Independent and Joined Association between Socioeconomic Indicators and Pediatric Obesity in Spain: The PASOS Study
Abstract
1. Introduction
2. Materials and Methods
2.1. Study Design
2.2. Participants and Recruitment
2.3. Anthropometric Variables
2.4. Assessment of Socioeconomic Status
2.5. Other Variables
2.6. Statistical Analysis
2.7. Ethic Aspects
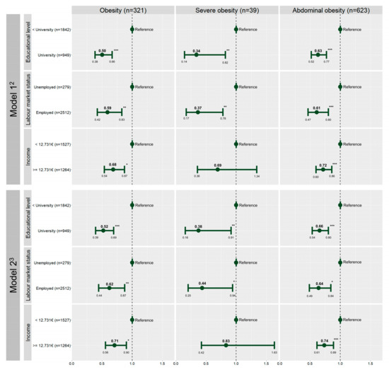
3. Results
4. Discussion
5. Conclusions
Supplementary Materials
Author Contributions
Funding
Institutional Review Board Statement
Informed Consent Statement
Data Availability Statement
Acknowledgments
Conflicts of Interest
References
- Bentham, J.; Di Cesare, M.; Bilano, V.; Bixby, H.; Zhou, B.; Stevens, G.A.; Riley, L.M.; Taddei, C.; Hajifathalian, K.; Lu, Y.; et al. Worldwide Trends in Body-Mass Index, Underweight, Overweight, and Obesity from 1975 to 2016: A Pooled Analysis of 2416 Population-Based Measurement Studies in 128.9 Million Children, Adolescents, and Adults. Lancet 2017, 390, 2627–2642. [Google Scholar] [CrossRef]
- Bravo-Saquicela, D.M.; Sabag, A.; Rezende, L.F.M.; Rey-Lopez, J.P. Has the Prevalence of Childhood Obesity in Spain Plateaued? A Systematic Review and Meta-Analysis. Int. J. Environ. Res. Public Health 2022, 19, 5240. [Google Scholar] [CrossRef] [PubMed]
- Kumar, S.; Kelly, A.S. Review of Childhood Obesity: From Epidemiology, Etiology and Comorbidities to Clinical Assessment and Treatment. Mayo Clin. Proc. 2017, 92, 251–265. [Google Scholar] [CrossRef] [PubMed]
- Neri, D.; Steele, E.M.; Khandpur, N.; Cediel, G.; Zapata, M.E.; Rauber, F.; Marrón-Ponce, J.A.; Machado, P.; Louzada, M.L.C.; Andrade, G.C.; et al. Ultraprocessed food consumption and dietary nutrient profiles associated with obesity: A multicountry study of children and adolescents. Obes. Rev. 2022, 23, e13387. [Google Scholar] [CrossRef]
- Kelley, G.A.; Kelley, K.S.; Pate, R.R. Exercise and BMI in Overweight and Obese Children and Adolescents: A Systematic Review and Trial Sequential Meta-Analysis. BioMed. Res. Int. 2015, 2015, 704539. [Google Scholar] [CrossRef]
- Morrissey, B.; Taveras, E.; Allender, S.; Strugnell, C. Sleep and obesity among children: A systematic review of multiple sleep dimensions. Pediatr. Obes. 2020, 15, e12619. [Google Scholar] [CrossRef]
- Moradi, M.; Mozaffari, H.; Askari, M.; Azadbakht, L. Association between overweight/obesity with depression, anxiety, low self-esteem, and body dissatisfaction in children and adolescents: A systematic review and meta-analysis of observational studies. Crit. Rev. Food Sci. Nutr. 2022, 62, 555–570. [Google Scholar] [CrossRef]
- Littleton, S.; Berkowitz, R.I.; Grant, S.F.A. Genetic Determinants of Childhood Obesity. Mol. Diagn. Ther. 2020, 24, 653–663. [Google Scholar] [CrossRef]
- Barriuso, L.; Miqueleiz, E.; Albaladejo, R.; Villanueva, R.; Santos, J.M.; Regidor, E. Socioeconomic position and childhood-adolescent weight status in rich countries: A systematic review, 1990–2013. BMC Pediatr. 2015, 15, 129. [Google Scholar] [CrossRef]
- Chung, A.; Backholer, K.; Wong, E.; Palermo, C.; Keating, C.; Peeters, A. Trends in child and adolescent obesity prevalence in economically advanced countries according to socioeconomic position: A systematic review. Obes. Rev. 2016, 17, 276–295. [Google Scholar] [CrossRef]
- Vazquez, C.E.; Cubbin, C. Socioeconomic Status and Childhood Obesity: A Review of Literature from the Past Decade to Inform Intervention Research. Curr. Obes. Rep. 2020, 9, 562–570. [Google Scholar] [CrossRef] [PubMed]
- Sares-Jäske, L.; Grönqvist, A.; Mäki, P.; Tolonen, H.; Laatikainen, T. Family socioeconomic status and childhood adiposity in Europe—A scoping review. Prev. Med. 2022, 160, 107095. [Google Scholar] [CrossRef] [PubMed]
- Buoncristiano, M.; Williams, J.; Simmonds, P.; Nurk, E.; Ahrens, W.; Nardone, P.; Rito, A.I.; Rutter, H.; Bergh, I.H.; Starc, G.; et al. Socioeconomic inequalities in overweight and obesity among 6- to 9-year-old children in 24 countries from the World Health Organization European region. Obes. Rev. 2021, 22, e13213. [Google Scholar] [CrossRef] [PubMed]
- Fitzsimons, E.; Bann, D. Obesity Prevalence and Its Inequality from Childhood to Adolescence: Initial Findings from the Millennium Cohort Study Age 17 Survey; Center for Longitudinal Studies: London, UK, 2020; p. 4. [Google Scholar]
- García Solano, M.; Gutiérrez González, E.; Peña-Rey Lorenzo, I.; Arcarons Feixas, A.; Arisas Lera, A.; Jorquera Rojas, G. Obesidad y Pobreza Infantil: Radiografía de Una Doble Desigualdad. Estudio Del Rol de Los Factores Socioeconómicos En La Obesidad de Los Escolares En España; Agencia Española de Seguridad Alimentaria y Nutrición, Ministerio de Consumo, Alto Comisionado contra la Pobreza Infantil: Madrid, Spain, 2022; p. 30.
- Pizarro, J.V. Prevalence of Childhood Obesity in Spain; National Health Survey 2006–2007. Nutr. Hosp. 2012, 27, 154–160. [Google Scholar] [CrossRef]
- Miqueleiz, E.E.; Lostao, L.; Ortega, P.; Santos, J.M.; Astasio, P.; Regidor, E.E. Trends in the prevalence of childhood overweight and obesity according to socioeconomic status: Spain, 1987–2007. Eur. J. Clin. Nutr. 2014, 68, 209–214. [Google Scholar] [CrossRef]
- Gil, J.M.; Takourabt, S. Socio-economics, food habits and the prevalence of childhood obesity in Spain. Child Care Health Dev. 2017, 43, 250–258. [Google Scholar] [CrossRef]
- De Bont, J.; Díaz, Y.; Casas, M.; García-Gil, M.; Vrijheid, M.; Duarte-Salles, T. Time Trends and Sociodemographic Factors Associated with Overweight and Obesity in Children and Adolescents in Spain. JAMA Netw. Open 2020, 3, e201171. [Google Scholar] [CrossRef]
- Sánchez-Cruz, J.-J.; De Ruiter, I.; Jiménez-Moleón, J.J.; García, L.; Sánchez, M.-J. Stabilization and reversal of child obesity in Andalusia using objective anthropometric measures by socioeconomic status. BMC Pediatr. 2018, 18, 322. [Google Scholar] [CrossRef]
- Loring, B.; Robertson, A. Obesity and Inequities: Guidance for Addressing Inequities in Overweight and Obesity; World Health Organization: Geneva, Switzerland, 2014; ISBN 978 92 890 5048 7. [Google Scholar]
- WHO. Regional Office for Europe WHO European Regional Obesity Report; World Health Organization: Copenhagen, Denmark, 2022; p. 220. [Google Scholar]
- High Commissioner against Child Poverty. National Strategic Plan for The Reduction of Childhood Obesity (2022–2030) Spain. Executive Summary; Alto Comisionado contra la Pobreza Infantil, Presidencia del Gobierno: Madrid, Spain, 2022; p. 23.
- Royo-Bordonada, M.; Fernández-Escobar, C.; Gil-Bellosta, C.J.; Ordaz, E. Effect of excise tax on sugar-sweetened beverages in Catalonia, Spain, three and a half years after its introduction. Int. J. Behav. Nutr. Phys. Act. 2022, 19, 24. [Google Scholar] [CrossRef]
- Gómez, S.F.; Rajmil, L. Advertising, obesity and child health: The case of Spain. BMJ Paediatr. Open 2022, 6, e001482. [Google Scholar] [CrossRef]
- Borrador de Real Decreto Sobre Regulación de La Publicidad de Alimentos y Bebidas Dirigida al Público Infantil|Ministerio de Consumo. Available online: https://www.consumo.gob.es/es/consulta-p-blica/borrador-de-real-decreto-sobre-regulaci-n-de-la-publicidad-de-alimentos-y-bebidas (accessed on 6 February 2023).
- Gómez, S.F.; Homs, C.; Wärnberg, J.; Medrano, M.; Gonzalez-Gross, M.; Gusi, N.; Aznar, S.; Cascales, E.M.; González-Valeiro, M.; Serra-Majem, L.; et al. Study protocol of a population-based cohort investigating Physical Activity, Sedentarism, lifestyles and Obesity in Spanish youth: The PASOS study. BMJ Open 2020, 10, e036210. [Google Scholar] [CrossRef] [PubMed]
- World Health Organization (WHO). Weighing and Measuring. Child Growth Standards. Available online: https://www.who.int/tools/child-growth-standards (accessed on 6 February 2023).
- De Onis, M.; Onyango, A.W.; Borghi, E.; Siyam, A.; Nishida, C.; Siekmann, J. Development of a WHO growth reference for school-aged children and adolescents. Bull. World Health Organ. 2007, 85, 660–667. [Google Scholar] [CrossRef]
- Taylor, R.W.; Jones, I.E.; Williams, S.M.; Goulding, A. Evaluation of waist circumference, waist-to-hip ratio, and the conicity index as screening tools for high trunk fat mass, as measured by dual-energy X-ray absorptiometry, in children aged 3–19 y. Am. J. Clin. Nutr. 2000, 72, 490–495. [Google Scholar] [CrossRef] [PubMed]
- INE: Indicadores de Renta Media y Mediana. Available online: https://www.ine.es/jaxiT3/Tabla.htm?t=31097 (accessed on 6 February 2023).
- Serra-Majem, L.; Ribas, L.; Ngo, J.; Ortega, R.M.; García, A.; Pérez-Rodrigo, C.; Aranceta, J. Food, youth and the Mediterranean diet in Spain. Development of KIDMED, Mediterranean Diet Quality Index in children and adolescents. Public Health Nutr. 2004, 7, 931–935. [Google Scholar] [CrossRef] [PubMed]
- Schröder, H.; Subirana, I.; Wärnberg, J.; Medrano, M.; González-Gross, M.; Gusi, N.; Aznar, S.; Alcaraz, P.E.; González-Valeiro, M.A.; Serra-Majem, L.; et al. Validity, reliability, and calibration of the physical activity unit 7 item screener (PAU-7S) at population scale. Int. J. Behav. Nutr. Phys. Act. 2021, 18, 98. [Google Scholar] [CrossRef] [PubMed]
- Staatz, C.B.; Kelly, Y.; Lacey, R.E.; Blodgett, J.M.; George, A.; Arnot, M.; Walker, E.; Hardy, R. Socioeconomic position and body composition in childhood in high- and middle-income countries: A systematic review and narrative synthesis. Int. J. Obes. 2021, 45, 2316–2334. [Google Scholar] [CrossRef]
- Buoncristiano, M.; Spinelli, A.; Williams, J.; Nardone, P.; Rito, A.I.; García-Solano, M.; Grøholt, E.K.; Gutiérrez-González, E.; Klepp, K.I.; Starc, G.; et al. Childhood overweight and obesity in Europe: Changes from 2007 to 2017. Obes. Rev. 2021, 22, e13226. [Google Scholar] [CrossRef]
- Chung, Y.L.; Rhie, Y.-J. Severe Obesity in Children and Adolescents: Metabolic Effects, Assessment, and Treatment. J. Obes. Metab. Syndr. 2021, 30, 326–335. [Google Scholar] [CrossRef]
- Jebeile, H.; Kelly, A.S.; O’Malley, G.; Baur, L.A. Obesity in children and adolescents: Epidemiology, causes, assessment, and management. Lancet Diabetes Endocrinol. 2022, 10, 351–365. [Google Scholar] [CrossRef]
- Pinhas-Hamiel, O.; Hamiel, U.; Bendor, C.D.; Bardugo, A.; Twig, G.; Cukierman-Yaffe, T. The Global Spread of Severe Obesity in Toddlers, Children, and Adolescents: A Systematic Review and Meta-Analysis. Obes. Facts 2022, 15, 118–134. [Google Scholar] [CrossRef]
- Kelly, A.S.; Barlow, S.E.; Rao, G.; Inge, T.H.; Hayman, L.L.; Steinberger, J.; Urbina, E.M.; Ewing, L.J.; Daniels, S.R. Severe Obesity in Children and Adolescents: Identification, Associated Health Risks, and Treatment Approaches: A Scientific Statement from the American Heart Association. Circulation 2013, 128, 1689–1712. [Google Scholar] [CrossRef] [PubMed]
- Spinelli, A.; Buoncristiano, M.; Kovacs, V.A.; Yngve, A.; Spiroski, I.; Obreja, G.; Starc, G.; Pérez, N.; Rito, A.I.; Kunešová, M.; et al. Prevalence of Severe Obesity among Primary School Children in 21 European Countries. Obes. Facts 2019, 12, 244–258. [Google Scholar] [CrossRef] [PubMed]
- Forkert, E.C.D.O.; de Moraes, A.C.F.; Carvalho, H.B.; Kafatos, A.; Manios, Y.; Sjöström, M.; González-Gross, M.; Gottrand, F.; Beghin, L.; Censi, L.; et al. Abdominal obesity and its association with socioeconomic factors among adolescents from different living environments. Pediatr. Obes. 2017, 12, 110–119. [Google Scholar] [CrossRef] [PubMed]
- Ortiz-Marrón, H.; Ortiz-Pinto, M.A.; Pujadas, G.C.; Mosquera, J.G.M.; Miñarro, M.L.; Pinos, F.M.; Gavín, M.O.; Galán, I. Tracking and risk of abdominal and general obesity in children between 4 and 9 years of age. The Longitudinal Childhood Obesity Study (ELOIN). BMC Pediatr. 2022, 22, 198. [Google Scholar] [CrossRef]
- Pearce, A.; Dundas, R.; Whitehead, M.; Taylor-Robinson, D. Pathways to inequalities in child health. Arch. Dis. Child. 2019, 104, 998–1003. [Google Scholar] [CrossRef]
- Backholer, K.; Gupta, A.; Zorbas, C.; Bennett, R.; Huse, O.; Chung, A.; Isaacs, A.; Golds, G.; Kelly, B.; Peeters, A. Differential exposure to, and potential impact of, unhealthy advertising to children by socio-economic and ethnic groups: A systematic review of the evidence. Obes. Rev. 2021, 22, e13144. [Google Scholar] [CrossRef]
- Londoño-Cañola, C.; Serral, G.; Díez, J.; Martínez-García, A.; Franco, M.; Artazcoz, L.; Ariza, C. Retail Food Environment around Schools in Barcelona by Neighborhood Socioeconomic Status: Implications for Local Food Policy. Int. J. Environ. Res. Public Health 2023, 20, 649. [Google Scholar] [CrossRef]
- De França, F.C.O.; Andrade, I.D.S.; Zandonadi, R.P.; Sávio, K.E.; Akutsu, R.D.C.C.D.A. Food Environment around Schools: A Systematic Scope Review. Nutrients 2022, 14, 5090. [Google Scholar] [CrossRef]
- Cereijo, L.; Gullón, P.; Cebrecos, A.; Bilal, U.; Santacruz, J.A.; Badland, H.; Franco, M. Access to and availability of exercise facilities in Madrid: An equity perspective. Int. J. Health Geogr. 2019, 18, 15. [Google Scholar] [CrossRef]
- Mohammed, S.H.; Habtewold, T.D.; Birhanu, M.M.; Sissay, T.A.; Tegegne, B.S.; Abuzerr, S.; Esmaillzadeh, A. Neighbourhood socioeconomic status and overweight/obesity: A systematic review and meta-analysis of epidemiological studies. BMJ Open 2019, 9, e028238. [Google Scholar] [CrossRef]
- Hoffimann, E.; Barros, H.; Ribeiro, A.I. Socioeconomic Inequalities in Green Space Quality and Accessibility—Evidence from a Southern European City. Int. J. Environ. Res. Public Health 2017, 14, 916. [Google Scholar] [CrossRef] [PubMed]
- Danford, C.A.; Schultz, C.; Marvicsin, D. Parental roles in the development of obesity in children: Challenges and opportunities. Res. Rep. Biol. 2015, 6, 39–53. [Google Scholar] [CrossRef]
- Jang, M.; Owen, B.; Lauver, D.R. Different types of parental stress and childhood obesity: A systematic review of observational studies. Obes. Rev. 2019, 20, 1740–1758. [Google Scholar] [CrossRef] [PubMed]
- Poulain, T.; Vogel, M.; Sobek, C.; Hilbert, A.; Körner, A.; Kiess, W. Associations Between Socio-Economic Status and Child Health: Findings of a Large German Cohort Study. Int. J. Environ. Res. Public Health 2019, 16, 677. [Google Scholar] [CrossRef]
- Hemmingsson, E. A new model of the role of psychological and emotional distress in promoting obesity: Conceptual review with implications for treatment and prevention. Obes. Rev. 2014, 15, 769–779. [Google Scholar] [CrossRef]
- Francis, L.; DePriest, K.; Wilson, M.; Gross, D. Child Poverty, Toxic Stress, and Social Determinants of Health: Screening and Care Coordination. Online J. Issues Nurs. 2018, 23, 2. [Google Scholar] [CrossRef]
- Parks, E.P.; Kumanyika, S.; Moore, R.H.; Stettler, N.; Wrotniak, B.H.; Kazak, A. Influence of Stress in Parents on Child Obesity and Related Behaviors. Pediatrics 2012, 130, e1096–e1104. [Google Scholar] [CrossRef]
- Kim, T.J.; Von Dem Knesebeck, O. Income and Obesity: What Is the Direction of the Relationship? A Systematic Review and Meta-Analysis. BMJ Open 2018, 8, e019862. [Google Scholar] [CrossRef]
- Kakinami, L.; Séguin, L.; Lambert, M.; Gauvin, L.; Nikiema, B.; Paradis, G. Poverty’s latent effect on adiposity during childhood: Evidence from a Québec birth cohort. J. Epidemiol. Community Health 2014, 68, 239–245. [Google Scholar] [CrossRef]
- Li, M.; Mustillo, S.; Anderson, J. Childhood poverty dynamics and adulthood overweight/obesity: Unpacking the black box of childhood. Soc. Sci. Res. 2018, 76, 92–104. [Google Scholar] [CrossRef]
- Calsamiglia, C.; Güell, M. ¿Cómo Escogen Los Padres La Escuela de Sus Hijos? Teoría y Evidencia Para España; FEDE: Barcelona, Spain, 2013; p. 27. [Google Scholar]
- Murillo, F.J.; Almazán, A.; Garrido, C.M. La elección de centro educativo en un sistema de cuasi-mercado escolar mediado por el programa de bilingüismo. Rev. Complut. De Educ. 2021, 32, 89–97. [Google Scholar] [CrossRef]
- Darin-Mattsson, A.; Fors, S.; Kåreholt, I. Different indicators of socioeconomic status and their relative importance as determinants of health in old age. Int. J. Equity Health 2017, 16, 173. [Google Scholar] [CrossRef] [PubMed]
- La Fauci, G.; Montalti, M.; Di Valerio, Z.; Gori, D.; Salomoni, M.G.; Salussolia, A.; Soldà, G.; Guaraldi, F. Obesity and COVID-19 in Children and Adolescents: Reciprocal Detrimental Influence—Systematic Literature Review and Meta-Analysis. Int. J. Environ. Res. Public Health 2022, 19, 7603. [Google Scholar] [CrossRef] [PubMed]
- Gebremariam, M.K.; Lien, N.; Nianogo, R.A.; Arah, O.A. Mediators of socioeconomic differences in adiposity among youth: A systematic review. Obes. Rev. 2017, 18, 880–898. [Google Scholar] [CrossRef] [PubMed]
- Peeters, A.; Backholer, K. Prioritising and tackling socio-economic inequalities in obesity. BMC Obes. 2014, 1, 16. [Google Scholar] [CrossRef]
- Beauchamp, A.; Backholer, K.; Magliano, D.; Peeters, A. The effect of obesity prevention interventions according to socioeconomic position: A systematic review. Obes. Rev. 2014, 15, 541–554. [Google Scholar] [CrossRef]


| Study Sample Characteristics | Values (n; % or Mean) |
|---|---|
| Girls | 1449 (51.9%) |
| Age | 12.59 (12.51–12.68) |
| BMI (kg/m2) | 20.29 (20.15–20.44) |
| Waist (cm) | 70.70 (70.30–71.10) |
| Obesity | 321 (11.5%) |
| Severe obesity | 39 (1.4%) |
| Abdominal obesity | 623 (22.3%) |
| Adherence to the Mediterranean diet (unit) | 6.82 (6.73–6.91) |
| MVPA (min/d) | 93.01 (91.75–94.28) |
| Parental SES indicators | |
| University degree | 949 (34.0%) |
| Employed | 2512 (90.0%) |
| Annual Income ≥ 12.731€ | 1264 (45.3%) |
Disclaimer/Publisher’s Note: The statements, opinions and data contained in all publications are solely those of the individual author(s) and contributor(s) and not of MDPI and/or the editor(s). MDPI and/or the editor(s) disclaim responsibility for any injury to people or property resulting from any ideas, methods, instructions or products referred to in the content. |
© 2023 by the authors. Licensee MDPI, Basel, Switzerland. This article is an open access article distributed under the terms and conditions of the Creative Commons Attribution (CC BY) license (https://creativecommons.org/licenses/by/4.0/).
Share and Cite
Homs, C.; Berruezo, P.; Arcarons, A.; Wärnberg, J.; Osés, M.; González-Gross, M.; Gusi, N.; Aznar, S.; Marín-Cascales, E.; González-Valeiro, M.Á.; et al. Independent and Joined Association between Socioeconomic Indicators and Pediatric Obesity in Spain: The PASOS Study. Nutrients 2023, 15, 1987. https://doi.org/10.3390/nu15081987
Homs C, Berruezo P, Arcarons A, Wärnberg J, Osés M, González-Gross M, Gusi N, Aznar S, Marín-Cascales E, González-Valeiro MÁ, et al. Independent and Joined Association between Socioeconomic Indicators and Pediatric Obesity in Spain: The PASOS Study. Nutrients. 2023; 15(8):1987. https://doi.org/10.3390/nu15081987
Chicago/Turabian StyleHoms, Clara, Paula Berruezo, Albert Arcarons, Julia Wärnberg, Maddi Osés, Marcela González-Gross, Narcis Gusi, Susana Aznar, Elena Marín-Cascales, Miguel Ángel González-Valeiro, and et al. 2023. "Independent and Joined Association between Socioeconomic Indicators and Pediatric Obesity in Spain: The PASOS Study" Nutrients 15, no. 8: 1987. https://doi.org/10.3390/nu15081987
APA StyleHoms, C., Berruezo, P., Arcarons, A., Wärnberg, J., Osés, M., González-Gross, M., Gusi, N., Aznar, S., Marín-Cascales, E., González-Valeiro, M. Á., Serra-Majem, L., Terrados, N., Tur, J. A., Segú, M., Fitó, M., Benavente-Marín, J. C., Labayen, I., Zapico, A. G., Sánchez-Gómez, J., ... Gómez, S. F. (2023). Independent and Joined Association between Socioeconomic Indicators and Pediatric Obesity in Spain: The PASOS Study. Nutrients, 15(8), 1987. https://doi.org/10.3390/nu15081987

