Abstract
N,N-Dimethyl N-[4-[[[2-(4-methylphenyl)-6,7-dihydro-5H-benzocyclohepten-8-yl]carbonyl]amino]benzyl]tetra-hydro-2H-pyran-4-aminium chloride (TAK779) has a potent binding affinity for the chemokine receptor CCR5 and low cytotoxicity; however, their interaction remains unknown. We designed and synthesized four fluorescence-labeled TAK779 analogs as chemical probes. Although the binding properties of the fluorescence-labeled TAK779 analogs for CCR5 could not be determined, it was found that they penetrate the cell membranes and localize to the microtubes of HeLa cells.
1. Introduction
N,N-Dimethyl N-[4-[[[2-(4-methylphenyl)-6,7-dihydro-5H-benzocyclohepten-8-yl]carbonyl]amino]benzyl]tetra-hydro-2H-pyran-4-aminium chloride (1, TAK779) [1,2,3] has a potent binding affinity with an IC50 value of 1.4 nM for the chemokine receptor CCR5, a G-protein-coupled seven-transmembrane domain receptor, and low cytotoxicity. TAK779 (1) inhibits HIV-1 entry into target cells by blocking the interaction between the gp120/CD4 complex and CCR5 [4,5,6,7,8,9,10]. However, the molecular interactions between TAK779 (1) and CCR5 are still unknown, although they have been investigated via molecular modeling [11,12,13,14,15]. To perform high-resolution solid-state NMR spectroscopy studies on this compound, we previously reported the synthesis of 100% enriched [13C3]-labeled TAK779, which contains 13C isotopes at C-19, -35, and -36 [16]. Moreover, the synthesis of the TAK779 derivatives that conjugated the fluorescent materials and its evaluation have never been reported, and TAK779 (1) has failed in clinical trials. Although it can penetrate cells, its selective interaction with CCR5 is difficult to achieve. Cell penetration of bioactive and biofunctional compounds is essential for their interaction with cell organelles. However, compounds with cell-penetrating behavior frequently show potent cytotoxicity; therefore, the development of nontoxic compounds with cell penetrating behavior is an important yet challenging task. Other CCR5 inhibitors, like the callipletin family [17,18] and anibamine [19,20,21] as natural products and SCH-D [22,23] and cenicriviroc [24,25] as synthetic compounds, also suffer from cytotoxicity. Moreover, maraviroc is a CCR5 inhibitor only used in the treatment of HIV [26,27]. As a result of our investigation on the modification of TAK779 (1) to control its behavior as a cell-penetrating bioprobe, we herein report the design, synthesis, and behavior as chemical probes of fluorescence-labeled TAK779 analog (2).
2. Results and Discussion
In the molecular design for a CCR5-binding fluorescence probe, TAK779 (1) was used as a model compound. To decrease its interaction with CCR5, the seven-membered ring of TAK779 (1) was replaced with a cyclopyran ring, and the amine salt was bound to a fluorescence material through a linker to give TAK779 analogs (2). The IC50 value of the TAK779 analog with the cyclopyran ring is reduced 26-fold compared with those with the cycloheptane ring from the structure activity relationship study. In addition, when the cyclohexane ring of TAK779 analog was replaced with the cyclopyran ring, its IC50 value was decreased 3-fold [1,2,3]. We estimated that 2 exhibited 100 times less affinity for CCR5 than TAK779 (1) (Figure 1).
Figure 1.
Chemical structure of TAK779 (1) and its analogs (2) as chemical probes.
Scheme 1 shows the retrosynthetic analysis for TAK779 analogs (2), which were synthesized from phenylpyran (3) [28,29] and amine (4) [30]. A hydrophobic C11-alkyl linker was prepared to bind the TAK779 analog and coumarin (5) [31,32,33]. Amide bond formation between the TAK779 analog and the C11-alkyl linker and Huisgen coupling reaction between coumarin (5) and the C11-alkyl linker were performed to obtain 2a. Meanwhile, 2b bearing glutaramide and triethylene glycol (TEG) was designed to exhibit increased hydrophilicity. Moreover, the BODIPY derivative (6) [34] was used as a fluorescent material to prepare 2c. TAK779 analogs bearing the TEG linker and the BODIPY derivative (6) were coupled via amide bond formations (Scheme 1). The preparation of four segments (3–6) was performed as previously reported [28,29,30,31,32,33,34] (see Supporting Information).
Scheme 1.
Retrosynthetic analysis of TAK779 analog-based chemical probes (2).
Coumarin-labeled TAK779 analog (2a) was synthesized as shown in Scheme 2. Coupling of amine (4a) and 12-bromoundecanoic acid in the presence of DCC/DMAP in THF gave the corresponding amide derivative (4c) in 95% yield. Subsequent treatment with NaOAc in DMF reflux afforded 8 in quantitative yield. After reducing the nitro group of 8 (98% yield), coupling with phenylpyran (3) gave the TAK779 analog framework (9) in 97% yield. Azide (10) was obtained in 74% yield by subjecting compound 9 to the following three-step sequence: deprotection of the acetyl group, tosylation of the corresponding hydroxy group, and azidation with NaN3. Then, the click reaction [35,36,37,38,39] between azide (10) acetylene-containing coumarin (5) in the presence of CuI/DIPEA in CH2Cl2 afforded the desired coupled triazole compound (10a) in 15% yield. Finally, TFA-mediated deprotection of the MOM group smoothly proceeded to give the coumarin-labeled TAK779 analog (2a) in quantitative yield (Scheme 2).
Scheme 2.
Synthesis of the coumarin-labeled TAK779 analog (2a).
Coumarin-labeled TAK779 analog (2b) was synthesized as shown in Scheme 3. After the coupling between 3 and 4b quantitatively, deprotection of the Boc group in 10% TFA/CH2Cl2 afforded TAK779 analog (11) in 88% yield. To install the hydrophobic spacer, glutaric acid and TEG were selected. The coupling efficiency of the secondary amino group of TAK779 analog (11) and long alkyl and TEG spacers was frequently lower. Therefore, the cyclic anhydride compound, glutaric acid, was used. Then, the TEG unit was introduced via amide bond formation. The coupling of 11 and glutaric anhydride proceeded in 76% yield, and the coupling of the resulting compound (11a) with TEG (7a) in the presence of WSC/HOBt•H2O/DIPEA gave the azide-containing TAK779 analog (12) in 89% yield. The click reaction between the azide on the TAK779 analog (12) and the acetylene on the coumarin analog (5) in CuI/DIPEA in CH2Cl2 smoothly proceeded to give the TAK779 analog (12a), bearing a triazole unit in 82% yield. After deprotection of the MOM group in 50% TFA/CH2Cl2, the coumarin-labeled TAK779 analog (2b) was obtained in 77% yield (Scheme 3).
Scheme 3.
Synthesis of the coumarin-labeled TAK779 analog (2b).
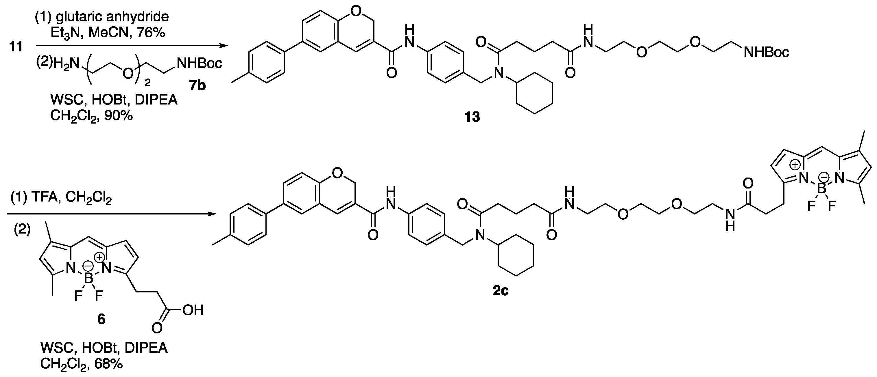
To compare the effect of using difference fluorescent materials, BODIPY-FL (6) was bound to the TAK779 analog (11). Treatment of the TAK779 analog (11) and glutaric anhydride in the presence of Et3N resulted in the formation of an amide bond, affording the corresponding carboxylic acid (11a) in 76% yield. Elongation of the spacer unit using TEG derivative (7b) yielded the Boc compound (13) in 90% yield. Subsequently, deprotection of the Boc group of 13 in 10% TFA/CH2Cl2 and coupling of the corresponding amino group with the carboxylic acid of BODIPY-FL (6) in WSC/HOBt•H2O/DIPEA in CH2Cl2 gave the BODIPY-labeled TAK779 analog (2c) in 68% yield (Scheme 4).
Scheme 4.
Synthesis of BODIPY-labeled TAK779 analog (2c).
To increase the aqueous solubility of the TAK779 analogs (2), BODIPY-labeled Glu TAK779 analogue (2d) was prepared by introducing a glutamic acid residue between TEG spacer and BODIPY-FL in 2c as shown in Scheme 5. Treatment of BODIPY-FL (6) and N-hydroxysuccinimide (NHS) with WSC in CH2Cl2 afforded the corresponding activated ester derivative (6b), which was coupled with H-Glu(tBu)-OH in the presence of Na2CO3-furnished BODIPY-Glu derivative (6a) in 90% yield. After the deprotection of the Boc group of 13 in 10% TFA/CH2Cl2, coupling with the BODIPY-Glu derivative (6a) gave the TAK779 derivative (14) in 68% yield. Finally, deprotection of the t-butyl group of the side chain of the Glu residue in 14 using 4 N HCl/AcOEt gave BODIPY-labeled Glu TAK779 analog (2d) in 74% yield (Scheme 5).
Scheme 5.
Synthesis of BODIPY-labeled Glu TAK779 analog (2d).
Next, reference compounds 15, 16, and 17 were prepared (Scheme 6). BODIPY-containing propionic acid (6) and TEG linker amine (7a) were coupled using WSC/HOBt•H2O/DIPEA in CH2Cl2 to afford BODIPY azide (15) in 57% yield. Hydrogenolysis of 15 in the presence of Pd/C in a hydrogen atmosphere gave the corresponding amine, and the subsequent addition of glutaric anhydride and Et3N to the reaction mixture afforded the BODIPY carboxylic acid (16) in 75% yield in a one-pot manner. BODIPY amide (17) was obtained by coupling of BODIPY carboxylic acid (16) and Et2NH in 54% yield (Scheme 6). All synthesized compounds were assigned by 1H and 13C-NMR, IR, and high-resolution mass spectra. And these collected data were reasonable for the resigned structures (see experimental and Supporting Information).
Scheme 6.
Preparation of BODIPY amide (17).
Under excitation with 320 nm light, the fluorescent spectrum of 50 μM coumarin (5) in 1% DMSO showed an emission band at 445 nm [40]. Meanwhile, 50 μM coumarin-labeled TAK779 analog (2b) in 1% DMSO produced an emission band at 468 nm upon excitation with 358 nm light. Moreover, the fluorescence spectrum of 50 μM BODIPY (6) in 1% DMSO was reported to exhibit an emission band at 515 nm under excitation with 503 nm light [41]. In our study, the fluorescence spectrum of 50 μM BODIPY-labeled TAK779 analog (2c) in 1% DMSO showed an emission band at 510 nm when excited with 495 nm light. In contrast, the coumarin-labeled TAK779 analog (2a) exhibited aggregate behavior in 1% DMSO solution, hindering a fluorescent spectrum. This suggested that the alkyl chain spacer of 2a was not suitable to prepare TAK779 analogs as chemical probes and the TEG unit has considerable hydrophobicity. The clinical potential of an antiviral agent is greatly influenced by its selectivity for target cells [42,43]. Accordingly, the cytotoxicity of 2b and 2c was ascertained by studying their effect on the viability of K562 cell lines. No cytotoxicity was observed for either of the compounds (Figure 2).
Figure 2.
Fluorescence spectra and cytotoxicity of synthetic TAK779 analogs (2b, 2c). (A) Fluorescence spectra of 2b, (B) fluorescence spectra of 2c, (C) cytotoxicity of 2b, and (D) cytotoxicity of 2c.
The binding property for CCR5 and the cell penetration behavior of TAK779 analogs (2b–d) were investigated. K562 cell lines bound to CCR5 on cell membrane, and HEK293 and HeLa cell lines in the absent of CCR5 proteins were selected. The results of the treatment of 2b and 2c with the K562, HEK293, and HeLa cell lines are depicted in Figure 3. In the emission wavelength region of 420–450 nm, blue fluorescence emissions derived from the coumarin moiety of 2b were observed in the cells under excitation with 405 nm light. Similarly, the cells showed green fluorescence emissions derived from the BODIPY moiety of 2c in the emission wavelength region of 490–540 nm upon excitation with 475 nm light. TAK779 analogs (2b,c) were localized in each cell line. Moreover, after treatment of K562 cells with TAK779 analog (2d) for 1 h, TAK779 analog (2d) was also localized in K562 cells without staying on the CCR5 on cell membrane. This suggests that 2b,d have no CCR5 binding property and hydrophilicity, even though they exhibit cell-penetrating and localization properties. Moreover, comparison of the CCR5-expressing HeLa cells may provide useful information (Figure 3).
Figure 3.
Cell images of K562, HEK293, and HeLa cell lines with coumarin-labeled TAK779 analog (2b) (concentration: 50 mM, excitation wavelength: 405 nm, laser intensity: 100%, detection wavelength region: 420–520 nm) and BODIPY-labeled TAK779 analog (2c) (concentration: 50 mM, excitation wavelength: 475 nm, laser intensity: 3%, detection wavelength region: 490–540 nm). The assay using flesh-survived cells was performed in floating conditions.
Control experiments revealed that green fluorescence emissions were not observed upon treatment of K562 cell lines with BODIPY carboxylic acid derivatives (6) and (16), indicating that 6 and 16 rarely penetrate the K562 cell membrane. In contrast, BODIPY derivatives bound with azide (15) or amide (17) gave the green fluorescence emissions against K562 cell lines. The fluorescence emissions derived from 15 were not localized and were observed in the cell matrix without exception, and those of 17 were quite weak. These results suggested that physical properties with the hydrophobicity and functionality were important and that the BODIPY moiety did not control cell penetration (Figure 4).
Figure 4.
Cell images of K562 cell lines with BODIPY derivatives (6, 15, 16, and 17) as control experiments. Concentration: 50 mM, excitation wavelength: 473 nm, laser intensity: 3%, detection wavelength region: 490–540 nm. The assay using flesh-survived cells was performed in floating conditions.
Because the labeled TAK779 analogs (2b–d) have cell penetration and localization properties, the localization site of HeLa cells was investigated using BODIPY-labeled TAK779 analog (2c) and treated on HeLa cells. As depicted in Figure 5, 2c was nearly localized to the microtubules of HeLa cells, suggesting that 2c rarely localized to the DNA nuclear site from the Hoechst staining. Additionally, clear effects of the α-tubulin antibody on the microtubules of HeLa cells were observed. It is guessed that the intracellular distribution is not influenced by aggregation of 2c because cytotoxicity of 2c is extremely weak (Figure 5).
Figure 5.
(A) Effects of BODIPY-labeled TAK779 analog (2c; green) on the microtubules of HeLa cells after 1 h of treatment. (B) Effects of α-tubulin antibody on the microtubules of HeLa cells after 1 h of treatment. Localization of antigens was observed using an Alexa568-conjugated goat anti-mouse IgG (1:500 dilution; red). DNA (blue) was stained with Hoechst 33258. Scale bars; 20 μm. The assay using flesh survived cells was performed in floating conditions.
The interaction between microtubules and low-molecular-weight natural products such as taxol [44], vinblastine [45], and colchicine [46], among others [47], has been investigated for a long time because it causes inhibition of polymerization, depolymerization, or degradation of microtubules, and therefore affects the cell cycles for the application as anticancer agents. In this study, the mechanism of action and localized position are most likely different because the BODIPY-labeled TAK779 analog (2c) shows no cytotoxicity. Investigation of a secondary mechanism using the TAK779 analogs and the above natural products is the next assignment.
In conclusion, we synthesized fluorescence-labeled TAK779 analogs (2a–d) as chemical probes. Compounds (2b–d) penetrated the cell membranes and localized in the cells. Although the binding properties of 2b–d for CCR5 could not be determined, TAK779 analog (2c) exhibited cell-penetrating property and localization behavior. In order to preferentially bind to CCR5, the physiological properties of the TAK779 analogs need to devised, including the redesign of the TAK779 analog structure based on the structure activity relationships and the selected spacers with its length and flexibility. Simultaneously, the conjugation site with spacer units and fluorophores is an important factor. The TAK779 analogs (2b–d) showed no cytotoxicity, and additionally, membrane permeation and localization inside the cell were observed. It is also interesting to develop it as an organelle-selective fluorescent agent by using this phenomenon. By the comparison of known materials, the mechanism of action in detail may become clear. Thereby, it is possible to produce useful materials with unique functionalities. The design and synthesis of the TAK779 analogs (2b–d) were performed and provided useful information for the next research. Further investigation of the binding properties and localization using the modified analogs with low cytotoxicity is currently underway.
3. Experimental
3.1. General
All solvents were of reagent grade. THF was distilled from sodium and benzophenone ketyl. CH2Cl2 was distilled from CaH2. All commercial reagents were of the highest purity available. Analytical TLC was performed on silica gel (60 F-254, Plates 0.25 mm). Column chromatography was carried out on silica gel 60 N (Kanto Chemical Co., Tokyo, Japan, 40–100 µm). 1H (600, 500 or 400 MHz) and 13C (150, 125 or 100 MHz) NMR spectra were recorded on a JEOL JNM-ECX 600, JNM-ECX 500, or JNM-ECX 400 (JEOL, Ltd., Tokyo, Japan). Chemical shifts are expressed in ppm relative to TMS (0 ppm), CHCl3 (7.26 ppm for 1H and 77.0 ppm for 13C), or DMSO-d6 (2.50 ppm for 1H and 39.5 ppm for 13C). IR spectra were obtained on a JASCO FT/IR-460 Plus spectrometer (Tokyo, Japan). High-resolution mass spectra (HRMS) were obtained on a JEOL The AccuTOF JMS-T100LC (ESI). Melting points were measured on an AS ONE ATM-02 (Osaka, Japan). Optical rotations were measured on a JASCO DIP-371. Ultraviolet and visible absorption spectra were obtained on a HITACHI U-1900 or U-2900 (Chiyoda, Japan). Fluorescence spectra were recorded on a JASCO FP-8200 or HITACHI F-2700. Absorbances were measured on a CORONA ELECTRIC MTP-310 Lab (Hitachinaka, Japan).
3.2. N-Cyclohexyl-N-(4-nitrobenzyl)-11-undecanamido Acetate (8)
(1) To a solution of 11-bromoundecanoic acid (0.85 g, 3.21 mmol) in THF were added DCC (0.66 g, 3.20 mmol), DMAP (0.04 g, 0.33 mmol), and 4a (0.50 g, 2.13 mmol). The reaction mixture was stirred overnight at room temperature, filtered through a celite pad, to which was added AcOEt and H2O, and separated. The aqueous layer was extracted with AcOEt and the combined organic layer was washed successively with water and brine, dried over MgSO4, and concentrated in vacuo. The residue was purified by column chromatography (hexane/AcOEt = 5:1) to give amide (4c) (0.94 g, 2.01 mmol, 95%) as a brown oil. 1H-NMR (CDCl3, 600 MHz) δ 8.10 (m, 2H), 7.33 (m, 2H), 4.55 (m, 2H), 4.50 (m, 1H), 3.35–3.31 (m, 2H), 2.42–1.73 (m, 6H), 1.67–1.16 (m, 21H), 1.00 (m, 1H). 13C-NMR (CDCl3, 150 MHz) δ 173.33, 173.29, 147.6, 146.9, 146.7, 146.4, 127.3, 126.5, 123.7, 123.3, 57.3, 53.4, 46.2, 44.3, 33.8, 33.7, 33.4, 32.6, 31.9, 30.7, 30.5, 29.22, 29.16, 29.1, 29.0, 28.49, 28.45, 27.90, 27.87, 25.7, 25.5, 25.23, 25.20, 25.1, 24.9. IR (film, cm−1) νmax 2927, 2853, 1644, 1601, 1521, 1408, 1343, 1109, 1013, 858, 736. ESI-HRMS m/z 481.2036 [M + H]+ (calcd. for C24H38BrN2O3, 481.2066).
(2) To a solution of amide (4c) (1.50 g, 3.12 mmol) in DMF was added NaOAc (1.23 g, 15.0 mmol). The reaction mixture was refluxed for 4 h, diluted with AcOEt and H2O. The aqueous layer was extracted with AcOEt and the combined organic layer was washed successively with water and brine, dried over MgSO4, and concentrated in vacuo. The residue was purified by column chromatography (hexane/AcOEt = 3:1) to give 8 (1.52 g, quant.) as a brown oil. 1H-NMR (CDCl3, 600 MHz) δ 8.11 (m, 2H), 7.33 (m, 2H), 4.56–4.54 (m, 2H), 4.60 (m, 1H), 3.98 (m, 2H), 2.43–2.08 (m, 2H), 1.98 (m, 3H), 1.76–1.51 (m, 9H), 1.36–1.13 (m, 16H), 0.98 (m, 1H). 13C-NMR (CDCl3, 150 MHz) δ 173.41, 173.37, 161.0, 147.7, 147.0, 146.7, 146.5, 127.4, 126.5, 123.7, 123.3, 64.4, 57.4, 53.4, 46.2, 44.4, 33.8, 33.4, 32.0, 30.6, 29.30, 29.27, 29.24, 29.22, 29.14, 29.11, 29.04, 28.99, 28.4, 25.7, 25.5, 25.3, 25.2, 25.1, 25.0. IR (film, cm−1) νmax 2928, 2854, 1736, 1646, 1521, 1343, 1238, 1109, 1033, 737. ESI-HRMS m/z 461.2986 [M + H]+ (calcd. for C26H41N2O5 461.3016).
3.3. N-Cyclohexyl-N-(4-{N-[6-(4-methylphenyl)-2H-1-benzopyran-3-carbonyl]amino}benzyl)-11-undecanamido Acetate (9)
(1) To a solution of 8 (0.62 g, 1.35 mmol) in AcOEt was added 5% Pt/C (2 mg). The reaction mixture was vigorously stirred at room temperature under a hydrogen atmosphere for 4 h and filtered through a celite pad, which was washed with AcOEt. The filtrate was concentrated in vacuo. The residue was purified by column chromatography (AcOEt) to give amine (8a) (0.57 g, 1.32 mmol, 98%) as a yellow oil. 1H-NMR (CDCl3, 600 MHz) δ 6.94 (m, 2H), 6.56 (m, 2H), 4.49 (m, 1H), 4.36 (m, 2H), 3.99 (m, 2H), 3.70 (s, 2H), 2.38–2.16 (m, 2H), 1.99 (s, 3H), 1.73–1.53 (m, 9H), 1.41–1.18 (m, 16H), 0.98 (m, 1H). 13C-NMR (CDCl3, 150 MHz) δ: 173.6, 173.0, 161.0, 145.3, 144.8, 129.8, 128.12, 128.05, 126.6, 114.9, 114.8, 64.4, 60.1, 57.4, 53.5, 46.2, 43.8, 33.8, 33.6, 32.0, 30.5, 29.3, 29.2, 29.1, 29.01, 28.98, 28.4, 25.9, 25.6, 25.5, 25.4, 25.3, 25.1. IR (film, cm−1) νmax 3351, 2927, 2853, 1735, 1629, 1518, 1419, 1363, 1239, 1176, 1035, 816. ESI-HRMS m/z 431.3273 [M + H]+ (calcd. for C26H43N2O3 431.3274).
(2) To a solution of carboxylic acid (S5) (0.10 g, 0.38 mmol) in CHCl3 were added SOCl2 (0.10 mL, 1.38 mmol) and a DMF (1 drop) on ice. The reaction mixture was stirred at room temperature under nitrogen atmosphere for 2 h and concentrated in vacuo to give 3. To a solution of 3 in THF was dropwise added a solution of amine (8a) (0.20 g, 0.46 mmol) and TEA (0.14 mL, 1.00 mmol) in THF on ice. The reaction mixture was stirred overnight at room temperature under nitrogen atmosphere, then diluted with AcOEt and H2O. The aqueous layer was extracted with AcOEt and the combined organic layer was washed successively with water and brine, dried over MgSO4, and concentrated in vacuo. The residue was purified by column chromatography (hexane/AcOEt = 2:1) to give 9 (0.25 g, 0.37 mmol, 97%) as a yellow oil. 1H-NMR (CDCl3, 500 MHz) δ 8.87 (m, 1H), 7.54 (m, 2H), 7.41 (m, 4H), 7.26 (m, 1H), 7.22 (d, J = 8.5 Hz, 2H), 7.08 (m, 2H), 6.91 (m, 1H), 5.11 (s, 2H), 4.49 (m, 2H), 4.54–3.61 (m, 1H), 4.08 (m, 2H), 2.45–2.17 (m, 2H), 2.38 (s, 3H), 2.04 (m, 3H), 1.78–1.55 (m, 9H), 1.43–1.19 (m, 16H), 1.01 (m, 1H). 13C-NMR (CDCl3, 125 MHz) δ: 174.2, 173.5, 163.6, 163.5, 154.1, 137.24, 137.20, 136.73, 136.69, 136.3, 135.6, 134.8, 134.7, 134.2, 129.8, 129.7, 129.4, 128.1, 128.0, 127.3, 127.2, 126.58, 126.55, 126.3, 126.1, 121.3, 121.2, 120.6, 120.3, 116.31, 116.26, 65.00, 64.96, 64.6, 57.8, 53.7, 46.2, 44.2, 34.3, 34.1, 33.8, 32.1, 30.7, 29.5, 29.33, 29.28, 29.14, 29.09, 28.49, 28.46, 25.9, 25.8, 25.7, 25.6, 25.3, 25.1, 24.9. IR (film, cm−1) νmax 2927, 2854, 1735, 1600, 1531, 1488, 1411, 1319, 1247, 1020, 812. ESI-HRMS m/z: 679.4127 [M + H]+ (calcd. for C43H55N2O5 679.4111).
3.4. N-[4-({[N-(11-Azido-1-oxoundecanyl)-N-cyclohexyl]amino}methyl)phenyl]-6-(4-methylphenyl)-2H-1-benzopyran-3-carboxamide (10)
(1) To a solution of 9 (0.25 g, 0.37 mmol) in MeOH was added K2CO3 (0.14 g, 1.01 mmol). The reaction mixture was stirred at room temperature for 2 h, diluted with AcOEt, and saturated NH4Cl aq. The aqueous layer was extracted with AcOEt and the combined organic layer was washed with water and brine, dried over MgSO4, and concentrated in vacuo. The residue was purified by column chromatography (hexane/AcOEt = 1:1) to give alcohol (9a) (0.26 g, quant.) as a brown oil. 1H-NMR (CDCl3, 600 MHz) δ 9.15 (m, 1H), 7.50 (m, 2H), 7.40 (m, 4H), 7.26 (m, 1H), 7.20 (d, J = 7.8 Hz, 2H), 7.07 (m, 2H), 6.89 (m, 1H), 5.09 (s, 2H), 4.47 (m, 2H), 4.62 (m, 1H), 3.59 (m, 2H), 2.43–2.16 (m, 3H), 2.36 (s, 3H), 1.76–1.49 (m, 9H), 1.40–1.16 (m, 16H), 1.00 (m, 1H). 13C-NMR (CDCl3, 150 MHz) δ: 174.2, 173.6, 163.7, 163.6, 154.0, 137.2, 137.15, 137.10, 136.60, 136.57, 136.4, 135.4, 134.7, 134.6, 134.0, 129.63, 129.56, 129.4, 128.2, 128.1, 127.10, 127.06, 126.50, 126.48, 126.3, 126.2, 126.0, 121.3, 121.2, 120.5, 120.4, 116.2, 116.1, 64.92, 64.89, 62.6, 57.8, 53.7, 46.2, 44.2, 33.9, 33.7, 32.60, 32.55, 32.0, 30.6, 29.29, 29.27, 29.25, 29.21, 29.17, 29.16, 29.13, 29.10, 25.8, 25.7, 25.61, 25.56, 25.4, 25.3, 25.0. IR (film, cm−1) νmax 3298, 2928, 2854, 1653, 1620, 1533, 1487, 1412, 1320, 1253, 1136, 1020, 918, 812, 755, 665. ESI-HRMS m/z 659.3833 [M + Na]+ (calcd. for C41H52N2NaO4 659.3825).
(2) To a solution of alcohol (9a) (1.42 g, 2.23 mmol) in CH2Cl2 were added TEA (2.80 mL, 20.1 mmol), TsCl (1.90 g, 9.97 mmol), and DMAP (0.12 g, 0.98 mmol). The reaction mixture was stirred at room temperature for 1.3 h, diluted with CH2Cl2, and saturated with NH4Cl aq. The aqueous layer was extracted with CH2Cl2, and the combined organic layer was washed with water and brine, dried over MgSO4, and concentrated in vacuo. The residue was purified by column chromatography (hexane/AcOEt = 2:1–1:1) to give tosylate (9b) (1.70 g, 2.15 mmol, 96%) as a yellow oil. 1H-NMR (CDCl3, 600 MHz) δ 8.62–6.88 (m, 17H), 5.12 (m, 2H), 4.47 (m, 2H), 4.52 (m, 1H), 3.99 (m, 2H), 2.44–2.16 (m, 8H), 1.77–1.58 (m, 9H), 1.40–1.15 (m, 16H), 1.00 (m, 1H). 13C-NMR (CDCl3, 150 MHz) δ: 174.1, 173.5, 163.6, 163.4, 154.1, 144.6, 143.2, 139.3, 137.19, 137.15, 137.0, 136.73, 136.69, 136.3, 135.7, 134.8, 134.7, 134.4, 133.1, 132.99, 132.96, 129.7, 129.5, 129.4, 128.0, 127.8, 127.4, 126.8, 126.6, 126.33, 126.28, 126.2, 120.3, 116.3, 116.2, 70.7, 64.9, 57.8, 53.7, 46.3, 44.2, 33.9, 33.7, 32.1, 30.6, 29.4, 29.3, 29.2, 29.11, 29.08, 28.8, 28.7, 25.9, 25.7, 25.4, 25.2, 25.1, 21.5, 21.4, 21.0. IR (film, cm−1) νmax 2927, 2854, 1599, 1530, 1488, 1412, 1356, 1249, 1175, 1097, 926, 812, 755, 663, 554.
(3) To a solution of tosylate (9b) (70 mg, 89 µmol) in DMF was added NaN3 (65 mg, 1.0 mmol). The reaction mixture was stirred at room temperature for 10 h, diluted with AcOEt and H2O. The aqueous layer was extracted with AcOEt and the combined organic layer was washed with water and brine, dried over MgSO4, and concentrated in vacuo. The residue was purified by column chromatography (hexane/AcOEt = 1:1) to give 10 (45 mg, 67.5 mmol, 77%) as a yellow oil. 1H-NMR (CDCl3, 600 MHz) δ 9.07 (m, 1H), 7.87–6.88 (m, 12H), 5.10 (m, 2H), 4.48 (m, 2H), 4.53 (m, 1H), 3.22 (m, 2H), 2.45–2.18 (m, 5H), 1.77–1.52 (m, 9H), 1.39–1.19 (m, 16H), 1.02 (m, 1H). 13C-NMR (CDCl3, 150 MHz) δ: 174.2, 173.5, 163.6, 163.5, 154.0, 137.3, 137.12, 137.08, 136.60, 136.57, 136.4, 135.4, 134.62, 134.59, 134.0, 129.7, 129.6, 129.5, 129.4, 128.1, 127.9, 127.5, 127.32, 127.27, 127.1, 126.7, 126.5, 126.4, 126.3, 126.2, 126.0, 121.24, 121.20, 120.7, 120.5, 120.35, 120.28, 116.20, 116.15, 64.93, 64.91, 57.7, 53.7, 51.3, 46.2, 44.1, 34.0, 33.7, 32.0, 30.6, 29.4, 29.23, 29.19, 28.94, 28.92, 28.6, 26.53, 26.51, 25.8, 25.7, 25.6, 25.5, 25.4, 25.3, 25.0, 20.9. IR (film, cm−1) νmax 2928, 2854, 2094, 1718, 1702, 1619, 1533, 1516, 1487, 1467, 1451, 1411, 1319, 1287, 1252, 1190, 1137, 1066, 1019, 1002, 917, 812, 755, 664.
3.5. N-(4-{[(N-{11-[4-(7-Hydroxy-4-methyl-2-oxo-2H-1-benzopyran-3-)-1,2,3-triazolyl]-1-oxoundecanyl}-N-cyclohexyl)amino]methyl}phenyl)-6-(4-methylphenyl)-2H-1-benzopyran-3-carboxamide (2a)
(1) To a solution of 10 (250 mg, 0.38 mmol) in CH2Cl2 were added 5 (160 mg, 0.66 mmol), CuI (76.0 mg, 0.40 mmol), and DIPEA (175 µL, 1.00 mmol). The reaction mixture was stirred at room temperature for 3 h, diluted with CH2Cl2, and saturated with NH4Cl aq. The aqueous layer was extracted with CH2Cl2, and the combined organic layer was washed with water and brine, dried over MgSO4, and concentrated in vacuo. The residue was purified by column chromatography (hexane/AcOEt = 1:1) to give triazole (10a) (51 mg, 56.7 µmol, 15%) as a brown oil. 1H-NMR (CDCl3, 600 MHz) δ 8.60 (m, 1H), 8.13 (m, 1H), 7.66–6.83 (m, 15H), 5.24–5.07 (m, 4H), 4.49 (m, 2H), 4.54 (m, 1H), 4.38 (m, 2H), 3.47 (m, 3H), 2.36 (s, 3H), 2.16 (s, 3H), 1.93 (m, 2H), 1.77–1.56 (m, 9H), 1.42–1.21 (m, 16H), 1.02 (m, 1H). 13C-NMR (CDCl3, 150 MHz) δ 174.1, 173.5, 163.7, 163.5, 160.6, 160.5, 159.9, 159.6, 159.5, 154.5, 154.1, 153.4, 153.24, 153.17, 146.0, 141.1, 137.14, 137.05, 136.7, 134.7, 129.8, 129.7, 129.4, 128.0, 127.8, 127.4, 127.3, 126.9, 126.55, 126.52, 126.3, 126.2, 125.6, 121.1, 120.4, 116.2, 114.3, 113.6, 113.5, 103.6, 103.3, 94.3, 82.2, 65.0, 57.7, 56.3, 53.7, 51.1, 50.4, 46.3, 44.2, 33.8, 33.7, 32.1, 30.7, 30.1, 30.0, 29.6, 29.3, 29.24, 29.16, 29.1, 29.0, 28.94, 28.87, 28.8, 28.7, 28.6, 26.4, 26.3, 26.2, 25.9, 25.7, 25.6, 25.4, 25.3, 25.24, 25.17, 21.1, 21.0, 17.0, 16.6. IR (film, cm−1) νmax 2928, 2859, 1609, 1514, 996, 754. ESI-MS m/z 906.4 [M + H]+ (calcd. for C55H64N5O7; 906.5).
(2) A solution of triazole (10a) (12.8 mg, 14.2 µmol) in CH2Cl2 was dropwise added to 50% TFA/CH2Cl2. The reaction mixture was stirred at room temperature for 1.5 h and concentrated in vacuo. The residue was diluted with CHCl3 and H2O. The aqueous layer was extracted with CHCl3, and the combined organic layer was washed with 1M NaOH, dried over MgSO4, and concentrated in vacuo. 2a (13 mg, quant.) was obtained as a yellow oil. 1H-NMR (CDCl3, 600 MHz) δ 9.65 (m, 1H), 9.00 (m, 1H), 8.03 (m, 1H), 7.90–6.61 (m, 15H), 5.09 (m, 2H), 4.57 (m, 3H), 4.25 (m, 2H), 2.67–2.18 (m, 8H), 1.88–1.58 (m, 9H), 1.49–1.17 (m, 16H), 1.05 (m, 1H). 13C-NMR (CDCl3, 150 MHz) δ 174.3, 163.8, 154.7, 154.2, 147.2, 143.7, 136.7, 136.1, 135.1, 129.9, 129.5, 128.2, 127.6, 126.9, 126.64, 126.59, 126.5, 126.4, 125.4, 121.9, 121.5, 120.6, 116.3, 113.9, 103.2, 65.1, 58.0, 51.1, 50.3, 46.5, 45.0, 33.7, 32.0, 30.7, 30.0, 29.6, 29.3, 29.1, 28.9, 28.84, 28.78, 28.7, 28.6, 26.1, 25.9, 25.8, 25.7, 25.5, 25.1, 21.1, 16.6. IR (film, cm−1) νmax 2923, 2854, 1713, 1601, 1512, 1487, 1318, 1214, 813, 750. ESI-HRMS m/z 862.4517 [M+H]+ (calcd. for C53H60N5O6 862.4544).
3.6. N-{4-[(Cyclohexylamino)methyl]phenyl}-6-(4-methylphenyl)-2H-chromene-3-carboxamide (11)
(1) To a solution of carboxylic acid (S5) (300 mg, 1.13 mmol) in CHCl3 (2.50 mL) was added SOCl2 (0.66 mL, 9.10 mmol) on ice. The reaction mixture was stirred at room temperature for 10 min, then DMF (71 µL, 0.92 mmol) was added to the mixture. The mixture was stirred at room temperature for 2 h and concentrated in vacuo to give 3. To a solution of 3 in THF (1.30 mL) were dropwise added a solution of 4b (446 mg, 1.47 mmol) and Et3N (613 µL, 4.40 mmol) in THF (1.30 mL) on ice. The reaction mixture was stirred at room temperature for 19 h, concentrated in vacuo, and diluted with CHCl3 and NH4Cl aq. The aqueous layer was extracted with CHCl3, and the combined organic layer was washed with brine, dried over MgSO4, and concentrated in vacuo. The residue was purified by column chromatography (hexane/AcOEt = 6:1–4:1) to give carbamate (3a) (625 mg, 1.13 mmol, quant.) as a pale-yellow powder. 1H-NMR (CDCl3, 600 MHz) δ 8.31 (m, 1H), 7.52 (m, 2H), 7.44 (dd, J = 8.4, 2.4 Hz, 1H), 7.40 (d, J = 7.8 Hz, 2H), 7.31 (s, 1H), 7.27 (d, J = 1.8 Hz, 1H), 7.22 (d, J = 8.4 Hz, 2H), 7.17 (d, J = 7.2 Hz, 2H), 6.92 (d, J = 8.4 Hz, 1H), 5.11 (s, 2H), 4.38–3.64 (m, 3H), 2.38 (s, 3H), 1.67–1.18 (m, 18H), 0.99 (m, 1H). 13C-NMR (CDCl3, 150 MHz) δ 163.4, 155.8, 154.1, 137.2, 136.7, 136.5, 136.2, 134.8, 129.8, 129.5, 127.8, 127.3, 126.9, 126.6, 126.3, 121.1, 120.0, 116.3, 79.7, 64.9, 55.3, 45.8, 31.1, 28.4, 25.8, 25.4, 21.0. IR (KBr, cm−1) νmax 3286, 3195, 3126, 3058, 2971, 2935, 2852, 1687, 1644, 1600, 1534, 1515, 1486, 1447, 1404, 1365, 1326, 1279, 1247, 1164, 1148, 1100, 1022, 1006, 962, 944, 907, 880, 862, 830, 810, 780, 510. ESI-HRMS m/z 575.2879 [M + Na]+ (calcd. for C35H40N2NaO4 575.2886. m.p. 188–189 °C.
(2) To a solution of carbamate (3a) (2.03 g, 3.67 mmol) in CH2Cl2 (18.0 mL) was dropwise added TFA (1.00 mL) on ice. The reaction mixture was stirred at room temperature for 30 min, then TFA (1.00 mL) was added to the mixture on ice. The mixture was stirred at room temperature for 1.5 h, then CH2Cl2 (18.0 mL) and TFA (2.0 mL) were added to the mixture on ice. The mixture was stirred at room temperature for 2 h, diluted with CH2Cl2 and 1 M NaHCO3 aq. on ice. The aqueous layer was extracted with CH2Cl2, and the combined organic layer was washed with brine, dried over MgSO4, and concentrated in vacuo. The residue was purified by column chromatography (CHCl3/MeOH = 95:5–70:30) to give 11 (1.47 g, 3.25 mmol, 88%) as a yellow oil. 1H-NMR (CDCl3, 500 MHz) δ 8.05 (s, 1H), 7.51 (d, J = 8.5 Hz, 2H), 7.42 (dd, J = 8.5, 2.0 Hz, 1H), 7.38 (d, J = 8.0 Hz, 2H), 7.26 (d, J = 8.5 Hz, 2H), 7.23 (d, J = 2.5 Hz, 1H), 7.21 (d, J = 8.0 Hz, 2H), 7.10 (s, 1H), 6.89 (d, J = 8.5 Hz, 1H), 5.05 (s, 2H), 3.76 (s, 2H), 2.51–2.45 (m, 1H), 2.38 (s, 3H), 2.05 (s, 1H), 1.91 (m, 2H), 1.73 (m, 2H), 1.62 (m, 1H), 1.19 (m, 5H). 13C-NMR (CDCl3, 150 MHz) δ 163.4, 154.0, 137.1, 136.8, 136.7, 136.3, 134.9, 129.9, 129.5, 128.8, 127.7, 127.3, 126.6, 126.4, 120.9, 120.3, 116.3, 64.9, 56.1, 50.2, 33.2, 26.0, 24.9, 21.0. IR (film, cm−1) νmax 3299, 3189, 3119, 3023, 2926, 2852, 1651, 1600, 1518, 1487, 1450, 1412, 1320, 1254, 1215, 1186, 1135, 1111, 1020, 1006, 911, 891, 811, 756, 665. ESI-HRMS m/z: 453.2571 [M + H]+ (calcd. for C30H33N2O2 453.2542).
3.7. N-{2-[2-(2-Azidoethoxy)ethoxy]ethyl}-N′-cyclohexyl-N′-({4-[6-(4-methylphenyl)-2H-chromene-3-amido]phenyl}methyl)pentanediamide (12)
(1) To a solution of 11 (400 mg, 0.88 mmol) in MeCN (3.00 mL) were added Et3N (616 µL, 4.42 mmol) and glutaric anhydride (303 mg, 2.66 mmol). The reaction mixture was stirred at room temperature for 80 min, then glutaric anhydride (202 mg, 1.77 mmol) was added to the mixture. The mixture was stirred at room temperature for 70 min, concentrated in vacuo, and diluted with AcOEt and 1 M HCl. The aqueous layer was extracted with AcOEt and the combined organic layer was washed with brine, dried over MgSO4, and concentrated in vacuo. The residue was purified by column chromatography (CHCl3/MeOH = 95:5) to give carboxylic acid (11a) (382 mg, 0.67 mmol, 76%) as a yellow oil. 1H-NMR (CDCl3, 500 MHz) δ 10.23 (s, 1H), 8.90 (m, 1H), 7.51 (m, 2H), 7.39 (m, 3H), 7.30 (m, 1H), 7.24 (m, 1H), 7.19 (d, J = 7.0 Hz, 2H), 7.05 (m, 2H), 6.88 (d, J = 8.5 Hz, 1H), 5.05 (s, 2H), 4.48 (m, 3H), 2.45 (m, 2H), 2.36 (s, 3H), 2.27 (m, 2H), 1.93 (m, 2H), 1.63 (m, 5H), 1.38–1.15 (m, 4H), 0.97 (m, 1H). 13C-NMR (CDCl3, 125 MHz) δ 177.3, 177.2, 173.6, 173.0, 163.9, 163.7, 154.0, 137.1, 137.0, 136.9, 136.7, 136.6, 136.3, 135.1, 134.7, 134.0, 129.72, 129.65, 129.4, 128.4, 128.2, 127.1, 127.0, 126.9, 126.5, 126.3, 126.1, 121.2, 121.1, 120.9, 120.6, 116.22, 116.18, 64.9, 64.8, 57.6, 53.9, 46.2, 44.4, 33.1, 32.9, 32.7, 32.5, 31.8, 30.5, 25.7, 25.5, 25.2, 25.0, 20.9, 20.6, 20.4. IR (film, cm−1) νmax 3296, 3191, 3119, 3017, 2932, 2856, 1709, 1651, 1600, 1530, 1514, 1487, 1469, 1450, 1412, 1320, 1286, 1251, 1216, 1194, 1138, 1019, 1003, 914, 812, 755, 666. ESI-HRMS m/z 589.2693 [M + Na]+ (calcd. for C35H38N2NaO5 589.2678).
(2) To a solution of carboxylic acid (11a) (176 mg, 0.31 mmol) in CH2Cl2 (0.50 mL) were added DIPEA (307 µL, 1.76 mmol), WSC•HCl (135 mg, 0.70 mmol), HOBt•H2O (108 mg, 0.71 mmol), and a solution of 7a (68 mg, 0.39 mmol) in CH2Cl2 (0.20 mL). The reaction mixture was stirred at room temperature for 13 h, diluted with CH2Cl2 and H2O. The aqueous layer was extracted with CH2Cl2, and the combined organic layer was washed with brine, dried over MgSO4, and concentrated in vacuo. The residue was purified by column chromatography (CHCl3/MeOH = 100:0–97:3) to give 12 (200 mg, 0.28 mmol, 89%) as a yellow oil. 1H-NMR (CDCl3, 600 MHz) δ 9.15 (m, 1H), 7.53 (m, 2H), 7.35 (m, 3H), 7.29 (m, 1H), 7.20 (s, 1H), 7.15 (d, J = 7.8 Hz, 2H), 7.03 (m, 2H), 6.84 (m, 1H), 6.41 (m, 1H), 5.02 (s, 2H), 4.44–3.29 (m, 15H), 2.45–2.08 (m, 4H), 2.31 (s, 3H), 1.88 (m, 2H), 1.69–1.50 (m, 5H), 1.24 (m, 4H), 0.95 (m, 1H). 13C-NMR (CDCl3, 150 MHz) δ: 172.9, 172.5, 172.4, 163.5, 163.4, 153.79, 153.77, 137.0, 136.84, 136.82, 136.5, 136.42, 136.37, 135.1, 134.5, 134.4, 133.9, 129.4, 129.3, 129.2, 128.0, 127.8, 127.0, 126.93, 126.91, 126.3, 126.0, 125.9, 121.08, 121.05, 120.4, 120.2, 116.01, 115.98, 70.1, 69.83, 69.81, 69.7, 69.6, 69.45, 69.42, 64.73, 64.72, 57.2, 53.6, 50.2, 46.0, 44.0, 38.85, 38.82, 35.22, 35.16, 32.8, 32.4, 31.8, 30.3, 25.5, 25.4, 25.1, 24.9, 21.33, 21.27, 20.7. IR (film, cm−1) νmax 3423, 3307, 3118, 3056, 3006, 2931, 2858, 2107, 1731, 1651, 1531, 1488, 1467, 1453, 1412, 1320, 1286, 1253, 1185, 1136, 1020, 997, 920, 899, 813, 755, 665, 643, 613, 572, 558, 513. ESI-HRMS m/z 745.3668 [M + Na]+ (calcd. for C41H50N6NaO6 745.3690).
3.8. N′-Cyclohexyl-N-[2-(2-{2-[4-(7-hydroxy-4-methyl-2-oxo-2H-chromen-3-yl)-1H-1,2,3-triazol-1-yl]ethoxy}ethoxy)ethyl]-N′-({4-[6-(4-methylphenyl)-2H-chromene-3-amido]phenyl}methyl)pentanediamide (2b)
(1) To a solution of 12 (200 mg, 0.28 mmol) and 5 (72 mg, 0.29 mmol) in toluene (600 µL) were added CuI (79 mg, 0.41 mmol) and DIPEA (120 µL, 0.69 mmol). The reaction mixture was stirred at room temperature for 60 h, diluted with CH2Cl2 and NH4Cl aq. The aqueous layer was extracted with CH2Cl2, and the combined organic layer was washed with brine, dried over MgSO4, and concentrated in vacuo. The residue was purified by column chromatography (CHCl3/MeOH = 100:0–98:2) to give triazole (12a) (220 mg, 0.23 mmol, 82%) as a yellow oil. 1H-NMR (CDCl3, 600 MHz) δ 9.26 (m, 1H), 8.18 (m, 1H), 7.49 (m, 3H), 7.25 (m, 4H), 7.11 (s, 1H), 7.03 (d, J = 6.0 Hz, 2H), 6.96 (m, 2H), 6.85 (d, J = 9.0 Hz, 1H), 6.75 (m, 3H), 5.07 (m, 2H), 4.95 (s, 2H), 4.43–3.54 (m, 5H), 3.75 (m, 2H), 3.46–3.23 (m, 11H), 2.56 (m, 3H), 2.43–2.09 (m, 4H), 2.21 (s, 3H), 1.87 (m, 2H), 1.61–1.42 (m, 5H), 1.28–1.10 (m, 4H), 0.90 (m, 1H). 13C-NMR (CDCl3, 150 MHz) δ 172.7, 172.5, 172.2, 163.3, 163.2, 160.2, 160.1, 159.5, 153.5, 152.9, 149.53, 149.50, 140.5, 136.9, 136.51, 136.49, 136.3, 136.14, 136.11, 135.0, 134.1, 134.0, 133.7, 129.0, 127.8, 127.6, 126.8, 126.7, 126.3, 126.1, 126.0, 125.7, 125.6, 120.9, 120.8, 120.1, 119.9, 115.72, 115.69, 114.5, 113.2, 113.00, 112.98, 102.61, 102.59, 93.8, 69.9, 69.7, 69.6, 69.4, 68.7, 64.5, 57.0, 55.8, 53.3, 49.6, 45.8, 43.8, 38.8, 38.7, 35.0, 32.7, 32.3, 31.6, 30.2, 25.34, 25.28, 24.9, 24.7, 21.25, 21.22, 20.5, 16.4. IR (film, cm−1) νmax 3320, 3190, 3123, 3056, 3006, 2932, 2858, 1709, 1659, 1616, 1578, 1530, 1516, 1488, 1467, 1453, 1412, 1385, 1337, 1320, 1279, 1254, 1221, 1143, 1073, 1019, 998, 970, 924, 814, 754, 711, 692, 665, 612, 512. ESI-HRMS m/z 989.4419 [M + Na]+ (calcd. for C55H62N6NaO10 989.4425).
(2) Triazole (12a) (270 mg, 0.28 mmol) was added to 50% TFA/CH2Cl2 (2.00 mL) on ice. The reaction mixture was stirred at room temperature for 30 min, diluted with CH2Cl2 and NaHCO3 aq. on ice. The aqueous layer was extracted with CH2Cl2, and the combined organic layer was washed with brine, dried over MgSO4, and concentrated in vacuo. The residue was purified by column chromatography (CHCl3/MeOH = 100:0–97:3) to give 2b (198 mg, 0.21 mmol, 77%) as a yellow oil. 1H-NMR (CDCl3, 600 MHz) δ 10.24 (m, 1H), 9.06 (m, 1H), 8.22 (m, 1H), 7.50 (m, 2H), 7.43 (m, 1H), 7.34 (m, 4H), 7.21 (m, 1H), 7.14 (d, J = 8.4 Hz, 2H), 7.02 (m, 3H), 6.80 (m, 2H), 6.67 (s, 1H), 5.04 (m, 2H), 4.47–3.63 (m, 5H), 3.80 (m, 2H), 3.52–3.33 (m, 8H), 2.58 (s, 3H), 2.52–2.20 (m, 4H), 2.31 (s, 3H), 1.96 (m, 2H), 1.60 (m, 5H), 1.36–1.13 (m, 4H), 0.90 (m, 1H). 13C-NMR (CDCl3, 150 MHz) δ: 173.4, 173.3, 173.2, 173.0, 163.70, 163.68, 161.21, 161.18, 161.15, 161.1, 153.9, 153.6, 150.9, 141.0, 136.9, 136.6, 136.2, 135.0, 134.6, 134.5, 134.0, 129.6, 129.5, 129.4, 128.3, 128.1, 127.0, 126.8, 126.7, 126.6, 126.5, 126.44, 126.38, 126.2, 126.0, 121.2, 121.1, 120.8, 120.6, 116.1, 113.7, 113.0, 111.8, 102.51, 102.45, 70.30, 70.25, 70.0, 69.9, 69.7, 69.0, 64.9, 64.8, 57.5, 53.9, 50.0, 46.2, 44.5, 39.3, 35.39, 35.35, 33.1, 32.6, 31.8, 30.5, 25.6, 25.5, 25.2, 25.0, 21.62, 21.58, 16.7. IR (film, cm−1) νmax 3306, 3011, 2932, 2858, 1698, 1650, 1614, 1601, 1583, 1530, 1512, 1487, 1453, 1412, 1384, 1320, 1287, 1251, 1216, 1189, 1131, 1077, 1022, 982, 932, 894, 853, 814, 755, 687, 666, 612, 511. ESI-HRMS m/z: 945.4151 [M + Na]+ (calcd. for C53H58N6NaO9 945.4163).
3.9. Tert-Butyl N-{2-[2-(2-{4-[Cyclohexyl({4-[6-(4-methylphenyl)-2H-chromene-3-amido]phenyl}methyl)carbamoyl]butanamido}ethoxy)ethoxy]ethyl}carbamate (13)
(1) To a solution of 11 (400 mg, 0.88 mmol) in MeCN (3.00 mL) were added TEA (616 µL, 4.42 mmol) and glutaric anhydride (303 mg, 2.66 mmol). The reaction mixture was stirred at room temperature for 80 min, then glutaric anhydride (202 mg, 1.77 mmol) was added to the mixture. The mixture was stirred at room temperature for 70 min, concentrated in vacuo, and diluted with AcOEt and 1M HCl. The aqueous layer was extracted with AcOEt and the combined organic layer was washed with brine, dried over MgSO4, and concentrated in vacuo. The residue was purified by column chromatography (CHCl3/MeOH = 95:5) to give carboxylic acid (11a) (382 mg, 0.67 mmol, 76%) as a yellow oil. 1H-NMR (CDCl3, 500 MHz) δ 10.23 (s, 1H), 9.89 (m, 1H), 7.51 (m, 2H), 7.40 (m, 3H), 7.30 (m, 1H), 7.24 (m, 1H), 7.19 (d, J = 7.0 Hz, 2H), 7.06 (m, 2H), 6.88 (d, J = 8.5 Hz, 1H), 5.05 (s, 2H), 4.41 (m, 3H), 2.45 (m, 2H), 2.36 (s, 3H), 2.28 (m, 2H), 1.97 (m, 2H), 1.63 (m, 5H), 1.38–1.15 (m, 4H), 0.96 (m, 1H). 13C-NMR (CDCl3, 125 MHz) δ 177.3, 177.2, 173.6, 173.0, 163.9, 163.7, 154.0, 137.1, 137.0, 136.9, 136.7, 136.6, 136.3, 135.1, 134.7, 134.0, 129.72, 129.65, 129.4, 128.4, 128.2, 127.1, 127.0, 126.9, 126.5, 126.3, 126.1, 121.17 121.14, 120.9, 120.6, 116.22, 116.18, 64.85, 64.82, 57.6, 53.9, 46.2, 44.4, 33.1, 32.9, 32.7, 32.5, 31.8, 30.5, 25.7, 25.5, 25.2, 25.0, 20.9, 20.6, 20.4. IR (film, cm−1) νmax 3296, 3191, 3119, 3017, 2932, 2856, 1709, 1651, 1600, 1530, 1514, 1487, 1469, 1450, 1412, 1320, 1286, 1251, 1216, 1194, 1138, 1019, 1003, 914, 812, 755, 666. ESI-HRMS m/z: 589.2693 [M + Na]+ (calcd. for C35H38N2NaO5 589.2678).
(2) To a solution of carboxylic acid (11a) (190 mg, 0.34 mmol) in CH2Cl2 (0.50 mL) were added DIPEA (292 µL, 1.68 mmol), WSC•HCl (129 mg, 0.67 mmol), HOBt•H2O (103 mg, 0.67 mmol), and a solution of 7b (108 mg, 0.43 mmol) in CH2Cl2 (0.20 mL). The reaction mixture was stirred at room temperature for 14 h, diluted with CH2Cl2 and NaCl aq. The aqueous layer was extracted with CH2Cl2, and the combined organic layer was washed with brine, dried over MgSO4, and concentrated in vacuo. The residue was purified by column chromatography (CHCl3/MeOH = 100:0–98:2) to give 13 (241 mg, 0.30 mmol, 90%) as a yellow oil. 1H-NMR (CDCl3, 600 MHz) δ 8.79 (m, 1H), 7.53 (m, 2H), 7.40 (m, 3H), 7.29 (m, 1H), 7.27 (s, 1H), 7.20 (d, J = 7.8 Hz, 2H), 7.09 (m, 2H), 6.89 (m, 1H), 6.47 (m, 1H), 5.18 (s, 1H), 5.07 (s, 2H), 4.49–3.62 (m, 3H), 3.55–3.23 (m, 12H), 2.50–2.13 (m, 4H), 2.36 (s, 3H), 2.01–1.86 (m, 2H), 1.74–1.55 (m, 5H), 1.42–1.19 (m, 13H), 0.99 (m, 1H). 13C-NMR (CDCl3, 150 MHz) δ 173.2, 172.71, 172.65, 163.6, 163.5, 156.0, 154.0, 137.2, 137.1, 137.0, 136.74, 136.70, 136.4, 135.5, 134.80, 134.76, 134.2, 129.8, 129.7, 129.4, 128.0, 127.8, 127.3, 127.2, 126.5, 126.3, 126.1, 121.21, 121.17, 120.5, 120.3, 116.3, 116.2, 79.2, 70.1, 70.0, 69.72, 69.67, 65.0, 64.9, 57.5, 53.8, 46.2, 44.3, 40.2, 39.1, 39.0, 35.6, 35.5, 32.9, 32.5, 32.0, 30.6, 28.3, 25.8, 25.7, 25.3, 25.1, 21.6, 21.5, 21.0. IR (film, cm−1) νmax 3319, 3002, 2975, 2932, 2859, 1695, 1652, 1532, 1488, 1453, 1412, 1390, 1365, 1320, 1283, 1252, 1173, 1136, 1109, 1020, 1006, 921, 858, 813, 755, 666, 612, 511. ESI-HRMS m/z 819.4286 [M + Na]+ (calcd. for C46H60N4NaO8 819.4309).
3.10. N′-Cyclohexyl-N′-({4-[6-(4-methylphenyl)-2H-chromene-3-amido] phenyl}methyl)carbamoyl]butanamido-N′-(ethoxy)ethoxy]ethyl}carbamoyl)ethyl]-2,2-difluoro-4,6-dimethyl-1λ⁵,3-diaza-2-boratricyclo [7.3.0.03,7]dodeca-1(12),4,6,8,10-pentaen-1-ylium-2-uide (2c)
(1) To a solution of 13 (1.25 g, 1.57 mmol) in CH2Cl2 (27.0 mL) was added TFA (3.00 mL) on ice. The reaction mixture was stirred at room temperature for 2 h, diluted with CH2Cl2 and an excess amount of NaHCO3 aq. on ice. The aqueous layer was extracted with CH2Cl2, and the combined organic layer was washed with brine, dried over MgSO4, and concentrated in vacuo to give crude amine (13a).
(2) To a solution of 6 (37 mg, 0.13 mmol) in CH2Cl2 (200 µL) were added DIPEA (110 µL, 0.63 mmol), WSC•HCl (49 mg, 0.26 mmol), HOBt•H2O (39 mg, 0.25 mmol), and a solution of the residue (13a) (90 mg) in CH2Cl2 (500 µL). The reaction mixture was stirred at room temperature for 17 h, diluted with CH2Cl2 and H2O. The aqueous layer was extracted with CH2Cl2, and the combined organic layer was washed with brine, dried over MgSO4, and concentrated in vacuo. The residue was purified by column chromatography (CHCl3/MeOH = 100:0–97:3) to give 2c (85 mg, 87.5 µmol, 68%, 2 steps) as a red oil. 1H-NMR (CDCl3, 600 MHz) δ 8.93–8.73 (m, 1H), 7.59–7.47 (m, 2H), 7.38 (m, 3H), 7.26 (m, 1H), 7.22 (m, 1H), 7.19 (d, J = 7.2 Hz, 2H), 7.07 (m, 2H), 6.99 (m, 1H), 6.87 (m, 1H), 6.76 (m, 1H), 6.47 (m, 2H), 6.16 (m, 1H), 6.02 (m, 1H), 5.05 (m, 2H), 4.47–3.61 (m, 3H), 3.41 (m, 12H), 3.23 (m, 2H), 2.60–2.10 (m, 6H), 2.47 (m, 3H), 2.34 (s, 3H), 2.16 (m, 3H), 1.99–1.84 (m, 2H), 1.73–1.54 (m, 5H), 1.38–1.17 (m, 4H), 0.98 (m, 1H) ppm. 13C-NMR (CDCl3, 150 MHz) δ 173.5, 173.1, 172.67, 172.65, 172.5, 172.2, 171.9, 171.8, 171.7, 163.5, 163.4, 159.9, 159.8, 157.5, 157.3, 153.99, 153.96, 143.74, 143.67, 137.10, 137.07, 137.0, 136.7, 136.6, 136.4, 135.3, 134.91, 134.88, 134.7, 134.6, 134.2, 133.2, 129.7, 129.6, 129.4, 128.13, 128.10, 128.0, 127.8, 127.2, 127.11, 127.07, 126.5, 126.3, 126.1, 123.64, 123.60, 121.2, 120.5, 120.3, 117.00, 116.96, 116.20, 116.15, 70.03, 69.98, 69.60, 69.56, 64.92, 64.90, 57.4, 53.7, 46.1, 44.2, 39.1, 39.01, 38.95, 35.53, 35.48, 35.46, 35.2, 32.93, 32.89, 32.4, 31.9, 30.6, 25.7, 25.6, 25.3, 25.0, 24.6, 24.5, 21.5, 21.4, 20.9, 14.8, 11.1. IR (film, cm−1) νmax 3413, 3307, 3056, 3006, 2931, 2858, 1721, 1651, 1605, 1530, 1488, 1443, 1412, 1373, 1321, 1252, 1216, 1194, 1175, 1136, 1087, 1064, 1019, 1000, 975, 910, 813, 754, 666, 612, 590, 512. ESI-HRMS m/z 993.4866 [M + Na]+ (calcd. for C55H65BF2N6NaO7 993.4874).
3.11. 12-(2-{[(1S)-3-Carboxy-1-({2-[2-(2-{4-[cyclohexyl({4-[6-(4-methylphenyl)-2H-chromene-3-amido]phenyl}methyl)carbamoyl]butanamido}ethoxy)ethoxy]ethyl} carbamoyl)propyl]-carbamoyl}ethyl)-2,2-difluoro-4,6-dimethyl-1λ⁵,3-diaza-2-boratricyclo [7.3.0.03,⁷]dodeca-1(12),4,6,8,10-pentaen-1-ylium-2-uide (2d)
(1) To a solution of 13 (1.25 g, 1.57 mmol) in CH2Cl2 (27.0 mL) was added TFA (3.0 mL) on ice. The reaction mixture was stirred at room temperature for 2 h, diluted with CH2Cl2 and 1 M NaHCO3 aq. on ice. The aqueous layer was extracted with CH2Cl2, and the combined organic layer was washed with brine, dried over MgSO4, and concentrated in vacuo to give activated aster (6b).
(2) To a solution of 6a (5.0 mg, 10.5 µmol) in DMF (200 µL) were added DIPEA (9 µL, 51.7 µmol), WSC•HCl (4.0 mg, 20.9 µmol), HOBt•H2O (3.2 mg, 20.9 µmol), and a solution of the residue (6b) (8.0 mg) in DMF (200 µL). The reaction mixture was stirred at room temperature for 80 min, then a solution of the residue (6b) (5.0 mg) in DMF (100 µL) was added to the mixture. The mixture was stirred at room temperature for 40 min, diluted with AcOEt and NH4Cl aq. The aqueous layer was extracted with AcOEt and the combined organic layer was washed with brine, dried over MgSO4, and concentrated in vacuo. The residue was purified by column chromatography (CHCl3/MeOH = 100:0–96:4) to give ester (14) (7.0 mg, 6.05 µmol, 58%, 2 steps) as a red oil. 1H-NMR (CDCl3, 600 MHz) δ 8.60 (m, 1H), 7.54 (m, 2H), 7.40 (m, 3H), 7.23 (m, 4H), 7.10 (m, 3H), 6.99 (m, 1H), 6.83 (m, 1H), 6.88 (m, 1H), 6.81 (m, 2H), 6.17 (m, 1H), 6.02 (m, 1H), 5.06 (m, 2H), 4.49–3.64 (m, 4H), 3.60–3.29 (m, 12H), 3.21 (m, 2H), 2.60 (m, 3H), 2.48 (m, 3H), 2.37 (s, 3H), 2.31–2.15 (m, 8H), 2.04–1.77 (m, 4H), 1.75–1.56 (m, 5H), 1.40–1.19 (m, 13H), 1.00 (m, 1H). 13C-NMR (CDCl3, 150 MHz) δ 173.2, 172.95, 172.91, 172.8, 172.7, 172.5, 171.91, 171.86, 171.33, 171.27, 163.5, 163.4, 160.3, 160.2, 156.9, 156.8, 154.03, 154.01, 144.0, 143.9, 137.13, 137.09, 137.0, 136.75, 136.70, 136.4, 135.3, 135.1, 135.0, 134.75, 134.68, 134.3, 133.2, 129.7, 129.6, 129.5, 128.04, 127.99, 127.8, 127.23, 127.18, 127.0, 126.6, 126.3, 126.2, 123.71, 123.68, 121.20, 121.16, 120.5, 120.4, 120.3, 116.9, 116.3, 116.2, 80.7, 80.6, 70.14, 70.12, 70.06, 69.73, 69.70, 69.4, 64.9, 57.5, 53.7, 52.5, 46.2, 44.4, 39.2, 39.12, 39.07, 35.63, 35.58, 35.2, 35.1, 33.0, 32.5, 31.9, 31.5, 30.6, 28.0, 27.4, 25.8, 25.7, 25.4, 25.1, 24.4, 21.7, 21.5, 21.0, 14.8, 11.2. IR (film, cm−1) νmax 3300, 3006, 2975, 2932, 2858, 1724, 1651, 1606, 1530, 1488, 1448, 1412, 1367, 1320, 1252, 1216, 1174, 1136, 1087, 1064, 1019, 1000, 974, 910, 813, 754, 666, 512. ESI-HRMS m/z 1178.5929 [M + Na]+ (calcd. for C64H80BF2N7NaO10 1178.5925). [α]D28 −60.0 (c 0.1, CHCl3).
(3) 4 N HCl/AcOEt (0.30 mL) was added to ester (14) (3.0 mg, 2.59 µmol) on ice and the reaction mixture was stirred at room temperature for 2 h and concentrated in vacuo. The residue was purified by column chromatography (CHCl3/MeOH = 95:5) to give 2d (2.1 mg, 1.91 µmol, 74%) as a red oil. 1H-NMR (CDCl3, 600 MHz) δ 8.68 (m, 1H), 7.54 (m, 2H), 7.40 (m, 3H), 7.23 (m, 5H), 7.06 (m, 4H), 6.87 (m, 2H), 6.76 (m, 1H), 6.15 (m, 1H), 6.03 (m, 1H), 5.06 (m, 2H), 4.57–3.65 (m, 4H), 3.55–3.27 (m, 12H), 3.21 (t, J = 7.2 Hz, 2H), 2.66–2.50 (m, 3H), 2.48 (m, 3H), 2.40–2.12 (m, 5H), 2.37 (s, 3H), 2.16 (m, 3H), 2.05–1.56 (m, 9H), 1.44–1.19 (m, 4H), 1.00 (m, 1H). 13C- NMR (CDCl3, 150 MHz) δ 175.24, 175.16, 174.0, 173.44, 173.36, 173.2, 172.2, 172.1, 171.40, 171.36, 163.55, 163.51, 160.29, 160.25, 156.9, 156.8, 156.5, 154.0, 143.9, 137.2, 137.1, 137.0, 136.8, 136.7, 136.5, 135.1, 134.9, 134.8, 134.7, 134.0, 133.2, 129.8, 129.7, 129.49, 129.47, 128.2, 128.1, 128.0, 127.9, 127.21, 127.18, 127.0, 126.7, 126.4, 126.3, 123.8, 121.25, 121.18, 120.6, 120.5, 120.4, 116.9, 116.3, 116.2, 70.2, 70.13, 70.09, 69.9, 69.8, 69.3, 64.97, 64.95, 57.7, 54.0, 52.21, 52.17, 46.3, 44.6, 39.3, 39.19, 39.15, 35.5, 35.4, 35.1, 33.1, 32.4, 31.9, 31.8, 30.6, 30.0, 29.8, 29.6, 27.9, 27.8, 25.74, 25.66, 25.3, 25.1, 24.44, 24.39, 21.7, 21.6, 21.0, 14.9, 11.2. IR (film, cm−1) νmax 3298, 3006, 2932, 2858, 1720, 1650, 1606, 1530, 1488, 1445, 1412, 1376, 1321, 1252, 1216, 1175, 1137, 1087, 1063, 1017, 999, 974, 910, 813, 754, 665, 512. ESI-HRMS m/z 1122.5288 [M + Na]+ (calcd. for C60H72BF2N7NaO10 1122.5299). [α]D28 −112.0 (c 0.1, CHCl3).
3.12. 12-[2-({2-[2-(2-Azidoethoxy)ethoxy]ethyl}carbamoyl)ethyl]-2,2-difluoro-4,6-dimethyl-1λ⁵,3-diaza-2-boratricyclo [7.3.0.03,⁷]dodeca-1(12),4,6,8,10-pentaen-1-ylium-2-uide (15)
To a solution of BODIPY FL propionic acid (6) (80 mg, 0.27 mmol) in DMF (1.0 mL) was added DIPEA (238 µL, 1.37 mmol), WSC•HCl (105 mg, 0.55 mmol), HOBt•H2O (84 mg, 0.55 mmol), and 1-(2-aminoethoxy)-2-(2-azidoethoxy)ethane (7a) (95 mg, 0.55 mmol) at room temperature. After 3 h, the mixture was added to AcOEt and H2O. The organic layer was separated, washed with brine, dried over MgSO4, and concentrated in vacuo. The residue was purified with silica gel column chromatography (CHCl3/MeOH = 97:3) to give 12-[2-({2-[2-(2-azidoethoxy)ethoxy]ethyl}carbamoyl)ethyl]-2,2-difluoro-4,6-dimethyl-1λ5,3-diaza-2-boratricyclo [7.3.0.03,7]dodeca-1(12),4,6,8,10-pentaen-1-ylium-2-uide (15) (70 mg, 0.16 mmol, 57%) as a red oil. 1H-NMR (CDCl3, 600 MHz) δ 7.06 (s, 1H), 6.86 (d, J = 4.2 Hz, 1H), 6.27 (d, J = 3.6 Hz, 1H), 6.09 (m, 2H), 3.63 (t, J = 4.8 Hz, 2H), 3.60–3.56 (m, 4H), 3.50 (t, J = 4.8 Hz, 2H), 3.43–3.40 (m, 2H), 3.34 (t, J = 4.8 Hz, 2H), 3.26 (t, J = 7.5 Hz, 2H), 2.61 (t, J = 7.5 Hz, 2H), 2.54 (s, 3H), 2.23 (s, 3H). 13C-NMR (CDCl3, 150 MHz) δ: 171.6, 160.0, 157.6, 143.7, 135.0, 133.3, 128.2, 123.7, 120.3, 117.4, 70.4, 70.2, 70.0, 69.8, 50.5, 39.1, 35.8, 24.7, 14.8, 11.2. IR (film, cm−1) νmax 3418, 3311, 3096, 3070, 2924, 2870, 2108, 1656, 1606, 1529, 1488, 1442, 1345, 1305, 1252, 1174, 1136, 1185, 973, 933, 817, 750, 666. ESI-HRMS m/z 471.2132 [M + Na]+ (calcd. for C20H27BF2N6NaO3 471.2103).
3.13. 12-{2-[(2-{2-[2-(4-Carboxybutanamido)ethoxy]ethoxy}ethyl)carbamoyl]ethyl}-2,2-difluoro-4,6-dimethyl-1λ5,3-diaza-2-boratricyclo [7.3.0.03,7]dodeca-1(12),4,6,8,10-pentaen-1-ylium-2-uide (16)
To a solution of 12-[2-({2-[2-(2-Azidoethoxy)ethoxy]ethyl}carbamoyl)ethyl]-2,2-difluoro-4,6-dimethyl-1λ5,3-diaza-2-boratricyclo [7.3.0.03,7]dodeca-1(12),4,6,8,10-pentaen-1-ylium-2-uide (15) (70 mg, 0.16 mmol) in MeOH (520 µL) was added glutaric anhydride (53 mg, 0.46 mmol) and 10% Pd/C (4.0 mg). The mixture was vigorously stirred at room temperature in H2 atmosphere. After 1 h, to the mixture was added glutaric anhydride (36 mg, 0.32 mmol) and Et3N (150 µL, 1.08 mmol) and stirred at room temperature. After 10 min, the mixture was filtrated with a celite pad and concentrated in vacuo. The residue was added to H2O, 1M HCl (adjusted to pH 2), and AcOEt. The organic layer was separated and washed with brine, dried over MgSO4, and concentrated in vacuo. The residue was purified with silica gel column chromatography (CHCl3/MeOH = 90:10) to give 12-{2-[(2-{2-[2-(4-Carboxybutanamido)ethoxy]ethoxy}ethyl)carbamoyl]ethyl}-2,2-difluoro-4,6-dimethyl-1λ5,3-diaza-2-boratricyclo [7.3.0.03,7]dodeca-1(12),4,6,8,10-pentaen-1-ylium-2-uide (16) (63 mg, 0.12 mmol, 75%) as a red oil. 1H-NMR (CDCl3, 600 MHz) δ: 7.07 (s, 1H), 6.86 (d, J = 4.2 Hz, 1H), 6.59–6.54 (m, 2H), 6.27 (d, J = 3.6 Hz, 1H), 6.10 (s, 1H), 3.54 (m, 4H), 3.51 (t, J = 5.4 Hz, 2H), 3.49 (t, J = 5.4 Hz, 2H), 3.40 (m, 4H), 3.25 (t, J = 7.5 Hz, 2H), 2.63 (t, J = 7.5 Hz, 2H), 2.52 (s, 3H), 2.35 (t, J = 6.6 Hz, 2H), 2.25 (t, J = 7.2 Hz, 2H), 2.23 (s, 3H), 1.90 (quin, J = 7.2 Hz, 2H). 13C-NMR (CDCl3, 150 MHz) δ 175.9, 172.9, 172.4, 160.1, 157.4, 143.9, 135.0, 133.3, 128.2, 123.8, 120.4, 117.3, 70.1, 70.0, 69.8, 69.7, 39.2, 39.1, 35.6, 35.0, 32.7, 24.7, 20.7, 14.9, 11.2. IR (film, cm−1) νmax 3306, 3094, 3307, 2932, 2871, 1725, 1649, 1607, 1530, 1488, 1442, 1347, 1253, 1175, 1137, 1086, 973, 899, 812, 752, 666. ESI-HRMS m/z 559.2509 [M + Na]+ (calcd. for C25H35BF2N4NaO6 559.2515).
3.14. 12-(2-{[2-(2-{2-[4-(Diethylcarbamoyl)butanamido]ethoxy}ethoxy)ethyl]-carbamoyl}ethyl)-2,2-difluoro-4,6-dimethyl-1λ5,3-diaza-2-boratricyclo [7.3.0.03,7]-dodeca-1(12),4,6,8,10-pentaen-1-ylium-2-uide (17)
To a solution of 12-{2-[(2-{2-[2-(4-Carboxybutanamido)ethoxy]ethoxy}ethyl)-carbamoyl]ethyl}-2,2-difluoro-4,6-dimethyl-1λ5,3-diaza-2-boratricyclo [7.3.0.03,7]-dodeca-1(12),4,6,8,10-pentaen-1-ylium-2-uide (16) (10.0 mg, 18.6 µmol) in MeCN (300 µL) was added DIPEA (16 µL, 91.9 µmol), WSC•HCl (7.0 mg, 36.5 µmol), HOBt•H2O (6.0 mg, 39.2 µmol), and Et2NH (4 µL, 38.7 µmol) and stirred at room temperature. After 1 h, the mixture was added AcOEt and H2O and the organic layer was separated. The organic layer was washed with brine, dried over MgSO4, and concentrated in vacuo. The residue was purified with silica gel column chromatography (CHCl3/MeOH = 95:5) to give 12-(2-{[2-(2-{2-[4-(Diethylcarbamoyl)butanamido]ethoxy}ethoxy)ethyl]-carbamoyl}ethyl)-2,2-difluoro-4,6-dimethyl-1λ5,3-diaza-2-boratricyclo [7.3.0.03,7]-dodeca-1(12),4,6,8,10-pentaen-1-ylium-2-uide (17) (6.0 mg, 10.1 µmol, 54%) as a red oil. 1H-NMR (CDCl3, 600 MHz) δ 7.08 (s, 1H), 6.87 (d, J = 3.6 Hz, 1H), 6.41 (t, J = 4.8 Hz, 1H), 6.38 (t, J = 4.8 Hz, 1H), 6.29 (d, J = 3.6 Hz, 1H), 6.11 (s, 1H), 3.56 (s, 4H), 3.52 (t, J = 5.4 Hz, 4H), 3.44–3.40 (m, 4H), 3.34 (q, J = 7.2 Hz, 2H), 3.28 (t, J = 7.8 Hz, 2H), 3.28 (q, J = 7.2 Hz, 2H), 2.63 (t, J = 7.2 Hz, 2H), 2.55 (s, 3H), 2.35 (t, J = 7.2 Hz, 2H), 2.25 (s, 3H), 2.24 (t, J = 7.2 Hz, 2H), 1.93 (quin, J = 7.2 Hz, 2H), 1.14 (t, J = 7.2 Hz, 3H), 1.08 (t, J = 7.2 Hz, 3H). 13C-NMR (CDCl3, 150 MHz) δ 172.8, 171.8, 171.6, 160.0, 157.8, 143.7, 135.0, 133.3, 128.3, 123.7, 120.3, 117.4, 70.20, 70.17, 69.9, 69.8, 41.9, 40.1, 39.2, 39.1, 35.8, 35.7, 31.9, 24.8, 21.5, 14.9, 14.3, 13.1, 11.3. IR (film, cm−1) νmax 3419, 3299, 3082, 2971, 2931, 2874, 1647, 1606, 1529, 1488, 1439, 1374, 1253, 1175, 1136, 1086, 973, 750, 666. ESI-HRMS m/z 614.3308 [M + Na]+ (calcd. for C29H44BF2N5NaO5 614.3301).
4. Cell Culture
K562 cells obtained from RIKEN Bio-Resource Center (Tsukuba, Japan) were cultured in RPMI-1640 with L-glutamine and phenol red supplemented with 10% fetal bovine serum, 1% (w/v) streptomycin/penicillin solution (26253-84, Nacalai tesque, Kyoto, Japan) and 1%NEAA in the presence of 5% CO2 in air at 37 °C. A 100 μL aliquot of K562 cells (5000 cells/mL) was added to a 96 well plate (TR5003; True Line, Los Angeles, CA, USA) and incubated in the presence of 5% CO2 in air at 37 °C. After 24 h, a 10 μL aliquot of corresponding synthetic probe (concentrations varying in the range of 5 mM–50 nM) was added to a each of the 96 wells and incubated for 24 h. A 10 μL WST-8 solution (mixture of WST-8 and 1-Methoxy PMS, Nacalai tesque, Kyoto, Japan) was added to each well and the incubation continued for 3 h. The visible absorbance at 450 nm and 630 nm as the reference wavelength of each well was quantified using a microplate reader (MTP-310, CORONA Electric Co., Ltd., Tokyo, Japan). HEK293 and HeLa cells obtained from RIKEN Bio-Resource Center (Tsukuba, Japan) were cultured in D-MEM (low glucose) with L-glutamine and phenol red (043-30085; FujifilmWako, Osaka, Japan), supplemented with 10% fetal bovine serum and 1% (w/v) streptomycin/penicillin solution (26253-84, Nacalai tesque, Japan) in the presence of 5% CO2 in air at 37 °C. A 100 μL aliquot of HEK293 cells (10,000 cells/mL) was added to a 96-well plate (TR5003; True Line, Los Angeles, CA, USA) and incubated in the presence of 5% CO2 in air at 37 °C. After 24 h, a 10 μL aliquot of corresponding synthetic probe (concentrations varying in the range of 5 mM–50 nM) was added to a each of the 96 wells and incubated for 24 h. A 10 μL WST-8 solution (mixture of WST-8 and 1-Methoxy PMS, Nacalai tesque, Kyoto, Japan) was added to each well and the incubation continued for 4 h. The visible absorbance at 450 nm and 630 nm as the reference wavelength of each well was quantified using a microplate reader (MTP-310, CORONA Electric Co., ltd., Tokyo, Japan).
Supplementary Materials
The following supporting information can be downloaded at https://www.mdpi.com/article/10.3390/molecules30122655/s1, Scheme S1. Synthesis of phenylpyran derivative (3), Scheme S2. Synthesis of aniline derivative (4), Scheme S3. Synthesis of coumarin derivative (5), Scheme S4. Synthesis of BODIPY-FL derivatives (6) and (6a), Scheme S5. Synthesis of PEG linker (7b), Figure S1. Chemical structures of the synthesized compounds. Experimental and 1H and 13C NMR data.
Author Contributions
H.K. and C.Y. conceived and designed the study. T.S., T.A., D.T. and M.O. conducted most of the experiments. H.K. and T.S. wrote the paper. All authors have read and agreed to the published version of the manuscript.
Funding
This work was supported in part by Grants-in-Aid for Scientific Research from the Japan Society for the Promotion of Science (JSPS) KAKENHI under grant number 22K19125.
Institutional Review Board Statement
Not applicable.
Informed Consent Statement
Not applicable.
Data Availability Statement
The data underlying this article are available in the article and in its online Supplementary Material.
Acknowledgments
We thank the YU-COE (S) program of Yamagata University. We thank Ryohei Yamaguchi and Yuki Chiba for the preliminary research.
Conflicts of Interest
The authors declare no conflicts of interest.
References
- Baba, M.; Nishimura, O.; Kanzaki, N.; Okamoto, M.; Sawada, H.; Iizawa, Y.; Shiraishi, M.; Aramaki, Y.; Okonogi, K.; Ogawa, Y.; et al. A small-molecule, nonpeptide CCR5 antagonist with highly potent and selective anti-HIV-1 activity. Proc. Natl. Acad. Sci. USA 1999, 96, 5698–5703. [Google Scholar] [CrossRef] [PubMed]
- Shiraishi, M.; Aramaki, Y.; Seto, M.; Imoto, H.; Nishikawa, Y.; Kanzaki, N.; Okamoto, M.; Sawada, H.; Nishimura, O.; Baba, M.; et al. Discovery of novel, potent, and selective small-molecules CCR5 antagonists as anti-HIV-1 agents: Synthesis and biological evaluation of anilide derivatives with a quaternary ammonium moiety. J. Med. Chem. 2000, 43, 2049–2063. [Google Scholar] [CrossRef] [PubMed]
- Ikemoto, T.; Nishiguchi, A.; Mitsudera, H.; Wakimasu, M.; Tomimatsu, K. Convenient efficient synthesis of TAK-779, a nonpeptide CCR5 antagonist: Development of preparation of various ammonium salts using trialkylphosphite and N-halogenosuccinimide. Tetrahedron 2001, 57, 1525–1529. [Google Scholar] [CrossRef]
- Chenov, A.S.; Rodionov, M.V.; Kazakon, V.A.; Ivanova, K.A.; Meshcheryakov, F.A.; Kudriaeva, A.A.; Gabibov, A.G.; Telegin, G.B.; Belogurov, A.A., Jr. CCR5/CXCR3 antagonist TAK-779 prevents diffuse alveolar damage of the lung in the murine model of the acute respiratory distress syndrome. Front. Pharmacol. 2024, 15, 1351655. [Google Scholar]
- Okafo, G.; Valdebenito, S.; Donoso, M.; Luu, R.; Ajasin, D.; Prideaux, B.; Gorantha, S.; Eugenin, E.A. Role of tunneling nanotube (TNT)-like structures during the early events of HIV-infection: Novel features of tissue compartmentalization and mechanism of HIV spread. J. Immunol. 2020, 205, 2726–2741. [Google Scholar] [CrossRef]
- Monickaraj, F.; Oruganti, S.R.; McGuire, P.; Das, A. A potential novel therapeutic target in diabetic retinopathy: A chemokine receptor (CCR2/CCR5) inhibitor reduces retinal vascular leakage in an animal model. Graefe’s Arch. Clin. Exp. Ophthalmol. 2021, 259, 93–100. [Google Scholar] [CrossRef]
- Choe, H.; Farzan, M.; Sun, Y.; Sullivan, N.; Rollins, B.; Ponath, P.D.; Wu, L.; MacKay, C.R.; LaRosa, G.; Newman, G.; et al. The beta-chemokine receptors CCR3 and CCR5 facilitate infection by primary HIV-1 isolates. Cell 1996, 85, 1135–1148. [Google Scholar] [CrossRef] [PubMed]
- Doranz, B.J.; Rucker, J.; Smyth, Y.; Samson, R.J.; Peiper, S.C.; Parmentier, M.; Collman, R.G.; Doms, R.W. A dual-tropic primary HIV-1 isolate that uses fusin and the beta-chemokine receptors CKR-5, CKR-3, and CKR-2b as fusion cofactors. Cell 1996, 85, 1149–1158. [Google Scholar] [CrossRef]
- LaBranche, C.C.; Galasso, G.; Moore, J.P.; Bolognesi, D.P.; Hirsch, M.S.; Hammer, S.M. HIV fusion and its inhibition. Antivir. Res. 2001, 50, 95–115. [Google Scholar] [CrossRef]
- Seibert, C.; Sakmar, T.P. Small-molecule antagonists of CCR5 and CXCR4: A promising new class anti-HIV-1 drugs. Curr. Pharm. Des. 2004, 10, 2041–2062. [Google Scholar] [CrossRef]
- Zhao, Q.; Ma, L.; Jiang, S.; Lu, H.; Liu, S.; He, Y.; Strick, N.; Neamati, N.; Debnath, K. Identification of N-phenyl-N’-(2,2,6,6-tetramethyl-piperidin-4-yl)-oxalamides as a new class of HIV-1 entry inhibitors that prevent gp120 binding to CD4. Virology 2005, 339, 213–225. [Google Scholar] [CrossRef] [PubMed]
- Dragic, T.; Trkola, A.; Thompson, D.A.D.; Cormier, E.G.; Kajumo, F.A.; Maxwell, E.; Lin, S.W.; Ying, W.; Smith, S.O.; Sakmar, T.P.; et al. A binding pocket for a small molecule inhibitor of HIV-1 entry within the transmembrane helices of CCR5. Proc. Natl. Acad. Sci. USA 2000, 97, 5639–5644. [Google Scholar] [CrossRef] [PubMed]
- Seibert, C.; Ying, W.; Gavrilov, S.; Tsamis, F.; Kuhmann, S.E.; Palani, A.; Tagat, J.R.; Clader, J.W.; McCombie, S.W.; Baroudy, B.M.; et al. Interaction of small molecule inhibitors of HIV-1 entry with CCR5. Virology 2006, 349, 41–45. [Google Scholar] [CrossRef]
- Maeda, K.; Das, D.; Ogata-Aoki, H.; Nakata, H.; Miyakawa, T.; Tojo, Y.; Norman, R.; Takaoka, Y.; Ding, J.; Arnold, G.F.; et al. Structural and molecular interactions of CCR5 inhibitors with CCR5. J. Biol. Chem. 2006, 281, 12688–12698. [Google Scholar] [CrossRef] [PubMed]
- Paterlini, M.G. Structure modeling of the chemokine receptor CCR5: Implications for ligand binding and selectivity. Biophys. J. 2002, 83, 3012–3031. [Google Scholar] [CrossRef]
- Konno, H.; Aimoto, S.; Smith, S.O.; Nosaka, K.; Akaji, K. Synthesis of [19, 35, 36-13C3]-labeled TAK779 as a molecular probe. Bioorg. Med. Chem. 2009, 17, 5769–5774. [Google Scholar] [CrossRef]
- Kikuchi, M.; Konno, H. Total synthesis of callipeltin B and M, peptidyl marine natural product. Org. Lett. 2014, 16, 4324–4327. [Google Scholar] [CrossRef]
- Kikuchi, M.; Nosaka, K.; Akaji, K.; Konno, H. Solid phase total synthesis of callipeltin E isolated marine sponge Latrunculia sp. Tetrahedron Lett. 2011, 52, 3872–3875. [Google Scholar] [CrossRef]
- Jayasuriya, H.; Herath, B.K.; Ondeyka, J.G.; Polishook, J.D.; Bills, G.F.; Domdrowski, A.W.; Springer, M.S.; Siciliano, S.; Malkowitz, L.; Sanchez, M.; et al. Isolation and structure of antagonists of chemokine receptor (CCR5). J. Nat. Prod. 2004, 67, 1036–1038. [Google Scholar] [CrossRef]
- Zhang, F.; Zaidi, S.; Haney, K.M.; Kellogg, G.E.; Zhang, Y. Regio- and stereoselective syntheses of the natural CCR5 antagonist anibamine and its three olefin isomers. J. Org. Chem. 2011, 76, 7945–7952. [Google Scholar] [CrossRef]
- Miyakoshi, T.; Konno, H. Improved synthesis of 2, 4, 6-trialkylpyridines from 1,5-diketoalkanes: Total synthesis of anibamine. Org. Biomol. Chem. 2019, 17, 2896–2905. [Google Scholar] [CrossRef]
- Qiu, Y.; Xu, X.; Guo, W.; Zhao, Y.; Su, J.; Chen, J. Mesoporous hydroxyapatite nanoparticles mediate the release and bioactivity of BMP-2 for enhanced bone regeneration. ACS Biomater. Sci. Eng. 2020, 13, 2323–2335. [Google Scholar] [CrossRef]
- Pan, Y.; Chen, M.; Pan, L.; Tong, Q.; Cheng, Z.; Lin, S.; Pan, R.; Chen, M.; Zhi, Y. Shisandra decoction alleviates Parkinson’s disease symptoms in a mouse model through PI3K/AKT/mTOR signaling pathway. Neuropsy. Dis. Treat. 2024, 20, 2011–2027. [Google Scholar] [CrossRef] [PubMed]
- Diaz Soto, M.P.; Lim, J.K. Evaluating the therapeutic potential of cenicriviroc in the treatment of nonalcoholic steatohepatitis with fibrosis: A brief report on emerging data. Hepatic Med. 2020, 12, 115–123. [Google Scholar] [CrossRef] [PubMed]
- Madan, U.; Verma, B.; Awasthi, A. Cenicriviroc, a CCR2/CCR5 antagonist, promotes the generation of type 1 regulatory T cells. Eur. J. Immunol. 2024, 54, e2350847. [Google Scholar] [CrossRef] [PubMed]
- Tene, O.; Molad, J.; Rotschild, O.; Alpernas, A.; Hawwari, M.; Seyman, E.; Giladi, N.; Halley, H.; Assayag, E.B. Blocking CCR5 activity by maraviroc augmentation in post-stroke depression: A proof-of-concept clinical trial. BMC Neurol. 2024, 24, 190. [Google Scholar] [CrossRef]
- Stem, A.M.; Yang, Y.; Jin, S.; Yamashita, K.; Meunier, A.L.; Lin, W.; Cai, Y.; Ericsson, M.; Liu, L.; Goedert, M.; et al. Abundant Ab fibrils in ultracentrifugal supernatants of aqueous extracts from Alzheimer’s disease brains. Neuron 2023, 111, 2012–2020. [Google Scholar]
- Faridoon, H.; Olomola, T.O.; Tukulula, M.; Klein, R.; Kaye, P.T. Strong base- or acid-mediated chemoselectivity shifts in the synthesis of 2H-chromene or coumarin derivatives from common Baylis-Hillman adducts. Tetrahedron 2015, 71, 4868–4873. [Google Scholar] [CrossRef]
- More, K.N.; Lee, J.Y.; Kim, D.; Cho, N.; Pyo, A.; Yun, M.; Kim, H.S.; Kim, H.; Ko, H.; Park, J.; et al. Acetazolamide-based [18F]-PET tracer: In Vivo validation of carbonic anhydrase IX as a sole target for imaging of CA-IX expressing hypoxic solid tumors. Bioorg. Med. Chem. Lett. 2018, 28, 915–921. [Google Scholar] [CrossRef]
- Du, K.; Thorarinsdottir, A.E.; Harris, T.D. Selective binding and quantitation of calcium with a cobalt-based magnetic resonance probe. J. Am. Chem. Soc. 2019, 141, 7163–7172. [Google Scholar] [CrossRef]
- Russell, A.; Frye, J.R. 2,6-Dihydroxyacetophenone. Org. Synth. 1941, 21, 22–27. [Google Scholar]
- Wang, Q.; Chena, Y.; Lia, G.; Liua, Z.; Mac, J.; Liua, M.; Lia, D.; Hana, J.; Wang, B. Synthesis and evaluation of bifunctional 7-hydroxycoumarin platinum(IV) complexes as antitumors. Bioorg. Med. Chem. 2019, 27, 2112–2121. [Google Scholar] [CrossRef] [PubMed]
- Das, B.; Venkateswarlu, K.; Majhi, A.; Siddaiah, V.; Reddy, K.R. A facile nuclear bromination of phenols and anilines using NBS in the presence of ammonium acetate as a catalyst. J. Mol. Catal. A Chem. 2007, 267, 30–33. [Google Scholar] [CrossRef]
- Katoh, T.; Yoshikawa, M.; Yamamoto, T.; Arai, R.; Nii, N.; Tomata, Y.; Suzuki, S.; Koyama, R.; Negoro, N.; Yogo, T. Parallel fluorescent probe synthesis based on the large-scale preparation of BODIPY FL propionic acid. Bioorg. Med. Chem. Lett. 2017, 27, 1145–1148. [Google Scholar] [CrossRef]
- Kolb, H.C.; Finn, M.G.; Sharpless, K.B. Click chemistry: Diverse chemical function from a few good reactions. Angew. Chem. Int. Ed. 2001, 40, 2004–2021. [Google Scholar] [CrossRef]
- Manetsch, R.; Krasiński, A.; Radić, Z.; Raushel, J.; Taylor, P.; Sharpless, K.B.; Kolb, H.C. In situ click chemistry: Enzyme inhibitors made to their own specifications. J. Am. Chem. Soc. 2004, 126, 12809–12818. [Google Scholar] [CrossRef]
- Jiang, X.; Hao, X.; Jing, L.; Wu, L.; Kang, D.; Liu, X.; Zhang, P. Recent applications of click chemistry in drug discovery. Expert Opin. Drug Discov. 2019, 14, 779–789. [Google Scholar] [CrossRef] [PubMed]
- Kumar, G.S.; Lin, Q. Light-triggered click chemistry. Chem. Rev. 2021, 121, 6991–7031. [Google Scholar] [CrossRef]
- Luu, T.; Gristwood, K.; Knight, J.C.; Jörg, M. Click chemistry: Reaction rates and their suitability for biomedical applications. Bioconjug. Chem. 2024, 35, 715–731. [Google Scholar] [CrossRef]
- Wu, W.; Driessen, W.; Jiang, X. Oligo(ethylene glycol)-based thermosensitive dendrimers and their tumor accumulation and penetration. J. Am. Chem. Soc. 2014, 136, 3145–3155. [Google Scholar] [CrossRef]
- Lavis, L.D.; Raines, R.T. Bright ideas for chemical biology. ACS Chem. Biol. 2008, 3, 142–155. [Google Scholar] [CrossRef] [PubMed]
- Kim, J.-K.; Lee, E.; Shin, S.; Jeong, K.-w.; Lee, J.-Y.; Bae, S.-Y.; Kim, S.-Y.; Lee, J.; Kim, S.R.; Lee, D.G.; et al. Structure and function of papiliocin with antimicrobial and anti-inflammatory activities isolated from the swallowtail butterfly, papilio Xuthus. J. Biol. Chem. 2011, 286, 41296–41311. [Google Scholar] [CrossRef] [PubMed]
- Kikuchi, M.; Konno, H. Cytotoxic evaluation of natural and synthetic callipeltins: A revision of cytotoxicity of callipeltin B. Biosci. Biotechnol. Biochem. 2016, 80, 1066–1069. [Google Scholar] [CrossRef]
- Yang, C.-P.H.; Hoewitz, S.B. Taxol: The first microtube stabilizing agent. Int. J. Mol. Sci. 2017, 18, 1733. [Google Scholar] [CrossRef] [PubMed]
- Radakovic, A.; Boger, D.L. Ultra-potent vinblastine analogues improve on-target activity of the parent microtubulin-targeting compound. Bioorg. Med. Chem. Lett. 2019, 29, 1370–1374. [Google Scholar] [CrossRef]
- Huang, K.; Yan, M.; Zhang, H.; Xue, J.; Chen, J. A phthalocyanine-based photosensitizer for effectively combating triple negative breast cancer with enhanced photodynamic anticancer activity and immune response. Eur. J. Med. Chem. 2020, 241, 114614. [Google Scholar] [CrossRef]
- Zhang, C.; Zhao, M.; Wang, G.; Li, Y. Recent progress on microtubule degradation agents. J. Med. Chem. 2023, 66, 13354–13368. [Google Scholar] [CrossRef]
Disclaimer/Publisher’s Note: The statements, opinions and data contained in all publications are solely those of the individual author(s) and contributor(s) and not of MDPI and/or the editor(s). MDPI and/or the editor(s) disclaim responsibility for any injury to people or property resulting from any ideas, methods, instructions or products referred to in the content. |
© 2025 by the authors. Licensee MDPI, Basel, Switzerland. This article is an open access article distributed under the terms and conditions of the Creative Commons Attribution (CC BY) license (https://creativecommons.org/licenses/by/4.0/).










