- Article
 
Enhancing the Pharmacological Properties of Triterpenes Through Acetylation: An Anticancer and Antioxidant Perspective
- Barbara Bednarczyk-Cwynar,
 - Piotr Ruszkowski,
 - Andrzej Günther,
 - Szymon Sip,
 - Katarzyna Bednarek-Rajewska and
 - Przemysław Zalewski
 
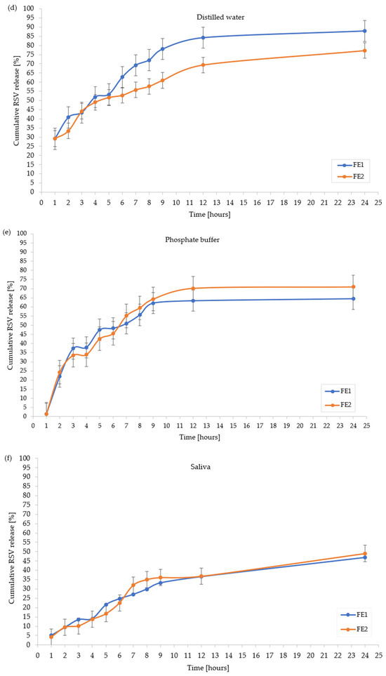
This paper presents the influence of acetylation on the cytotoxic and antioxidant activity of natural triterpenes. Oleanolic acid, betulin, betulinic acid and other triterpenes have been modified to improve their pharmacological properties. Acylation...

