Multiple Infections, Nutrient Deficiencies, and Inflammation as Determinants of Anemia and Iron Status during Pregnancy: The MINDI Cohort
Abstract
1. Introduction
2. Materials and Methods
2.1. Recruitment, Ethics, and Questionnaire Data
2.2. Blood Analyses
2.3. Statistical Analyses
3. Results
3.1. General Population Characteristics
3.2. Comparison of Anemic and Non-Anemic Mothers
3.3. GLM Regression Models for Iron Status Indicators
3.3.1. Models for Ferritin and Hepcidin
3.3.2. Models for Serum Iron and sTfR
3.3.3. Models for Hemoglobin and Anemia
3.3.4. Distinctive Nature of Anemia and Iron Status Indicators
4. Discussion
- Anemia and each iron status indicator were associated with a distinct set of nutritional, inflammatory, and maternal factors and supplements;
- Wood smoke was an underreported extrinsic maternal factor that emerged as a risk factor for anemia;
- Plasma volume was an important intrinsic maternal factor, where greater plasma volume expansion contributed to the risk of anemia whereas low plasma volume likely led to the underestimation of the prevalence of anemia in this MINDI cohort;
- Inflammation indicators were not directly associated with decreasing Hb or increasing anemia but did contribute to the regulation of iron metabolism (evident in models for ferritin, serum iron, and hepcidin), with different inflammatory indicators (lymphocytes, monocytes, and CRP) associated with individual iron status parameters;
- Iron deficiency contributed to the risk of anemia as evidenced by the association of ferritin with hemoglobin and anemia;
- Undernutrition contributed to anemia, supported by associations of several nutritional indicators (low maternal weight-for-height, folic acid, and vitamin A) with Hb and anemia, by RBC indices, and by evidence of impaired erythropoiesis;
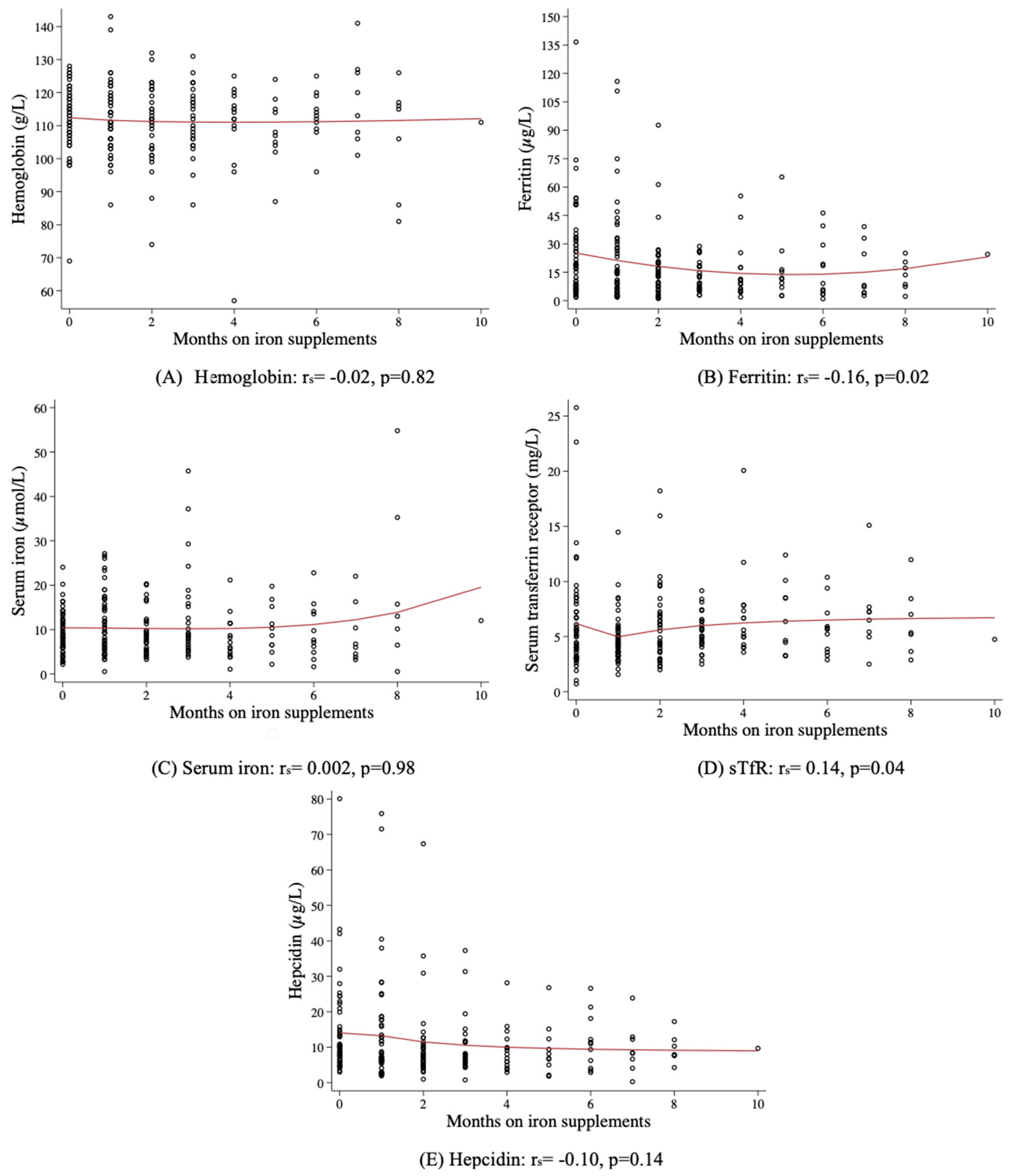
- Length of iron supplementation was not associated with anemia or with any other iron status indicator. However, the intake of higher amounts of an MNS supplement containing macro- and micronutrients was associated with higher ferritin and hepcidin concentrations;
- Iron supplements were associated with the presence of specific infections as women taking iron supplements had lower odds of caries and bacterial vaginosis but higher odds of vaginal trichomoniasis.
4.1. Neglected Maternal Factors Associated with Iron Status Indicators
4.2. Nutritional and Inflammation-Related Iron Deficiencies in the MINDI Context
4.3. Multifactorial Origin of Anemia in the MINDI Cohort
4.4. Impacts of Iron and MNS Supplementation on Anemia, Iron Status Indicators, and Infections
5. Strengths and Limitations
6. Conclusions
Supplementary Materials
Author Contributions
Funding
Institutional Review Board Statement
Informed Consent Statement
Data Availability Statement
Acknowledgments
Conflicts of Interest
References
- Means, R.T. Iron Deficiency and Iron Deficiency Anemia: Implications and Impact in Pregnancy, Fetal Development, and Early Childhood Parameters. Nutrients 2020, 12, 447. [Google Scholar] [CrossRef] [PubMed]
- Goonewardene, M.; Shehata, M.; Hamad, A. Anaemia in pregnancy. Best Pract. Res. Clin. Obstet. Gynaecol. 2012, 26, 3–24. [Google Scholar] [CrossRef] [PubMed]
- Garzon, S.; Cacciato, P.M.; Certelli, C.; Salvaggio, C.; Magliarditi, M.; Rizzo, G. Iron Deficiency Anemia in Pregnancy: Novel Approaches for an Old Problem. Oman Med. J. 2020, 35, e166. [Google Scholar] [CrossRef] [PubMed]
- The World Bank. Prevalence of Anemia among Pregnant Women (%)—Latin America & Caribbean. Available online: https://data.worldbank.org/indicator/SH.PRG.ANEM?locations=ZJ (accessed on 5 June 2023).
- MINSA, P. Monitoreo Nutricional en las Instalaciones de Salud del MINSA—MONINUT. 2014. Available online: https://www.google.com/url?sa=t&rct=j&q=&esrc=s&source=web&cd=&ved=2ahUKEwj4xca2n8aAAxVRElkFHRd1DbwQFnoECBIQAQ&url=https%3A%2F%2Fnutricionistaspanama.com%2Fwp-content%2Fuploads%2Fpublicaciones%2FAPND-Informe-Monitoreo-Nutricional-2014.pdf&usg=AOvVaw02BDlt-H73NlhAH3BRWY_Z&opi=89978449 (accessed on 6 June 2023).
- PAHO. Anemia in Women of Reproductive Age, and Children under Five Years in the Region of the Americas. Available online: https://www.paho.org/en/enlace/anemia-women-and-children (accessed on 25 May 2024).
- SPRING USAID. Changing the Way We Think about Micronutrient Assessment and Anemia Programming. Findings from the Biomarkers Reflecting Inflammation and Nutritional Determinants of Anemia (BRINDA) Project. Available online: https://www.spring-nutrition.org/sites/default/files/publications/briefs/spring_micronutrient_anemia_brinda.pdf (accessed on 6 June 2023).
- Petry, N.; Olofin, I.; Hurrell, R.F.; Boy, E.; Wirth, J.P.; Moursi, M.; Donahue Angel, M.; Rohner, F. The Proportion of Anemia Associated with Iron Deficiency in Low, Medium, and High Human Development Index Countries: A Systematic Analysis of National Surveys. Nutrients 2016, 8, 693. [Google Scholar] [CrossRef]
- Camaschella, C. New insights into iron deficiency and iron deficiency anemia. Blood Rev. 2017, 31, 225–233. [Google Scholar] [CrossRef]
- Suchdev, P.S.; Namaste, S.M.; Aaron, G.J.; Raiten, D.J.; Brown, K.H.; Flores-Ayala, R.; Group, B.W. Overview of the Biomarkers Reflecting Inflammation and Nutritional Determinants of Anemia (BRINDA) Project. Adv. Nutr. 2016, 7, 349–356. [Google Scholar] [CrossRef]
- Stelle, I.; Kalea, A.Z.; Pereira, D.I.A. Iron deficiency anaemia: Experiences and challenges. Proc. Nutr. Soc. 2019, 78, 19–26. [Google Scholar] [CrossRef]
- Wirth, J.P.; Woodruff, B.A.; Engle-Stone, R.; Namaste, S.M.; Temple, V.J.; Petry, N.; Macdonald, B.; Suchdev, P.S.; Rohner, F.; Aaron, G.J. Predictors of anemia in women of reproductive age: Biomarkers Reflecting Inflammation and Nutritional Determinants of Anemia (BRINDA) project. Am. J. Clin. Nutr. 2017, 106 (Suppl. S1), 416s–427s. [Google Scholar] [CrossRef]
- Georgieff, M.K. Iron Deficiency in Pregnancy. Am. J. Obstet. Gynecol. 2020, 223, 516–524. [Google Scholar] [CrossRef]
- Descamps, P.; Marret, H.; Binelli, C.; Chaplot, S.; Gillard, P. Body changes during pregnancy. Neurochirurgie 2000, 46, 68–75. [Google Scholar]
- World Health Organization. WHO Guideline on Use of Ferritin Concentrations to Assess Iron Status in Individuals and Populations. Available online: https://apps.who.int/iris/handle/10665/331505 (accessed on 15 August 2021).
- World Health Organization. Serum Ferritin Concentrations for the Assessment of Iron Status and Iron Deficiency in Populations; World Health Organization: Geneva, Switzerland, 2011. [Google Scholar]
- Skikne, B.S. Serum transferrin receptor. Am. J. Hematol. 2008, 83, 872–875. [Google Scholar] [CrossRef]
- Skikne, B.S.; Punnonen, K.; Caldron, P.H.; Bennett, M.T.; Rehu, M.; Gasior, G.H.; Chamberlin, J.S.; Sullivan, L.A.; Bray, K.R.; Southwick, P.C. Improved differential diagnosis of anemia of chronic disease and iron deficiency anemia: A prospective multicenter evaluation of soluble transferrin receptor and the sTfR/log ferritin index. Am. J. Hematol. 2011, 86, 923–927. [Google Scholar] [CrossRef]
- Madhavan Nair, K.; Bhaskaram, P.; Balakrishna, N.; Ravinder, P.; Sesikeran, B. Response of hemoglobin, serum ferritin, and serum transferrin receptor during iron supplementation in pregnancy: A prospective study. Nutrition 2004, 20, 896–899. [Google Scholar] [CrossRef]
- Choi, J.W.; Pai, S.H. Change in erythropoiesis with gestational age during pregnancy. Ann. Hematol. 2001, 80, 26–31. [Google Scholar] [CrossRef]
- Fillet, G.; Beguin, Y. Monitoring of erythropoiesis by the serum transferrin receptor and erythropoietin. Acta Clin. Belg. 2001, 56, 146–154. [Google Scholar] [CrossRef] [PubMed]
- Skalnaya, M.G.; Tinkov, A.A.; Lobanova, Y.N.; Chang, J.S.; Skalny, A.V. Serum levels of copper, iron, and manganese in women with pregnancy, miscarriage, and primary infertility. J. Trace Elem. Med. Biol. 2019, 56, 124–130. [Google Scholar] [CrossRef] [PubMed]
- Yu, F.; Zhou, W.; Yin, M.; Hu, Z. Prospective and Longitudinal Study of Iron Metabolism Indicators During Normal Pregnancy in Chinese Women. Clin. Lab. 2019, 65, 743–751. [Google Scholar] [CrossRef]
- Amah-Tariah, F.S.; Ojeka, S.O.; Dapper, D.V. Haematological values in pregnant women in Port Harcourt, Nigeria II: Serum iron and transferrin, total and unsaturated iron binding capacity and some red cell and platelet indices. Niger. J. Physiol. Sci. 2011, 26, 173–178. [Google Scholar] [PubMed]
- Ayoya, M.A.; Spiekermann-Brouwer, G.M.; Traore, A.K.; Stoltzfus, R.J.; Garza, C. Determinants of anemia among pregnant women in Mali. Food Nutr. Bull. 2006, 27, 3–11. [Google Scholar] [CrossRef]
- Brugnara, C. Iron deficiency and erythropoiesis: New diagnostic approaches. Clin. Chem. 2003, 49, 1573–1578. [Google Scholar] [CrossRef] [PubMed]
- Kelly, A.U.; McSorley, S.T.; Patel, P.; Talwar, D. Interpreting iron studies. BMJ 2017, 357, j2513. [Google Scholar] [CrossRef] [PubMed]
- Restrepo-Gallego, M.; Díaz, L.E.; Rondó, P.H.C. Classic and emergent indicators for the assessment of human iron status. Crit. Rev. Food Sci. Nutr. 2020, 61, 2827–2840. [Google Scholar] [CrossRef] [PubMed]
- Romero, J.D.J.M.; Morales, E.C.; Castro, E.V.; Cornejo, G.V.; Muñoz, D.A.N.; Preciado, J.A.E.; Cossío, J.M.; Villalón, G.M.P.; Aragón, A.M.; García, H.R.S.; et al. Review by expert group in the diagnosis and treatment of anemia in pregnant women. Federación Mexicana de Colegios de Obstetricia y Ginecología. Ginecol. Obstet. Mex. 2012, 80, 563–580. [Google Scholar]
- Pagani, A.; Nai, A.; Silvestri, L.; Camaschella, C. Hepcidin and Anemia: A Tight Relationship. Front. Physiol. 2019, 10, 1294. [Google Scholar] [CrossRef] [PubMed]
- Sun, P.; Zhou, Y.; Xu, S.; Wang, X.; Li, X.; Li, H.; Lin, Z.; Huang, F.; Zhu, L.; Zhu, Y. Elevated first-trimester hepcidin level is associated with reduced risk of iron deficiency anemia in late pregnancy: A prospective cohort study. Front. Nutr. 2023, 10, 1147114. [Google Scholar] [CrossRef]
- Koenig, M.D.; Tussing-Humphreys, L.; Day, J.; Cadwell, B.; Nemeth, E. Hepcidin and iron homeostasis during pregnancy. Nutrients 2014, 6, 3062–3083. [Google Scholar] [CrossRef] [PubMed]
- Guo, Y.; Zhang, N.; Zhang, D.; Ren, Q.; Ganz, T.; Liu, S.; Nemeth, E. Iron homeostasis in pregnancy and spontaneous abortion. Am. J. Hematol. 2019, 94, 184–188. [Google Scholar] [CrossRef] [PubMed]
- Sangkhae, V.; Fisher, A.L.; Ganz, T.; Nemeth, E. Iron Homeostasis During Pregnancy: Maternal, Placental, and Fetal Regulatory Mechanisms. Annu. Rev. Nutr. 2023, 43, 279–300. [Google Scholar] [CrossRef]
- Bah, A.; Pasricha, S.R.; Jallow, M.W.; Sise, E.A.; Wegmuller, R.; Armitage, A.E.; Drakesmith, H.; Moore, S.E.; Prentice, A.M. Serum Hepcidin Concentrations Decline during Pregnancy and May Identify Iron Deficiency: Analysis of a Longitudinal Pregnancy Cohort in The Gambia. J. Nutr. 2017, 147, 1131–1137. [Google Scholar] [CrossRef]
- Pei, L.X.; Kroeun, H.; Vercauteren, S.M.; Barr, S.I.; Green, T.J.; Albert, A.Y.; Karakochuk, C.D. Baseline Hemoglobin, Hepcidin, Ferritin, and Total Body Iron Stores are Equally Strong Diagnostic Predictors of a Hemoglobin Response to 12 Weeks of Daily Iron Supplementation in Cambodian Women. J. Nutr. 2021, 151, 2255–2263. [Google Scholar] [CrossRef]
- Girelli, D.; Nemeth, E.; Swinkels, D.W. Hepcidin in the diagnosis of iron disorders. Blood 2016, 127, 2809–2813. [Google Scholar] [CrossRef]
- Jaeggi, T.; Kortman, G.A.; Moretti, D.; Chassard, C.; Holding, P.; Dostal, A.; Boekhorst, J.; Timmerman, H.M.; Swinkels, D.W.; Tjalsma, H.; et al. Iron fortification adversely affects the gut microbiome, increases pathogen abundance and induces intestinal inflammation in Kenyan infants. Gut 2015, 64, 731–742. [Google Scholar] [CrossRef]
- Bah, A.; Muhammad, A.K.; Wegmuller, R.; Verhoef, H.; Goheen, M.M.; Sanyang, S.; Danso, E.; Sise, E.A.; Pasricha, S.R.; Armitage, A.E.; et al. Hepcidin-guided screen-and-treat interventions against iron-deficiency anaemia in pregnancy: A randomised controlled trial in The Gambia. Lancet Glob. Health 2019, 7, e1564–e1574. [Google Scholar] [CrossRef]
- Vermeulen, E.; Vermeersch, P. Hepcidin as a biomarker for the diagnosis of iron metabolism disorders: A review. Acta Clin. Belg. 2012, 67, 190–197. [Google Scholar] [CrossRef] [PubMed]
- Sinisterra, O.T.; Fontes, F.; Pons, E.D.C.; Carrasco, Y.; Lagrutta, F.; Olivares, M. Prevalencia y Etiología de la Anemia en Panamá. Pediatr. Panamá 2013, 43, 24–30. Available online: https://www.google.com/url?sa=t&rct=j&q=&esrc=s&source=web&cd=&ved=2ahUKEwiP8Le5ntWCAxVlMX0KHf95D44QFnoECBEQAQ&url=https%3A%2F%2Ffi-admin.bvsalud.org%2Fdocument%2Fview%2Fyknn9&usg=AOvVaw2NC-X2PtLvdEO-ipBne6Wm&opi=89978449 (accessed on 3 June 2022).
- De León, J.; Barba, A.; Sinisterra, O.T.; Atencio, A. II Nutritional Monitoring in MINSA Facilities, MONINUT 2017. Available online: https://www.google.com/url?sa=t&rct=j&q=&esrc=s&source=web&cd=&ved=2ahUKEwjvjdzKpcLvAhXaEVkFHTjmDYQQFjABegQIAxAD&url=https%3A%2F%2Fnutricionistaspanama.com%2Fwp-content%2Fuploads%2Fpublicaciones%2FINFORME_MNINUT.pdf&usg=AOvVaw1RMKpMtoQXF1SdTy2wqs8f (accessed on 21 March 2021).
- González-Fernández, D.; Nemeth, E.; Pons, E.d.C.; Rueda, D.; Sinisterra, O.T.; Murillo, E.; Sangkhae, V.; Starr, L.M.; Scott, M.E.; Koski, K.G. INTERGROWTH-21 Identifies High Prevalence of Low Symphysis-fundal Height in Indigenous Pregnant Women Experiencing Multiple Infections, Nutrient Deficiencies and Inflammation: The MINDI Cohort. Curr. Dev. Nutr. 2021, 5, NZAB012. [Google Scholar] [CrossRef] [PubMed]
- González-Fernández, D.; Pons, E.D.C.; Rueda, D.; Sinisterra, O.T.; Murillo, E.; Scott, M.E.; Koski, K.G. C-reactive protein is differentially modulated by co-existing infections, vitamin deficiencies and maternal factors in pregnant and lactating indigenous Panamanian women. Infect. Dis. Poverty 2017, 6, 94. [Google Scholar] [CrossRef] [PubMed]
- González-Fernández, D.; Koski, K.G.; Sinisterra, O.T.; Del Carmen Pons, E.; Murillo, E.; Scott, M.E. Interactions among Urogenital, Intestinal, Skin, and Oral Infections in Pregnant and Lactating Panamanian Ngabe Women: A Neglected Public Health Challenge. Am. J. Trop. Med. Hyg. 2015, 92, 1100–1110. [Google Scholar] [CrossRef] [PubMed]
- Georgieff, M.K.; Krebs, N.F.; Cusick, S.E. The Benefits and Risks of Iron Supplementation in Pregnancy and Childhood. Annu. Rev. Nutr. 2019, 39, 121–146. [Google Scholar] [CrossRef]
- Monteith, A.J.; Skaar, E.P. The impact of metal availability on immune function during infection. Trends Endocrinol. Metab. 2021, 32, 916–928. [Google Scholar] [CrossRef]
- WHO. Accelerating Anaemia Reduction: A Comprehensive Framework for Action. Available online: https://www.who.int/publications/i/item/9789240074033 (accessed on 6 August 2023).
- De Caballero, E.A.; Eduardo Atalah, S. Evaluation on the Acceptability and Consumption of Nutricrema in the Republic of Panama. Rev. Chil. Nutr. 2003, 30, 133–141. [Google Scholar]
- Panamanian Ministry of Health and Panamanian Social Security Fund. Atención del Embarazo, Parto, Puerperio y del Recién Nacido; Panama City, Panama, 2007. Available online: https://www.minsa.gob.pa/sites/default/files/programas/revision_de_normas_de_salud_integral_de_la_mujer.pdf (accessed on 25 May 2024).
- Fescina, R.H.; De Mucio, B.; Martínez, G.; Alemán, A.; Sosa, C.; Mainero, L.; Rubino, M. Monitoring Fetal Growth: Self-Instruction Manual; Pan American Health Organization—PAHO, Latin American Center for Perinatology/Women & Reproductive Health—CLAP/WR: Montevideo, Uruguay, 2011; pp. 16–19. [Google Scholar]
- Stieglitz, E.; Huang, J. Plasmapheresis Technique. Available online: https://emedicine.medscape.com/article/1895577-technique (accessed on 6 August 2019).
- Hauser, R.G.; Kwon, R.J.; Ryder, A.; Cheng, C.; Charifa, A.; Tormey, C. Transfusion Medicine Equations Made Internet Accessible. Transfus. Med. Rev. 2020, 34, 5–9. [Google Scholar] [CrossRef] [PubMed]
- de Haas, S.; Ghossein-Doha, C.; van Kuijk, S.M.; van Drongelen, J.; Spaanderman, M.E. Physiological adaptation of maternal plasma volume during pregnancy: A systematic review and meta-analysis. Ultrasound Obstet. Gynecol. 2017, 49, 177–187. [Google Scholar] [CrossRef]
- Nugent, R.P.; Krohn, M.A.; Hillier, S.L. Reliability of diagnosing bacterial vaginosis is improved by a standardized method of Gram stain interpretation. J. Clin. Microbiol. 1991, 29, 297–301. [Google Scholar] [CrossRef]
- González-Fernández, D.; Pons, E.d.C.; Rueda, D.; Sinisterra, O.T.; Murillo, E.; Scott, M.E.; Koski, K.G. Identification of High-Risk Pregnancies in a Remote Setting Using Ambulatory Blood Pressure: The MINDI Cohort. Front. Public Health 2020, 8, 86. [Google Scholar] [CrossRef] [PubMed]
- WHO/CDC. Assessing the Iron Status of Populations: Including Literature Reviews: Report of a Joint World Health Organization/Centers for Disease Control and Prevention Technical Consultation on the Assessment of Iron Status at the Population Level, Geneva, Switzerland, 6–8 April 2004—2nd ed. Available online: https://apps.who.int/iris/bitstream/10665/75368/1/9789241596107_eng.pdf?ua=1&ua=1 (accessed on 23 March 2016).
- World Health Organization. Iron Deficiency Anaemia: Assessment, Prevention and Control: A Guide for Programme Managers. Available online: https://www.who.int/publications/m/item/iron-children-6to23--archived-iron-deficiency-anaemia-assessment-prevention-and-control (accessed on 9 April 2021).
- Maner, B.S.; Moosavi, L. Mean Corpuscular Volume. Available online: https://www.ncbi.nlm.nih.gov/books/NBK545275/ (accessed on 6 August 2023).
- Merritt, B.Y. Mean Corpuscular Hemoglobin (MCH) and Mean Corpuscular Hemoglobin Concentration (MCHC). Available online: https://emedicine.medscape.com/article/2054497-overview#a1 (accessed on 27 September 2023).
- Curry, C.V. Red Cell Distribution Width (RDW) Test. Available online: http://emedicine.medscape.com/article/2098635-overview#showall (accessed on 27 September 2023).
- Sinisterra, O.T.; Pons, E.d.C.; Fontes, F.; Lagrutta, F.; Carrasco, Y.; Olivares, M. Evaluación del programa de suplementación con hierro en Panamá. Av. Investig. Segur. Aliment. Nuricional (SAN) 2012, 2012, 58–67. [Google Scholar]
- Akesson, A.; Bjellerup, P.; Berglund, M.; Bremme, K.; Vahter, M. Serum transferrin receptor: A specific marker of iron deficiency in pregnancy. Am. J. Clin. Nutr. 1998, 68, 1241–1246. [Google Scholar] [CrossRef]
- de Benoist, B. Conclusions of a WHO Technical Consultation on folate and vitamin B12 deficiencies. Food Nutr. Bull. 2008, 29 (Suppl. S2), S238–S244. [Google Scholar] [CrossRef] [PubMed]
- Wiseman, E.M.; Bar-El Dadon, S.; Reifen, R. The vicious cycle of vitamin A deficiency: A review. Crit. Rev. Food Sci. Nutr. 2016, 57, 3703–3714. [Google Scholar] [CrossRef]
- Balvers, M.G.; Brouwer-Brolsma, E.M.; Endenburg, S.; de Groot, L.C.; Kok, F.J.; Gunnewiek, J.K. Recommended intakes of vitamin D to optimize health, associated circulating 25-hydroxyvitamin D concentrations, and dosing regimens to treat deficiency: Workshop report and overview of current literature. J. Nutr. Sci. 2015, 4, e23. [Google Scholar] [CrossRef]
- Bharadwaj, S.; Ginoya, S.; Tandon, P.; Gohel, T.D.; Guirguis, J.; Vallabh, H.; Jevenn, A.; Hanouneh, I. Malnutrition: Laboratory markers vs nutritional assessment. Gastroenterol. Rep. 2016, 4, 272–280. [Google Scholar] [CrossRef]
- Ingenbleek, Y.; Van Den Schrieck, H.G.; De Nayer, P.; De Visscher, M. The role of retinol-binding protein in protein-calorie malnutrition. Metabolism 1975, 24, 633–641. [Google Scholar] [CrossRef]
- Yang, M.J.; Tseng, J.Y.; Chen, C.Y.; Yeh, C.C. Changes in maternal serum insulin-like growth factor-I during pregnancy and its relationship to maternal anthropometry. J. Chin. Med. Assoc. 2013, 76, 635–639. [Google Scholar] [CrossRef]
- Namaste, S.M.; Aaron, G.J.; Varadhan, R.; Peerson, J.M.; Suchdev, P.S. Methodologic approach for the Biomarkers Reflecting Inflammation and Nutritional Determinants of Anemia (BRINDA) project. Am. J. Clin. Nutr. 2017, 106 (Suppl. S1), 333s–347s. [Google Scholar] [CrossRef]
- Milman, N. Iron and pregnancy—A delicate balance. Ann. Hematol. 2006, 85, 559–565. [Google Scholar] [CrossRef] [PubMed]
- Quezada-Pinedo, H.G.; Cassel, F.; Duijts, L.; Muckenthaler, M.U.; Gassmann, M.; Jaddoe, V.W.V.; Reiss, I.K.M.; Vermeulen, M.J. Maternal Iron Status in Pregnancy and Child Health Outcomes after Birth: A Systematic Review and Meta-Analysis. Nutrients 2021, 13, 2221. [Google Scholar] [CrossRef] [PubMed]
- Lix, L.M.; Fouladi, R.T. Robust step-down tests for multivariate independent group designs. Br. J. Math. Stat. Psychol. 2007, 60 Pt 2, 245–265. [Google Scholar] [CrossRef]
- Weichle, T.; Hynes, D.M.; Durazo-Arvizu, R.; Tarlov, E.; Zhang, Q. Impact of alternative approaches to assess outlying and influential observations on health care costs. Springerplus 2013, 2, 614. [Google Scholar] [CrossRef] [PubMed]
- Azen, R.; Budescu, D.V. The dominance analysis approach for comparing predictors in multiple regression. Psychol. Methods 2003, 8, 129–148. [Google Scholar] [CrossRef]
- Luchman, J. Determining relative importance in Stata using dominance analysis: Domin and domme. Stata J. 2021, 21, 510–538. [Google Scholar] [CrossRef]
- Mehmetoglu, M. REGCHECK: Stata Module to Examine Regression Assumptions; Boston College Department of Economics: Chestnut Hill, MA, USA, 2014; Available online: https://EconPapers.repec.org/RePEc:boc:bocode:s457943 (accessed on 25 May 2024).
- Kim, J.H. Multicollinearity and misleading statistical results. Korean J. Anesthesiol. 2019, 72, 558–569. [Google Scholar] [CrossRef] [PubMed]
- WHO. Technical Consultation on the Assessment of Iron Status at the Population Level; Joint World Health Organization/Centers for Disease Control and Prevention: Geneva, Switzerland, 2007. [Google Scholar]
- Fescina, R.H.; De Mucio, B.; Díaz Rossello, J.L.; Martínez, G.; Serruya, S.; Durán, P. Sexual and Reproductive Health: Guidelines for the Continuum of Care for Women and Newborns Focused on Primary Health Care. Available online: https://www.google.com/url?sa=t&source=web&rct=j&opi=89978449&url=https://perinatal.bvsalud.org/wp-content/uploads/2023/08/CLAP1577.pdf&ved=2ahUKEwjt3PbAqtGFAxUrFFkFHezyAFEQFnoECB0QAQ&usg=AOvVaw1f0o7-aUmIALf92R16kuHg (accessed on 12 December 2023).
- Vricella, L.K. Emerging understanding and measurement of plasma volume expansion in pregnancy. Am. J. Clin. Nutr. 2017, 106 (Suppl. S6), 1620S–1625S. [Google Scholar] [CrossRef] [PubMed]
- Von Tempelhoff, G.F.; Heilmann, L.; Rudig, L.; Pollow, K.; Hommel, G.; Koscielny, J. Mean maternal second-trimester hemoglobin concentration and outcome of pregnancy: A population-based study. Clin. Appl. Thromb. Hemost. 2008, 14, 19–28. [Google Scholar] [CrossRef]
- Brion, M.J.; Leary, S.D.; Smith, G.D.; McArdle, H.J.; Ness, A.R. Maternal anemia, iron intake in pregnancy, and offspring blood pressure in the Avon Longitudinal Study of Parents and Children. Am. J. Clin. Nutr. 2008, 88, 1126–1133. [Google Scholar] [CrossRef] [PubMed]
- Basilio, E.; Chen, R.; Fernandez, A.C.; Padula, A.M.; Robinson, J.F.; Gaw, S.L. Wildfire Smoke Exposure during Pregnancy: A Review of Potential Mechanisms of Placental Toxicity, Impact on Obstetric Outcomes, and Strategies to Reduce Exposure. Int. J. Environ. Res. Public Health 2022, 19, 13727. [Google Scholar] [CrossRef]
- Page, C.M.; Patel, A.; Hibberd, P.L. Does smoke from biomass fuel contribute to anemia in pregnant women in Nagpur, India? A cross-sectional study. PLoS ONE 2015, 10, e0127890. [Google Scholar] [CrossRef]
- Torres-Dosal, A.; Pérez-Maldonado, I.N.; Jasso-Pineda, Y.; Martínez Salinas, R.I.; Alegría-Torres, J.A.; Díaz-Barriga, F. Indoor air pollution in a Mexican indigenous community: Evaluation of risk reduction program using biomarkers of exposure and effect. Sci. Total Environ. 2008, 390, 362–368. [Google Scholar] [CrossRef]
- Lachowicz, J.I.; Nurchi, V.M.; Fanni, D.; Gerosa, C.; Peana, M.; Zoroddu, M.A. Nutritional iron deficiency: The role of oral iron supplementation. Curr. Med. Chem. 2014, 21, 3775–3784. [Google Scholar] [CrossRef]
- Yan, J.; Jin, G.; Du, L.; Yang, Q. Modulation of intestinal folate absorption by erythropoietin in vitro. Mol. Pharm. 2014, 11, 358–366. [Google Scholar] [CrossRef]
- Bailey, L.B.; Stover, P.J.; McNulty, H.; Fenech, M.F.; Gregory, J.F., 3rd; Mills, J.L.; Pfeiffer, C.M.; Fazili, Z.; Zhang, M.; Ueland, P.M.; et al. Biomarkers of Nutrition for Development-Folate Review. J. Nutr. 2015, 145, 1636s–1680s. [Google Scholar] [CrossRef]
- Oppenheim, E.W.; Adelman, C.; Liu, X.; Stover, P.J. Heavy chain ferritin enhances serine hydroxymethyltransferase expression and de novo thymidine biosynthesis. J. Biol. Chem. 2001, 276, 19855–19861. [Google Scholar] [CrossRef] [PubMed]
- Remacha, A.F.; Wright, I.; Fernández-Jiménez, M.C.; Toxqui, L.; Blanco-Rojo, R.; Moreno, G.; Vaquero, M.P. Vitamin B12 and folate levels increase during treatment of iron deficiency anaemia in young adult woman. Int. J. Lab. Hematol. 2015, 37, 641–648. [Google Scholar] [CrossRef] [PubMed]
- Solmaz, S.; Özdoğu, H.; Boğa, C. Cobalamin deficiency can mask depleted body iron reserves. Indian. J. Hematol. Blood Transfus. 2015, 31, 255–258. [Google Scholar] [CrossRef]
- Lynch, S.; Pfeiffer, C.M.; Georgieff, M.K.; Brittenham, G.; Fairweather-Tait, S.; Hurrell, R.F.; McArdle, H.J.; Raiten, D.J. Biomarkers of Nutrition for Development (BOND)-Iron Review. J. Nutr. 2018, 148 (Suppl. S1), 1001s–1067s. [Google Scholar] [CrossRef] [PubMed]
- Nemeth, E.; Ganz, T. Hepcidin and Iron in Health and Disease. Annu. Rev. Med. 2023, 74, 261–277. [Google Scholar] [CrossRef]
- Chibanda, Y.; Brookes, M.; Churchill, D.; Al-Hassi, H. The Ferritin, Hepcidin and Cytokines Link in the Diagnoses of Iron Deficiency Anaemia during Pregnancy: A Review. Int. J. Mol. Sci. 2023, 24, 13323. [Google Scholar] [CrossRef]
- Sangkhae, V.; Fisher, A.L.; Chua, K.J.; Ruchala, P.; Ganz, T.; Nemeth, E. Maternal Hepcidin Determines Embryo Iron Homeostasis. Blood 2020, 136, 2206–2216. [Google Scholar] [CrossRef]
- Bregman, D.B.; Morris, D.; Koch, T.A.; He, A.; Goodnough, L.T. Hepcidin levels predict nonresponsiveness to oral iron therapy in patients with iron deficiency anemia. Am. J. Hematol. 2013, 88, 97–101. [Google Scholar] [CrossRef]
- Gutschow, P.; Han, H.; Olbina, G.; Westerman, K.; Nemeth, E.; Ganz, T.; Copeland, K.; Westerman, M.; Ostland, V. Clinical Immunoassay for Human Hepcidin Predicts Iron Deficiency in First-Time Blood Donors. J. Appl. Lab. Med. 2020, 5, 943–953. [Google Scholar] [CrossRef]
- Raut, A.K.; Hiwale, K.M. Iron Deficiency Anemia in Pregnancy. Cureus 2022, 14, e28918. [Google Scholar] [CrossRef]
- Sultana, G.S.; Haque, S.A.; Sultana, T.; Ahmed, A.N. Value of red cell distribution width (RDW) and RBC indices in the detection of iron deficiency anemia. Mymensingh Med. J. 2013, 22, 370–376. [Google Scholar] [PubMed]
- González-Fernández, D.; Nemeth, E.; Pons, E.D.C.; Sinisterra, O.T.; Rueda, D.; Starr, L.; Sangkhae, V.; Murillo, E.; Scott, M.E.; Koski, K.G. Multiple Indicators of Undernutrition, Infection, and Inflammation in Lactating Women Are Associated with Maternal Iron Status and Infant Anthropometry in Panama: The MINDI Cohort. Nutrients 2022, 14, 3497. [Google Scholar] [CrossRef] [PubMed]
- Bernát, I. Protein-Deficiency Anemia. In Iron Metabolism; Bernát, I., Ed.; Springer: Boston, MA, USA, 1983; pp. 299–300. [Google Scholar]
- Warrier, R.P.; Dole, M.G.; Warrier, J.; Suskind, R.M. The Anemia of Malnutrition. In The Malnourished Child; Suskind, R.M., Lewinter-Suskind, L., Eds.; Nestec Ltd.: Pen Argyl, PA, USA; Vevey/Raven Press, Ltd.: New York, NY, USA, 1990; pp. 61–72. [Google Scholar]
- Koury, M.J. Abnormal erythropoiesis and the pathophysiology of chronic anemia. Blood Rev. 2014, 28, 49–66. [Google Scholar] [CrossRef] [PubMed]
- Santos, E.W.; Oliveira, D.C.; Silva, G.B.; Tsujita, M.; Beltran, J.O.; Hastreiter, A.; Fock, R.A.; Borelli, P. Hematological alterations in protein malnutrition. Nutr. Rev. 2017, 75, 909–919. [Google Scholar] [CrossRef] [PubMed]
- Koury, M.J.; Ponka, P. New insights into erythropoiesis: The roles of folate, vitamin B12, and iron. Annu. Rev. Nutr. 2004, 24, 105–131. [Google Scholar] [CrossRef] [PubMed]
- Socha, D.S.; DeSouza, S.I.; Flagg, A.; Sekeres, M.; Rogers, H.J. Severe megaloblastic anemia: Vitamin deficiency and other causes. Cleve Clin. J. Med. 2020, 87, 153–164. [Google Scholar] [CrossRef] [PubMed]
- Borelli, P.; Blatt, S.L.; Rogero, M.M.; Fock, R.A. Haematological alterations in protein malnutrition. Rev. Bras. Hematol. Hemoter. 2004, 26, 49–56. [Google Scholar] [CrossRef]
- Beguin, Y. Soluble transferrin receptor for the evaluation of erythropoiesis and iron status. Clin. Chim. Acta 2003, 329, 9–22. [Google Scholar] [CrossRef] [PubMed]
- Beguin, Y.; Lipscei, G.; Thoumsin, H.; Fillet, G. Blunted erythropoietin production and decreased erythropoiesis in early pregnancy. Blood 1991, 78, 89–93. [Google Scholar] [CrossRef]
- Beguin, Y.; Clemons, G.K.; Pootrakul, P.; Fillet, G. Quantitative assessment of erythropoiesis and functional classification of anemia based on measurements of serum transferrin receptor and erythropoietin. Blood 1993, 81, 1067–1076. [Google Scholar] [CrossRef]
- Sharma, D.; Shastri, S.; Sharma, P. Intrauterine Growth Restriction: Antenatal and Postnatal Aspects. Clin. Med. Insights Pediatr. 2016, 10, 67–83. [Google Scholar] [CrossRef] [PubMed]
- Smith, E.M.; Tangpricha, V. Vitamin D and anemia: Insights into an emerging association. Curr. Opin. Endocrinol. Diabetes Obes. 2015, 22, 432–438. [Google Scholar] [CrossRef] [PubMed]
- Thomas, C.E.; Guillet, R.; Queenan, R.A.; Cooper, E.M.; Kent, T.R.; Pressman, E.K.; Vermeylen, F.M.; Roberson, M.S.; O’Brien, K.O. Vitamin D status is inversely associated with anemia and serum erythropoietin during pregnancy. Am. J. Clin. Nutr. 2015, 102, 1088–1095. [Google Scholar] [CrossRef] [PubMed]
- Masoud, M.S.; Alokail, M.S.; Yakout, S.M.; Khattak, M.N.K.; AlRehaili, M.M.; Wani, K.; Al-Daghri, N.M. Vitamin D Supplementation Modestly Reduces Serum Iron Indices of Healthy Arab Adolescents. Nutrients 2018, 10, 1870. [Google Scholar] [CrossRef] [PubMed]
- Netting, M.J.; Best, K.P.; Green, T.J. The Role of Vitamin D in Anemia. In Nutritional Anemia; Karakochuk, C.D., Zimmermann, M.B., Moretti, D., Kraemer, K., Eds.; Nutrition and Health; Springer: Cham, Switzerland, 2022. [Google Scholar] [CrossRef]
- Vinolo, M.A.; Crisma, A.R.; Nakajima, K.; Rogero, M.M.; Fock, R.A.; Borelli, P. Malnourished mice display an impaired hematologic response to granulocyte colony-stimulating factor administration. Nutr. Res. 2008, 28, 791–797. [Google Scholar] [CrossRef] [PubMed]
- Fock, R.A.; Blatt, S.L.; Beutler, B.; Pereira, J.; Tsujita, M.; de Barros, F.E.; Borelli, P. Study of lymphocyte subpopulations in bone marrow in a model of protein-energy malnutrition. Nutrition 2010, 26, 1021–1028. [Google Scholar] [CrossRef] [PubMed]
- Erkurt, M.A.; Aydogdu, I.; Dikilitas, M.; Kuku, I.; Kaya, E.; Bayraktar, N.; Ozhan, O.; Ozkan, I.; Sonmez, A. Effects of cyanocobalamin on immunity in patients with pernicious anemia. Med. Princ. Pract. 2008, 17, 131–135. [Google Scholar] [CrossRef] [PubMed]
- AlRajeh, L.; Zaher, A.; Alghamdi, A.; Alsheikh, R.; AlSultan, O. Effects of Iron Deficiency and Its Indicators on Lymphocyte Subsets: A Study at King Fahd Hospital of the University, Saudi Arabia. J. Blood Med. 2022, 13, 61–67. [Google Scholar] [CrossRef] [PubMed]
- Gomo, E.; Vennervald, B.J.; Ndhlovu, P.; Kaestel, P.; Nyazema, N.; Friis, H. Predictors and reference values of CD4 and CD8 T lymphocyte counts in pregnancy: A cross sectional study among HIV negative women in Zimbabwe. Cent. Afr. J. Med. 2004, 50, 10–19. [Google Scholar]
- Langer, A.L.; Ginzburg, Y.Z. Role of hepcidin-ferroportin axis in the pathophysiology, diagnosis, and treatment of anemia of chronic inflammation. Hemodial. Int. 2017, 21 (Suppl. S1), S37–S46. [Google Scholar] [CrossRef]
- Oh, C.; Keats, E.C.; Bhutta, Z.A. Vitamin and Mineral Supplementation During Pregnancy on Maternal, Birth, Child Health and Development Outcomes in Low- and Middle-Income Countries: A Systematic Review and Meta-Analysis. Nutrients 2020, 12, 491. [Google Scholar] [CrossRef] [PubMed]
- Johnson, E.E.; Wessling-Resnick, M. Iron metabolism and the innate immune response to infection. Microbes Infect. 2012, 14, 207–216. [Google Scholar] [CrossRef] [PubMed]
- Costa, E.M.; Azevedo, J.A.P.; Martins, R.F.M.; Alves, C.M.C.; Ribeiro, C.C.C.; Thomaz, E. Anemia and Dental Caries in Pregnant Women: A Prospective Cohort Study. Biol. Trace Elem. Res. 2017, 177, 241–250. [Google Scholar] [CrossRef] [PubMed]
- Valenti, P.; Rosa, L.; Capobianco, D.; Lepanto, M.S.; Schiavi, E.; Cutone, A.; Paesano, R.; Mastromarino, P. Role of Lactobacilli and Lactoferrin in the Mucosal Cervicovaginal Defense. Front. Immunol. 2018, 9, 376. [Google Scholar] [CrossRef] [PubMed]
- Ellwanger, J.H.; Ziliotto, M.; Kulmann-Leal, B.; Chies, J.A.B. Iron deficiency and soil-transmitted helminth infection: Classic and neglected connections. Parasitol. Res. 2022, 121, 3381–3392. [Google Scholar] [CrossRef]
- Nielubowicz, G.R.; Mobley, H.L. Host-pathogen interactions in urinary tract infection. Nat. Rev. Urol. 2010, 7, 430–441. [Google Scholar] [CrossRef]
- Nairz, M.; Weiss, G. Infections Associated with Iron Administration. Met. Ions Life Sci. 2019, 19, 269–274. [Google Scholar] [CrossRef]



| 1st Trimester (n = 26) | 2nd Trimester (n = 80) | 3rd Trimester (n = 107) | ||
|---|---|---|---|---|
| Iron Status Indicators | Median (IQR) or % | Median (IQR) or % | Median (IQR) or % | p 3 |
| Hemoglobin, g/L | 118.5 (108.0, 126.0) a | 111.0 (104.0, 115.5) b | 113.0 (106.0, 141.0) b | 0.003 |
| Hemoglobin < 110 g/L | 30.8% | 43.7% | 35.5% | 0.372 |
| Hematocrit, % | 35.9 (33.3, 38.6) a | 34.5 (32.4, 36.0) b | 35.4 (33.5, 37.6) ab | 0.014 |
| <33% | 15.4% | 28.7% | 18.7% | 0.177 |
| Ferritin, µg/L | 31.8 (18.2, 50.6) a | 16.1 (7.5, 26.1) b | 8.9 (5.1, 17.5) c | 0.0001 |
| <30 µg/L | 46.1% | 82.5% | 91.6% | <0.0001 |
| <15 µg/L | 7.7% | 45.0% | 70.1% | <0.0001 |
| Serum iron, µmol/L | 11.7 (8.1, 14.2) | 8.7 (6.0, 13.4) | 8.1 (5.4, 13.6) | 0.078 |
| <8.9 µmol/L | 34.6% | 52.5% | 56.1% | 0.145 |
| sTfR, mg/L | 4.0 (3.2, 5.4) b | 4.4 (3.0, 6.2) b | 5.0 (4.5, 7.8) a | 0.0001 |
| >8.3 mg/L | 7.7% | 11.2% | 22.4% | 0.060 |
| <3.0 mg/L | 11.5% | 22.5% | 4.7% | 0.001 |
| Hepcidin, µg/L | 15.1 (10.1, 24.4) a | 8.7 (5.7, 13.4) b | 7.2 (5.0, 10.5) b | 0.0001 |
| Hepcidin/ferritin ratio | 0.6 (0.4, 0.8) b | 0.6 (0.3, 1.2) b | 0.8 (0.5, 1.2) a | 0.016 |
| Mean ± SD or % | Mean ± SD or % | Mean ± SD or % | p 1 | |
| Plasma volume, L | 1.97 ± 0.17 b | 2.10 ± 0.18 a | 2.17 ± 0.20 a | <0.0001 |
| Low plasma volume 2 | 61.5% | 98.7% | 100% | <0.0001 |
| Non-Anemic (Hb ≥ 110 g/L) | Anemic (Hb < 110 g/L) | |||
|---|---|---|---|---|
| General Characteristics 1 | Freq. 2 | Median (IQR) or % | Median (IQR) or % | p 3 |
| n | 62.0% | 38.0% | ||
| Age, years | 23 (18–30) | 25 (21–30) | 0.107 | |
| Calculated plasma volume, L | 2.06 (1.96, 2.20) | 2.14 (1.86, 2.29) | 0.001 | |
| Low plasma volume | 96.2% | 29.6% | 0.199 | |
| Parity | 2 (1, 5) | 4 (2, 6) | 0.007 | |
| Wood smoke exposure | 195 | 88.6% | 96.3% | 0.051 |
| Taking iron | 163 | 75.8% | 77.8% | 0.736 |
| Months taking iron | 2 (0.5, 3.5) | 2 (1, 3) | 0.840 | |
| 4 Taking MNS | 108 | 48.5% | 54.3% | 0.408 |
| MNS, tbsp/d | 0 (0, 2) | 1 (0, 4) | 0.282 | |
| Nutritional indicators | ||||
| 4 Weight-for-height category | ||||
| Underweight | 21 | 8.3% | 12.3% | 0.014 |
| Normal weight | 143 | 62.1% | 75.3% | |
| Overweight/obese | 49 | 29.5% | 12.3% | |
| 5 RBP, mg/L | 49.0 (28.3, 82.9) | 46.5 (29.5, 89.4) | 0.668 | |
| <30 mg/L | 57 | 27.5% | 25.9% | 0.804 |
| IGF-1, µg/L | 19.3 (8.5, 46.6) | 20.1 (9.2, 48.1) | 0.714 | |
| 6 Low IGF-1 | 160 | 76.7% | 75.3% | 0.812 |
| Micronutrient deficiencies | ||||
| Folic acid <10 µmol/L | 51 | 18.2% | 33.3% | 0.012 |
| B12 < 150 pmol/L | 181 | 82.6% | 88.9% | 0.211 |
| Vit. D < 50 nmol/L | 138 | 62.1% | 69.1% | 0.298 |
| 7 Vit. A < 1.05 µmol/L | 87 | 36.9% | 48.7% | 0.091 |
| Iron indicators | ||||
| Hemoglobin (g/L) | 117 (113, 122) | 104 (99, 106) | 0.0001 | |
| Ferritin, µg/L2 | 17.4 (8.7, 29.4) | 7.9 (3.3, 16.6) | 0.0001 | |
| <30 µg/L | 176 | 76.5% | 92.6% | 0.003 |
| <15 µg/L | 113 | 43.2% | 69.1% | <0.0001 |
| Serum iron, µmol/L | 10.3 (7.1, 16.0) | 6.5 (4.4, 9.3) | 0.0001 | |
| <8.9 µmol/L | 111 | 40.9% | 70.4% | <0.0001 |
| sTfR, mg/L | 5.0 (3.8, 6.4) | 5.7 (3.3, 8.1) | 0.270 | |
| >8.3 mg/L | 35 | 12.1% | 23.5% | 0.030 |
| <3.0 mg/L | 11 | 11.4% | 13.6% | 0.391 |
| Hepcidin, µg/L2 | 8.4 (5.5, 15.0) | 8.0 (6.2, 11.6) | 0.539 | |
| Hepcidin/ferritin ratio | 0.6 (0.3, 0.9) | 1.1 (0.6, 1.9) | 0.0001 | |
| Other RBC indices | ||||
| Hematocrit, % | 36.3 (35.2, 37.8) | 32.6 (31.2, 33.9) | 0.0001 | |
| <33% | 47 | 0.8% | 56.8% | <0.0001 |
| MCV, fL | 94.6 (91.3, 97.5) | 93.3 (86.6, 96.8) | 0.013 | |
| Macrocytosis (MCV > 100 fL) | 25 | 12.9% | 9.9% | 0.509 |
| Normocytosis | 180 | 87.1% | 80.2% | 0.178 |
| Microcytosis (MCV < 80 fL) | 8 | 0% | 9.9% | <0.0001 |
| MCHC, g/L | 323 (316, 330) | 314 (308, 324) | 0.0001 | |
| Hypochromia (MCHC < 320 g/L) | 102 | 37.1% | 65.4% | <0.0001 |
| RDW-SD, fL (n = 198) | 45.9 (43.6, 46.9) | 45.9 (43.6, 48.0) | 0.705 | |
| Anisocytosis (>46 fL) | 69 | 32.6% | 39.1% | 0.361 |
| Non-Anemic (Hb ≥ 110 g/L) | Anemic (Hb < 110 g/L) | |||
|---|---|---|---|---|
| Infections 1 | Freq. 2 | % or Median (IQR) | % or Median (IQR) | p 3 |
| Caries | 42 | 17.4% | 23.5% | 0.283 |
| Scabies | 37 | 18.9% | 14.8% | 0.441 |
| 4 Bacteriuria | 54 | 75.9% | 24.1% | 0.012 |
| 5 Lactobacillus | 113 | 52.3% | 55.7% | 0.629 |
| 5 Bacteroides/Gardnerella | 198 | 95.4% | 91.1% | 0.207 |
| 5 Mobiluncus | 174 | 78.0% | 89.9% | 0.029 |
| 5 Trichomonas | 52 | 71.2% | 82.3% | 0.071 |
| Vaginal yeast | 53 | 23.5% | 27.2% | 0.547 |
| 5 Diplococcus | 43 | 17.4% | 25.3% | 0.168 |
| 6 Ascaris | 39 | 30.0% | 37.5% | 0.408 |
| 6 Hookworm | 68 | 58.7% | 52.5% | 0.515 |
| 6 Trichuris | 15 | 13.7% | 10.0% | 0.394 |
| Inflammation biomarkers | ||||
| CRP, mg/L (n = 213) | 3.3 (1.3, 6.7) | 4.1 (1.6, 7.4) | 0.354 | |
| >5 mg/L | 76 | 33.3% | 39.5% | 0.361 |
| White blood cells (WBCs) × 103/mm3 | ||||
| Total WBCs | 8.61 (7.45, 10.30) | 8.08 (6.97, 9.13) | 0.030 | |
| Neutrophils | 5.87 (4.67, 7.06) | 5.21 (4.29, 6.29) | 0.023 | |
| Lymphocytes | 1.99 (1.70, 2.37) | 1.91 (1.70, 2.18) | 0.231 | |
| Monocytes | 0.37 (0.31, 0.45) | 0.34 (0.29, 0.41) | 0.138 | |
| Eosinophils | 0.37 (0.18, 0.53) | 0.32 (0.19, 0.45) | 0.548 | |
| Basophils | 0.03 (0.02, 0.04) | 0.03 (0.02, 0.04) | 0.898 | |
| 7 Cytokines, pg/mL (n = 212) | ||||
| IL-10 | 1.6 (0.1, 6.7) | 1.0 (0.1, 3.8) | 0.027 | |
| IL-13 | 1.6 (0.2, 9.1) | 1.6 (0.1, 6.6) | 0.097 | |
| IFN-γ | 5.5 (1.2, 15.3) | 2.5 (0.8, 13.6) | 0.132 |
| (A) | |||||
| Ferritin, ug/L * | Coef. | p | 95% CI | Standardized Domin. Stat | Ranking |
| Trimester | −9.34 | <0.0001 | −13.37, −5.31 | 0.53 | 1 |
| B12, pmol/L * | 0.06 | 0.046 | 0.001, 0.11 | 0.20 | 2 |
| Folic acid, nmol/L | 0.27 | 0.088 | −0.04, 0.58 | 0.12 | 3 |
| Months taking iron | 0.55 | 0.168 | −0.23, 1.32 | 0.06 | 4 |
| CRP, mg/L | 0.38 | 0.043 | 0.01, 0.75 | 0.05 | 5 |
| MNS, tbsp/d | 1.60 | 0.016 | 0.30, 2.91 | 0.03 | 6 |
| 1 Weight-for-height category | 2.31 | 0.111 | −0.53, 5.16 | 0.01 | 7 |
| Constant | 20.09 | 0.006 | 5.72, 34.45 | ||
| (B) | |||||
| Hepcidin * | Coef. | p | 95% CI | Standardized Domin. Stat | Ranking |
| Trimester | −4.18 | <0.0001 | −5.94, −2.42 | 0.43 | 1 |
| B12, pmol/L * | 0.02 | 0.062 | −0.001, 0.05 | 0.17 | 2 |
| CRP, mg/L | 0.31 | 0.001 | 0.12, 0.49 | 0.17 | 3 |
| Folic acid, nmol/L | 0.14 | 0.034 | 0.01, 0.26 | 0.12 | 4 |
| MNS, tbsp/d | 0.87 | 0.013 | 0.19, 1.55 | 0.04 | 5 |
| Parity | 0.30 | 0.111 | −0.07, 0.67 | 0.04 | 6 |
| Months taking iron | 0.41 | 0.054 | −0.01, 0.82 | 0.04 | 7 |
| Constant | 11.66 | <0.0001 | 5.32, 17.99 | ||
| (A) | |||||
| Serum Iron, umol/L | Coef. | p | 95% Conf. | Standardized Domin. Stat | Ranking |
| Monocytes ×103/mm3 * | −14.49 | <0.0001 | −19.10, −9.87 | 0.29 | 1 |
| Folic acid, nmol/L | 0.19 | 0.004 | 0.06, 0.31 | 0.28 | 2 |
| CRP, mg/L | −0.30 | <0.0001 | −0.40, −0.20 | 0.25 | 3 |
| Vitamin B12, pmol/L * | 0.03 | 0.016 | 0.005, 0.05 | 0.09 | 4 |
| Trimester | −0.61 | 0.360 | −1.91, 0.69 | 0.04 | 5 |
| Vitamin D, nmol/L | −0.06 | 0.046 | −0.11, −0.001 | 0.03 | 6 |
| Months taking iron | 0.15 | 0.489 | −0.28, 0.59 | 0.01 | 7 |
| Constant | 15.68 | <0.0001 | 10.44, 20.93 | ||
| (B) | |||||
| sTfR, mg/L | Coef. | p | 95% CI | Standardized Domin. Stat. | Ranking |
| Trimester | 1.04 | <0.0001 | 0.54, 1.55 | 0.38 | 1 |
| Vitamin D, nmol/L | −0.03 | 0.022 | −0.05, −0.004 | 0.15 | 2 |
| 1 Weight-for-height category | −0.79 | 0.030 | −1.51, −0.07 | 0.12 | 3 |
| CRP, mg/L | 0.08 | 0.085 | −0.01, 0.18 | 0.11 | 4 |
| Eosinophils ×103/mm3 * | −1.30 | 0.067 | −2.68, 0.09 | 0.10 | 5 |
| Parity | −0.14 | 0.052 | −0.29, 0.001 | 0.08 | 6 |
| Animal-source foods, portions/wk | 0.09 | 0.173 | −0.04, 0.23 | 0.05 | 7 |
| Constant | 6.62 | <0.0001 | 4.28 | ||
| (A) | |||||
| Anemia (Hb <110 g/L) | OR | p | 95% CI | Standardized Domin. Stat. | Ranking |
| Ferritin, µg/L * | 0.96 | 0.001 | 0.93, 0.98 | 0.32 | 1 |
| 1 Weight-for-height category | 0.45 | 0.007 | 0.25, 0.81 | 0.16 | 2 |
| Parity | 1.15 | 0.030 | 1.01, 1.30 | 0.11 | 3 |
| Folic acid, nmol/L | 0.96 | 0.114 | 0.92, 1.01 | 0.11 | 4 |
| Vitamin A, µmoll/L | 0.38 | 0.035 | 0.15, 0.93 | 0.11 | 5 |
| 2 Low plasma volume | 0.13 | 0.033 | 0.02, 0.84 | 0.08 | 6 |
| 3 Wood smoke exposure | 3.31 | 0.129 | 0.70, 15.50 | 0.07 | 7 |
| Trimester | 0.73 | 0.272 | 0.42, 1.28 | 0.03 | 8 |
| Constant | 113.18 | 0.002 | 5.82, 2200.15 | ||
| (B) | |||||
| Hemoglobin (g/L) * | Coef. | p | 95% CI | Standardized Domin. Stat. | Ranking |
| Plasma volume, mL | −0.02 | <0.0001 | −0.02, −0.01 | 0.30 | 1 |
| Ferritin, µg/L * | 0.20 | <0.0001 | 0.12, 0.27 | 0.27 | 2 |
| 3 Wood smoke exposure | −8.12 | <0.0001 | −12.43, −3.82 | 0.14 | 3 |
| Folic acid, nmol/L | 0.16 | 0.046 | 0.003, 0.31 | 0.09 | 4 |
| Lymphocytes × 103/mm3 | 3.18 | 0.017 | 0.57, 5.79 | 0.06 | 5 |
| Parity | −0.36 | 0.126 | −0.83, 0.10 | 0.06 | 6 |
| Trimester | 3.28 | 0.001 | 1.34, 5.22 | 0.04 | 7 |
| Vitamin A, µmol/L | 3.39 | 0.031 | 0.32, 6.46 | 0.04 | 8 |
| Constant | 134.76 | <0.0001 | 118.39, 151.12 | ||
| Presence of Infections 1 | n | Iron Intake (Yes/No) or Iron Status Indicator (Continuous) | OR | 95% CI | p |
|---|---|---|---|---|---|
| 2 Caries | 213 | Taking iron supplements | 0.36 | 0.15, 0.87 | 0.022 |
| 2 Caries | Serum iron | 0.93 | 0.87, 1.00 | 0.036 | |
| 2 Caries | sTfR | 1.11 | 1.02, 1.22 | 0.020 | |
| 3 Bacterial vaginosis | 211 | Taking iron supplements | 0.43 | 0.19, 0.95 | 0.037 |
| Vaginal trichomoniasis | 211 | Taking iron supplements | 2.36 | 1.06, 5.26 | 0.035 |
| Bacteriuria | 208 | Hemoglobin | 1.04 | 1.01, 1.08 | 0.009 |
| Ascaris | 120 | Serum iron | 1.06 | 1.01, 1.12 | 0.026 |
| Iron Status Indicator | Nutritional Indicators | Inflammation | Supplements | Maternal Factors | Predictors (p < 0.05) |
|---|---|---|---|---|---|
| OR of Anemia | Ferritin (reduced) Serum iron (reduced) Vitamin A (reduced) | None | None | Weight-for-height (reduced) Plasma volume (increased) Parity (increased) | 6 |
| Hemoglobin | Ferritin (+) Serum iron (+) Hepcidin (+) Vitamin A (+) Folic acid (+) | Lymphocytes (+) | None | Trimester (+) Plasma volume (−) Wood smoke (−) Weight-for-height category (+) | 10 |
| Ferritin | Vitamin B12 (+) | CRP (+) | MNS (+) | Trimester (−) | 4 |
| Hepcidin | Folic acid (+) | CRP (+) | MNS (+) | Trimester (−) | 4 |
| Serum iron | Folic acid (+) Vitamin B12 (+) Vitamin D (−) | CRP (−) Monocytes (−) | None | None | 5 |
| sTfR | Vitamin D (−) | None | None | Trimester (−) Weight-for-height category (−) | 3 |
Disclaimer/Publisher’s Note: The statements, opinions and data contained in all publications are solely those of the individual author(s) and contributor(s) and not of MDPI and/or the editor(s). MDPI and/or the editor(s) disclaim responsibility for any injury to people or property resulting from any ideas, methods, instructions or products referred to in the content. |
© 2024 by the authors. Licensee MDPI, Basel, Switzerland. This article is an open access article distributed under the terms and conditions of the Creative Commons Attribution (CC BY) license (https://creativecommons.org/licenses/by/4.0/).
Share and Cite
González-Fernández, D.; Nemeth, E.; Pons, E.d.C.; Rueda, D.; Sinisterra, O.T.; Murillo, E.; Sangkhae, V.; Starr, L.; Scott, M.E.; Koski, K.G. Multiple Infections, Nutrient Deficiencies, and Inflammation as Determinants of Anemia and Iron Status during Pregnancy: The MINDI Cohort. Nutrients 2024, 16, 1748. https://doi.org/10.3390/nu16111748
González-Fernández D, Nemeth E, Pons EdC, Rueda D, Sinisterra OT, Murillo E, Sangkhae V, Starr L, Scott ME, Koski KG. Multiple Infections, Nutrient Deficiencies, and Inflammation as Determinants of Anemia and Iron Status during Pregnancy: The MINDI Cohort. Nutrients. 2024; 16(11):1748. https://doi.org/10.3390/nu16111748
Chicago/Turabian StyleGonzález-Fernández, Doris, Elizabeta Nemeth, Emérita del Carmen Pons, Delfina Rueda, Odalis T. Sinisterra, Enrique Murillo, Veena Sangkhae, Lisa Starr, Marilyn E. Scott, and Kristine G. Koski. 2024. "Multiple Infections, Nutrient Deficiencies, and Inflammation as Determinants of Anemia and Iron Status during Pregnancy: The MINDI Cohort" Nutrients 16, no. 11: 1748. https://doi.org/10.3390/nu16111748
APA StyleGonzález-Fernández, D., Nemeth, E., Pons, E. d. C., Rueda, D., Sinisterra, O. T., Murillo, E., Sangkhae, V., Starr, L., Scott, M. E., & Koski, K. G. (2024). Multiple Infections, Nutrient Deficiencies, and Inflammation as Determinants of Anemia and Iron Status during Pregnancy: The MINDI Cohort. Nutrients, 16(11), 1748. https://doi.org/10.3390/nu16111748

