A Novel Method for Quantifying Plant Morphological Characteristics Using Normal Vectors and Local Curvature Data via 3D Modelling—A Case Study in Leaf Lettuce
Abstract
1. Introduction
2. Materials and Methods
2.1. Overview of the 3D Modelling System
2.2. Basic System Performance
2.2.1. Shape Measurement Accuracy
2.2.2. Angle Measurement Accuracy
2.3. Plant Materials and Cultivation Methods
2.4. Measurement and Analysis Methods for Lettuce Morphology
2.4.1. Shape Measurements
Length and Volume
Structural Estimation (Compactness)
2.4.2. Normal Vector-Based Analysis
Normal Vectors
Local Curvature (LC)
Quantification of LC: Centroid of Histogram
3. Results
3.1. Measurement Accuracy
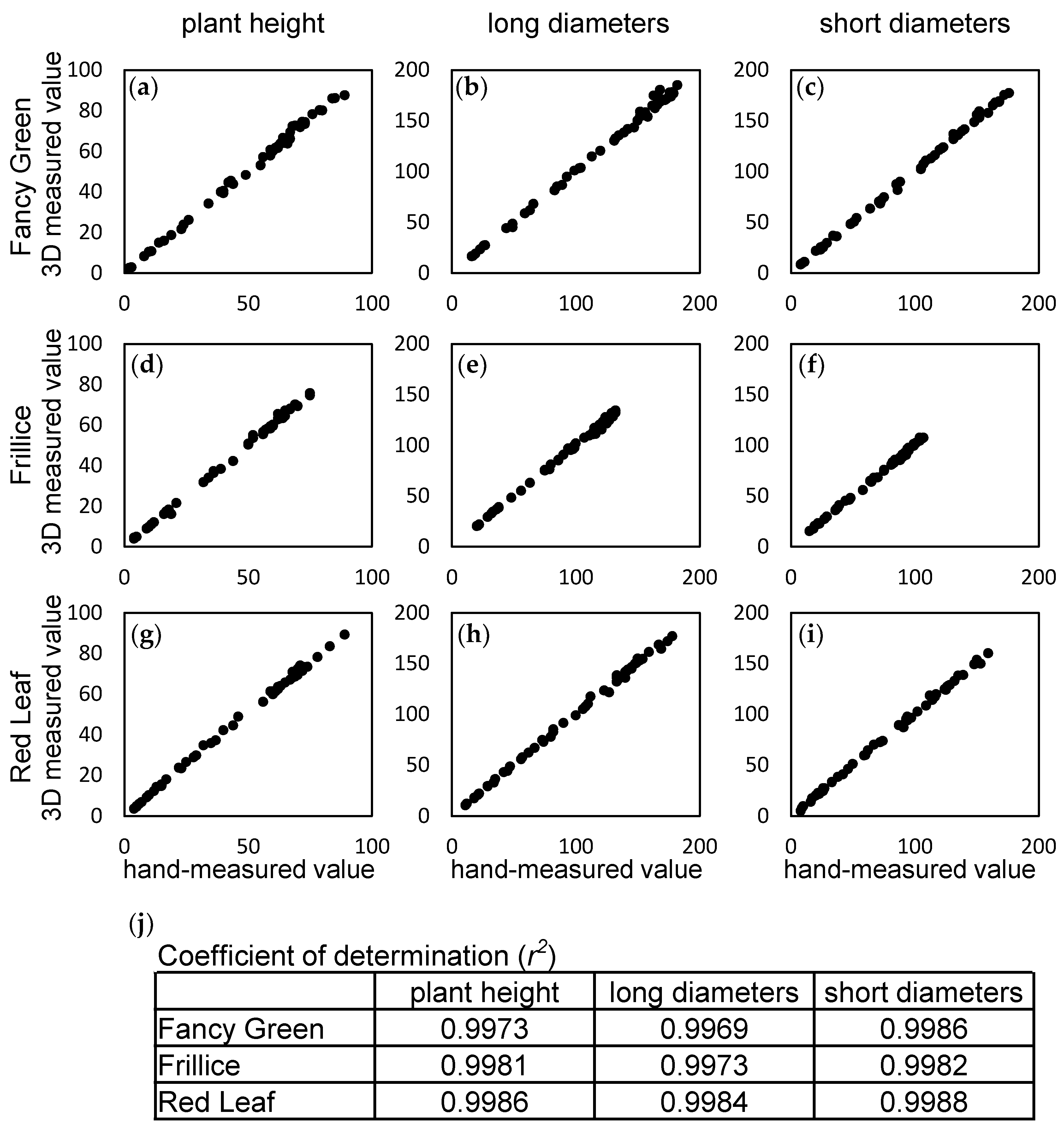
3.1.1. Accuracy of Lettuce Length Measurement
3.1.2. Accuracy of Lettuce Volume Measurement
3.2. Normal Vector-Based Analysis (Consideration of Quantification of Visual Assessment)
3.2.1. Visualisation
Visualisation of Normal Vectors
Visualisation of LC
3.2.2. Quantification of Convexity and Concavity
3.3. Time-Series Measurement Evaluation
4. Discussion
4.1. Leaf Lettuce Characteristic Evaluation
4.2. Three-Dimensional Modelling System
5. Conclusions
Author Contributions
Funding
Institutional Review Board Statement
Informed Consent Statement
Data Availability Statement
Conflicts of Interest
References
- Telewski, F.W. Mechanosensing and Plant Growth Regulators Elicited During the Thigmomorphogenetic Response. Front. For. Glob. Chang. 2021, 3, 574096. [Google Scholar] [CrossRef]
- Li, B.; Cockerton, H.M.; Johnson, A.W.; Karlström, A.; Stavridou, E.; Deakin, G.; Harrison, R.J. Defining strawberry shape uniformity using 3D imaging and genetic mapping. Hortic. Res. 2020, 7, 115. [Google Scholar] [CrossRef] [PubMed]
- Ogawa, D.; Sakamoto, T.; Tsunematsu, H.; Kanno, N.; Nonoue, Y.; Yonemaru, J. Haplotype analysis from unmanned aerial vehicle imagery of rice MAGIC population for the trait dissection of biomass and plant architecture. J. Exp. Bot. 2021, 72, 2371–2382. [Google Scholar] [CrossRef] [PubMed]
- Sugiura, R.; Tsuda, S.; Tamiya, S.; Itoh, A.; Nishiwaki, K.; Murakami, N.; Shibuya, Y.; Hirafuji, M.; Nuske, S. Field phenotyping system for the assessment of potato late blight resistance using RGB imagery from an unmanned aerial vehicle. Biosyst. Eng. 2016, 148, 1–10. [Google Scholar] [CrossRef]
- Wurm, M.; Stark, T.; Zhu, X.X.; Weigand, M.; Taubenböck, H. Semantic segmentation of slums in satellite images using transfer learning on fully convolutional neural networks. ISPRS J. Photogramm. Remote Sens. 2019, 150, 59–69. [Google Scholar] [CrossRef]
- Islam, M.P.; Nakano, Y.; Lee, U.; Tokuda, K.; Kochi, N. TheLNet270v1—A Novel Deep-Network Architecture for the Automatic Classification of Thermal Images for Greenhouse Plants. Front. Plant Sci. 2021, 12, 630425. [Google Scholar] [CrossRef]
- Zenkl, R.; Timofte, R.; Kirchgessner, N.; Roth, L.; Hund, A.; Van Gool, L.; Walter, A.; Aasen, H. Outdoor Plant Segmentation with Deep Learning for High-Throughput Field Phenotyping on a Diverse Wheat Dataset. Front. Plant Sci. 2021, 12, 774068. [Google Scholar] [CrossRef]
- Lee, U.; Islam, M.A.-O.X.; Kochi, N.; Tokuda, K.; Nakano, Y.; Naito, H.; Kawasaki, Y.; Ota, T.; Sugiyama, T.; Ahn, D.-H. An Automated, Clip-Type, Small Internet of Things Camera-Based Tomato Flower and Fruit Monitoring and Harvest Prediction System. Sensors 2022, 22, 2456, Electronic 1424–8220. [Google Scholar] [CrossRef]
- Vázquez-Arellano, M.; Griepentrog, H.W.; Reiser, D.; Paraforos, D.S. 3-D Imaging Systems for Agricultural Applications—A Review. Sensors 2016, 16, 618. [Google Scholar] [CrossRef]
- Paulus, S. Measuring crops in 3D: Using geometry for plant phenotyping. Plant Methods 2019, 15, 103. [Google Scholar] [CrossRef]
- Kochi, N.; Isobe, S.; Hayashi, A.; Kodama, K.; Tanabata, T. Introduction of All-Around 3D Modeling Methods for Investigation of Plants. Int. J. Autom. Technol. 2021, 15, 301–312. [Google Scholar] [CrossRef]
- Okura, F. 3D modeling and reconstruction of plants and trees: A cross-cutting review across computer graphics, vision, and plant phenotyping. Breed. Sci. 2022, 72, 31–47. [Google Scholar] [CrossRef] [PubMed]
- Breitzman, M.W.; Bao, Y.; Tang, L.; Schnable, P.S.; Salas-Fernandez, M.G. Linkage disequilibrium mapping of high-throughput image-derived descriptors of plant architecture traits under field conditions. Field Crop. Res. 2019, 244, 107619. [Google Scholar] [CrossRef]
- Gao, T.; Zhu, F.; Paul, P.; Sandhu, J.; Doku, H.A.; Sun, J.; Pan, Y.; Staswick, P.; Walia, H.; Yu, H. Novel 3D Imaging Systems for High-Throughput Phenotyping of Plants. Remote Sens. 2021, 13, 2113. [Google Scholar] [CrossRef]
- Wang, L.; Zheng, L.; Wang, M.; Wang, Y.; Li, M. Kinect-based 3D Reconstruction of Leaf Lettuce. In Proceedings of the 2020 ASABE Annual International Meeting, Online, 13–15 July 2020; pp. 1–10, Paper No. 2000545. [Google Scholar] [CrossRef]
- Kim, J.; Kang, W.H.; Son, J.E. Interpretation and Evaluation of Electrical Lighting in Plant Factories with Ray-Tracing Simulation and 3D Plant Modeling. Agronomy 2020, 10, 1545. [Google Scholar] [CrossRef]
- Li, Q.; Gao, H.; Zhang, X.; Ni, J.; Mao, H. Describing Lettuce Growth Using Morphological Features Combined with Nonlinear Models. Agronomy 2022, 12, 860. [Google Scholar] [CrossRef]
- Mortensen, A.K.; Bender, A.; Whelan, B.; Barbour, M.M.; Sukkarieh, S.; Karstoft, H.H.; Gislum, R. Segmentation of lettuce in coloured 3D point clouds for fresh weight estimation. Comput. Electron. Agric. 2018, 154, 373–381. [Google Scholar] [CrossRef]
- Seki, K.; Komatsu, K.; Tanaka, K.; Hiraga, M.; Kajiya-Kanegae, H.; Matsumura, H.; Uno, Y. A CIN-like TCP transcription factor (LsTCP4) having retrotransposon insertion associates with a shift from Salinas type to Empire type in crisphead lettuce (Lactuca sativa L.). Hortic. Res. 2020, 7, 15. [Google Scholar] [CrossRef]
- Teixeira, R.T. Distinct Responses to Light in Plants. Plants 2020, 9, 894. [Google Scholar] [CrossRef]
- Meng, Q.; Runkle, E.S. Growth Responses of Red-Leaf Lettuce to Temporal Spectral Changes. Front. Plant Sci. 2020, 11, 571788. [Google Scholar] [CrossRef]
- Ministry of Agriculture, Forestry and Fisheries. The Japanese National Test Guidelines, Lettuce Variety Inspection Standards; Ministry of Agriculture, Forestry and Fisheries: Tokyo, Japan, 2022; Available online: https://www.maff.go.jp/j/shokusan/hinshu/info/kijun/1361.pdf (accessed on 14 July 2023).
- UPOV Code(s): LACTU_SAT Lactuca sativa L, Guidelines for the Conduct of Tests for Distinctness, Uniformity and Stability, Tg/13/11 Rev. 2 Original: English, Date: 5 April 2017. Available online: https://www.upov.int/edocs/tgdocs/en/tg013.pdf (accessed on 14 July 2023).
- Kochi, N.; Hayashi, A.; Shinohara, Y.; Tanabata, T.; Kodama, K.; Isobe, S. All-around 3D plant modeling system using multiple images and its composition. Breed. Sci. 2022, 72, 75–84. [Google Scholar] [CrossRef] [PubMed]
- Hayashi, A.; Kochi, N.; Tanabata, T.; Kodama, K.; Isobe, S. 3D model data acquisition methods for plants using SfMMVS. In Proceedings of the 23rd Image Recognition and Understanding Symposium, Online, 2–5 August 2020. OS1-2B-1 (In Japanese). [Google Scholar]
- Kochi, N.; Tanabata, T.; Hayashi, A.; Isobe, S. A 3D Shape-Measuring System for Assessing Strawberry Fruits. Int. J. Autom. Technol. 2018, 12, 395–404. [Google Scholar] [CrossRef]
- Jansen, M.; Gilmer, F.; Biskup, B.; Nagel, K.A.; Rascher, U.; Fischbach, A.; Briem, S.; Dreissen, G.; Tittmann, S.; Braun, S.; et al. Simultaneous phenotyping of leaf growth and chlorophyll fluorescence via GROWSCREEN FLUORO allows detection of stress tolerance in Arabidopsis thaliana and other rosette plants. Funct. Plant Biol. 2009, 36, 902–914. [Google Scholar] [CrossRef] [PubMed]
- Arvidsson, S.; Perez-Rodriguez, P.; Mueller-Roeber, B. A growth phenotyping pipeline for Arabidopsis thaliana integrating image analysis and rosette area modeling for robust quantification of genotype effects. New Phytol. 2011, 191, 895–907. [Google Scholar] [CrossRef] [PubMed]
- De Vylder, J.; Vandenbussche, F.; Hu, Y.; Philips, W.; Van Der Straeten, D. Rosette tracker: An open source image analysis tool for automatic quantification of genotype effects. Plant Physiol. 2012, 160, 1149–1159. [Google Scholar] [CrossRef] [PubMed]
- McCormick, R.F.; Truong, S.K.; Mullet, J.E. 3D Sorghum Reconstructions from Depth Images Identify QTL Regulating Shoot Architecture. Plant Physiol. 2016, 172, 823–834. [Google Scholar] [CrossRef]
- Rist, F.; Herzog, K.; Mack, J.; Richter, R.; Steinhage, V.; Töpfer, R. High-Precision Phenotyping of Grape Bunch Architecture Using Fast 3D Sensor and Automation. Sensors 2018, 18, 763. [Google Scholar] [CrossRef]
- Pound, M.P.; French, A.P.; Murchie, E.H.; Pridmore, T.P. Automated recovery of three-dimensional models of plant shoots from multiple color images. Plant Physiol. 2014, 166, 1688–1698. [Google Scholar] [CrossRef] [PubMed]
- Pongplyapaiboon, S.; Tanaka, H.; Hashiguchi, M.; Hayashi, A.; Tanabata, T.; Isobe, S.; Akashi, R. Development of a digital phenotyping system using 3D model reconstruction for zoysiagrass. Plant Phenome J. 2023, 6, e20076. [Google Scholar] [CrossRef]















| # | UPOV No. | Characteristic | Survey Method | Possibility of Measurement from 3D Data |
|---|---|---|---|---|
| (Accessed on 1 December 2022) | ||||
| 2 | Seedling: size of cotyledon (fully developed) | Measure (mm × mm) | *** | |
| 3 | Seedling: shape of cotyledon | Visual observation | ** | |
| 4 | 2 | Plant: diameter | Measure (cm) | *** |
| 6 | 4 | Leaf: number of leaves | Visual observation/Measure (number) | * |
| 7 | 5 | Leaf: attitude | Visual observation | *** |
| 8 | 6 | Leaf: number of divisions | Visual observation | * |
| 9 | 7 | Leaf: shape | Visual observation | * |
| 10 | 8 | Leaf: shape of tip | Visual observation | * |
| 11 | 9 | Leaf: longitudinal section | Visual observation | *** |
| 12 | 10 | Leaf: width of lobes | Visual observation | * |
| 19 | Leaf: length | Measure (cm) | *** | |
| 20 | Leaf: width | Measure (cm) | *** | |
| 21 | 17 | Leaf: thickness | Measure (cm) | - |
| 22 | 18 | Leaf: blistering | Visual observation | *** |
| 23 | 19 | Leaf: size of blisters | Visual observation | *** |
| 24 | 20 | Leaf: undulation of margin | Visual observation | ** |
| 25 | 21 | Leaf: type of incisions of margin | Visual observation | * |
| 26 | 22 | Leaf: depth of incisions of margin | Visual observation | ** |
| 27 | 23 | Leaf: depth of secondary incisions of margin | Visual observation | ** |
| 28 | 24 | Leaf: density of incisions of margin | Visual observation | ** |
| 29 | 25 | Leaf blade: venation | Visual observation | * |
| Measured Angle (Average) | ||||||
|---|---|---|---|---|---|---|
| Angle Estimation Area | Angle of Tilted Flat Plate | |||||
| 0° | 15° | 30° | 45° | 60° | ||
| 1 × 1 mm | average | −0.34° | 14.85° | 29.84° | 44.52° | 59.13° |
| SD | 1.79 | 1.39 | 1.28 | 2.35 | 3.72 | |
| 5 × 5 mm | average | −0.47° | 14.78° | 29.78° | 44.4° | 59.09° |
| SD | 1.78 | 1.25 | 0.99 | 1.35 | 1.05 | |
| 10 × 10 mm | average | −0.29° | 14.93° | 29.88° | 44.54° | 59.18° |
| SD | 1.2 | 0.86 | 0.76 | 0.74 | 0.63 | |
| Error of Measurement (mm) | |||
|---|---|---|---|
| Variety | Plant Height | Long Diameters | Short Diameters |
| Fancy Green | 0.57 ± 1.41 | 0.60 ± 3.02 | 0.81 ± 2.15 |
| Frillice | 0.29 ± 1.01 | 0.22 ± 1.82 | 0.28 ± 1.23 |
| Red Leaf | 0.77 ± 0.92 | 0.64 ± 2.07 | 0.72 ± 1.78 |
| # | UPOV No. | Characteristic | Criteria |
|---|---|---|---|
| 22 | 18 | Leaf: blistering | 1. absent or very weak; 3. weak; 5. medium; 7. strong; 9. very strong. |
| 23 | 19 | Leaf: size of blisters | 3. small; 5. medium; 7. large. |
Disclaimer/Publisher’s Note: The statements, opinions and data contained in all publications are solely those of the individual author(s) and contributor(s) and not of MDPI and/or the editor(s). MDPI and/or the editor(s) disclaim responsibility for any injury to people or property resulting from any ideas, methods, instructions or products referred to in the content. |
© 2023 by the authors. Licensee MDPI, Basel, Switzerland. This article is an open access article distributed under the terms and conditions of the Creative Commons Attribution (CC BY) license (https://creativecommons.org/licenses/by/4.0/).
Share and Cite
Wada, K.C.; Hayashi, A.; Lee, U.; Tanabata, T.; Isobe, S.; Itoh, H.; Maeda, H.; Fujisako, S.; Kochi, N. A Novel Method for Quantifying Plant Morphological Characteristics Using Normal Vectors and Local Curvature Data via 3D Modelling—A Case Study in Leaf Lettuce. Sensors 2023, 23, 6825. https://doi.org/10.3390/s23156825
Wada KC, Hayashi A, Lee U, Tanabata T, Isobe S, Itoh H, Maeda H, Fujisako S, Kochi N. A Novel Method for Quantifying Plant Morphological Characteristics Using Normal Vectors and Local Curvature Data via 3D Modelling—A Case Study in Leaf Lettuce. Sensors. 2023; 23(15):6825. https://doi.org/10.3390/s23156825
Chicago/Turabian StyleWada, Kaede C., Atsushi Hayashi, Unseok Lee, Takanari Tanabata, Sachiko Isobe, Hironori Itoh, Hideki Maeda, Satoshi Fujisako, and Nobuo Kochi. 2023. "A Novel Method for Quantifying Plant Morphological Characteristics Using Normal Vectors and Local Curvature Data via 3D Modelling—A Case Study in Leaf Lettuce" Sensors 23, no. 15: 6825. https://doi.org/10.3390/s23156825
APA StyleWada, K. C., Hayashi, A., Lee, U., Tanabata, T., Isobe, S., Itoh, H., Maeda, H., Fujisako, S., & Kochi, N. (2023). A Novel Method for Quantifying Plant Morphological Characteristics Using Normal Vectors and Local Curvature Data via 3D Modelling—A Case Study in Leaf Lettuce. Sensors, 23(15), 6825. https://doi.org/10.3390/s23156825

