Sign in to use this feature.

Years

Between: -

Subjects

remove_circle_outline
remove_circle_outline
remove_circle_outline
remove_circle_outline
remove_circle_outline
remove_circle_outline
remove_circle_outline
remove_circle_outline
remove_circle_outline

Journals

remove_circle_outline
remove_circle_outline
remove_circle_outline
remove_circle_outline

Article Types

Countries / Regions

remove_circle_outline
remove_circle_outline
remove_circle_outline

Search Results (561)

Search Parameters:
Keywords = k-ε turbulence model

Order results
Result details
Results per page
Select all
Export citation of selected articles as:
16 pages, 7027 KB  
Article
BPANS: A Turbulence Model That Spans the Speed Range from Subsonic to Supersonic Flows
by Gabriel Nastac, Noah Schwalb and Abdelkader Frendi
Aerospace 2026, 13(2), 119; https://doi.org/10.3390/aerospace13020119 - 26 Jan 2026
Abstract
Unsteady turbulent flows are present in most engineering applications of practical relevance. In aeronautics, these applications span the speed range from subsonic to hypersonic flows. Thus, it is important that our mathematical models and numerical techniques can represent the various flow regimes in [...] Read more.
Unsteady turbulent flows are present in most engineering applications of practical relevance. In aeronautics, these applications span the speed range from subsonic to hypersonic flows. Thus, it is important that our mathematical models and numerical techniques can represent the various flow regimes in a seamless way. The latter is the main motivation of the current paper, which extends the PANS turbulence model to compressible and high-speed flows. The new model, called BPANS-CC, blends the (k,ε) and (k,ω) versions of PANS. In addition, compressibility correction is added to the new model to expand its simulation range into the compressible high-speed flow regime. The new model was implemented in various CFD software, both academic and commercial. Several well-known benchmark problems were used to test the new model, and the results are in good agreement with experimental data. Full article
(This article belongs to the Special Issue Advancing Fluid Dynamics in Aerospace Applications)
Show Figures

Figure 1

21 pages, 4135 KB  
Article
Numerical Modeling of Wind-Induced Deformation in Eastern Red Cedar Tree Forms Using Fluid–Structure Interaction Analysis
by Ahmet Ayaz and Mahdi Tabatabaei Malazi
Symmetry 2026, 18(1), 203; https://doi.org/10.3390/sym18010203 - 21 Jan 2026
Viewed by 82
Abstract
This research aims to investigate wind-induced effects numerically in full-scale Eastern Red Cedar tree (ERCT) forms under various wind speeds. A total of 72 model cases were carefully analyzed for variations in crown lengths (CLs), canopy diameters (CDs), bole lengths (BLs), and trunk [...] Read more.
This research aims to investigate wind-induced effects numerically in full-scale Eastern Red Cedar tree (ERCT) forms under various wind speeds. A total of 72 model cases were carefully analyzed for variations in crown lengths (CLs), canopy diameters (CDs), bole lengths (BLs), and trunk diameters (TDs) at wind speeds ranging from 15 m/s to 30 m/s. The realizable k–ε turbulence model is employed to resolve the flow region and obtain drag force (FD), velocity, and pressure distributions within the computational fluid domain. The resulting aerodynamic loads are then transferred to ERCT models using a one-way fluid–structure interaction (one-way FSI) approach to predict deformation, stress, and strain in the solid zone. The accuracy of these findings was validated by comparing drag coefficient (CD) results with those from previously conducted studies. Research results reveal that wind speed and the geometric dimensions of the tree notably influence the FD, deformation, strain, and stress experienced by the tree. When wind speed rises from 15 to 30 m/s, the amount of FD, deformation, strain, and stress increases on the ERCT. The present research helps improve the understanding of tree patterns impacted by wind, which is essential for urban design and planning. It provides guidance on how to choose and arrange necessary real trees for efficient windbreaks and comfortable surroundings in life. Full article
(This article belongs to the Special Issue Symmetry in Computational Fluid Dynamics)
Show Figures

Figure 1

19 pages, 6334 KB  
Article
Supercavitating Bubble Dynamics near Free Surfaces and Solid Walls
by Ping Wei, Mingdeng Weng, Xiaobin Yang, Yiding Hu, Weige Liang and Shiyan Sun
Fluids 2026, 11(1), 28; https://doi.org/10.3390/fluids11010028 - 21 Jan 2026
Viewed by 65
Abstract
This study investigates the hydrodynamic characteristics of supercavitating flows near boundaries through numerical simulations, focusing on the influence of free surfaces and solid walls. A validated numerical framework combining the Realizable k-ε turbulence model with the VOF multiphase approach and Schnerr–Sauer cavitation model [...] Read more.
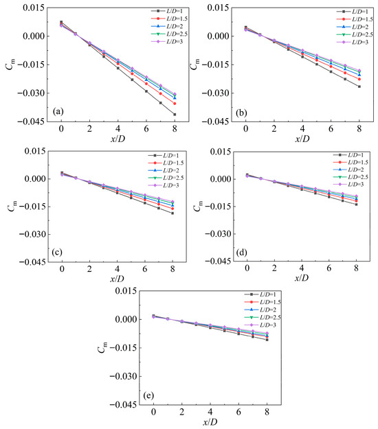
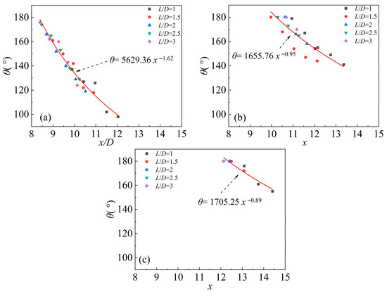
This study investigates the hydrodynamic characteristics of supercavitating flows near boundaries through numerical simulations, focusing on the influence of free surfaces and solid walls. A validated numerical framework combining the Realizable k-ε turbulence model with the VOF multiphase approach and Schnerr–Sauer cavitation model is employed to capture complex phase interfaces and turbulent cavitating flows. Systematic validation against existing experimental data and dedicated underwater launch tests confirms the reliability of the methodology. The results demonstrate significant boundary effects on supercavitation dynamics. Near a free surface, the cavity tail deflects away from the interface, whereas it bends toward the wall when in close proximity to a solid boundary. Simultaneous presence of both boundaries causes combined torsional deformation and deflection. The cavity interface exhibits progressive indentation toward the tail, with indentation angle following a power–law relationship to axial position. Boundary interactions create distinct effects: free surfaces suppress cavity elongation, whereas solid walls promote extension, with cavity length remaining bounded within predictable limits. A notable torque reversal phenomenon occurs at x=D from the cavitator tip, creating positive torque upstream (x < D) and negative torque downstream (x > D). Full article
(This article belongs to the Section Mathematical and Computational Fluid Mechanics)
Show Figures

Figure 1

24 pages, 9747 KB  
Article
Turbulent Flow Analysis of a Representative Low-Height Urban Landscape in Mexico
by Cecilia Ibarra-Hernández, Luis Hernández-García, Rodolfo Nájera-Sanchez, Enriqueta Arriaga-Gomez, Sergio Martínez-Delgadillo, Diana Medellín-Salazar and Alejandro Alonzo García
Fluids 2026, 11(1), 23; https://doi.org/10.3390/fluids11010023 - 16 Jan 2026
Viewed by 172
Abstract
This article analyzes the applications of computational fluid dynamics (CFD) in addressing the issue of flow patterns in a realistic urban landscape, specifically in the Metropolitan Area of Monterrey. CFD enables the simulation of physical phenomena such as turbulence, which is useful for [...] Read more.
This article analyzes the applications of computational fluid dynamics (CFD) in addressing the issue of flow patterns in a realistic urban landscape, specifically in the Metropolitan Area of Monterrey. CFD enables the simulation of physical phenomena such as turbulence, which is useful for studying the transport behavior of pollutants in urban environments. The computational model was obtained from satellite imaging and covered a surface of about 1.134 km × 1.227 km. It was composed of 173 urban blocks, representing around 3570 houses, including hospitals, schools, recreation centers and other gathering places. The population of the urban landscape was estimated at around 11,400 inhabitants. Three velocity scenarios, low, average, and high (air gusts), were simulated, using data from a local weather station. The Reynolds numbers (Re) ranged from 1.9 × 106 to 21.2 × 106, falling within the fully developed turbulence regime, which was modeled using the renormalization group (RNG) k–ε turbulence model. Results showed that the mean velocity patterns were preserved independent of the Reynolds number (Re) and were characterized by regions of high velocity in the main avenues, as well as other regions of low velocity between urban blocks. This methodology may also be applicable for understanding the flow patterns of similar urban regions composed of irregularly arranged low-rise blocks. Full article
(This article belongs to the Special Issue CFD Applications in Environmental Engineering)
Show Figures

Figure 1

22 pages, 5183 KB  
Article
Fluid Domain Characteristics and Separation Performance of an Eccentric Pipe Separator Handling a Crude Oil-Water Mixture
by Qi-Lin Wu, Zheng-Jia Ou, Ye Liu, Shuo Liu, Meng Yang and Jing-Yu Xu
Separations 2026, 13(1), 33; https://doi.org/10.3390/separations13010033 - 15 Jan 2026
Viewed by 169
Abstract
This study presents an eccentric pipe separator (EPS) designed according to the shallow pool principle and Stokes’ law as a compact alternative to conventional gravitational tank separators for offshore platforms. To investigate the internal oil-water flow characteristics and separation performance of the EPS, [...] Read more.
This study presents an eccentric pipe separator (EPS) designed according to the shallow pool principle and Stokes’ law as a compact alternative to conventional gravitational tank separators for offshore platforms. To investigate the internal oil-water flow characteristics and separation performance of the EPS, both field experiments with crude oil on an offshore platform and computational fluid dynamics (CFD) simulations were conducted, guided by dimensional analysis. Crude oil volume fractions were measured using a Coriolis mass flow meter and the fluorescence method. The CFD analysis employed an Eulerian multiphase model coupled with the renormalization group (RNG) k-ε turbulence model, validated against experimental data. Under the operating conditions examined, the separated water contained less than 50 mg/L of oil, while the separated crude oil achieved a purity of 98%, corresponding to a separation efficiency of 97%. The split ratios between the oil and upper outlets were found to strongly influence the phase distribution, velocity field, and pressure distribution within the EPS. Higher split ratios caused crude oil to accumulate in the upper core region and annulus. Maximum separation efficiency occurred when the combined split ratio of the upper and oil outlets matched the inlet oil volume fraction. Excessively high split ratios led to excessive water entrainment in the separated oil, whereas excessively low ratios resulted in excessive oil entrainment in the separated water. Crude oil density and inlet velocity exhibited an inverse relationship with separation efficiency; as these parameters increased, reduced droplet settling diminished optimal efficiency. In contrast, crude oil viscosity showed a positive correlation with the pressure drop between the inlet and oil outlet. Overall, the EPS demonstrates a viable, space-efficient alternative for oil-water separation in offshore oil production. Full article
(This article belongs to the Section Separation Engineering)
Show Figures

Figure 1

21 pages, 3877 KB  
Article
Investigation of Cavitation Inception in Aviation Hydraulic Fluid AMG-10 in a Small-Scale Rectangular Throttle Channel
by Volodymyr Brazhenko and Taras Tarasenko
Aerospace 2026, 13(1), 83; https://doi.org/10.3390/aerospace13010083 - 13 Jan 2026
Viewed by 175
Abstract
Cavitation in aircraft hydraulic systems continues to pose a serious problem for the aviation industry. This paper presents a new study on cavitation in aviation hydraulic fluid AMG-10 at its inception condition, corresponding to a relative pressure drop of Δp = 0.58, [...] Read more.
Cavitation in aircraft hydraulic systems continues to pose a serious problem for the aviation industry. This paper presents a new study on cavitation in aviation hydraulic fluid AMG-10 at its inception condition, corresponding to a relative pressure drop of Δp = 0.58, within a small-scale rectangular throttle channel of specified dimensions. Numerical simulations were performed in a quasi-steady-state framework using the realizable k–ε turbulence model combined with the Enhanced Wall Treatment approach, and the results were validated against time-integrated experimental data obtained via the shadowgraphy method. Cavitation was modeled using the Zwart–Gerber–Belamri model. The validated numerical model, which showed a pressure deviation of less than 10% from experimental data on the upper and lower walls, also demonstrated good agreement in the dimensions of the cavitation regions, confirming that the upper region is consistently larger than the lower one. Quantitative analysis demonstrated that regions with high vapor concentration are highly localized, representing only 0.048% of the channel volume at a 0.8 vapor fraction threshold. The analysis reveals that the cavitation regions spatially coincide with local pressure drops to values as low as 214 and 236 Pa near the upper and lower walls. These regions are also associated with wall jets, accelerated by the flow constriction to velocities up to 41.98 m/s. Furthermore, the cavitation region corresponds to a distinct peak in the mean turbulent kinetic energy field, reaching 164.5 m2/s2, which decays downstream. Full article
Show Figures

Figure 1

29 pages, 8571 KB  
Article
Response Surface Methodology for Wear Optimization of Irrigation Centrifugal Pumps in High-Sediment Water Conditions of Southern Xinjiang: Design and Experimental Validation
by Haoran Chen, Zhuo Shi, Shunjun Hong and Xiaozhou Hu
Agriculture 2026, 16(2), 177; https://doi.org/10.3390/agriculture16020177 - 9 Jan 2026
Viewed by 239
Abstract
This study investigates the wear characteristics and optimization of a centrifugal pump (Q = 25 m3/h, H = 50 m, n = 2900 r/min) applied in sediment-laden waters of Southern Xinjiang irrigation systems. A numerical framework integrating the Realizable [...] Read more.
This study investigates the wear characteristics and optimization of a centrifugal pump (Q = 25 m3/h, H = 50 m, n = 2900 r/min) applied in sediment-laden waters of Southern Xinjiang irrigation systems. A numerical framework integrating the Realizable kε turbulence model, Discrete Phase Model (DPM), and Oka erosion model was established to analyze wear patterns under varying parameters (particle size, density, and mass flow rate). Results indicate that the average erosion rate peaks at 0.92 kg/s mass flow rate. Subsequently, a Response Surface Methodology (RSM)-based optimization was implemented: (1) Plackett–Burman (PB) screening identified the inlet placement angle (A), inlet diameter (C), and outlet width (E) as dominant factors; (2) Full factorial design (FFD) revealed significant interactions (e.g., A × C, C × E); (3) Box–Behnken Design (BBD) generated quadratic regression models for head, efficiency, shaft power, and wear rate (R2 > 0.94). Optimization reduced the average erosion rate by 31.35% (from 1.550 × 10−4 to 1.064 × 10−4 kg·m−2·s−1). Experimental validation confirmed the numerical model’s accuracy in predicting wear localization (e.g., impeller outlet). This work provides a robust methodology for enhancing the wear resistance of centrifugal pumps for agricultural irrigation in water with high fine sediment concentration environments. Full article
(This article belongs to the Section Agricultural Technology)
Show Figures

Figure 1

23 pages, 9862 KB  
Article
Analysis of Wind-Induced Response During the Lifting Construction of Super-Large-Span Heavy Steel Box Girders
by Shuhong Zhu, Xiaotong Sun, Xiaofeng Liu, Wenjie Li and Bin Liang
Buildings 2026, 16(2), 251; https://doi.org/10.3390/buildings16020251 - 6 Jan 2026
Viewed by 166
Abstract
Wind-induced response poses a significant challenge to the stability of extra-large-span heavy steel box girders during synchronous lifting operations. This study adopted a method combining numerical simulation with on-site monitoring to investigate the aerodynamic characteristics the beam during the overall hoisting process of [...] Read more.
Wind-induced response poses a significant challenge to the stability of extra-large-span heavy steel box girders during synchronous lifting operations. This study adopted a method combining numerical simulation with on-site monitoring to investigate the aerodynamic characteristics the beam during the overall hoisting process of the Xiaotun Bridge. A high-fidelity finite element model was established using Midas NFX 2024 R1, and fluid–structure interaction (FSI) analysis was conducted, utilizing the RANS k-ε turbulence model to simulate stochastic wind fields. The results show that during the lifting stage from 3 m to 25 m, the maximum horizontal displacement of the steel box girder rapidly increases at wind angles of 90° and 60°, and the peak displacement is reached at 25 m. Under a strong breeze at a 90° wind angle and 25 m lifting height, the maximum lateral displacement was 42.88 mm based on FSI analysis, which is approximately 50% higher than the 28.58 mm obtained from linear static analysis. Subsequently, during the 25 m to 45 m lifting stage, the displacement gradually decreases and exhibits a linear correlation with lifting height. Concurrently, the maximum stress of the lifting lug of the steel box girder increases rapidly in the 3–25 m lifting stage, reaches the maximum at 25 m, and gradually stabilizes in the 25–45 m lifting stage. The lug stress under the same critical condition reached 190.80 MPa in FSI analysis, compared with 123.83 MPa in static analysis, highlighting a significant dynamic amplification. Furthermore, the detrimental coupling effect between mechanical vibrations from the lifting platform and wind loads was quantified; the anti-overturning stability coefficient was reduced by 10.48% under longitudinal vibration compared with lateral vibration, and a further reduction of up to 39.33% was caused by their synergy with wind excitation. Field monitoring validated the numerical model, with stress discrepancies below 9.7%. Based on these findings, a critical on-site wind speed threshold of 9.38 m/s was proposed, and integrated control methods were implemented to ensure construction safety. During on-site lifting, lifting lug stresses were monitored in real time, and if the predefined threshold was exceeded, contingency measures were immediately activated to ensure a controlled termination. Full article
(This article belongs to the Section Building Structures)
Show Figures

Figure 1

18 pages, 3311 KB  
Article
A Parametric Study on the Aerodynamic Parameters of Desert Photovoltaic Arrays: The Effect of Spacing on Friction Velocity and Roughness Length
by Xiang Dou, Zhuoqun Li and Xin Wen
Energies 2026, 19(1), 282; https://doi.org/10.3390/en19010282 - 5 Jan 2026
Viewed by 247
Abstract
Desert photovoltaic (PV) plants suffer significant efficiency loss due to dust deposition, which is closely linked to near-surface aerodynamic conditions. This study investigates how PV array row spacing influences key aerodynamic parameters. Numerical simulations using the Realizable k-ε turbulence model were performed for [...] Read more.
Desert photovoltaic (PV) plants suffer significant efficiency loss due to dust deposition, which is closely linked to near-surface aerodynamic conditions. This study investigates how PV array row spacing influences key aerodynamic parameters. Numerical simulations using the Realizable k-ε turbulence model were performed for multi-row arrays with varying normalized spacings (D/L = 0, 0.5, 1, 1.5, 2). Results show that the friction velocity and aerodynamic roughness length initially increase, then decrease with row number before stabilizing. Their stabilized values exhibit a positive linear correlation with D/L. Empirical formulas were fitted. These findings provide a theoretical basis for optimizing the layout of desert PV plants to mitigate dust-related efficiency losses. Full article
Show Figures

Figure 1

15 pages, 4614 KB  
Article
Construction of a CFD Simulation and Prediction Model for Pesticide Droplet Drift in Agricultural UAV Spraying
by Qingqing Zhou, Songchao Zhang, Meng Huang, Chen Cai, Haidong Zhang, Yuxuan Jiao and Xinyu Xue
Agronomy 2026, 16(1), 129; https://doi.org/10.3390/agronomy16010129 - 5 Jan 2026
Viewed by 278
Abstract
This study employed a combined approach of computational fluid dynamics (CFD), numerical simulations, and wind tunnel tests to investigate droplet drift characteristics and develop prediction models in order to address the issues of low pesticide utilization rates and high drift risk, associated with [...] Read more.
This study employed a combined approach of computational fluid dynamics (CFD), numerical simulations, and wind tunnel tests to investigate droplet drift characteristics and develop prediction models in order to address the issues of low pesticide utilization rates and high drift risk, associated with droplet drift during agricultural unmanned aerial vehicle (UAV) spraying, as well as the unreliable results of field experiments. Firstly, a numerical model of the rotor wind field was established using the multiple reference frame (MRF) method, while the realizable k-ε turbulence model was employed to analyze the flow field. The model’s reliability was verified through wind field tests. Next, the Euler–Lagrange method was used to couple the wind field with droplet movement. The drift characteristics of two flat-fan nozzles (FP90-02 and F80-02) were then compared and analyzed. The results showed that the relative error between the simulated and wind tunnel test values was within 20%. Centrifugal nozzle experiments were carried out using single-factor and orthogonal designs to analyze the effects of flight height, rotor wind speed, flight speed, and droplet size on drift. The priority order of influence was found to be “rotor wind speed > flight height > flight speed”, while droplet size (DV50 = 100–300 µm) was found to have no significant effect. Based on the simulation data, a multiple linear regression drift prediction model was constructed with a goodness of fit R2 value of 0.9704. Under the verification condition, the relative error between the predicted and simulated values was approximately 10%. These results can provide a theoretical basis and practical guidance for assessing drift risk and optimizing operational parameters for agricultural UAVs. Full article
Show Figures

Figure 1

17 pages, 3825 KB  
Article
Numerical Simulation of Flow Maldistribution at Pipeline Junctions in Water Distribution Networks
by Athanasios V. Serafeim, Nikolaos Th. Fourniotis, Demetris Stergiopoulos and Andreas Langousis
Dynamics 2026, 6(1), 2; https://doi.org/10.3390/dynamics6010002 - 5 Jan 2026
Viewed by 210
Abstract
The uneven distribution of flow in water distribution networks (WDNs) can cause inefficient flows and pressure imbalances as well as degraded water quality in areas where demand is higher than the networks’ design limit. In this study, two faulty connections within a WDN [...] Read more.
The uneven distribution of flow in water distribution networks (WDNs) can cause inefficient flows and pressure imbalances as well as degraded water quality in areas where demand is higher than the networks’ design limit. In this study, two faulty connections within a WDN in Greece that exhibited unusual geometric shapes favoring preferential flow paths were investigated. The three-dimensional computational fluid dynamics simulations were performed in ANSYS Fluent solver (v. 23.1) to study the internal behavior of this network for steady-state flows. The standard k-ε model was employed to calculate turbulence and energy losses in this network. In Connection A, which is a cross-shaped junction with two inlets and two outlets, and in Connection B, which is a complex 4 → 1 → 4 manifold connection, more than 80% of total inflow was found to be directed to a single outlet. The pressure contour plots revealed that this is due to the large total head losses associated with pronounced changes in flow direction. The role of explicit junction losses in network modeling and network improvements to improve hydraulic behavior has thereby gained prominence through this study. The applicability and capability of computational fluid dynamics in characterizing complex flow problems in urban WDNs have thereby proven to be significant. Full article
Show Figures

Figure 1

34 pages, 11413 KB  
Article
Hydrodynamic-Ecological Synergistic Effects of Interleaved Jetties: A CFD Study Based on a 180° Bend
by Dandan Liu, Suiju Lv and Chunguang Li
Hydrology 2026, 13(1), 17; https://doi.org/10.3390/hydrology13010017 - 2 Jan 2026
Viewed by 533
Abstract
Under the dual pressures of global climate change and anthropogenic activities, enhancing the ecological functions of hydraulic structures has become a critical direction for sustainable watershed management. While traditional spur dike designs primarily focus on bank protection and flood control, current demands require [...] Read more.
Under the dual pressures of global climate change and anthropogenic activities, enhancing the ecological functions of hydraulic structures has become a critical direction for sustainable watershed management. While traditional spur dike designs primarily focus on bank protection and flood control, current demands require additional consideration of river ecosystem restoration. Numerical simulations were performed using the RNG k-ε turbulence model to solve the three-dimensional Reynolds-averaged Navier–Stokes equations, a formulation that enhances prediction accuracy for complex flows in curved channels, including separation and reattachment. Following a grid independence study and the application of standard wall functions for near-wall treatment, a comparative analysis was conducted to examine the flow characteristics and ecological effects within a 180° channel bend under three configurations: no spur dikes, a single-side arrangement, and a staggered arrangement of non-submerged, flow-aligned, rectangular thin-walled spur dikes. The results demonstrate that staggered spur dikes significantly reduce the lateral water surface gradient by concentrating the main flow, thereby balancing water levels along the concave and convex banks and suppressing lateral channel migration. Their synergistic flow-contracting effect enhances the kinetic energy of the main flow and generates multi-scale turbulent vortices, which not only increase sediment transport capacity in the main channel but also create diverse habitat conditions. Specifically, the bed shear stress in the central channel region reached 2.3 times the natural level. Flow separation near the dike heads generated a high-velocity zone, elevating velocity and turbulent kinetic energy by factors of 2.3 and 6.8, respectively. This shift promoted bed sediment coarsening and consequently increased scour resistance. In contrast, the low-shear wake zones behind the dikes, with weakened hydrodynamic forces, facilitated fine-sediment deposition and the growth of point bars. Furthermore, this study identifies a critical interface (observed at approximately 60% of the water depth) that serves as a key interface for vertical energy conversion. Below this height, turbulence intensity intermittently increases, whereas above it, energy dissipates markedly. This critical elevation, controlled by both the spur dike configuration and flow conditions, embodies the transition mechanism of kinetic energy from the mean flow to turbulent motions. These findings provide a theoretical basis and engineering reference for optimizing eco-friendly spur dike designs in meandering rivers. Full article
Show Figures

Figure 1

24 pages, 31783 KB  
Article
Investigation of Edge Scour and Undermining Process of Conical Structure Around a Monopile
by Jinming Tu, Fan Yang, Chi Yu and Fuming Wang
J. Mar. Sci. Eng. 2026, 14(1), 90; https://doi.org/10.3390/jmse14010090 - 2 Jan 2026
Viewed by 184
Abstract
The scour protection performance of the conical structure under different slope angles, α, was investigated through numerical simulations. By solving the Navier–Stokes (N–S) equations, using the Renormalization Group (RNG) kε turbulence model and the Meyer-Peter and Müller (MPM) sediment transport [...] Read more.
The scour protection performance of the conical structure under different slope angles, α, was investigated through numerical simulations. By solving the Navier–Stokes (N–S) equations, using the Renormalization Group (RNG) kε turbulence model and the Meyer-Peter and Müller (MPM) sediment transport formula, the scour protection performance, undermining process, and the flow field around the devices were fully analyzed at different slope angles. The findings indicate that the conical scour protection provides effective protection against scour damage. As the slope angle increases, greater scour depth is observed around the structure. A critical slope angle was identified between 30° and 40°, slope angle effects are obvious below the threshold; otherwise, it minimized. Undermining is the main cause of failure of such stiff scour protection, mainly driven by flow contraction and sand sliding. Upstream undermining beneath the structure is more pronounced, while the downstream undermining is largely related to the near-bed flow separation point. The critical undermining point (CUP) is proposed based on the undermining curve to distinguish the undermining state, which is critical in scour protection and structural stability. Full article
(This article belongs to the Special Issue Wave–Structure–Seabed Interaction)
Show Figures

Figure 1

25 pages, 5165 KB  
Article
Impact of Sensor Network Resolution on Methane Leak Characterization in Large Indoor Spaces for Green-Fuel Vessel Applications
by Wook Kwon, Dahye Choi, Soungwoo Park and Jinkyu Kim
Processes 2026, 14(1), 150; https://doi.org/10.3390/pr14010150 - 1 Jan 2026
Viewed by 426
Abstract
A quantitative understanding of methane leakage has become essential for safety design as eco-friendly fuel systems expand in modern ship applications. To address this need, controlled methane-release experiments were conducted in a large indoor chamber (30 × 16 × 20 m) to evaluate [...] Read more.
A quantitative understanding of methane leakage has become essential for safety design as eco-friendly fuel systems expand in modern ship applications. To address this need, controlled methane-release experiments were conducted in a large indoor chamber (30 × 16 × 20 m) to evaluate how sensor-network resolution (1 m vs. 0.5 m spacing) influences dispersion measurement and 5% Lower Explosive Limit (LEL)-based risk assessment. Initial tests with a 1 m grid showed that most sensors detected only low concentrations except for near the release nozzle, demonstrating that coarse spatial resolution cannot capture the primary dispersion pathway or transient peaks. This limitation motivated the use of a 0.5 m high-density sensor network, which enabled clear identification of the dispersion centerline, concentration-gradient development, early detection behavior, and the evolution of diluted regions, particularly under buoyancy-driven plume rise. Experimental results were compared with CFD simulations using the RNG k–ε and k–ω GEKO turbulence models. Strong agreement was obtained in peak concentration, concentration-rise rates during the accumulation phase, and LEL-based dispersion distances. These findings confirm the suitability of the selected turbulence models for predicting methane behavior in large enclosed spaces and highlight the sensitivity of model–experiment agreement to measurement resolution. The results provide an experimentally grounded reference for sensor layout design and verification of gas-detection strategies in ship compartments, fuel-gas preparation rooms, and modular supply units. Overall, the study establishes a methodological framework that integrates high-resolution experiments with CFD modeling to support safer design and operation of methane-fueled vessels. Full article
(This article belongs to the Section Chemical Processes and Systems)
Show Figures

Figure 1

34 pages, 9344 KB  
Article
A Study on the Evolution of Flow Regime in a Gas-Assisted Submerged High-Pressure Water Jet
by Hao Yan, Caixia Zhang, Wenhao Li and Ning Chen
Fluids 2026, 11(1), 15; https://doi.org/10.3390/fluids11010015 - 31 Dec 2025
Viewed by 212
Abstract
High-pressure water jet technology is widely utilized for cleaning marine artificial structures due to its portability, efficiency, and environmental friendliness, yet traditional jets underperform in submerged environments. Gas-assisted water jet technology has predominantly been applied to rock breaking—where vertical forces are prioritized—with insufficient [...] Read more.
High-pressure water jet technology is widely utilized for cleaning marine artificial structures due to its portability, efficiency, and environmental friendliness, yet traditional jets underperform in submerged environments. Gas-assisted water jet technology has predominantly been applied to rock breaking—where vertical forces are prioritized—with insufficient research into flow regime evolution, limiting its utility for cleaning applications. This study introduces a supercavitating high-pressure water jet aimed at improving underwater cleaning efficiency while lowering economic costs. Employing ANSYS Fluent—with the RNG k-ε turbulence model and mixture model—validated via high-speed camera experiments, we explored the flow regime evolution of both unconstrained and semi-constrained impinging jets. The key findings of this paper are as follows: The cavity evolves with a periodic “necking-bubbling” pattern, whose intensity correlates positively with gas outlet velocity and supply rate; moderate gas supply—with 120 L/min identified as optimal through orthogonal analysis—effectively delays water jet breakup. For semi-constrained jets, the wall-adjacent gas flow also exhibits “necking-bubbling”; small-angle impact (30° versus 60°) reduces near-wall shear vortices, enhancing gas cavity stability on the target plate. This study bridges the gap between gas-assisted jet technology and underwater cleaning requirements, offering theoretical insights and optimized parameters for efficient, low-cost marine structure cleaning. It thereby supports the sustainable exploitation of marine resources and the stable operation of key marine facilities. Full article
(This article belongs to the Special Issue Cavitation and Bubble Dynamics, 2nd Edition)
Show Figures

Figure 1

Back to TopTop