Transition Temperature of Color Change in Thermochromic Systems and Its Description Using Sigmoidal Models
Abstract
1. Introduction
2. Materials and Methods
2.1. Printing
2.2. Measurement of Spectral and Color Parameters
2.3. Spectral and Color Data Evaluation
2.4. Mathematical Modeling
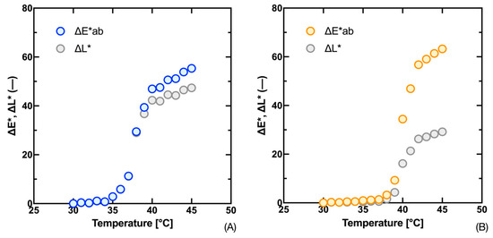
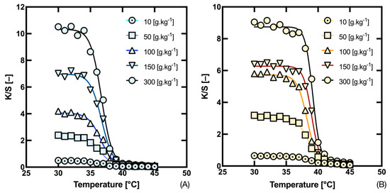
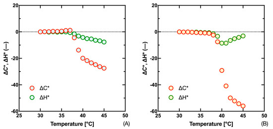
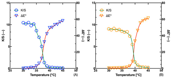
3. Results and Discussion
3.1. Asymmetric Models of Sigmoidal Fit
3.2. Assessment of the Best Model Using Statistical Tests
4. Conclusions
Author Contributions
Funding
Data Availability Statement
Acknowledgments
Conflicts of Interest
References
- Bamfield, P.; Hutchings, M. Chromic Phenomena, 3rd ed.; Royal Society of Chemistry: London, UK, 2018; pp. 75–92. [Google Scholar]
- Vik, M.; Periyasamy, A.P.; Viková, M. Chromic Materials, Fundamentals, Measurements and Applications; Apple Academic Press Inc.: Waretown, NJ, USA, 2018; pp. 35–155. [Google Scholar]
- van der Werff, L.; Kyratzis, I.L.; Robinson, A.; Cranston, R.; Peeters, G.; O’Shea, M.; Nichols, L. Thermochromic composite fibres containing liquid crystals formed via melt extrusion. J. Mater. Sci. 2013, 48, 5005–5011. [Google Scholar] [CrossRef]
- He, Y.; Sun, S.; Han, N.; Zhang, X.; Li, W. Thermal energy regulated and thermochromic composite film with temperature-sensitive “breathable” stomata. J. Mater. Sci. 2020, 55, 12921–12939. [Google Scholar] [CrossRef]
- MacLaren, D.C.; White, M.A. Design rules for reversible thermochromic mixtures. J. Mater. Sci. 2005, 40, 669–676. [Google Scholar] [CrossRef]
- Tatíčková, Z.; Kudláček, J.; Zoubek, M.; Kuchař, J. Behaviour of Thermochromic Coatings under Thermal Exposure. Coatings 2023, 13, 642. [Google Scholar] [CrossRef]
- Guo, X.; Daka, S.; Fan, M.; Lin, X.; Sun, W. Reversibly thermochromic wood. J. Mater. Sci. 2023, 58, 2188–2197. [Google Scholar] [CrossRef]
- Cheng, Y.; Zhang, X.; Fang, C.; Chen, J.; Wang, Z. Discoloration mechanism, structures and recent applications of thermochromic materials via different methods: A review. J. Mater. Sci. Technol. 2018, 34, 2225–2234. [Google Scholar] [CrossRef]
- Ribeiro, L.S.; Pinto, T.; Monteiro, A.; Soares, O.S.G.P.; Pereira, C.; Freire, C.; Pereira, M.F.R. Silica nanoparticles functionalized with a thermochromic dye for textile applications. J. Mater. Sci. 2013, 48, 5085–5092. [Google Scholar] [CrossRef]
- Hajzeri, M.; Bašnec, K.; Bele, M.; Gunde, M.K. Influence of developer on structural, optical and thermal properties of a benzofluoran-based thermochromic composite. Dye. Pigment. 2015, 113, 754–762. [Google Scholar] [CrossRef]
- Jin, Y.; Bai, Y.; Zhu, Y.; Li, X.; Ge, M. Thermosensitive luminous fiber based on reversible thermochromic crystal violet lactone pigment. Dye. Pigment. 2017, 146, 567–575. [Google Scholar] [CrossRef]
- Bašnec, K.; Perše, L.S.; Šumiga, B.; Huskic, M.; Meden, A.; Hladnik, A.; Podgornik, B.B.; Gunde, M.K. Relation between colour- and phase changes of a leuco dye-based thermochromic composite. Sci. Rep. 2018, 8, 5511. [Google Scholar] [CrossRef]
- Kim, I.J.; Ramalingam, M.; Son, Y.-A. Investigation of reversible self-thermochromism in microencapsulated fluoran-based materials. Dye. Pigment. 2018, 151, 64–74. [Google Scholar] [CrossRef]
- Kulčar, R.; Friškovec, M.; Hauptman, N.; Vesel, A.; Gunde, M.K. Colorimetric properties of reversible thermochromic printing inks. Dye. Pigment. 2010, 86, 271–277. [Google Scholar] [CrossRef]
- Aklujkar, P.S.; Kandasubramanian, B. A review of microencapsulated thermochromic coatings for sustainable building applications. J. Coat. Technol. Res. 2021, 18, 19–37. [Google Scholar] [CrossRef]
- Chowdhury, M.A.; Butola, B.S.; Joshi, M. Application of thermochromic colorants on textiles: Temperature dependence of colorimetric properties. Color. Technol. 2013, 129, 232–237. [Google Scholar] [CrossRef]
- Geng, X.; Li, W.; Wang, Y.; Lu, J.; Wang, J.; Wang, N.; Li, J.; Zhang, X. Reversible thermochromic microencapsulated phase change materials for thermal energy storage application in thermal protective clothing. Appl. Energy 2018, 217, 281–294. [Google Scholar] [CrossRef]
- Liu, B.; Rasines Mazo, A.; Gurr, P.A.; Qiao, G.G. Reversible Nontoxic Thermochromic Microcapsules. ACS Appl. Mater. Interfaces 2020, 12, 9782–9789. [Google Scholar] [CrossRef] [PubMed]
- Seeboth, A.; Ruhmann, R.; Mühling, O. Thermotropic and Thermochromic Polymer Based Materials for Adaptive Solar Control. Materials 2010, 3, 5143–5168. [Google Scholar] [CrossRef]
- Zhang, W.; Ji, X.; Al-Hashimi, M.; Wang, C.; Fang, L. Feasible fabrication and textile application of polymer composites featuring dual optical thermoresponses. Chem. Eng. J. 2021, 419, 129553. [Google Scholar] [CrossRef]
- Nguyen, D.K.; Bach, Q.V.; Lee, J.H.; Kim, I.T. Synthesis and Irreversible Thermochromic Sensor Applications of Manganese Violet. Materials 2018, 11, 1693. [Google Scholar] [CrossRef]
- Bigger, S.W.; Gribben, M.; Rogers, A. Colour changes in pigmented Nylon-6 systems containing copper iodide. Polym. Degrad. Stab. 2008, 93, 1711–1714. [Google Scholar] [CrossRef]
- Pareja-Rivera, C.; Solis-Ibarra, D. Reversible and Irreversible Thermochromism in Copper-Based Halide Perovskites. Adv. Opt. Mater. 2021, 9, 2100633. [Google Scholar] [CrossRef]
- Li, Y.; Hui, B.; Li, G.; Li, J. Fabrication of smart wood with reversible thermoresponsive performance. J. Mater. Sci. 2017, 52, 7688–7697. [Google Scholar] [CrossRef]
- Kumar, S.; Qadir, A.; Maury, F.; Bahlawane, N. Visible Thermochromism in Vanadium Pentoxide Coatings. ACS Appl. Mater. Interfaces 2017, 9, 21447–21456. [Google Scholar] [CrossRef] [PubMed]
- Rougeau, L.; Picq, D.; Rastello, M.; Frantz, Y. New irreversible thermochromic polydiacetylenes. Tetrahedron 2008, 64, 9430–9436. [Google Scholar] [CrossRef]
- Garcia-Souto, M.D.P.; Dabnichki, P. Non-invasive and wearable early fever detection system for young children. Measurement 2018, 116, 216–229. [Google Scholar] [CrossRef]
- Cabral, I.; Santiago, D.; Steffens, F. Chromic textiles: Colour fastness properties and irreversible colour change behaviour of textiles screen printed with thermochromic, photochromic and hydrochromic colourants. Color. Technol. 2023, 139, 200–208. [Google Scholar] [CrossRef]
- Rožić, M.; Šegota, N.; Vukoje, M.; Kulčar, R.; Šegota, S. Description of Thermochromic Offset Prints Morphologies Depending on Printing Substrate. Appl. Sci. 2020, 10, 8095. [Google Scholar] [CrossRef]
- Ahn, S.J. Geometric fitting of parametric curves and surfaces. J. Inf. Process. Syst. 2008, 4, 153–158. [Google Scholar] [CrossRef]
- Milanov, P.; Koroleova, G.; Mavrevski, R.; Pencheva, N. Curve fitting problem: Torque–velocity relationship with polynomials and Boltzmann sigmoid functions. Acta Bioeng. Biomech. 2018, 20, 169–184. [Google Scholar]
- Carter, E.C.; Schanda, J.; Hirschler, R.; Jost, S.; Luo, M.R.; Melgosa, M.; Ohno, Y.; Pointer, M.R.; Rich, D.C.; Viénot, F.; et al. Colorimetry, 4th ed.; CIE 015:2018; CIE: Vienna, Austria, 2018. [Google Scholar] [CrossRef]
- Shamey, R. Encyclopedia of Color Science and Technology; Springer: Berlin/Heidelberg, Germany, 2023. [Google Scholar] [CrossRef]
- IEC 60050-845:2020; International Electrotechnical Vocabulary (IEV)—Part 845: Lighting. IEC: Geneva, Switzerland, 2020.
- Hunt, R.W.G.; Pointer, M.R. Measuring Colour; Wiley: Hoboken, NJ, USA, 2011; pp. 53–57. [Google Scholar]
- Abbasi, A.; Vik, M.; Viková, M. Color difference formulae evaluation by method of adjustment. World J. Eng. 2014, 11, 89–94. [Google Scholar] [CrossRef]
- Flores, J.C.; Palma-Chilla, L. Entropy behavior for isolated systems containing bounded and unbounded states: Latent heat at the inflection point. J. Phys. Commun. 2020, 4, 035002. [Google Scholar] [CrossRef]
- Xu, M.; Pan, X.; Wu, Y. Inflection point as a characteristic of the QCD critical point. Nucl. Phys. A 2014, 927, 69–77. [Google Scholar] [CrossRef][Green Version]
- Dylewsky, D.; Lenton, T.M.; Scheffer, M.; Bury, T.M.; Fletcher, C.G.; Anand, M.; Bauch, C.T. Universal early warning signals of phase transitions in climate systems. J. R. Soc. Interface 2023, 20, 20220562. [Google Scholar] [CrossRef] [PubMed]
- Raditoiu, A.; Raditoiu, V.; Nicolae, C.A.; Raduly, M.F.; Amariutei, V.; Wagner, L.E. Optical and structural dynamical behavior of Crystal Violet Lactone—Phenolphthalein binary thermochromic systems. Dye. Pigment. 2016, 134, 69–76. [Google Scholar] [CrossRef]
- Gompertz, B. On the nature of the function expressive of the law of human mortality, and on a new mode of determining the value of life contingencies. Philos. Trans. R. Soc. Lond. 1825, 115, 513–583. [Google Scholar]
- Richards, F.J. A flexible growth function for empirical use. J. Exp. Bot. 1959, 10, 290–301. [Google Scholar] [CrossRef]
- El Aferni, A.; Guettari, M.; Tajouri, T. Mathematical model of Boltzmann’s sigmoidal equation applicable to the spreading of the coronavirus (Covid-19) waves. Environ. Sci. Pollut. Res. Int. 2021, 28, 40400–40408. [Google Scholar] [CrossRef]
- Fernandes, T.J.; Pereira, A.A.; Muniz, J.A. Double sigmoidal models describing the growth of coffee berries. Ciência Rural. 2017, 47, e20160646. [Google Scholar] [CrossRef]
- Ricketts, J.H.; Head, G.A. A five-parameter logistic equation for investigating asymmetry of curvature in baroreflex studies. Am. J. Physiol. -Regul. Integr. Comp. Physiol. 1999, 277, R441–R454. [Google Scholar] [CrossRef]
- Little, T.D. (Ed.) The Oxford Handbook of Quantitative Methods in Psychology; Statistical Analysis; Oxford Library of Psychology: Oxford, UK, 2013; Volume 2. [Google Scholar]
- Moore, D.S.; McCabe, G.P.; Graig, B.A. Introduction to the Practice of Statistics; Macmillan Learning: New York, NY, USA, 2021. [Google Scholar]








| Concentration [g·kg−1] | (K/S)b [—] | (K/S)f [—] | TT [°C] | α [—] | TR10 [°C] | TR90 [°C] | ΔT [°C] |
|---|---|---|---|---|---|---|---|
| 10 | 0.040 | 0.484 | 36.5 | −1.05 | 34.2 | 38.8 | 4.6 |
| 50 | 0.024 | 2.329 | 36.6 | −0.99 | 34.4 | 38.7 | 4.4 |
| 100 | 0.019 | 4.058 | 36.6 | −0.99 | 34.5 | 38.8 | 4.3 |
| 150 | 0.045 | 6.967 | 36.8 | −0.90 | 34.8 | 38.7 | 3.9 |
| 300 | 0.072 | 10.330 | 36.7 | −0.85 | 34.8 | 38.6 | 3.8 |
| Concentration [g·kg−1] | (K/S)b [—] | (K/S)f [—] | TT [°C] | α [—] | TR10 [°C] | TR90 [°C] | ΔT [°C] |
|---|---|---|---|---|---|---|---|
| 10 | 0.081 | 0.636 | 38.8 | −1.26 | 36.0 | 41.6 | 5.5 |
| 50 | 0.125 | 3.108 | 38.4 | −0.93 | 36.4 | 40.5 | 4.1 |
| 100 | 0.175 | 5.721 | 38.3 | −0.77 | 36.6 | 40.0 | 3.4 |
| 150 | 0.093 | 6.274 | 39.0 | −0.65 | 37.6 | 40.4 | 2.8 |
| 300 | 0.254 | 8.746 | 39.2 | −0.58 | 37.9 | 40.4 | 2.6 |
| Tested Equation | TT [°C] | F (DFn, DFd) | AIC [—] | R2 [—] | AR2 [—] | RMSE [—] |
|---|---|---|---|---|---|---|
| SBE (14) | 38.0 | — | 29.25 | 0.9956 | 0.9945 | 1.562 |
| Gompertz (22) | 37.8 | — | 39.86 | 0.9915 | 0.9894 | 2.177 |
| Richards (23) | 37.6 | 1.82 (1, 11) H0 | 32.13 | 0.9962 | 0.9949 | 1.447 |
| DSBE1 * (24) | 37.7 (40.6) | 9.09 (3, 9) H1 | 27.52 | 0.9989 | 0.9982 | 0.778 |
| DSBE2 * (25) | 37.7 (40.5) | 13.86 (2, 10) H1 | 20.01 | 0.9988 | 0.9983 | 0.805 |
| BARO5 (26) | 37.9 | 7.19 (1,11) H1 | 26.54 | 0.9973 | 0.9964 | 1.215 |
| Tested Equation | TT [°C] | F (DFn, DFd) | AIC [—] | R2 [—] | AR2 [—] | RMSE [—] |
|---|---|---|---|---|---|---|
| SBE (14) | 40.00 | — | 29.12 | 0.9966 | 0.9958 | 1.556 |
| Gompertz (22) | 39.6 | — | 19.08 | 0.9982 | 0.9977 | 1.137 |
| Richards (23) | 39.6 | 9.58 (1,11) H1 | 24.43 | 0.9982 | 0.9975 | 1.138 |
| DSBE1 * (24) | 39.5 (40.4) | 27.62 (3, 9) H1 | 12.52 | 0.9997 | 0.9994 | 0.487 |
| DSBE2 * (25) | 38.4 (38.9) | 4.60 (2, 10) H1 | 30.67 | 0.9982 | 0.9974 | 1.123 |
| BARO5 (26) | 39.9 | 41.42 (1, 11) H1 | 9.466 | 0.9993 | 0.9990 | 0.713 |
| Tested Equation | TT [°C] | F (DFn, DFd) | AIC [—] | R2 [—] | AR2 [—] | RMSE [—] |
|---|---|---|---|---|---|---|
| SBE (14) | 36.7 | — | −23.09 | 0.9957 | 0.9947 | 0.305 |
| Gompertz (22) | 36.8 | — | −11.16 | 0.9910 | 0.9888 | 0.442 |
| Richards (23) | 37.2 | 7.07 (1, 11) H1 | −25.69 | 0.9974 | 0.9965 | 0.238 |
| DSBE1 * (24) | 37.3 (34.9) | 7.25 (3, 9) H1 | −22.17 | 0.9988 | 0.9979 | 0.165 |
| DSBE2 * (25) | - | - | - | - | - | - |
| BARO5 (26) | 36.8 | 6.41 (1, 11) H1 | −25.10 | 0.9973 | 0.9963 | 0.242 |
| Tested Equation | TT [°C] | F (DFn, DFd) | AIC [—] | R2 [—] | AR2 [—] | RMSE [—] |
|---|---|---|---|---|---|---|
| SBE (14) | 39.2 | — | −28.71 | 0.9958 | 0.9948 | 0.255 |
| Gompertz (22) | 39.2 | — | −17.85 | 0.9918 | 0.9897 | 0.359 |
| Richards (23) | 39.5 | 4.273 (1, 11) H0 | −28.63 | 0.9970 | 0.9959 | 0.217 |
| DSBE1 * (24) | 39.3 (38.35) | 8.117 (3, 9) H1 | −29.10 | 0.9989 | 0.9981 | 0.133 |
| DSBE2 * (25) | - | - | - | - | - | - |
| BARO5 (26) | 39.2 | 10.60 (1, 11) H1 | −34.18 | 0.9979 | 0.9971 | 0.182 |
Disclaimer/Publisher’s Note: The statements, opinions and data contained in all publications are solely those of the individual author(s) and contributor(s) and not of MDPI and/or the editor(s). MDPI and/or the editor(s) disclaim responsibility for any injury to people or property resulting from any ideas, methods, instructions or products referred to in the content. |
© 2023 by the authors. Licensee MDPI, Basel, Switzerland. This article is an open access article distributed under the terms and conditions of the Creative Commons Attribution (CC BY) license (https://creativecommons.org/licenses/by/4.0/).
Share and Cite
Viková, M.; Vik, M. Transition Temperature of Color Change in Thermochromic Systems and Its Description Using Sigmoidal Models. Materials 2023, 16, 7478. https://doi.org/10.3390/ma16237478
Viková M, Vik M. Transition Temperature of Color Change in Thermochromic Systems and Its Description Using Sigmoidal Models. Materials. 2023; 16(23):7478. https://doi.org/10.3390/ma16237478
Chicago/Turabian StyleViková, Martina, and Michal Vik. 2023. "Transition Temperature of Color Change in Thermochromic Systems and Its Description Using Sigmoidal Models" Materials 16, no. 23: 7478. https://doi.org/10.3390/ma16237478
APA StyleViková, M., & Vik, M. (2023). Transition Temperature of Color Change in Thermochromic Systems and Its Description Using Sigmoidal Models. Materials, 16(23), 7478. https://doi.org/10.3390/ma16237478

