Viguera. 2024. "A Comparative Analysis of Folate and Mineral Contents in Freshly Squeezed and Commercial 100% Orange Juices Available in Europe" Nutrients 16, no. 21: 3605. https://doi.org/10.3390/nu16213605

APA Style

Cámara, M., Domínguez, L., Medina, S., Mena, P., & García-Viguera, C. (2024). A Comparative Analysis of Folate and Mineral Contents in Freshly Squeezed and Commercial 100% Orange Juices Available in Europe. Nutrients, 16(21), 3605. https://doi.org/10.3390/nu16213605

Note that from the first issue of 2016, this journal uses article numbers instead of page numbers. See further details here.

Article Metrics

Back to TopTop