Abstract
This paper examines the effects of temperature and humidity on the absorption spectrum and concentration of nitrous oxide () using a compact, portable open optical-path gas detection sensor system. We obtained the absorption coefficient and widened the linear function of the absorption spectrum related to temperature by theoretical analysis and the high-resolution transmission molecular absorption database (HITRAN). Afterward, we conducted real-time monitoring of in both campus and laboratory environments using lasers for a duration of 32 h and 6 h, respectively, and the results were compared and analyzed with the theoretical derivation. The results show that the concentration of increased with increasing environmental temperature but decreased with increasing humidity. Furthermore, the variations in temperature and humidity significantly affected the peak values of the second-harmonic (2f) and first-harmonic (1f) signals. Finally, the temperature concentration and humidity curves were calibrated separately, and temperature changes were positively correlated with the concentration, while humidity changes were negatively correlated with the concentration. The experimental results indicate that the concentration of and its absorption spectra are influenced by humidity and temperature, which has a significant reference value in the absorption and measurement of in practical applications.
1. Introduction
Since China’s proposal of the “carbon peak” and “carbon neutrality” [1,2] goals, the government and society have attached great importance to the problems of air pollution and global warming [3]. Nitrous oxide () is among the six greenhouse gases [4] under the Kyoto Protocol. content is relatively low compared to carbon dioxide (), but its global warming potential is about 310 times [5] that of . In addition, it is destructive to ozone () [6]. There are many reasons for the changes in concentrations in the atmosphere, which are partly due to anthropogenic activities [7], such as the widespread use of fertilizers in agricultural activities. The concentrations of other gases in the atmosphere, as well as the wind speed and direction, are all correlated with changes in concentrations [8]. At the macro level, temperature and humidity are also factors affecting the absorption coefficient of gas. However, relatively few studies have been conducted on the specific effects of temperature and humidity on gas, and analysis has also been lacking on the influence of temperature and humidity on the absorption spectrum and the concentration of . Moreover, some uncertainty and variability remain in the observations of the relationship between gas concentrations and temperature and humidity. The reasons for these discrepancies may be regional differences, differences in observation methods, and imperfections in data, which are all important bases for measuring the concentration in atmospheric, medical, combustion, and agricultural processes [9,10]. Thus, further research and exploration, combined with additional field observations and modeling experiments, can uncover the mechanism of temperature and humidity on the concentration. Consequently, providing a scientific basis for this concentration is essential for reducing emissions, controlling climate change, and promoting sustainable development and environmental protection.
Several optical detection techniques have been developed to detect the composition of gases in the atmosphere, such as cavity-enhanced absorption spectroscopy (CEAS) [11], cavity ring-down spectroscopy (CRDS) [12], and photo-acoustic spectroscopy (PAS) [13]. However, these techniques are imperfect. For example, for CEAS technology, off-axis cavity-enhanced absorption spectra can effectively avoid the F-P effect [14,15]. Thus, it is easy to carry out pattern matching but difficult to eliminate the F-P effect when using coaxial CEAS. Moreover, CRDS can be immune to laser intensity fluctuations, but has difficulty obtaining cavity ring-down spectra in many wavebands owing to the limited availability of laser light sources and high-reflectance mirrors. Nevertheless, PAS technology, which is more sensitive than the above two technologies, costs more and is rarely used in gas detection [16,17]. Further, PAS technology has some disadvantages; for example, the photo-acoustic signal is proportional to light power, which can create some serious problems with the accuracy and stability of the measurement. Tunable diode laser absorption spectroscopy (TDLAS) [18] is a versatile technique with high sensitivity and high resolution that is also widely used in the study of high-temperature gases. TDLAS mainly includes direct absorption [19] and wavelength modulation [20,21]. This gas detection method, combining wavelength modulation technology and second-harmonic (2f) detection technology, has been the most commonly used method in atmospheric environment detection and gas detection [22,23]. Recently, Li et al. [24] proposed TDLAS technology based on the 2f detection technology based on wavelength modulation spectroscopy (2f-WMS) and long optical-path detection technology to realize the detection of gas. Its lowest detection limit is 1.98 ppb. Ren et al. [25] developed a gas sensor system based on a quantum cascade laser (QCL) using a compact multi-pass gas cell (MGC). Combined with the 2f detection technology based on wavelength modulation spectroscopy (WMS), the detection limits of methane () and in the atmosphere can reach 5.9 ppb and 2.6 ppb, respectively. Most of these techniques are closed optical paths, although they allow for fast responses and relatively high sensitivity. This restriction severely limits the detection range [26,27], resulting in low use of continuous monitoring and limiting the practicality of large-scale monitoring.
In this work, we used field monitoring data and simulation experiments to study the effects of temperature and humidity on the absorption spectra and concentration of . First, the absorption spectral function of was simulated, which was followed by real-time monitoring of using an open-path sensor system at different temperatures and different humidity ambient conditions, independently. Then, a comprehensive analysis of the data obtained from the monitoring was used mainly to analyze the relationship between the concentration and the variation in temperature and humidity. The 2f-WMS signal and first-harmonic detection technology based on wavelength modulation spectroscopy (1f-WMS) signal were extracted and analyzed under different environmental conditions. The results revealed that the concentration of increased with the increase in temperature but that the concentration of decreased with the increase in humidity. Thereafter, the curves of temperature and concentration, humidity, and concentration were fitted and calibrated, and it was found that the changes in temperature and humidity were closely related to concentration. Thus, it is important to study the effect of temperature and humidity on the concentration of .
2. Theory
According to the Beer–Lambert law [28,29], the absorption intensity of a laser through a unit gas sample is given by the following test:
where is incident light intensity, is transmitted light intensity, L is the effective path of incident light intensity through the gas to be measured, and C is the concentration of the gas sample to be measured. The spectral absorption coefficient is , expressed as
where P, , T, and represent the pressure, absorption line strength, temperature, and linear function, respectively. N is the particle population density, and is the absorption cross section, where P equals 1 atm. According to Equation (2), the intensity of gas absorption spectra is affected by temperature. Suppose that the environment of the gas is at any T; its absorption spectral line intensity can be expressed as
where h is Planck’s constant, is the central absorption frequency, c is the speed of light, represents the energy of low-transition states, k is Boltzmann’s constant, Q is the total molecular partition function [30], and is the total molecular partition function. When is 296 K, combined with the HITRAN database [31,32], the absorption spectral line intensity of gas molecules under this temperature condition can be obtained as . has spectral line widening owing to the simultaneous action of gas pressure and temperature; in this case, the widening function is the combination of the Lorenz curve and a Gaussian function under pressure. The Lorenz linear function can be expressed as
where v is the central frequency of a laser, is the collision spread, is the half-width coefficient of , and n is the collision broadening index. The change in ambient temperature promotes the irregular thermal motion of gas molecules, so when the temperature is dominant, the Gaussian function should be used to represent the absorption spectral line of gas. The Gaussian function is expressed as follows:
where is the Doppler widening.
3. Experimental Details
3.1. Sensor Setup
Based on WMS technology and an open optical path, an open optical-path detection system for detecting gas in the atmosphere was built. The schematic diagram is shown in Figure 1. The sensor system is composed of a light-source module, photoelectric detection module, and data processing module. The light-source module mainly consists of signal generation, a laser drive, QCL, and an indication light source. To effectively realize the tunable characteristics of laser emission wavelength, we designed the signal generator plate to generate a high-frequency sine wave signal with a frequency of 10 kHz to realize the modulation function and to generate a low-frequency sawtooth wave signal with a frequency of 10 Hz to realize the scanning function. The two signals are superimposed on the laser driver (QC750-, Ningbo HealthyPhoton Technology, Co., Ltd., Ningbo, China). The laser driver controls the temperature and central emission wavelength of QCL and converts it into an injection current acting on the detection light source QCL so that the emission wavelength of QCL is in the tunable range of 2203.7–2204.1 cm.
Figure 1.
Schematic diagram of open optical sensor system.
In the photoelectric detection module, two beams of light are sent coaxially through the coaxial collimation system, through the gold-coated off-axis parabolic mirror with a through hole, incident into the atmospheric environment containing gas molecules. The QCL laser intensity is absorbed by gas molecules. The signal detected by the detector is transmitted to the lock-in amplifier to filter out the superimposed high-frequency sinusoidal signal from the angle mirror, which is reflected in the direction parallel to the incident light to the parabolic mirror. Thus, we demodulate the required 1f signal and 2f signal. Finally, the data acquisition card (MP4624) records relevant parameters. After data collection by the data acquisition card, the concentration of detected gas molecules is retrieved through the method of least square fitting and the harmonic ratio. Among them, the demodulated 1f and 2f signals and the real-time concentration change trend are displayed by the PC user interface based on LabVIEW.
3.2. Selection of Transitions
To achieve effective detection of gas molecules, we need to select the absorption line intensity and the emission central wavelength of the laser. First, combined with the HITRAN-2016 database, the wave number range of 2000–2250 cm was selected to analyze the region of the absorption spectral line intensity of , and then carbon monoxide (), carbon dioxide (), and water () molecules were simulated and analyzed, as shown in Figure 2. Within this wave number range, the absorption spectra of were mainly distributed within the 2000–2081 cm range, and the absorption spectra of gas were distributed within the 2025–2200 cm wave number range. The absorption spectra of H2O gas were distributed before the 2020 cm wave number range. The absorption spectra of gas molecules were mainly distributed in the 2200–2250 cm wave number range, and they were far from the absorption spectra of water vapor and other gases, reducing interference. At around 2203.7 cm, the absorption spectra of gas were the strongest. Therefore, we set the position of the absorption line to 2203.7333 cm, which was used as the wave number of the QCL emission center. The corresponding spectral line intensity was 7.903 × 10 (cm.mol). The central current and temperature of QCL were set at 330 mA and 36.0 C, respectively.
Figure 2.
The intensity distribution of absorption lines of , , , and in the range of 2000–2250 cm .
3.3. Sensor Calibration
We used a standard mixture of and at a concentration of 20 ppm (20 ppm of in , from Nanjing Special Gas Co., Ltd., Nanjing, China), which was poured into a standard gas tank with a length of 10 cm to calibrate the instrument. To effectively avoid the interference of in the atmosphere during the calibration, we put the off-axis parabolic mirror and the angular mirror as close together as possible; after that, real-time monitoring was conducted for 20 min. Moreover, 64 times the signal average could effectively eliminate the random error of the system measurement. By analyzing the concentration measured in the calibration process, we found that the average value was 19.929 ppm and that the standard deviation was 0.012 ppm, which indicates that the measurement accuracy of the system is high.
4. Results and Discussion
4.1. Effect of Temperature on the Absorption Spectrum and Concentration of
The concentration of gas molecules is influenced by various environmental parameters, such as temperature and pressure. Temperature is an important factor affecting the measurement of trace gases. Therefore, through a simulation, the change law of the absorption spectral line and the comprehensive widening line function of gas molecules were analyzed when the temperature changed independently, which is an important basis for measuring the concentration of in the atmospheric environment. The absorption line intensity of gas molecules is a temperature-dependent function, and it could be obtained that was 7.903 × 10 (cm·mol) by searching the HITRAN database. According to Equation (3), the magnitude of the spectral line intensity at different temperatures could be deduced, and a temperature variation range of 270–320 K was selected to calculate the relative spectral line intensity at different temperatures. As shown in Figure 3a, the relative spectral line intensities gradually weakened with the continuous increase in temperature, and the rate of weakening gradually increased.
Figure 3.
(a) The relationship between relative spectral line intensity and temperature. (b) The trend of its linear function when different wave numbers changed with temperature. (c) The relationship between the comprehensive broadening type function and wave number under different temperature conditions. (d) The peak value of the Gaussian function under different temperature conditions.
The trend of the integrated broadening function value with temperature under different central wave number conditions was further analyzed, taking the wave number variation range of 2203.5–2204.0 cm as an example. Then, the trend of the integrated broadening line shape function was simulated and analyzed in the temperature range of 0–1000 K, as shown in Figure 3b. As the temperature increased, two trends were observed in the integrated broadening function value over the temperature range 0–1000 K. First, with the increase in temperature, the integrated broadening function value increased continuously, but the growth trend gradually slowed and tended to become stable. Second, with the increase in temperature, the integrated broadening function value first continuously increased to the maximum value and then gradually decreased and tended to become stable. In addition, under the same temperature condition, the comprehensive widening function value corresponding to the wave number closer to the absorption peak was the largest.
To further analyze the effect of temperature change on the integrated broadening line function of gas molecules, we set the gas pressure to 1 atm, the laser center wave number to 2203.73 cm, and the tunable range to 2203.3–2204.1 cm, as shown in Figure 3c. A certain correlation existed between the change in the function value and the choice of wave number with the increasing temperature. At the central wave number, the value of the function increased with the increase in temperature. When it deviated from the central wave number, however, the value of the function corresponding to different wave numbers changed with the temperature. When the temperature changed independently, the Gaussian function was selected for analysis. Finally, the Gaussian function was simulated when the ambient temperature was between 20 C and 30 C. As shown in Figure 3d, the higher the temperature, the lower the peak value of the Gaussian function.
To investigate the effect of temperature on concentration, we placed the sensor in the open area below the campus teaching building of Shandong Normal University (36°3249.55N, 116°4948.47E) for real-time monitoring, and the distance between the angular reflector and the off-axis parabolic mirror was adjusted to set an effective light path of 20 m. Real-time monitoring of was conducted for 32 h, from 12:00 on 7 September to 20:00 on 8 September 2022. Given the difference between the temperature in the campus and the temperature in the atmosphere measured by the real gas network, a high-precision temperature and humidity measuring instrument (RS-WS-ETH-6) was used to monitor the temperature of the campus in real time during the experiment, and the measured concentration was analyzed.
Figure 4a shows the real-time concentration of in the campus environment as measured by the sensor. The concentration of fluctuated in the range of 0.16–0.24 ppm from 12:00 on 7 September to 20:00 on 8 September 2022, owing to environmental differences. Moreover, the concentration of on campus was slightly lower than that in the atmosphere. We averaged the concentration of every hour, and Figure 4b shows the mean value and standard deviation of the concentration and temperature change. It is evident that the temperature increased from 12:00 to 13:00 on 7 September 2022, and that the concentration of also increased during this hour. From 13:00 to 15:00, the temperature was maintained at 30 C to 31 C, a relatively stable state, at which time there were essentially no significant fluctuations in concentrations, until 6:00 am on 8 September, when the temperature dropped from 31 C to 18 C, and the concentration decreased significantly, from 0.26 ppm to 0.15 ppm. On 8 September 2022, the temperature gradually rose from 6:00 am to 29 C at 12:00 noon, and the concentration of also rose to 0.21 ppm.
Figure 4.
(a) Real-time atmospheric concentration from 7 September 2022 to 8 September 2022. (b) The dependence of concentration on temperature.
The maximum standard deviation of the concentration in this process was 0.54 ppb, and the minimum standard deviation was 0.05 ppb. It can be seen that the concentration of increased with the increase in ambient temperature. The reason for this result may be that the temperature directly or indirectly affects the emission of from soil. When the temperature of soil in the environment increases, the denitrification effect enhances the emission of .
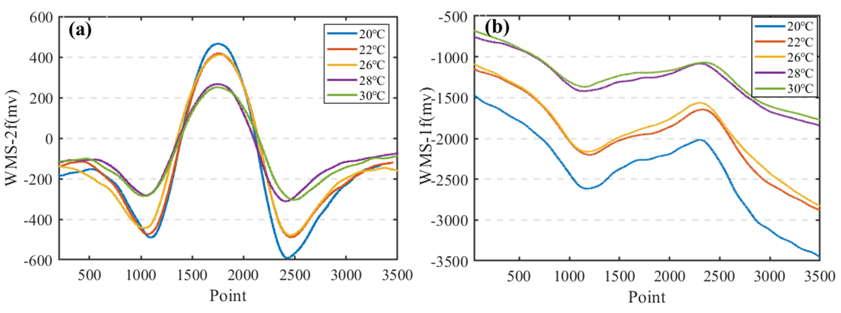
In addition, we extracted the 2f signals and 1f signals at different temperatures during the measurement for analysis. The harmonic signals were mainly extracted at 30 C, 28 C, 26 C, 22 C, and 20 C. Figure 5a shows the 2f signal at different temperature moments. We found that the peak of the 2f signal corresponding to the higher temperature was smaller, and that the lower the temperature, the larger the peak of the 2f signal. This result aligns with the Gaussian function peak distribution. Figure 5b shows the primary harmonic signal. The analysis shows that the higher the temperature, the smaller the absolute value of the peak of the corresponding primary harmonic signal. The lower the temperature, the larger the absolute value of the peak of the 1f signal.
Figure 5.
(a) 2f signals at different temperature conditions. (b) 1f signals at different temperature conditions.
Then, a linear fit was performed for concentrations at different temperatures, and as shown in Figure 6a, the concentration and temperature were positively correlated, with higher temperatures and higher concentrations without considering other factors, where . The concentration and 2f/1f signal value were then compared and analyzed, as shown in Figure 6b. When the concentration increased, 2f/1f also increased, which we found by calculating .
Figure 6.
(a) Fitting results for temperature and concentration. (b) Results of fitting concentration to the 2f/1f signal.
4.2. Effect of Humidity on the Absorption Spectrum and Concentration of
In addition to pressure and temperature, humidity may have a certain influence on the concentration of . We chose a temperature-controlled laboratory environment for an experiment. First, we opened the windows of the laboratory for ventilation for a period of time, to maintain a relative balance between the laboratory environment and the external environment. Here, is in a natural concentration state, without any changes to the sources of emissions in the experimental environment. We then closed the doors and windows for a few hours for real-time monitoring, during which time the temperature in the laboratory was controlled at 25 C using air conditioning. The test began at 12:00 on 6 September 2022, and a high-precision humidity detector was used to determine the humidity level in the laboratory at that time to be 33%. The humidity in the test chamber was then increased, and was measured continuously. Figure 7a shows the real-time concentration of in the laboratory. The humidity in the laboratory measured at 11:00 was 56% and reached a maximum of 64% at 12:00. Within 2 h, the concentration decreased from 0.22 ppm at the beginning to 0.19 ppm, with a moderate and continuous increase in humidity. Starting at 12:00, the indoor humidity no longer increased, so the indoor humidity was naturally reduced.
Figure 7.
(a) Real-time indoor concentration on 6 September 2022. (b) concentration versus humidity curve.
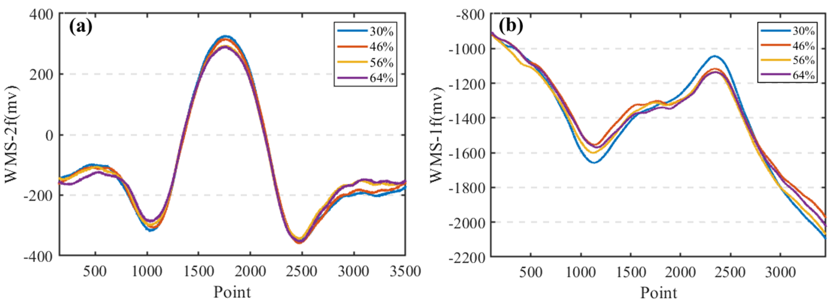
At 14:00, the indoor humidity was recorded as 46%, and the concentration was significantly higher than that at 12:00. At 16:00, the indoor humidity was reduced to 30%, and the concentration basically returned to the initial laboratory concentration of 0.21 ppm. Figure 7b shows that the indoor humidity and concentration were negatively correlated, and that the higher the humidity, the lower the concentration. One reason for this relationship between the concentration and humidity is that increased humidity promotes secondary aerosol formation. In addition, there is a certain interaction between and other gases in the air, the increase in water molecules can disrupt the dynamic balance of gas molecules in the air, causing the concentration of other gases to change [33], which indirectly affects the concentration of . Changes in humidity can also affect the decomposition of [34] and its diffusion rate. The 2f signals and 1f signals at different humidity levels were extracted for analysis, and the 2f signals at the 30%, 46%, 56%, and 64% humidity levels were mainly extracted. As shown in Figure 8a, the lower the humidity, the larger the 2f signal peak; the higher the humidity, the smaller the 2f signal peak. Figure 8b shows the 1f signal at different humidity levels, and it can be seen that the lower the humidity, the larger the 1f signal peak; the higher the humidity, the smaller the corresponding 1f signal peak. Furthermore, the concentration under different humidity levels was fitted. As shown in Figure 9, when the humidity was higher, the corresponding concentration was smaller, and the calculated .
Figure 8.
(a) 2f signal under different humidity conditions. (b) 1f signal under different humidity conditions.
Figure 9.
Results of the fit between humidity and concentration.
5. Conclusions
In this study, we investigated the effects of temperature and humidity on the concentration of and its absorption spectra using an open-path sensor system. By combining theoretical analysis and field monitoring, we first conducted monitoring of in a campus environment, analyzing the effects of temperature on its concentration and absorption spectra. We discovered that the concentration of would increase correspondingly with the increase in temperature. The influence of humidity on concentration was monitored under the condition that the ambient temperature of the laboratory remained unchanged. The concentration of was negatively correlated with humidity. The 2f and 1f signals under different temperature and humidity levels were extracted for analysis. We found that the higher the temperature, the smaller the peak value of the 2f and the 1f signals, which accords with the trend of the Gaussian function changing with temperature. Under different humidity conditions, the lower the humidity, the larger the 2f signal peak; the higher the humidity, the smaller the 2f signal. This study is of great significance for analyzing the relationship between and environmental parameters such as temperature and humidity. We hope that our research findings can assist environmental agencies in formulating more effective environmental policies for different environments. In the future, we can use QCL to analyze the relationship between and other environmental and gas parameters.
Author Contributions
Conceptualization, J.C.; methodology, J.C.; software(Maltab2020) , Z.F.; validation, N.Z., Z.K. and Q.L.; formal analysis, J.C.; investigation, Y.W.; resources, Y.Z.; data curation, Z.S.; writing—original draft preparation, J.C.; writing—review and editing, J.C. and Y.Z. All authors have read and agreed to the published version of the manuscript.
Funding
National Natural Science Foundation of China (No. 62002208, No. 42271093), Natural Science Foundation of Shandong Province (No. ZR2020MA082).
Data Availability Statement
The data presented in this study are available upon request from the corresponding author.
Acknowledgments
We would like to thank the anonymous reviewers for their useful comments and the editors for providing assistance during the revision. All of them were important in improving this manuscript.
Conflicts of Interest
The authors declare no conflict of interest.
References
- Wan, B.; Tian, L.; Fu, M.; Zhang, G. Green development growth momentum under carbon neutrality scenario. J. Clean. Prod. 2021, 316, 128327. [Google Scholar] [CrossRef]
- Zhou, C.; Zhang, R.; Loginova, J.; Sharma, V.; Zhang, Z.; Qian, Z. Institutional Logic of Carbon Neutrality Policies in China: What Can We Learn? Energies 2022, 15, 4391. [Google Scholar] [CrossRef]
- Dickinson, R.E.; Cicerone, R.J. Future global warming from atmospheric trace gases. Nature 1986, 319, 109–115. [Google Scholar] [CrossRef]
- Kramer, K.J.; Moll, H.C.; Nonhebel, S.; Wilting, H.C. Greenhouse gas emissions related to Dutch food consumption. Energy Policy 1999, 27, 203–216. [Google Scholar] [CrossRef]
- Montzka, S.A.; Dlugokencky, E.J.; Butler, J.H. Non-CO2 greenhouse gases and climate change. Nature 2011, 476, 43–50. [Google Scholar] [CrossRef]
- Ravishankara, A.; Daniel, J.S.; Portmann, R.W. Nitrous oxide (N2O): The dominant ozone-depleting substance emitted in the 21st century. Science 2009, 326, 123–125. [Google Scholar] [CrossRef]
- Tian, H.; Xu, R.; Canadell, J.G.; Thompson, R.L.; Winiwarter, W.; Suntharalingam, P.; Davidson, E.A.; Ciais, P.; Jackson, R.B.; Janssens-Maenhout, G.; et al. A comprehensive quantification of global nitrous oxide sources and sinks. Nature 2020, 586, 248–256. [Google Scholar] [CrossRef]
- Barker, P.A.; Allen, G.; Flynn, M.; Riddick, S.; Pitt, J.R. Measurement of recreational N2O emissions from an urban environment in Manchester, UK. Urban Clim. 2022, 46, 101282. [Google Scholar] [CrossRef]
- Anser, M.K.; Godil, D.I.; Khan, M.A.; Nassani, A.A.; Zaman, K.; Abro, M.M.Q. The impact of coal combustion, nitrous oxide emissions, and traffic emissions on COVID-19 cases: A Markov-switching approach. Environ. Sci. Pollut. Res. 2021, 28, 64882–64891. [Google Scholar] [CrossRef]
- Menyailo, O.V.; Hungate, B.A. Stable isotope discrimination during soil denitrification: Production and consumption of nitrous oxide. Glob. Biogeochem. Cycles 2006, 20. [Google Scholar] [CrossRef]
- Maisons, G.; Carbajo, P.G.; Carras, M.; Romanini, D. Optical-feedback cavity-enhanced absorption spectroscopy with a quantum cascade laser. Opt. Lett. 2010, 35, 3607–3609. [Google Scholar] [CrossRef] [PubMed]
- Zhou, S.; Han, Y.; Li, B. Pressure optimization of an EC-QCL based cavity ring-down spectroscopy instrument for exhaled NO detection. Appl. Phys. B 2018, 124, 1–8. [Google Scholar] [CrossRef]
- Menduni, G.; Sgobba, F.; Dello Russo, S.; Ranieri, A.C.; Sampaolo, A.; Patimisco, P.; Giglio, M.; Passaro, V.M.N.; Csutak, S.; Assante, D.; et al. Fiber-Coupled Quartz-Enhanced Photoacoustic Spectroscopy System for Methane and Ethane Monitoring in the Near-Infrared Spectral Range. Molecules 2020, 25, 5607. [Google Scholar] [CrossRef]
- Wang, X.; Chen, T.; Meng, D.; Wang, F. A simple FBG Fabry–Perot sensor system with high sensitivity based on fiber laser beat frequency and Vernier effect. IEEE Sens. J. 2020, 21, 71–75. [Google Scholar] [CrossRef]
- Ali, A.; Hwang, L.; Trombley, M. Residual-income-based valuation predicts future stock returns: Evidence on mispricing vs. risk explanations. Account. Rev. 2003, 78, 377–396. [Google Scholar] [CrossRef]
- Qi, W.; Wang, S.-C.; Liu, T.-Y.; Chen, Z.-Q. Research progress of multi-component gas detection by photoacoustic spectroscopy. Spectrosc. Spectr. Anal. 2022, 42, 1–8. [Google Scholar] [CrossRef]
- He, Y.-X.; Zhou, W.-Q.; Chuan, K.; Tao, X.; Yong, Z. Review of Laser-Induced Breakdown Spectroscopy in Gas Detection. Spectrosc. Spectr. Anal. 2021, 41, 2681–2687. [Google Scholar] [CrossRef]
- Werle, P. A review of recent advances in semiconductor laser based gas monitors. Spectrochim. Acta Part A Mol. Biomol. Spectrosc. 1998, 54, 197–236. [Google Scholar] [CrossRef]
- Gao, X.; Fan, H.; Huang, T.; Wang, X.; Bao, J.; Li, X.; Huang, W.; Zhang, W. Natural gas pipeline leak detector based on NIR diode laser absorption spectroscopy. Spectrochim. Acta Part A Mol. Biomol. Spectrosc. 2006, 65, 133–138. [Google Scholar] [CrossRef] [PubMed]
- Liang, W.; Wei, G.; He, A.; Shen, H. A novel wavelength modulation spectroscopy in TDLAS. Infrared Phys. Technol. 2021, 114, 103661. [Google Scholar] [CrossRef]
- Luo, Z.C.; Luo, A.P.; Xu, W.C.; Liu, J.R.; Yin, H.S. Modulation instability induced by cross-phase modulation in a dual-wavelength dispersion-managed soliton fiber ring laser. Appl. Phys. B-Lasers Opt. 2010, 100, 811–820. [Google Scholar] [CrossRef]
- Dong, L.; Tittel, F.K.; Li, C.; Sanchez, N.P.; Wu, H.; Zheng, C.; Yu, Y.; Sampaolo, A.; Griffin, R.J. Compact TDLAS based sensor design using interband cascade lasers for mid-IR trace gas sensing. Opt. Express 2016, 24, A528–A535. [Google Scholar] [CrossRef] [PubMed]
- Cui, H.; Wang, F.; Huang, Q.; Yan, J.; Cen, K. Multiparameter Measurement in Ethylene Diffusion Flame Based on Time-Division Multiplexed Tunable Diode Laser Absorption Spectroscopy. IEEE Photonics J. 2019, 11, 2910393. [Google Scholar] [CrossRef]
- Liu, N.; Xu, L.; Zhou, S.; Zhang, L.; Li, J. Soil respiration analysis using a mid-infrared quantum cascade laser and calibration-free WMS-based dual-gas sensor. Analyst 2021, 146, 3841–3851. [Google Scholar] [CrossRef]
- Ren, W.; Jiang, W.; Tittel, F.K. Single-QCL-based absorption sensor for simultaneous trace-gas detection of CH4 and N2O. Appl. Phys. B-Lasers Opt. 2014, 117, 245–251. [Google Scholar] [CrossRef]
- McDermitt, D.; Burba, G.; Xu, L.; Anderson, T.; Komissarov, A.; Riensche, B.; Schedlbauer, J.; Starr, G.; Zona, D.; Oechel, W.; et al. A new low-power, open-path instrument for measuring methane flux by eddy covariance. Appl. Phys. B-Lasers Opt. 2011, 102, 391–405. [Google Scholar] [CrossRef]
- Tao, L.; Sun, K.; Khan, M.A.; Miller, D.J.; Zondlo, M.A. Compact and portable open-path sensor for simultaneous measurements of atmospheric N2O and CO using a quantum cascade laser. Opt. Express 2012, 20, 28106–28118. [Google Scholar] [CrossRef]
- Abitan, H.; Bohr, H.; Buchhave, P. Correction to the Beer-Lambert-Bouguer law for optical absorption. Appl. Opt. 2008, 47, 5354–5357. [Google Scholar] [CrossRef]
- Kocsis, L.; Herman, P.; Eke, A. The modified Beer-Lambert law revisited. Phys. Med. Biol. 2006, 51, N91–N98. [Google Scholar] [CrossRef]
- Gamache, R.; Kennedy, S.; Hawkins, R.; Rothman, L. Total internal partition sums for molecules in the terrestrial atmosphere. J. Mol. Struct. 2000, 517, 407–425. [Google Scholar] [CrossRef]
- Rothman, L.S. The evolution and impact of the HITRAN molecular spectroscopic database. J. Quant. Spectrosc. Radiat. Transf. 2010, 111, 1565–1567. [Google Scholar] [CrossRef]
- Rothman, L.; Rinsland, C.; Goldman, A.; Massie, S.; Edwards, D.; Flaud, J.; Perrin, A.; Camy-Peyret, C.; Dana, V.; Mandin, J.; et al. The HITRAN molecular spectroscopic database and HAWKS (HITRAN Atmospheric Workstation): 1996 edition. J. Quant. Spectrosc. Radiat. Transf. 1998, 60, 665–710. [Google Scholar] [CrossRef]
- Gunson, M.; Farmer, C.B.; Norton, R.; Zander, R.; Rinsland, C.P.; Shaw, J.; Gao, B.C. Measurements of CH4, N2O, CO, H2O, and O3 in the middle atmosphere by the Atmospheric Trace Molecule Spectroscopy Experiment on Spacelab 3. J. Geophys. Res. Atmos. 1990, 95, 13867–13882. [Google Scholar] [CrossRef]
- Pauleta, S.R.; Carepo, M.S.; Moura, I. Source and reduction of nitrous oxide. Coord. Chem. Rev. 2019, 387, 436–449. [Google Scholar] [CrossRef]
Disclaimer/Publisher’s Note: The statements, opinions and data contained in all publications are solely those of the individual author(s) and contributor(s) and not of MDPI and/or the editor(s). MDPI and/or the editor(s) disclaim responsibility for any injury to people or property resulting from any ideas, methods, instructions or products referred to in the content. |
© 2023 by the authors. Licensee MDPI, Basel, Switzerland. This article is an open access article distributed under the terms and conditions of the Creative Commons Attribution (CC BY) license (https://creativecommons.org/licenses/by/4.0/).








