Alcohol Intake and Prevalent Kidney Stone: The National Health and Nutrition Examination Survey 2007–2018
Abstract
1. Introduction
2. Methods
2.1. Study Population
2.2. Primary Exposure and Outcome
2.3. Primary Outcome
2.4. Covariates
2.5. Analysis
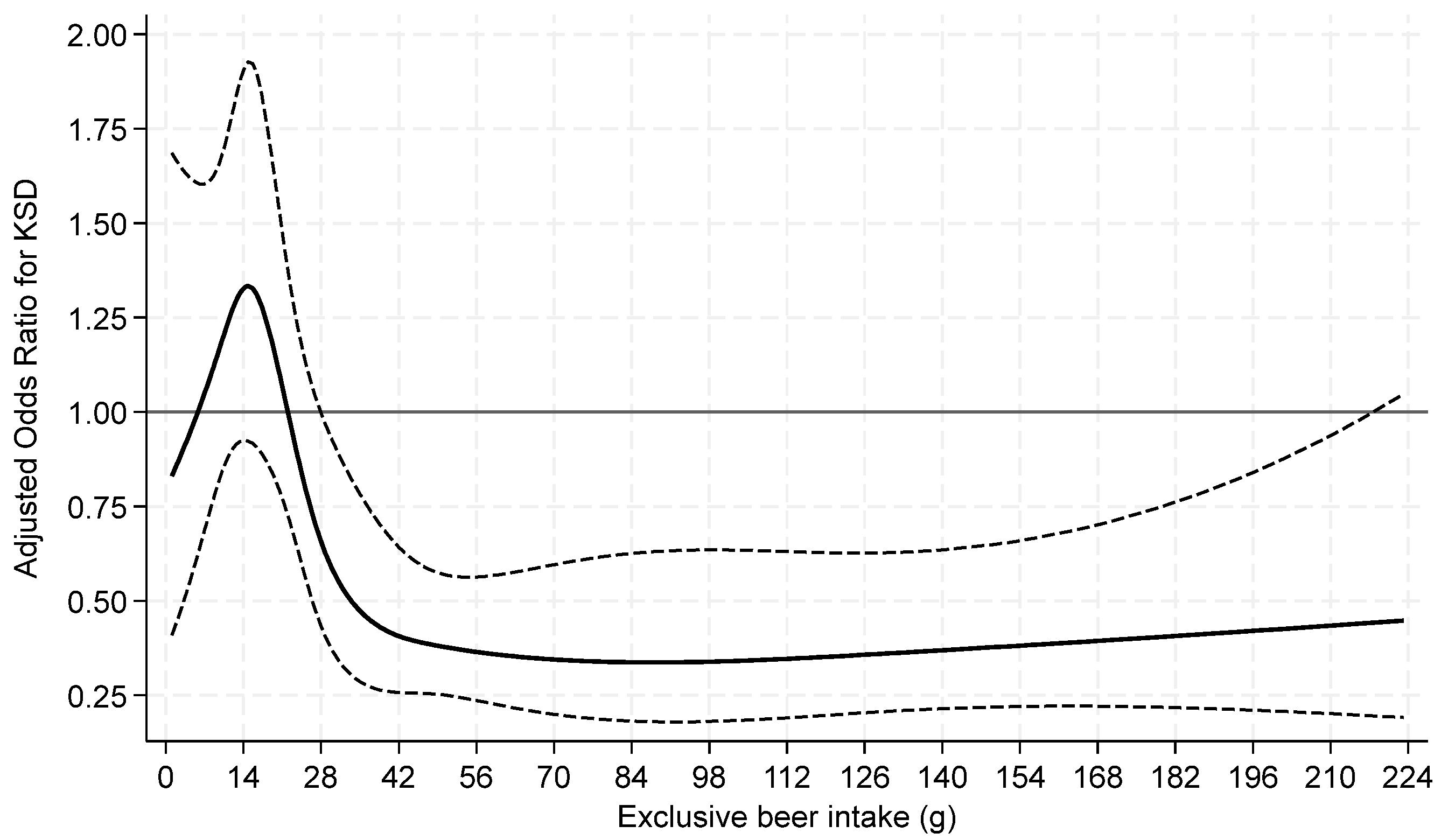
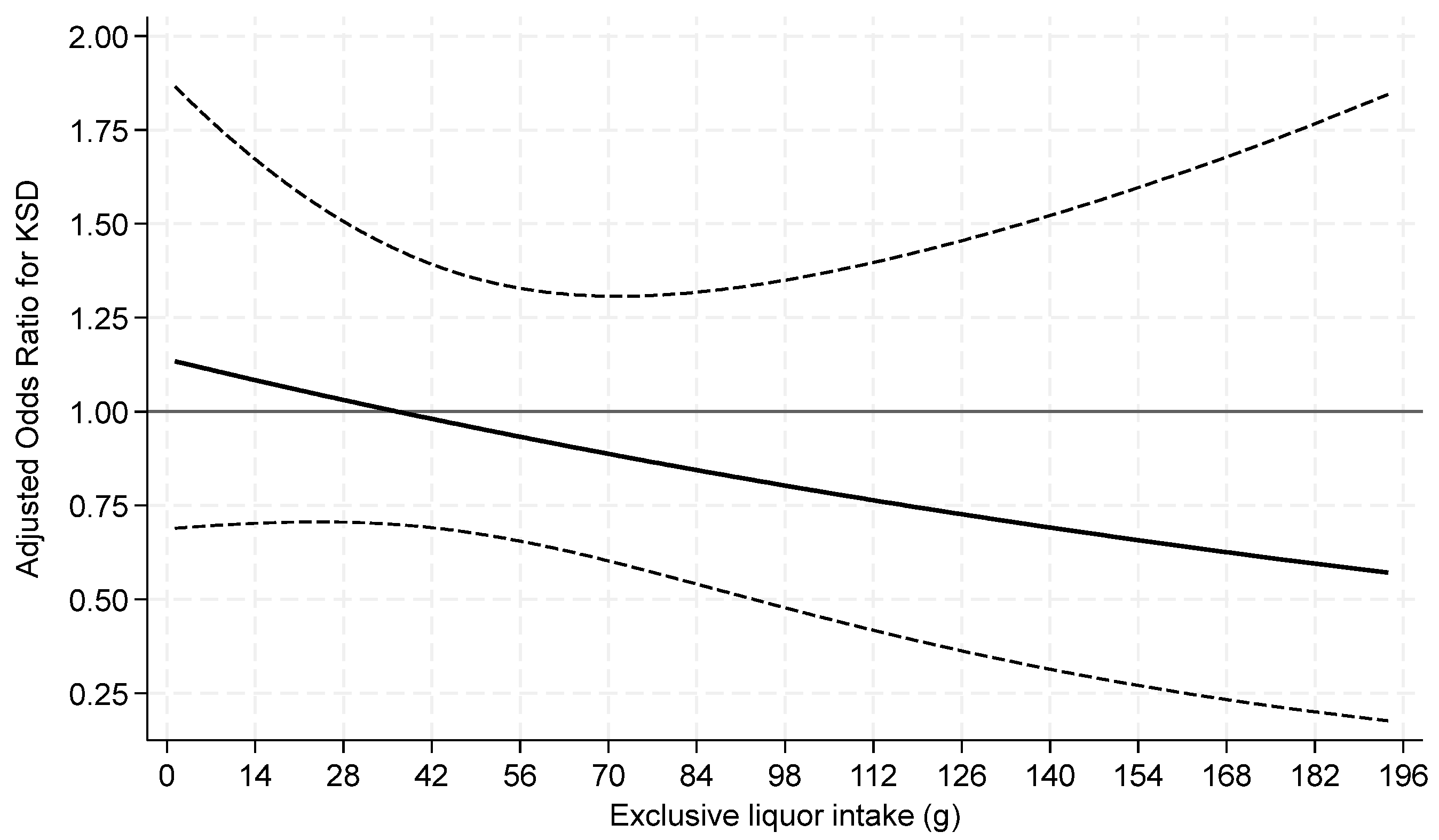
3. Results
4. Discussion
5. Conclusions
Supplementary Materials
Author Contributions
Funding
Institutional Review Board Statement
Informed Consent Statement
Data Availability Statement
Conflicts of Interest
References
- Scales, C.D., Jr.; Smith, A.C.; Hanley, J.M.; Saigal, C.S. Prevalence of kidney stones in the United States. Eur. Urol. 2012, 62, 160–165. [Google Scholar] [CrossRef] [PubMed]
- Saigal, C.S.; Joyce, G.; Timilsina, A.R. Direct and indirect costs of nephrolithiasis in an employed population: Opportunity for disease management? Kidney Int. 2005, 68, 1808–1814. [Google Scholar] [CrossRef] [PubMed]
- Aruga, S.; Honma, Y. Renal calcium excretion and urolithiasis. Clin. Calcium 2011, 21, 1465–1472. [Google Scholar] [PubMed]
- Borghi, L.; Meschi, T.; Amato, F.; Briganti, A.; Novarini, A.; Giannini, A. Urinary volume, water and recurrences in idiopathic calcium nephrolithiasis: A 5-year randomized prospective study. J. Urol. 1996, 155, 839–843. [Google Scholar] [CrossRef] [PubMed]
- Curhan, G.C.; Willett, W.C.; Rimm, E.B.; Spiegelman, D.; Stampfer, M.J. Prospective study of beverage use and the risk of kidney stones. Am. J. Epidemiol. 1996, 143, 240–247. [Google Scholar] [CrossRef]
- Xu, C.; Zhang, C.; Wang, X.L.; Liu, T.Z.; Zeng, X.T.; Li, S.; Duan, X.W. Self-Fluid Management in Prevention of Kidney Stones: A PRISMA-Compliant Systematic Review and Dose-Response Meta-Analysis of Observational Studies. Medicine 2015, 94, e1042. [Google Scholar] [CrossRef]
- Ruggenenti, P.; Caruso, M.R.; Cortinovis, M.; Perna, A.; Peracchi, T.; Giuliano, G.A.; Rota, S.; Brambilla, P.; Invernici, G.; Villa, D.; et al. Fresh lemon juice supplementation for the prevention of recurrent stones in calcium oxalate nephrolithiasis: A pragmatic, prospective, randomised, open, blinded endpoint (PROBE) trial. EClinicalMedicine 2022, 43, 101227. [Google Scholar] [CrossRef]
- Ferraro, P.M.; Taylor, E.N.; Gambaro, G.; Curhan, G.C. Soda and other beverages and the risk of kidney stones. Clin. J. Am. Soc. Nephrol. 2013, 8, 1389–1395. [Google Scholar] [CrossRef]
- García-Sanchez, A.; Gonzalez-Calvin, J.L.; Diez-Ruiz, A.; Casals, J.L.; Gallego-Rojo, F.; Salvatierra, D. Effect of acute alcohol ingestion on mineral metabolism and osteoblastic function. Alcohol. Alcohol. 1995, 30, 449–453. [Google Scholar]
- Perry, H.M., 3rd; Horowitz, M.; Fleming, S.; Kaiser, F.E.; Patrick, P.; Morley, J.E.; Cushman, W.; Bingham, S.; Perry, H.M., Jr. The effects of season and alcohol intake on mineral metabolism in men. Alcohol. Clin. Exp. Res. 1999, 23, 214–219. [Google Scholar] [CrossRef]
- De Marchi, S.; Cecchin, E.; Basile, A.; Bertotti, A.; Nardini, R.; Bartoli, E. Renal tubular dysfunction in chronic alcohol abuse--effects of abstinence. N. Engl. J. Med. 1993, 329, 1927–1934. [Google Scholar] [CrossRef] [PubMed]
- Lieber, C.S.; Jones, D.P.; Losowsky, M.S.; Davidson, C.S. Interrelation of uric acid and ethanol metabolism in man. J. Clin. Investig. 1962, 41, 1863–1870. [Google Scholar] [CrossRef]
- Maclachlan, M.J.; Rodnan, G.P. Effect of food, fast and alcohol on serum uric acid and acute attacks of gout. Am. J. Med. 1967, 42, 38–57. [Google Scholar] [CrossRef] [PubMed]
- Faller, J.; Fox, I.H. Ethanol-induced hyperuricemia: Evidence for increased urate production by activation of adenine nucleotide turnover. N. Engl. J. Med. 1982, 307, 1598–1602. [Google Scholar] [CrossRef] [PubMed]
- Gibson, T.; Rodgers, A.V.; Simmonds, H.A.; Toseland, P. Beer drinking and its effect on uric acid. Br. J. Rheumatol. 1984, 23, 203–209. [Google Scholar] [CrossRef] [PubMed]
- Barker, E.S.; Elkinton, J.R.; Clark, J.K. Studies of the renal excretion of magnesium in man. J. Clin. Investig. 1959, 38, 1733–1745. [Google Scholar] [CrossRef] [PubMed]
- McCollister, R.J.; Flink, E.B.; Lewis, M.D. Urinary Excretion of Magnesium in Man Following the Ingestion of Ethanol. Am. J. Clin. Nutr. 1963, 12, 415–420. [Google Scholar] [CrossRef]
- Kalbfleisch, J.M.; Lindeman, R.D.; Ginn, H.E.; Smith, W.O. Effects of ethanol administration on urinary excretion of magnesium and other electrolytes in alcoholic and normal subjects. J. Clin. Investig. 1963, 42, 1471–1475. [Google Scholar] [CrossRef]
- Rylander, R.; Mégevand, Y.; Lasserre, B.; Amstutz, W.; Granbom, S. Moderate alcohol consumption and urinary excretion of magnesium and calcium. Scand. J. Clin. Lab. Investig. 2001, 61, 401–405. [Google Scholar] [CrossRef]
- Israr, B.; Frazier, R.A.; Gordon, M.H. Effects of phytate and minerals on the bioavailability of oxalate from food. Food Chem. 2013, 141, 1690–1693. [Google Scholar] [CrossRef]
- Kohri, K.; Garside, J.; Blacklock, N.J. The role of magnesium in calcium oxalate urolithiasis. Br. J. Urol. 1988, 61, 107–115. [Google Scholar] [CrossRef] [PubMed]
- Lieske, J.C.; Farell, G.; Deganello, S. The effect of ions at the surface of calcium oxalate monohydrate crystals on cell-crystal interactions. Urol. Res. 2004, 32, 117–123. [Google Scholar] [CrossRef] [PubMed]
- Eggleton, M.G. The diuretic action of alcohol in man. J. Physiol. 1942, 101, 172–191. [Google Scholar] [CrossRef]
- Strauss, M.B.; Rosenbaum, J.D.; Nelson, W.P., 3rd. The effect of alcohol on the renal excretion of water and electrolyte. J. Clin. Investig. 1950, 29, 1053–1058. [Google Scholar] [CrossRef]
- Rubini, M.E.; Kleeman, C.R.; Lamdin, E. Studies on alcohol diuresis. I. The effect of ethyl alcohol ingestion on water, electrolyte and acid-base metabolism. J. Clin. Investig. 1955, 34, 439–447. [Google Scholar] [CrossRef]
- Jones, A.W. Excretion of alcohol in urine and diuresis in healthy men in relation to their age, the dose administered and the time after drinking. Forensic Sci. Int. 1990, 45, 217–224. [Google Scholar] [CrossRef]
- Hirvonen, T.; Pietinen, P.; Virtanen, M.; Albanes, D.; Virtamo, J. Nutrient intake and use of beverages and the risk of kidney stones among male smokers. Am. J. Epidemiol. 1999, 150, 187–194. [Google Scholar] [CrossRef] [PubMed][Green Version]
- Zhou, Z.; Huang, Z.; Ai, G.; Guo, X.; Zeng, G.; Zhu, W. Association between alcohol consumption and kidney stones in American adults: 2007–2016 NHANES. Front. Public. Health 2023, 11, 1156097. [Google Scholar] [CrossRef]
- Krieger, J.N.; Kronmal, R.A.; Coxon, V.; Wortley, P.; Thompson, L.; Sherrard, D.J. Dietary and behavioral risk factors for urolithiasis: Potential implications for prevention. Am. J. Kidney Dis. 1996, 28, 195–201. [Google Scholar] [CrossRef]
- Goldfarb, D.S.; Fischer, M.E.; Keich, Y.; Goldberg, J. A twin study of genetic and dietary influences on nephrolithiasis: A report from the Vietnam Era Twin (VET) Registry. Kidney Int. 2005, 67, 1053–1061. [Google Scholar] [CrossRef]
- Wang, H.; Fan, J.; Yu, C.; Guo, Y.; Pei, P.; Yang, L.; Chen, Y.; Du, H.; Meng, F.; Chen, J.; et al. Consumption of Tea, Alcohol, and Fruits and Risk of Kidney Stones: A Prospective Cohort Study in 0.5 Million Chinese Adults. Nutrients 2021, 13, 1119. Available online: https://www.mdpi.com/2072-6643/13/4/1119 (accessed on 6 June 2024). [CrossRef]
- CDC Alcohol Use-About Standard Drink Sizes. Available online: https://www.cdc.gov/alcohol/standard-drink-sizes/index.html (accessed on 27 June 2024).
- Orsini, N.; Greenland, S. A procedure to tabulate and plot results after flexible modeling of a quantitative covariate. Stata J. 2011, 11, 1–29. Available online: https://EconPapers.repec.org/RePEc:tsj:stataj:v:11:y:2011:i:1:p:1-29 (accessed on 6 June 2024). [CrossRef]
- Royston, P.; Sauerbrei, W.; Becher, H. Modelling continuous exposures with a ‘spike’ at zero: A new procedure based on fractional polynomials. Stat. Med. 2010, 29, 1219–1227. [Google Scholar] [CrossRef] [PubMed]
- Grases, F.; Rodriguez, A.; Costa-Bauza, A. Efficacy of Mixtures of Magnesium, Citrate and Phytate as Calcium Oxalate Crystallization Inhibitors in Urine. J. Urol. 2015, 194, 812–819. [Google Scholar] [CrossRef]
- Shringi, S.; Raker, C.A.; Tang, J. Dietary Magnesium Intake and Kidney Stone: The National Health and Nutrition Examination Survey 2011–2018. R. I Med. J. 2023, 106, 20–25. [Google Scholar] [CrossRef]
- Bird, E.D.; Thomas, W.C. Effect of Various Metals on Mineralization in vitro. Proc. Soc. Exp. Biol. Med. 1963, 112, 640–643. [Google Scholar] [CrossRef] [PubMed]
- Sutor, D.J. Growth studies of calcium oxalate in the presence of various ions and compounds. Br. J. Urol. 1969, 41, 171–178. [Google Scholar] [CrossRef]
- François, B.; Cahen, R.; Pascal, B. Inhibitors of urinary stone formation in 40 recurrent stone formers. Br. J. Urol. 1986, 58, 479–483. [Google Scholar] [CrossRef] [PubMed]
- Atakan, I.H.; Kaplan, M.; Seren, G.; Aktoz, T.; Gül, H.; Inci, O. Serum, urinary and stone zinc, iron, magnesium and copper levels in idiopathic calcium oxalate stone patients. Int. Urol. Nephrol. 2007, 39, 351–356. [Google Scholar] [CrossRef]
- Tang, J.; McFann, K.; Chonchol, M. Dietary Zinc Intake and Kidney Stone Formation: Evaluation of NHANES III. Am. J. Nephrol. 2012, 36, 549–553. [Google Scholar] [CrossRef]
- Chavassieux, P.; Serre, C.M.; Vergnaud, P.; Delmas, P.D.; Meunier, P.J. In vitro evaluation of dose-effects of ethanol on human osteoblastic cells. Bone Miner. 1993, 22, 95–103. [Google Scholar] [CrossRef]
- Dai, J.; Lin, D.; Zhang, J.; Habib, P.; Smith, P.; Murtha, J.; Fu, Z.; Yao, Z.; Qi, Y.; Keller, E.T. Chronic alcohol ingestion induces osteoclastogenesis and bone loss through IL-6 in mice. J. Clin. Investig. 2000, 106, 887–895. [Google Scholar] [CrossRef]
- Laitinen, K.; Tähtelä, R.; Välimäki, M. The dose-dependency of alcohol-induced hypoparathyroidism, hypercalciuria, and hypermagnesuria. Bone Miner. 1992, 19, 75–83. [Google Scholar] [CrossRef] [PubMed]
- Ka, T.; Yamamoto, T.; Moriwaki, Y.; Kaya, M.; Tsujita, J.; Takahashi, S.; Tsutsumi, Z.; Fukuchi, M.; Hada, T. Effect of exercise and beer on the plasma concentration and urinary excretion of purine bases. J. Rheumatol. 2003, 30, 1036–1042. [Google Scholar] [PubMed]
- Moriwaki, Y.; Ka, T.; Takahashi, S.; Tsutsumi, Z.; Yamamoto, T. Effect of Beer Ingestion on the Plasma Concentrations and Urinary Excretion of Purine Bases: One-Month Study. Nucleosides Nucleotides Nucleic Acids 2006, 25, 1083–1085. [Google Scholar] [CrossRef]
- Ka, T.; Moriwaki, Y.; Inokuchi, T.; Yamamoto, A.; Takahashi, S.; Tsutsumi, Z.; Yamamoto, T. Effects of allopurinol on beer-induced increases in plasma concentrations and urinary excretion of purine bases (uric acid, hypoxanthine, and xanthine). Horm. Metab. Res. 2006, 38, 188–192. [Google Scholar] [CrossRef]
- Li, Y.; Pan, J.; Zhang, Y.; Chang, Y.; Yang, X.; Yang, B.; Mao, X.; Wang, Z.; Gao, B.; Lu, X. Effects of small molecules water that may retard kidney stone formation. Int. Urol. Nephrol. 2018, 50, 225–230. [Google Scholar] [CrossRef] [PubMed]
- Ferraro, P.M.; Baccaro, R.; Baroni, S.; D’Alessandri, L.; Carpenito, C.; Di Daniele, N.; Urbani, A.; Gambaro, G. Effect of water composition and timing of ingestion on urinary lithogenic profile in healthy volunteers: A randomized crossover trial. J. Nephrol. 2021, 34, 875–881. [Google Scholar] [CrossRef]
- Wang, J.S.; Chiang, H.Y.; Chen, H.L.; Flores, M.; Navas-Acien, A.; Kuo, C.C. Association of water intake and hydration status with risk of kidney stone formation based on NHANES 2009-2012 cycles. Public Health Nutr. 2022, 25, 2403–2414. [Google Scholar] [CrossRef]
- Bao, Y.; Tu, X.; Wei, Q. Water for preventing urinary stones. Cochrane Database Syst. Rev. 2020. [Google Scholar] [CrossRef]
- Van Cleemput, M.; Cattoor, K.; De Bosscher, K.; Haegeman, G.; De Keukeleire, D.; Heyerick, A. Hop (Humulus lupulus)-derived bitter acids as multipotent bioactive compounds. J. Nat. Prod. 2009, 72, 1220–1230. [Google Scholar] [CrossRef] [PubMed]
- Zanoli, P.; Zavatti, M. Pharmacognostic and pharmacological profile of Humulus lupulus L. J. Ethnopharmacol. 2008, 116, 383–396. [Google Scholar] [CrossRef] [PubMed]
- Frąckowiak, A.; Koźlecki, T.; Skibiński, P.; GaweŁ, W.; Zaczyńska, E.; Czarny, A.; Piekarska, K.; Gancarz, R. Solubility, inhibition of crystallization and microscopic analysis of calcium oxalate crystals in the presence of fractions from Humulus lupulus L. J. Cryst. Growth 2010, 312, 3525–3532. [Google Scholar] [CrossRef]
- Kamal, W.K.; Bokhari, A.; Alesia, S.M.; Mahjari, T.M.; Binsalman, W.A.; Laher, A.E.; Adam, A. Utilization of barley and parsley for the management of urolithiasis among the Saudi Arabian population. Urol. Ann. 2024, 16, 125–128. [Google Scholar] [CrossRef]
- McDonald, J.T.; Margen, S. Wine versus ethanol in human nutrition. III. Calcium, phosphorous, and magnesium balance. Am. J. Clin. Nutr. 1979, 32, 823–833. [Google Scholar] [CrossRef]
- McDonald, J.T.; Margen, S. Wine versus ethanol in human nutrition. IV. Zinc balance. Am. J. Clin. Nutr. 1980, 33, 1096–1102. [Google Scholar] [CrossRef] [PubMed]
- Byahatti, V.V.; Pai, K.V.; D’Souza, M.G. Effect of Phenolic Compounds from Bergenia ciliata (Haw.) Sternb.leaves on Experimental kidney stones. Anc. Sci. Life 2010, 30, 14–17. [Google Scholar]
- Hefer, M.; Huskic, I.M.; Petrovic, A.; Raguz-Lucic, N.; Kizivat, T.; Gjoni, D.; Horvatic, E.; Udiljak, Z.; Smolic, R.; Vcev, A.; et al. A Mechanistic Insight into Beneficial Effects of Polyphenols in the Prevention and Treatment of Nephrolithiasis: Evidence from Recent In Vitro Studies. Crystals 2023, 13, 1070. Available online: https://www.mdpi.com/2073-4352/13/7/1070 (accessed on 6 June 2024). [CrossRef]
- Li, S.; Zhou, D.; Zhu, Z.; Tan, X.; Tang, W.; Gong, J. Boosting inhibition performance of natural polyphenols for the prevention of calcium oxalate kidney stones through synergistic cooperativity. Commun. Mater. 2023, 4, 67. [Google Scholar] [CrossRef]
- Curhan, G.C.; Willett, W.C.; Speizer, F.E.; Stampfer, M.J. Beverage use and risk for kidney stones in women. Ann. Intern. Med. 1998, 128, 534–540. [Google Scholar] [CrossRef]
- Serio, F.; Imbriani, G.; Acito, M.; Moretti, M.; Fanizzi, F.P.; De Donno, A.; Valacchi, G. Moderate red wine intake and cardiovascular health protection: A literature review. Food Funct. 2023, 14, 6346–6362. [Google Scholar] [CrossRef] [PubMed]
- Fukui, S.; Okada, M.; Rahman, M.; Matsui, H.; Shiraishi, A.; Nakai, T.; Tamaki, H.; Kishimoto, M.; Hasegawa, H.; Matsuda, T.; et al. Differences in the Association Between Alcoholic Beverage Type and Serum Urate Levels Using Standardized Ethanol Content. JAMA Netw. Open 2023, 6, e233398. [Google Scholar] [CrossRef] [PubMed]
- Taivainen, H.; Laitinen, K.; Tähtelä, R.; Kilanmaa, K.; Välimäki, M.J. Role of plasma vasopressin in changes of water balance accompanying acute alcohol intoxication. Alcohol. Clin. Exp. Res. 1995, 19, 759–762. [Google Scholar] [CrossRef]
- Helderman, J.H.; Vestal, R.E.; Rowe, J.W.; Tobin, J.D.; Andres, R.; Robertson, G.L. The response of arginine vasopressin to intravenous ethanol and hypertonic saline in man: The impact of aging. J. Gerontol. 1978, 33, 39–47. [Google Scholar] [CrossRef] [PubMed]




| KS Former | Non-KS Former | p Value | |
|---|---|---|---|
| Total n, unweighted | 9.7 (2840) | 90.3 (26,844) | |
| Male sex | 54.6 (1571) | 47.4 (12,865) | <0.001 |
| Age (y) | 53.7 ± 0.38 | 46.8 ± 0.26 | <0.001 |
| Race | <0.001 | ||
| Non-Hispanic White | 76.2 (1553) | 65.3 (10,851) | |
| Non-Hispanic Black | 5.9 (376) | 11.8 (5995) | |
| Hispanic/Latino | 11.7 (690) | 14.7 (6844) | |
| Non-Hispanic other | 6.1 (221) | 8.2 (3154) | |
| BMI (kg/m2) | <0.001 | ||
| <25.0 | 19.8 (542) | 30.2 (7803) | |
| 25.0–<30.0 | 32.9 (962) | 32.8 (8784) | |
| 30.0+ | 47.2 (1336) | 37.0 (10,257) | |
| History of diabetes | 22.4 (736) | 10.8 (3895) | <0.001 |
| History of hypertension | 48.7 (1487) | 32.3 (9841) | <0.001 |
| Thiazide diuretic use | 12.6 (377) | 7.8 (2498) | <0.001 |
| Smoking status | <0.001 | ||
| Never | 49.8 (1392) | 56.2 (15,104) | |
| Former | 30.6 (884) | 24.0 (6267) | |
| Current | 19.6 (564) | 19.8 (5473) | |
| Total calories (kcal) | 2122.9 ± 28.7 | 2142.9 ± 8.9 | 0.5 |
| Protein intake (g) | 80.8 ± 1.4 | 82.8 ± 0.42 | 0.16 |
| Dietary sodium (mg) | 3534.0 ± 54.6 | 3539 ± 15.9 | 0.93 |
| Dietary potassium (mg) | 2644.0 ± 38.3 | 2690.2 ± 15.5 | 0.22 |
| Dietary calcium (mg) | 934.3 ± 15.3 | 973.7 ± 6.6 | 0.02 |
| Total fluid intake, excluding alcohol (g) | 2905.0 ± 35.4 | 2885.9 ± 20.0 | 0.58 |
| Alcohol drinking status | 0.002 | ||
| Never | 12.3 (442) | 13.6 (4638) | |
| Former (0 drinks in past year) | 9.7 (311) | 6.9 (2221) | |
| Current (>0 drinks in past year) | 78.1 (2087) | 79.6 (19,985) | |
| Type of alcohol, if any | 0.01 | ||
| Beer only | 43.8 (235) | 43.5 (2828) | |
| Wine only | 22.5 (103) | 23.3 (1209) | |
| Liquor only | 24.8 (110) | 17.9 (1103) | |
| Other/combination | 8.9 (69) | 15.3 (946) |
| Unadjusted Model | Adjusted Model 1 | Adjusted Model 2 | Adjusted Model 3 | |||||
|---|---|---|---|---|---|---|---|---|
| OR (95% CI) | p Value | OR (95% CI) | p Value | OR (95% CI) | p Value | OR (95% CI) | p Value | |
| Never/Currently none | REF | REF | REF | REF | ||||
| Beer only | 0.79 (0.64–0.97) | 0.02 | 0.76 (0.62–0.94) | 0.01 | 0.79 (0.64–0.97) | 0.03 | 0.76 (0.61–0.94) | 0.01 |
| Wine only | 0.75 (0.58–0.99) | 0.04 | 0.64 (0.49–0.84) | 0.001 | 0.74 (0.57–0.96) | 0.02 | 0.75 (0.59–0.96) | 0.03 |
| Liquor only | 1.08 (0.77–1.52) | 0.63 | 1.04 (0.74–1.47) | 0.82 | 1.05 (0.75–1.49) | 0.76 | 0.99 (0.69–1.42) | 0.97 |
| Unadjusted Model | Adjusted Model 1 | Adjusted Model 2 | Adjusted Model 3 | |||||
|---|---|---|---|---|---|---|---|---|
| Beer | OR (95% CI) | p Value | OR (95% CI) | p Value | OR (95% CI) | p Value | OR (95% CI) | p Value |
| 0–<1 g | REF | REF | REF | REF | ||||
| 1–≤14 g | 1.46 (1.00–2.15) | 0.05 | 1.35 (0.93–1.96) | 0.11 | 1.45 (1.00–2.12) | 0.05 | 1.41 (0.97–2.05) | 0.07 |
| >14–28 g | 0.67 (0.44–1.01) | 0.06 | 0.65 (0.43–0.99) | 0.04 | 0.66 (0.43–1.02) | 0.06 | 0.65 (0.42–1.00) | 0.05 |
| >28–56 g | 0.60 (0.40–0.91) | 0.02 | 0.61 (0.40–0.92) | 0.02 | 0.64 (0.41–0.98) | 0.04 | 0.60 (0.39–0.93) | 0.02 |
| >56 g | 0.39 (0.24–0.63) | <0.001 | 0.38 (0.24–0.62) | <0.001 | 0.38 (0.24–0.62) | <0.001 | 0.34 (0.20–0.57) | <0.001 |
| Unadjusted Model | Adjusted Model 1 | Adjusted Model 2 | Adjusted Model 3 | |||||
|---|---|---|---|---|---|---|---|---|
| Wine | OR (95% CI) | p Value | OR (95% CI) | p Value | OR (95% CI) | p Value | OR (95% CI) | p Value |
| 0–<1 g | REF | REF | REF | REF | ||||
| 1–≤14 g | 0.98 (0.62–1.53) | 0.91 | 0.90 (0.56–1.44) | 0.66 | 1.10 (0.69–1.77) | 0.68 | 1.14 (0.72–1.83) | 0.57 |
| >14–28 g | 0.52 (0.35–0.77) | 0.001 | 0.43 (0.29–0.64) | <0.001 | 0.53 (0.36–0.78) | 0.002 | 0.54 (0.36–0.81) | 0.003 |
| >28 g | 0.86 (0.52–1.44) | 0.56 | 0.77 (0.47–1.27) | 0.31 | 0.87 (0.54–1.4) | 0.56 | 0.85 (0.54–1.33) | 0.47 |
| Unadjusted Model | Adjusted Model 1 | Adjusted Model 2 | Adjusted Model 3 | |||||
|---|---|---|---|---|---|---|---|---|
| Liquor | OR (95% CI) | p Value | OR (95% CI) | p Value | OR (95% CI) | p Value | OR (95% CI) | p Value |
| 0–<1 g | REF | REF | REF | REF | ||||
| 1–≤28 g | 1.18 (0.70–1.99) | 0.53 | 1.15 (0.67–1.96) | 0.62 | 1.20 (0.71–2.02) | 0.49 | 1.16 (0.69–1.97) | 0.58 |
| >28 g | 0.97 (0.65–1.44) | 0.87 | 0.94 (0.62–1.40) | 0.75 | 0.94 (0.62–1.43) | 0.79 | 0.85 (0.56–1.30) | 0.45 |
Disclaimer/Publisher’s Note: The statements, opinions and data contained in all publications are solely those of the individual author(s) and contributor(s) and not of MDPI and/or the editor(s). MDPI and/or the editor(s) disclaim responsibility for any injury to people or property resulting from any ideas, methods, instructions or products referred to in the content. |
© 2024 by the authors. Licensee MDPI, Basel, Switzerland. This article is an open access article distributed under the terms and conditions of the Creative Commons Attribution (CC BY) license (https://creativecommons.org/licenses/by/4.0/).
Share and Cite
Shringi, S.; Raker, C.A.; Chonchol, M.; Tang, J. Alcohol Intake and Prevalent Kidney Stone: The National Health and Nutrition Examination Survey 2007–2018. Nutrients 2024, 16, 2928. https://doi.org/10.3390/nu16172928
Shringi S, Raker CA, Chonchol M, Tang J. Alcohol Intake and Prevalent Kidney Stone: The National Health and Nutrition Examination Survey 2007–2018. Nutrients. 2024; 16(17):2928. https://doi.org/10.3390/nu16172928
Chicago/Turabian StyleShringi, Sandipan, Christina A. Raker, Michel Chonchol, and Jie Tang. 2024. "Alcohol Intake and Prevalent Kidney Stone: The National Health and Nutrition Examination Survey 2007–2018" Nutrients 16, no. 17: 2928. https://doi.org/10.3390/nu16172928
APA StyleShringi, S., Raker, C. A., Chonchol, M., & Tang, J. (2024). Alcohol Intake and Prevalent Kidney Stone: The National Health and Nutrition Examination Survey 2007–2018. Nutrients, 16(17), 2928. https://doi.org/10.3390/nu16172928

