Next Article in Journal
Critiquing Spatial Justice: Morphological Characteristics and Inherent Differences in Government-Subsidized Rental Housing in Shanghai’s Five New Towns
Previous Article in Journal
The Role of VR in Supporting Body-Centered Phenomenology in Interior Design Education
error_outline You can access the new MDPI.com website here. Explore and share your feedback with us.
 
 
Font Type:
Arial Georgia Verdana
Font Size:
Aa Aa Aa
Line Spacing:
Column Width:
Background:
Article

Analysis of Wind-Induced Response During the Lifting Construction of Super-Large-Span Heavy Steel Box Girders

1
The First Construction Co., Ltd. of China Railway Construction 15th Group, Xi’an 710000, China
2
School of Civil Engineering and Architecture, Henan University of Science and Technology, Luoyang 471023, China
*
Author to whom correspondence should be addressed.
Buildings 2026, 16(2), 251; https://doi.org/10.3390/buildings16020251
Submission received: 8 December 2025 / Revised: 2 January 2026 / Accepted: 3 January 2026 / Published: 6 January 2026
(This article belongs to the Section Building Structures)

Abstract

Wind-induced response poses a significant challenge to the stability of extra-large-span heavy steel box girders during synchronous lifting operations. This study adopted a method combining numerical simulation with on-site monitoring to investigate the aerodynamic characteristics the beam during the overall hoisting process of the Xiaotun Bridge. A high-fidelity finite element model was established using Midas NFX 2024 R1, and fluid–structure interaction (FSI) analysis was conducted, utilizing the RANS k-ε turbulence model to simulate stochastic wind fields. The results show that during the lifting stage from 3 m to 25 m, the maximum horizontal displacement of the steel box girder rapidly increases at wind angles of 90° and 60°, and the peak displacement is reached at 25 m. Under a strong breeze at a 90° wind angle and 25 m lifting height, the maximum lateral displacement was 42.88 mm based on FSI analysis, which is approximately 50% higher than the 28.58 mm obtained from linear static analysis. Subsequently, during the 25 m to 45 m lifting stage, the displacement gradually decreases and exhibits a linear correlation with lifting height. Concurrently, the maximum stress of the lifting lug of the steel box girder increases rapidly in the 3–25 m lifting stage, reaches the maximum at 25 m, and gradually stabilizes in the 25–45 m lifting stage. The lug stress under the same critical condition reached 190.80 MPa in FSI analysis, compared with 123.83 MPa in static analysis, highlighting a significant dynamic amplification. Furthermore, the detrimental coupling effect between mechanical vibrations from the lifting platform and wind loads was quantified; the anti-overturning stability coefficient was reduced by 10.48% under longitudinal vibration compared with lateral vibration, and a further reduction of up to 39.33% was caused by their synergy with wind excitation. Field monitoring validated the numerical model, with stress discrepancies below 9.7%. Based on these findings, a critical on-site wind speed threshold of 9.38 m/s was proposed, and integrated control methods were implemented to ensure construction safety. During on-site lifting, lifting lug stresses were monitored in real time, and if the predefined threshold was exceeded, contingency measures were immediately activated to ensure a controlled termination.

1. Introduction

With the vigorous development of bridge construction technology, the whole-lifting construction method of long-span steel box girders has been developed gradually in recent years. This technology involves factory prefabricated beam segments followed by on-site assembly and overall lifting [1,2,3], and it is widely used in engineering due to its significant advantages in speeding up construction schedules [4,5]. However, the high sensitivity of long-span steel structures to wind loads during lifting poses a major challenge [6]. Wind-induced vibrations induce significant structural displacements and complex interactions with random aerodynamic excitations. This bidirectional fluid–structure coupling effect between the wind and the structure makes it particularly necessary to study the aerodynamic stabilization mechanism of the full-span lifting process under wind load.
The application of integral lifting technology in large-span spatial steel structures includes connecting corridors [7], roofs [8,9], and cold boxes [10]. In terms of wind vibration mechanism and control, Cheng X et al. [11] used numerical simulation to study the vortex-induced vibration (VIV) of steel box girders, studied the mechanism of response lag, and proposed an effective control strategy for vortex shedding effect. Lei W. et al. [12] focused on long-span cable-stayed steel box girding bridges in coastal environments and developed an integrated countermeasure combining aerodynamic modifications and damping systems to mitigate vortex-induced resonances. Their method was rigorously validated using computational fluid dynamics (CFD) simulations and field measurements. Q. Song et al. [13] used finite element simulations to analyze segmental beams with corrugated steel webs, relating the support configuration to the stability coefficient. The optimization strategy of structural integrity was proposed. Kong D. et al. [14] systematically studied the vibration transfer characteristics and internal energy flow distribution of steel box girders under multiple loads and studied the relationship between dynamic excitation mode and structural modal response. Duan Q. et al. [15] conducted an experimental study on the vertical vortex-induced vibration (VIV) of a double-steel-box girder with large span and established a practical temporary and permanent mitigation strategy for VIV control in engineering applications through parameter analysis of the aerodynamic damping effect. Wang J. et al. [16] studied the aerodynamic effect of eddy current restraining baffles with different pore size ratios and configurations on steel box girders through coupled numerical and experimental methods and established the quantitative relationship between flow control parameters and wind-induced response mitigation efficiency. Yang W. et al. [17] developed a passive jet method to optimize the aerodynamic performance of the steel box girder bridge deck and suppress the vortex-induced vibration (VIV), and they verified the effectiveness of the inclined guide plate installed below the bridge deck in manipulating the boundary layer separation mode through experiments. The research into control of wind vibration provides a theoretical basis and a variety of pneumatic control methods for understanding the wind-induced vibration phenomenon of steel box girders. In terms of the mechanical analysis of the lifting process, Dong J. M. et al. [18] made a comparative analysis of the mechanical behavior of the segmented box girder under two different lifting configurations. Deflection patterns and stress distributions critical to structural safety were systematically assessed by addressing three successive analysis stages of different load scenarios. Zhou M. et al. [19] tested a large-section steel box girder with corrugated steel web configuration and obtained two optimal designs to reduce the cumulative deformation. Nengwu L. et al. [20] used finite element analysis to analyze how the acceleration level affects the stress distribution of the midspan flange plate under dynamic excitation. These studies deepen the understanding of the mechanical properties of steel box girders under transient construction and provide a basis for construction safety assessment. Finally, in terms of construction technology and optimization, Dong F. [21] developed a modular construction planning framework for prefabrication and promotion of box girder spans in the Kaiyuan girder yard of the Mammon–Mongolia railway project, which provided a methodology for similar large-scale infrastructure projects. Wang J. [22] implemented the geometric state transition algorithm to realize the millimeter-level precision control of the closure of the lifting of large-section steel box girders and verified it. Wang A. et al. [23] conducted finite element simulations to study the mechanical properties of the continuous steel box girder system and established the parameter scaling standards of key components. Ma W. L. et al. [24] developed a mathematical model of bending behavior and formulated a frequency equation for bearing vibration, which was verified by simulation. Abid M. et al. [25] implemented a multi-objective optimization framework for the transport and lifting process of steel box girders and derived an operational protocol that satisfies practical engineering constraints. Zhao P. et al. [26] constructed a numerical model of prefabricated segmented box girders and analyzed the coupling effect of segment numbers and interface layer thickness on bending performance and shear transfer efficiency. Su H. et al. [27] proposed an Analytic Hierarchy Process (AHP) algorithm to evaluate the mechanical integrity and safety index of offshore steel box girder bridges under combined load, bearing displacement, and random wind excitation. Yan Y. et al. [28] performed genetic optimization of cross-section stiffener configurations of steel box girders, achieving a mass reduction of 12–18% while maintaining the required strength, stiffness, and global stability thresholds. Ren Y. et al. [29] developed an ANSYS APDL–based parametric model of the lifting steel box girder, established the dimensional relationship between the stiffener and the cross-section geometry based on the local stability criterion, and finally, derived the optimal configuration of the structural efficiency in the construction stage. The research on construction technology and optimization is devoted to improving the efficiency, accuracy, and economy of hoisting construction.
However, there are obvious limitations in the existing studies. In terms of methods, the analysis of hoisting processes mostly focuses on static mechanical behavior, while the study of wind-induced response mainly focuses on the state of the bridge after completion and fails to go into the transient process during construction, although CFD and other means are used. Few studies have systematically incorporated fluid–structure interaction (FSI) effects into the simultaneous lifting process of super-span heavy steel box girders. In particular, the synergistic effect between wind load and lifting mechanical vibration has not been fully understood and quantified. Therefore, this study is based on the Xiaotun bridge project of Fuyi Expressway. The core innovation of this study is to establish a method for numerical simulation and field monitoring of fluid–structure interaction (FSI) at junctions in the whole process of synchronous integral lifting of super-span heavy steel box girders under random wind loads. The evolution law of stress and displacement is analyzed, and the stability change under the coupling action of mechanical vibration and wind load is quantified, based on which the critical wind threshold for construction control is determined. The proposed method has been verified by field stress monitoring, which provides a basis for wind safety control of similar projects.

2. Project Overview

2.1. Project Background

The Fuyi Expressway constitutes a pivotal project under Yunnan Province’s “Accessible to All” and “Interconnectivity” initiatives for county-level highway networks in China. Strategically designed to alleviate traffic congestion in Kunming’s urban core and the Kunshi Expressway, this corridor facilitates economic integration across eastern and southeastern Yunnan while stimulating regional development along its route. Spanning 53.27 km from the Fude Interchange on Kunming’s Second Ring Expressway to Shahe Village in Yiliang County, the expressway features 13 bridges totaling 17,757.7 m and 3 tunnels extending 17,698 m, yielding a bridge–tunnel ratio of 72.9%. The synchronous lifting of the sixth steel box girder unit on the left line of Xiaotun Grand Bridge represents the project’s most technically demanding component. This critical girder unit (Chainage ZK39+546 to ZK39+628) adopts a single-span configuration of 82 m, with horizontal alignment along an R = 1828 m circular curve and vertical profile following an R = 22,000 m vertical curve. The construction site is shown in Figure 1. The structure obliquely crosses Chengyang Road (Class II highway) at a skew angle, supported by Pier 14 and Pier 16 with approximate heights of 57 m. Pier 14 incorporates a 35 m span steel cap beam traversing Chengyang Road, while Pier 16 utilizes an eccentric cap beam configuration to accommodate complex geotechnical constraints.

2.2. Construction Challenges

The key and difficult points of the project are as follows. The work quantity is large (the steel box girder in the lifting section has a span of 77.22 m, a weight of 866 t, and a lifting height of 60.15 m). Installed using the “Smart Hydraulic Synchronous Lifting Method for Oversized Components,” the steel box girder holds the provincial record in Yunnan for single-span length, elevation, and weight. The intelligent hydraulic synchronous lifting method for super-large components is an advanced construction technology using hydraulic systems to realize component lifting. Its characteristics are as follows: It is highly synchronous, realizing the synchronous operation of multiple points or multiple hydraulic jacks, which reduces the potential safety hazards caused by asymmetry and is stable and accurate. The precise control of the hydraulic system can realize stable lifting and precise positioning, avoid damage to components caused by external stress, and improve the construction accuracy. Because of the flexibility and adjustability of the hydraulic system, it can be used for multiple constructions, which improves the engineering efficiency. It is suitable for large-scale lifting projects. Compared with the traditional lifting method, the hydraulic synchronous lifting construction method can achieve high lifting heights, which is suitable for the lifting of super-large components efficiently and safely. The hydraulic system has the functions of monitoring, protection, and alarm, providing a comprehensive safety guarantee and reducing the risk of human error and accident. Additionally, significant hoisting complexities are inherent in this girder section, while site conditions are constrained by operational complications. The lifting section crosses a Class II highway, and the steel box girder project is located in a mountainous area. The lifting process is easily affected by sudden wind load in mountainous areas, and the cross-wind vortex excitation effect is significant [30], which brings great challenges to the smooth progress of the overall lifting operation.

3. Numerical Simulation of Wind-Induced Response During the Lifting Process Based on Intelligent Control

3.1. Intelligent Synchronous Lifting Control System

By improving the traditional synchronous hydraulic lifting frame, an intelligent synchronous lifting system has been developed that is specifically designed to ensure controllable posture and controlled internal forces and to reduce risks during the lifting process of long-span heavy steel box girders. This system adheres to the principle of “displacement synchronization and load balance”, and it uses the main control computer (MCC) to implement closed-loop control over all lifting points, thereby achieving intelligent and precise management of the entire construction operation. Its core control logic is shown in Figure 2. The system architecture integrates three collaborative subsystems. In the input module system, the MCC processes the working tension and alignment control instructions input by the operator as well as the real-time attitude feedback signals from the two-dimensional electronic level and the displacement feedback signals from the sensors, generating the corresponding displacement control signals and alignment control signals for the lifting slings. A lifting execution system, including a lifting sling control device, a hydraulic source, and a hydraulic lifting cylinder, converts MCC commands into precise vertical movements and is supplemented by a fuzzy controller for lifting-sling displacement to handle system nonlinearity and enhance robustness under complex loads. It also features an attitude fine-tuning system with an independent alignment system, which adopts a steel anchor box control device and a hydraulic elastic steel anchor box to apply controlled offset loads for millimeter-level air adjustment. The operation procedures start from the trial lifting stage, wherein the beam is lifted by 150 mm for 12 h of static inspection. Then, under the master–slave synchronous control strategy, the formal lifting is carried out at a speed of approximately 2 m per hour. The MCC dynamically adjusts the hydraulic proportional valve based on real-time displacement feedback to maintain millimeter-level synchronization, while overall safety is ensured through the lifting sling tension alarm device. When this device detects a force exceeding the threshold calculated by the finite element method, it triggers the system lock. At the same time, operational flexibility is achieved through human–machine interaction intervention, allowing for switching to manual mode before restoring automatic synchronous control to perform fine adjustment operations such as “single-point motion”. This integrated framework, characterized by multi-sensor closed-loop feedback and active control intervention, effectively advances intelligent hydraulic lifting from basic synchronous jacking to a comprehensive solution including attitude perception, internal force regulation, and active safety early warning, thus laying a solid control foundation for subsequent structural response analysis under extreme conditions.

3.2. Wind Load and Motion Equation for Integral Hoisting of Steel Box Girder

Current numerical simulation approaches for turbulence primarily fall into two categories: direct numerical simulation (DNS) and indirect numerical simulation methods [31]. DNS resolves instantaneous turbulent flow fields by directly solving the Navier–Stokes equations at all scales, requiring prohibitively high computational resources and time expenditures. Conversely, Large Eddy Simulation exhibits reduced accuracy in capturing small-scale eddies due to inherent subgrid-scale modeling limitations. To balance computational efficiency and predictive accuracy, this study adopts the Reynolds-Averaged Navier–Stokes (RANS) methodology integrated with standard wall functions to simulate near-wall flow characteristics. The key challenge in simulating the wind field for this lifting operation lies in accurately capturing the non-equilibrium separated flows around the bluff steel box girder and the strong shear flows prevalent in the mountainous terrain of Yunnan. To address this, the renormalization group (RNG) k-ε model was selected over the standard k-ε model. The primary analytical rationale is that the RNG model incorporates an additional strain rate term derived from renormalization group theory into its ε-equation [32]. This term analytically accounts for the effects of mean flow deformation and streamline curvature, which are significant in the girder’s wake and in complex terrain. Consequently, the RNG model provides a more physically sound prediction of turbulence intensity and length scales under strong shear and adverse pressure gradients, effectively reducing the well-documented tendency of the standard k-ε model to overpredict separation zones and underpredict reattachment lengths. For the present engineering-scale transient analysis requiring a balance between fidelity and computational cost, the RNG k-ε model offers a substantively more reliable closure than its standard counterpart.
Compared with the standard k-ε model, the RANS k-ε explicitly introduces the flow curvature effect through the strain rate correction term, which includes the strong shear flow adaptability. When η > η0, the correction term reduces the contribution of the turbulent kinetic energy generation term GK, and the flow curvature effect is reduced by the strain rate correction term, the numerical deviation caused by the overestimation of separation flow parameters is reduced, and the non-equilibrium state of gust is captured more accurately. The simulation error of sudden wind load in Yunnan mountainous areas can be further reduced. By incorporating calibrated modifications to the eddy viscosity coefficient and fluid motion scales, this approach effectively captures the anisotropic turbulence and spatial heterogeneity inherent in turbulent flows. The resulting control equations for turbulent kinetic energy (k) and turbulent dissipation rate (ε) are formulated as follows:
ρ k t + ρ k u i x i = x j α k μ e f f x x j + G k + ρ ε
ρ ε t + ρ ε u i x i = x j α ε μ e f f ε x j + C 1 ε * ε k G k + ρ ε C 2 ε ρ ε 2 k
In Equations (1) and (2), xi and xj represent spatial coordinates, ui is the component of the mean flow velocity, and ρ is the fluid density. Gk denotes the generation of turbulent kinetic energy k due to mean velocity gradients. The effective viscosity is defined as μeff = μ + μt, where μt = ρCμk2 is the turbulent viscosity, with Cμ = 0.0845. The parameters αk and αε are the inverse effective numbers for k and ε, respectively, both taken as 1.39. The model constant C*1ε for the RNG model is given by C 1 ε * = C 1 ε η ( 1 η / η 0 ) / ( 1 + β η 3 ) , where the empirical constant C1ε = 1.42, η   =   ( 2EijEji)0.5, which, with being the strain rate tensor, η0 = 4.377, β = 0.012.
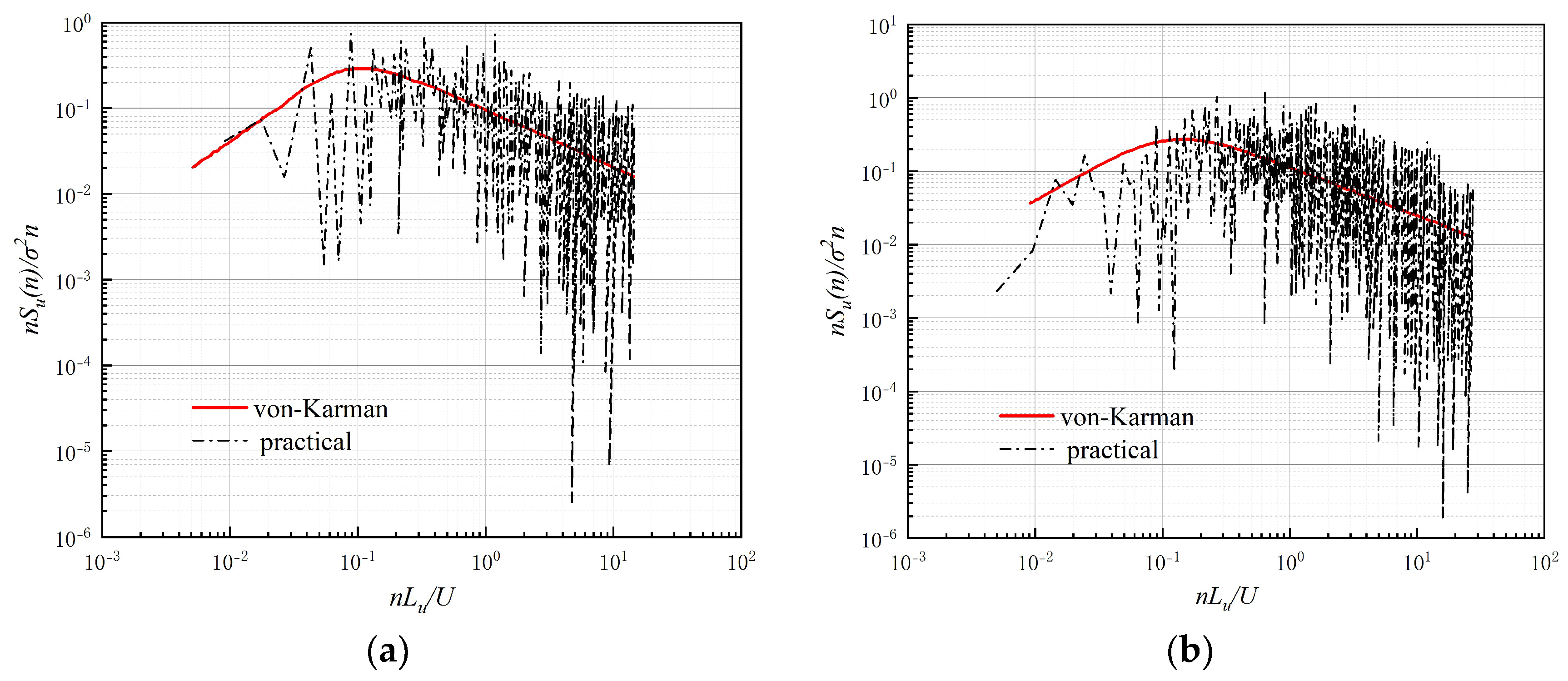
The measured wind spectrum was compared with the standard von Karman spectrum for validation purposes (Figure 3). The wind speed data were acquired using a three-dimensional ultrasonic anemometer installed at a height of 10 m near the bridge site. Continuous measurements were recorded at a sampling frequency of 32 Hz. For spectral analysis, 10 min stationary segments were extracted, and the power spectral density was estimated using Welch’s method with a Hanning window and 50% overlap. The coincidence rate of over 85% was quantified by comparing the integral of the measured spectrum with that of the theoretical von Karman spectrum across the inertial subrange. This high concurrence justifies the adoption of the von Karman model in the CFD to represent the incoming wind flow accurately. It confirms that the key statistical properties of the turbulent wind field at this site match this well-tested theoretical spectrum, and the use of this model to define inflow boundary conditions in CFD ensures reliable representation of the stochastic wind excitations that are crucial in subsequent fluid–structure interaction analysis.
Then, considering the coupling effect of wind load and structural damping, the motion control equation of the suspended beam is established:
m y ¨ + c y ˙ + k y = F wind t + F se t
where m, c, and k are the mass, damping coefficient and stiffness coefficient of the beam, respectively; y, , and ÿ are lateral displacement, velocity, and acceleration at midspan, respectively; Fwind(t) is the fluctuating wind-induced buffeting force; and Fse(t) is the aerodynamic self-excited force.

4. Numerical Simulation

4.1. Numerical Model

The numerical model of the sixth steel box girder unit of Xiaotun Grand Bridge was developed using Midas NFX (version number is Midas NFX 2024 R1), as shown in Figure 4. Flexible connections were employed to simulate interactions between lifting lugs and slings, with vertical and horizontal discrete spring elements applied at critical load-transfer nodes. The fluid side was configured as a velocity inlet and outflow as shown in Figure 4a. The partial encryption of the FSI interface is shown in Figure 4b, with a grid size of 0.001 m for the encrypted area and a total number of elements of 3.2 × 106. Material properties of the steel box girder are shown in Table 1, adhering to ASTM A572 Grade 50 [33] specifications. To balance computational accuracy and efficiency, the fluid domain was configured as 60 × 140 × 50 m CFD volume extracted from the structural geometry.
The application of a Rayleigh damping model with a ratio calibrated around 2% for the fundamental modes aligns with established methodologies in analyzing wind-induced vibrations of large-scale slender steel structures. Modeling the sling–lug connections with nonlinear spring elements, whose stiffness is explicitly updated with the instantaneous sling length k = EA/L, effectively captures the critical time-varying boundary conditions inherent to the hoisting process [34]. This approach is substantiated by studies on the synchronous integral lifting of long-span spatial steel structures, where the consideration of time-varying mechanical properties is essential for accurate response prediction.

4.2. Wind-Induced Response Condition Settings for Steel Box Girders

To investigate the displacement and internal forces of the steel box girder under wind loads during the lifting process, two computational methodologies were investigated through linear static analysis and fluid–structure interaction analysis, enabling comparative evaluation of stress and displacement variations. The defined loading cases are shown in Table 2. Furthermore, stability evolution mechanisms under coupled wind–mechanical vibration loads from the lifting platform were systematically analyzed, with corresponding working conditions detailed in Table 3.

4.3. Verification of Mesh and Time-Step Independence

In order to ensure the reliability of the calculation results, the verification of mesh independence and time-step independence is carried out in this section. Firstly, three kinds of hierarchical grid division methods are set up, as shown in Table 4. The rationality of grid division is verified by monitoring the change in lift coefficient CL of the top plate of the steel box girder in different division methods. Figure 5 shows that the error of method 1 is larger than that of the other two methods, the convergence effect of method 1 is worse than that of method 3, and the error of method 2 is 1.3%. In order to balance the efficiency and accuracy, method 2 is selected as the mesh generation method in this paper.
Three steps (Δt1 = 0.001 s, Δt2 = 0.005 s, Δt3 = 0.01 s) were selected for time-step independence verification. The lift coefficient fluctuation ACL = (CLmaxCLmin)/2 and the spectral energy Ef were used as the verification indexes.
E f = 0.01 10 P S D C L d f
where PSD(CL) is a spectral density function of the lift coefficient. The validation results are shown in Table 5. Taking the ACL of Δt1 = 0.001 s as the reference value, it can be found that the fluctuation amplitude error is only 1.9% when Δt2 = 0.005 s, balancing accuracy and efficiency. Finally, Δt = 0.005 s is used as the time step.

5. Mechanical Response Analysis of Steel Box Girders

5.1. Displacement Analysis

The wind incidence angle of 90° represents the most onerous condition for lateral displacement. The flow field structure around the girder at the critical lifting height of 25 m under a strong breeze is illustrated in Figure 6. The velocity vector contour reveals a characteristic flow pattern: the windward face experiences high pressure, while flow separation at the girder’s leeward corners generates a turbulent wake with distinct vortices. This asymmetric pressure distribution is the primary driver of the observed lateral displacement. As shown in Figure 7, the displacement under fluid–structure interaction (FSI) conditions is markedly higher than in the linear static analysis. This discrepancy underscores the significance of dynamic amplification and motion-dependent wind forces, which are captured only in the FSI simulation. The concentration of maximum displacement at the midspan aligns with the fundamental mode shape of a simply supported beam, indicating a resonance-like effect under the given wind excitation. When the wind direction angle is 90°, the maximum displacement is concentrated in the midspan area of the box girder, and the distribution feature shows symmetry along the central axis of the structure. Relatively small downward displacements will occur on both sides of the windward side. The leeward side produces certain upward aerodynamic force due to the vortex shedding of the wind field, so the top of the steel box girder has upward displacement. The displacement under two working conditions with 90° wind direction angle is shown in Figure 6. Under the same wind load condition, the displacement of the steel box girder structure under a fluid–structure interaction condition is greater than that under a static condition.
At a wind incidence angle of 60°, under identical strong breeze load conditions and a lifting height of 25 m, the velocity vector contour of the fluid domain is shown in Figure 8. This flow pattern significantly differs from the 90° wind condition, with high-velocity vortices forming at the leeward base of the girder and drifting along the prevailing wind direction. Figure 9 presents the lateral displacement of the steel box girder under 60° wind conditions for both analytical methodologies, that the fluid domain characteristics near the girder exhibit notable variations compared with the 90° wind incidence case. Vortex-induced upward lift forces emerge at the bottom nodal regions of the box girder due to the altered wind angle. Consequently, the maximum displacement location shifts leftward, as shown in Figure 9, breaking the symmetric displacement distribution observed under orthogonal wind incidence. The maximum displacements of the steel box girder under both static and FSI analyses are summarized in Table 6 for varying wind angles, wind load grades, and lifting elevations.
The relationship between steel box girder displacements and lifting heights under two wind incidence angles is shown in Figure 10. For the 90° wind incidence angle, during the 3–25 m lifting stage, the lateral displacement maximum increases rapidly as the lifting height rises, reaching its peak at 25 m. This trend correlates with the gradual expansion of the lower flow field around the girder. Subsequently, in the 25–45 m lifting stage, the flow field gradually stabilizes, but the shortening of suspension cables induces a linear reduction in lateral displacement with increasing elevation. Under the 60° wind angle, the variation trend of maximum lateral displacement is similar to the 90° case but exhibits reduced magnitudes. In fluid–structure interaction analyses, displacements consistently exceed those in the linear static condition. For strong breeze loads, the ratio of FSI-to-static displacements ranges between 1.45 and 1.50 across lifting heights for 90° wind incidence, and the 60° wind angle case shows the comparable ratio between 1.40 and 1.49.

5.2. Stress Analysis

Figure 11 illustrates the wind pressure contour map of the external flow field around the steel box girder under a wind angle of 90°, with strong breeze loads and a lifting height of 25 m. High-pressure zones predominantly concentrate on the upper-middle sections of the girder. Figure 12 displays the stress distribution contours of the steel box girder under both analytical methodologies. The maximum stress occurs at the lifting lug regions, while the minimum stress appears at the top quarter-span locations of the girder. The stress distribution exhibits approximate symmetry about the structural central axis. Under identical wind load conditions, the maximum stress at the lifting lugs in the fluid–structure interaction analysis exceeds that in the static analysis.
Under a wind incidence angle of 60°, the stress distribution contours for both analytical methodologies are shown in Figure 13. The maximum stress remains concentrated at the lifting lug regions of the steel box girder structure, and the fluid–structure interaction analysis yields higher stress magnitudes compared with the static analysis. However, as shown in Figure 14, under a 60° wind direction, the maximum principal stress at the hanger location is lower compared to the situation under a 90° wind direction. Table 7 shows the maximum principal stresses at the lifting lugs of the steel box girder across varying analytical conditions.
Figure 15 illustrates the relationship between the maximum principal stress of the steel box girder and lifting height under two analytical methodologies for a wind incidence angle of 90° using a strong breeze load. The maximum principal stress ratio of fluid–structure interaction analysis to static analysis ranges between 1.45 and 1.51 across lifting heights. For the 60° wind incidence angle, this ratio spans 1.47 to 1.50. Under the 90° wind angle, the maximum principal stress exhibits accelerated growth during the 3–25 m lifting stage, with the steepest rate of increase occurring between 3 and 10 m. The stress peaks at 25 m elevation and stabilizes during the subsequent 25–45 m lifting stage. For the 60° wind angle, the trend of maximum principal stress evolution is similar to the 90° case but with reduced magnitudes, similarly stabilizing beyond 25 m elevation.

6. Stability Calculation of Steel Box Girder Lifting

6.1. Stability of Steel Box Girder Under Vibration Load

To accurately characterize the evolution of steel box girder stability during lifting operations, the vibrational excitation primarily originates from hydraulic cylinder fluid level adjustments within the lifting platform. Figure 16 presents the vibration curve of the hydraulic system over one operational cycle, with this vibrational load applied to the top of the lifting points. To precisely simulate the impact of mechanical vibrations on stability under diverse working conditions, the defined loading cases are detailed in Table 3. At the 25 m lifting height under wind loads, the combined stress–displacement response of the steel box girder represents the most critical condition throughout the lifting process. Consequently, all vibrational load analyses adopt the 25 m elevation as the baseline scenario.
Transient analysis was conducted for the four defined working conditions, with the critical stability instant within the vibration cycle extracted for detailed investigation. Figure 17 presents the lifting stresses for Condition 1 and Condition 2. Figure 17a reveals that the stress transfer mechanism undergoes significant alterations when vibrations propagate to the girder lifting points. Under self-weight conditions, tensile stresses primarily concentrate at the midspan bottom flange, while minimal stresses are observed on the top flange. However, under transverse vibration loads, tensile stresses emerge on the top flange, and the maximum stress at the lifting points increases to 123.83 MPa. Figure 17b demonstrates that longitudinal mechanical vibrations induce no substantial changes in the overall stress distribution pattern compared to self-weight conditions, with the top flange maintaining favorable stress states. Nevertheless, the maximum stress at the lifting points increases to 133.85 MPa. This comparative analysis establishes that transverse vibrations modify the structural stress transfer mechanisms, whereas longitudinal vibrations exert greater influence on lifting lug stresses than transverse vibrations.

6.2. Stability of Steel Box Girder Under Coupling Action of Wind Load and Vibration Load

To investigate the mutual excitation effects between wind flow and mechanical vibrations, Conditions 3 and 4 were established under strong breeze loads with a design wind. Figure 18 illustrates the velocity vector distribution within the fluid domain surrounding the steel box girder structure. The analysis reveals that under wind load field effects, the maximum flow velocity reaches 72.23 m/s, localized in the lower-right quadrant of the girder cross-section within the external flow field. This high-velocity region generates upward-oriented vortices, inducing corresponding aerodynamic uplift forces. Concurrently, the leeward side exhibits pronounced vortex shedding phenomena, with sustained flow velocities ranging from 23.20 to 26.26 m/s. These flow characteristics produce downward-acting aerodynamic forces on the girder through pressure differentials.
Figure 19 presents the lifting stresses for Conditions 3 and 4. Comparative analysis with Figure 17 indicates that the stress transfer mechanisms of the steel box girder remain largely unchanged under coupled wind–vibration loading. When comparing Condition 3 with Condition 1, the combined excitation of wind loads and mechanical vibrations amplifies tensile stresses at the top flange, extending their distribution toward the midspan region. Condition 3 exhibits intensified stress concentration at the lifting lugs, with the maximum principal stress reaching 197.26 MPa, representing a 59.3% increase compared with Condition 1. Similarly, Condition 4 demonstrates stress evolution relative to Condition 2, with the stress concentration zone expanding around the lifting lugs. The maximum principal stress at the lifting lugs in Condition 4 rises to 207.40 MPa, marking a 54.9% increase over Condition 2.
The marked 59.3% increase in maximum principal stress under Condition 3, compared with Condition 1, necessitates an explanation beyond linear superposition. The mechanical vibration from the platform, when coupled with the periodic forcing components of the wind load, can induce a near-resonant response in the suspended girder. This leads to a dynamic magnification of displacements and internal forces, which is inherently nonlinear and is not predictable by static analysis.
The lateral anti-overturning stability coefficients of the steel box girder under four working conditions were determined, as presented in Table 8. It can be observed that longitudinal vibration has a more significant impact on the lateral anti-overturning stability of the steel box girder during the lifting process compared with lateral vibration. Specifically, compared with Working Condition 1, the stability coefficient for Working Condition 2 decreases by 10.48%. Furthermore, under fluid–structure coupling conditions, wind loads induce automatic vibrations in the steel box girder, which further diminish its lateral anti-overturning stability. Compared with Working Conditions 1 and 2, the anti-overturning stability coefficients for Working Conditions 3 and 4 decrease by 38.1% and 39.33%, respectively. Additionally, the first-order stability coefficients of the lifting structure were obtained through linear buckling analysis of the four working conditions, as shown in Table 9. Unlike the variation trend of the anti-overturning stability coefficients, lateral vibration has a greater influence on the first-order stability than longitudinal vibration. The first-order stability coefficient for the lifting structure in Working Condition 1 is 14.03% lower than that in Working Condition 2. The self-vibration effect induced by wind loads further reduces the first-order stability of the lifting structure. Compared with Working Conditions 1 and 2, the first-order stability coefficients for Working Conditions 3 and 4 decrease by 47.41% and 49.71%, respectively.
To further investigate the critical value of the mutual excitation effect between mechanical vibration and wind-load-induced natural vibration in practical engineering applications, the most unfavorable conditions were established. Transverse and longitudinal vibration loads, accounting for stiffness and damping, were simultaneously applied at the lifting lugs. By progressively increasing the fluid domain’s inlet wind speed [35], a curve graph depicting the relationship between wind speed and stability coefficients was generated using their standard values to determine the critical wind speed. Figure 20 presents the variation curves of the stability coefficient under different wind speeds.
As shown in Table 8 and Table 9, the reduction in the stability coefficient under the wind–vibration coupled load is caused by multiple physical mechanisms rather than a simple linear superposition. Firstly, there are phase relations and resonance effects. The mechanical vibration from the hydraulic platform contains a frequency component close to the natural frequency of the cantilever system. When these frequencies are close to the dominant period of the turbulent wind excitation source, they induce near-resonant or forced resonant responses, leading to dynamic amplification of displacement and internal stresses, and subsequently, changes in modal engagement. The longitudinal vibration of the platform mainly stimulates the low-frequency swing mode of the beam, which affects the anti-overturning moment balance and has a great influence on the anti-overturning stability coefficient K. In contrast, the lateral vibration can more effectively stimulate the local torsion and high-order deformation of the box section, inducing the elastic buckling deformation, so the first-order stability coefficient in Table 9 is reduced. Finally, the energy transfer pathway is altered. Mechanical vibration provides a continuous kinetic energy input that changes the instantaneous velocity and position of the structure, which is equivalent to changing the effective angle of attack, and thus, the aerodynamic damping, so that when combined with vibration or wind, the stability is disproportionally reduced.
It can be observed from Figure 19 that the variation trends of the two stability coefficients under the most unfavorable working conditions are similar, and both decrease with the increase in wind speed. In accordance with relevant specifications [36,37], the critical values for both stability coefficients are set at 2.5. When the wind speed reaches 9.38 m/s, the anti-overturning stability coefficient attains its critical value. For the first-order stability coefficient, the critical value is reached at a wind speed of 10.33 m/s.

7. Field Monitoring and Construction Measures

7.1. Monitoring Scheme

In accordance with relevant codes and finite element analysis outcomes, the midspan stresses and lifting point forces of the steel box girder are identified as critical monitoring parameters. Prior to initiating the integrated lifting process, the maximum stress values at the midspan and lifting points under strong breeze loads with 60° wind incidence in fluid–structure interaction conditions are established as alert thresholds, shown in Figure 21.

7.2. Field Monitoring Data

The midspan stress and lifting point stress of each steel box girder during the on-site lifting process under a four-level wind load were monitored and compared with the numerical simulation results of the four-level wind with the flow and solid coupling at a 60° wind direction angle at different lifting heights, as shown in Figure 22.
During the lifting process, the simulated values closely align with field-measured data, exhibiting a maximum discrepancy of 4.5% in lifting point stresses and 9.7% in midspan stresses. This correlation validates the fidelity of the finite element model and confirms its reliability for engineering applications. The numerical simulation demonstrates congruence between the configured flow field parameters and fluid–structure coupling boundary conditions with actual operational scenarios. Results from additional working conditions provide actionable references for optimizing construction protocols, particularly in adjusting lifting forces and mitigating structural risks. The maximum stress at the lifting point and the maximum stress at the midspan are 34.88 N/mm2, which meet the requirements of the specification and have a large safety reserve.

7.3. Construction Measures

The on-site implementation employs the Intelligent Hydraulic Synchronous Lifting System for Super-Large Components, where hydraulic lifters integrate motion self-locking anchorages. This system enables reliable structural locking at any elevation during lifting while facilitating in-air attitude adjustments of the steel box girder. Prior to lifting, steel supports and lateral steel cables are installed at the girder base. A trial lift is conducted as illustrated in Figure 23, wherein the girder is elevated 150 mm above ground and held in a locked position for 12 h. During this phase, midspan and lifting point stresses under near-ground wind effects are evaluated against predefined alert thresholds to validate structural integrity. Upon confirmation of safety parameters, formal lifting commences with real-time stress monitoring at all lifting points. If any stress exceeds alert thresholds, the system initiates an immediate lockdown. The hydraulic platform enables synchronized multi-point control through precision regulation of hydraulic flow rates, achieving millimeter-level velocity synchronization across actuators. Positional accuracy below 5 mm is maintained to ensure aerial stability. Lifting operations are resumed only after wind speeds have dropped below the critical threshold or operational anomalies are resolved.

8. Conclusions

Based on the synchronous lifting project of the sixth steel girder of Xiaotun Special Bridge, this paper uses Midas NFX software to establish a finite element model, analyzes the wind-induced responses of the steel box girder under different wind loads during the lifting construction process, and obtains the following conclusions.
1. Identification of a critical lifting height: The lifting process is demarcated by a critical height of 25 m. Below this height, the structural responses are dominated by the development of the flow field, leading to a rapid increase in lateral displacement and lifting lug stress. Above it, the responses are governed by the shortening of the suspension cables, resulting in a linear decrease in displacement while stresses stabilize. This finding provides a crucial scientific basis for identifying the most vulnerable stage during the hoisting operation.
2. Quantification of fluid–structure interaction (FSI) amplification: The study conclusively demonstrates that traditional linear static analysis significantly underestimates the structural response. FSI effects amplify both displacements and stresses by 40–50% across various wind angles and lifting heights. This underscores the necessity of incorporating dynamic wind–structure interaction in the safety assessment of lifting processes to avoid non-conservative and potentially dangerous design decisions.
3. Revelation of a destabilizing wind–vibration synergy: The research quantifies the severe compounding effect of concurrent mechanical vibration and wind load. It was found that longitudinal vibration from the lifting platform is more detrimental to anti-overturning stability, while lateral vibration more significantly reduces first-order buckling stability. The synergy of these vibrations with wind excitation can reduce stability coefficients by up to 39% and 50%, respectively—a risk that cannot be identified by considering any single load in isolation.
4. Development and validation of an integrated risk-management methodology: The core theoretical contribution is the establishment of a validated predictive model. This model was not developed in isolation, but was rigorously calibrated against field monitoring data, achieving an exceptional agreement, with a maximum deviation of less than 9.7%. This high-fidelity model enabled the transition from theory to practice, yielding a decisive, science-based critical wind speed threshold of 9.38 m/s for construction control. The implementation of a real-time monitoring and contingency protocol based on this threshold demonstrates a complete, closed-loop methodology for managing aerodynamic risks.

Author Contributions

Conceptualization, S.Z. and B.L.; methodology, X.S. and W.L.; software, X.S.; validation, S.Z. and X.L.; formal analysis, S.Z., W.L. and B.L.; investigation, X.L.; resources, X.L.; data curation, X.S.; writing—original draft preparation, X.S.; writing—review and editing, W.L. and B.L.; visualization, X.S.; supervision, X.L. and B.L.; project administration, S.Z. and X.L.; funding acquisition, S.Z. and B.L. All authors have read and agreed to the published version of the manuscript.

Funding

This research was financially supported by the National Natural Science Foundation of China (Grant No. 51678284). The authors gratefully acknowledge the technical assistance provided by the First Construction Co., Ltd. of China Railway Construction 15th Group and the School of Civil Engineering and Architecture at Henan University of Science and Technology. Special thanks are extended to the engineers and field personnel of the Fuyi Expressway Xiaotun Grand Bridge project for their collaboration in data acquisition and on-site monitoring.

Data Availability Statement

The datasets generated and analyzed during the current study are not currently available in a public repository due to their original nature as proprietary findings from a specific engineering project. However, they are available from the corresponding author upon reasonable request for academic and research purposes.

Acknowledgments

The authors wish to extend their profound gratitude to the School of Civil Engineering and Architecture at Henan University of Science and Technology for their foundational role in this research. The university’s provision of advanced computational resources and essential software licenses was instrumental in conducting the sophisticated numerical simulations presented in this work. Additionally, the authors thank the collaborative partners from The First Construction Co., Ltd. of China Railway Construction 15th Group for their vital role in facilitating the on-site data collection and monitoring efforts.

Conflicts of Interest

Authors Shuhong Zhu and Xiaofeng Liu were employed by The First Construction Co., Ltd. of China Railway Construction 15th Group, Xi’ an, Shaanxi, China. The remaining authors declare that the research was conducted in the absence of any commercial or financial relationships that could be construed as a potential conflict of interest.

References

  1. Pei, C.; Bao, Y.; Mou, Y.; Lin, J.; Cheng, X.; Feng, J. Effect of inhomogeneous wind field in mountainous area on the aerostatic stability of long-span truss suspension bridge. AIP Adv. 2025, 15, 025312. [Google Scholar] [CrossRef]
  2. Wang, B.; Zhang, X.; Li, C.Y.; Chen, Z.; Tse, T.K.T. Advances in flow and civil structures. Phys. Fluids 2025, 37, 070402. [Google Scholar] [CrossRef]
  3. Wen, F.; Liang, X.; Chen, C.; Xu, L.; Feng, Q. Construction Control and Monitoring Platform of a Large-Segment Steel Box Girder with Hoisting Installation. Appl. Sci. 2023, 13, 9573. [Google Scholar] [CrossRef]
  4. Li, S.; Liu, X.; Li, Z.; Wu, Z.; Yan, Z.; Chen, Y.; Gao, F. Spatial and temporal dynamics of urban expansion along the Guangzhou–Foshan inter-city rail transit corridor, China. Sustainability 2018, 10, 593. [Google Scholar] [CrossRef]
  5. Yu, X. A construction process for hoisting, precise positioning and temporary fixation of a steel-concrete composite segment on a long-span steel-concrete hybrid girder. Acad. J. Archit. Geotech. Eng. 2023, 5, 43–48. [Google Scholar] [CrossRef]
  6. Huang, Y.; Yang, T.; Liu, B.; Xue, Y.; Li, Q. Simulation Experiment Research on the Production of Large Box Girders. Buildings 2024, 14, 3338. [Google Scholar] [CrossRef]
  7. Lyu, C.; Yan, Q. Field test and fragility analysis of RC box girder bridges subjected to contact explosion. Eng. Struct. 2025, 322, 119063. [Google Scholar] [CrossRef]
  8. Hou, N.; Sun, L.; Chen, L. Modeling the temperature gradient for a wide steel box girder based on monitoring data. Struct. Infrastruct. Eng. 2025, 1–12. [Google Scholar] [CrossRef]
  9. Tang, Y.J.; Zhao, X.H. Field testing and analysis during top-down construction of super-tall buildings in Shanghai. KSCE J. Civ. Eng. 2016, 20, 647–661. [Google Scholar] [CrossRef]
  10. Tong, Z.M.; He, S.; Tong, S.G.; Han, Y.S.; Peng, X.D. Transient Simulation and Optimization for the Integral Hoisting of Extra-Large Air Separation Cold Box. Processes 2023, 11, 2143. [Google Scholar] [CrossRef]
  11. Cheng, X.; Sun, Y.; Hong, J. Mechanical characteristics of hoisting construction of segmental cantilever assembled box girder bridge. Eng. Res. Express 2024, 6, 025114. [Google Scholar] [CrossRef]
  12. Lei, W.; Wang, Q.; Zhang, Y.; Li, Z. Study on VIV performance of streamlined steel box girder of a sea-crossing cable-stayed bridge. Ocean. Eng. 2024, 295, 116897. [Google Scholar] [CrossRef]
  13. Song, Q.; Deng, W.; Liu, D.; Pei, H.; Peng, Z.; Zhang, J. Optimal design of segment storage and hoisting of precast segmental composite box girders with corrugated steel webs. Buildings 2023, 13, 801. [Google Scholar] [CrossRef]
  14. Kong, D.; Zhang, X.; Li, C.; Cui, K. Vibrational energy flow in steel box girders: Dominant modes and components, and effective vibration reduction measures. Steel Compos. Struct. 2024, 50, 347. [Google Scholar] [CrossRef]
  15. Duan, Q.; Ma, C.; Li, Q. Vortex-induced vibration performance and mechanism of long-span railway bridge streamlined box girder. Adv. Struct. Eng. 2023, 26, 2506–2519. [Google Scholar] [CrossRef]
  16. Wang, J.; Wang, F. Investigation of the effects of vortex isolation plates with different opening ratios and sizes on vortex-induced vibration. Appl. Sci. 2024, 14, 3863. [Google Scholar] [CrossRef]
  17. Yang, W.; Gao, D.; Chen, W. Self-issuing jet control for suppression of vortex-induced vibrations of a single box girder at low Sc. J. Wind. Eng. Ind. Aerodyn. 2024, 253, 105883. [Google Scholar] [CrossRef]
  18. Dong, J.-M.; Da, L.-S.; Jun, X.; Jun, G.-L.; Yu, S.; Ning, Y. Research on Key Technology of Steel Box Girder Construction Based on Measured Temperature Model. Sci. Eng. 2023, 2, 62. [Google Scholar] [CrossRef]
  19. Zhou, M.; Liu, Y.; Deng, W.; Hassanein, M.F.; Zhang, H. Transverse analysis of full-scale precast segmental box girder segments with corrugated steel webs: Experimental tests and FE modelling. Eng. Struct. 2019, 187, 231–241. [Google Scholar] [CrossRef]
  20. Duan, M.; Liao, N.; Zhang, L.; Hu, X. The mechanical behavior of a long-span steel-box girder during the hoisting process. Vibroeng. Procedia 2022, 42, 52–56. [Google Scholar] [CrossRef]
  21. Dong, F.; Zhou, S. Construction design and construction scheme of prefabricated box girder. Ferroelectrics 2021, 580, 235–250. [Google Scholar] [CrossRef]
  22. Wang, J.F.; Xiang, H.W.; Zhang, J.T.; Wu, T.M.; Xu, R.Q. Geometric state transfer method for construction control of a large-segment steel box girder with hoisting installation. J. Zhejiang Univ.-Sci. A 2020, 21, 382–391. [Google Scholar] [CrossRef]
  23. Wang, A.; Gao, R.; Chen, Q.; Jin, W.; Fang, P.; Wu, D. An Optimization Study on Continuous Steel Box Girder Bridge Components. Buildings 2025, 15, 124. [Google Scholar] [CrossRef]
  24. Ma, W.L.; Peng, F.; Wang, H.; Li, X.F. Free vibration and buckling of functional graded box beams and the effect of the cross-sectional warping shape. Mech. Adv. Mater. Struct. 2024, 31, 7167–7179. [Google Scholar] [CrossRef]
  25. Abid, M.; Khan, S.M.; Wajid, H.A. Optimization of box type girder with and without industrial constraints. IIUM Eng. J. 2018, 19, 289–306. [Google Scholar] [CrossRef]
  26. Zhao, P.; Rong, X.; Shao, X.; Han, H.; Jiang, Z.; Wang, Y. Flexural performance of precast segmental continuous box girders with corrugated steel webs. J. Constr. Steel Res. 2024, 216, 108621. [Google Scholar] [CrossRef]
  27. Su, H.; Guo, C.; Wang, Z.; Han, T.; Kamanda, D.B.; Su, F.; Shang, L. Research on safety condition assessment methodology for single tower steel box girder suspension bridges over the sea based on improved AHP-fuzzy comprehensive evaluation. Sci. Rep. 2024, 14, 12079. [Google Scholar] [CrossRef]
  28. Yan, Y.; Su, S.; Qin, Y.; Gu, J.; Yang, K. Multi method step-by-step optimization of bias-rail box girder structure. KSCE J. Civ. Eng. 2025, 29, 100069. [Google Scholar] [CrossRef]
  29. Ren, Y.; Liu, X.; Wang, B. Mass Optimization of Crane Box Girder Considering Both Ribs and Diaphragms using APDL. Int. J. Steel Struct. 2024, 24, 672–692. [Google Scholar] [CrossRef]
  30. Zhang, J.; Zhang, M.; Li, Y.; Qin, J.; Wei, K.; Song, L. Analysis of wind characteristics and wind energy potential in complex mountainous region in southwest China. J. Clean. Prod. 2020, 274, 123036. [Google Scholar] [CrossRef]
  31. Fang, Y.; Zhao, B.; Chen, W.; Gao, C.; Li, X.; Zhang, D.; Li, C. Fluid-structure interaction analysis of large-span air-supported membrane structures under typhoon conditions. Phys. Fluids 2024, 36, 115163. [Google Scholar] [CrossRef]
  32. Yakhot, V.; Smith, L.M. The renormalization group, the ε-expansion and derivation of turbulence models. J. Sci. Comput. 1992, 7, 35–61. [Google Scholar] [CrossRef]
  33. ASTM A572/A572M-24; Standard Specification for High-Strength Low-Alloy Columbium-Vanadium Structural Steel. ASTM International: West Conshohocken, PA, USA, 2024.
  34. Yang, Y.; Du, H.; Yao, G.; Ma, X.; Men, W. Time-Varying Mechanical Analysis of Long-Span Spatial Steel Structures Integral Lifting in Construction Basing Building Information Model. Sustainability 2023, 15, 11256. [Google Scholar] [CrossRef]
  35. Gu, M. Some important aspects of wind-resistant studies on long-span bridges. Sci. China Technol. Sci. 2012, 55, 3334–3343. [Google Scholar] [CrossRef]
  36. Ministry of Transport of the People’s Republic of China. General Specification for Design of Highway Bridges and Culverts: JTG D60-2015; People’s Communications Press Co., Ltd.: Beijing, China, 2015. [Google Scholar]
  37. Ministry of Transport of the People’s Republic of China. Design Code for Highway Steel Structure Bridges: JTG D64-2015; People’s Communications Press Co., Ltd.: Beijing, China, 2015. [Google Scholar]
Figure 1. Field implementation of the steel box girder synchronous lifting operation at the Xiaotun Grand Bridge site.
Figure 1. Field implementation of the steel box girder synchronous lifting operation at the Xiaotun Grand Bridge site.
Buildings 16 00251 g001
Figure 2. Control strategy of the intelligent synchronous lifting system.
Figure 2. Control strategy of the intelligent synchronous lifting system.
Buildings 16 00251 g002
Figure 3. Comparison between measured spectrum and wind speed spectrum: (a) downwind direction, (b) vertical direction.
Figure 3. Comparison between measured spectrum and wind speed spectrum: (a) downwind direction, (b) vertical direction.
Buildings 16 00251 g003
Figure 4. Finite element model: (a) model overview, (b) cross-sectional detail grid.
Figure 4. Finite element model: (a) model overview, (b) cross-sectional detail grid.
Buildings 16 00251 g004
Figure 5. Variation in lift coefficient under different meshing methods.
Figure 5. Variation in lift coefficient under different meshing methods.
Buildings 16 00251 g005
Figure 6. Vector diagram of outer drainage basin of steel box girder under a strong breeze load condition with 90° wind direction angle.
Figure 6. Vector diagram of outer drainage basin of steel box girder under a strong breeze load condition with 90° wind direction angle.
Buildings 16 00251 g006
Figure 7. Lateral displacement of steel box girder under two working conditions of 90° wind angle: (a) linear static condition, (b) fluid–structure interaction condition.
Figure 7. Lateral displacement of steel box girder under two working conditions of 90° wind angle: (a) linear static condition, (b) fluid–structure interaction condition.
Buildings 16 00251 g007
Figure 8. Vector diagram of outer drainage basin of steel box girder under a strong breeze load with 60° wind angle.
Figure 8. Vector diagram of outer drainage basin of steel box girder under a strong breeze load with 60° wind angle.
Buildings 16 00251 g008
Figure 9. Lateral displacement of steel box girder under two working conditions of 60° wind angle: (a) linear static condition, (b) fluid–structure interaction condition.
Figure 9. Lateral displacement of steel box girder under two working conditions of 60° wind angle: (a) linear static condition, (b) fluid–structure interaction condition.
Buildings 16 00251 g009
Figure 10. Maximum displacement of steel box girder at two wind angles: (a) wind direction angle 90°, (b) wind direction angle 60°.
Figure 10. Maximum displacement of steel box girder at two wind angles: (a) wind direction angle 90°, (b) wind direction angle 60°.
Buildings 16 00251 g010
Figure 11. Drainage pressure outside the steel box girder under strong breeze load at 90° wind angle.
Figure 11. Drainage pressure outside the steel box girder under strong breeze load at 90° wind angle.
Buildings 16 00251 g011
Figure 12. Stress of steel box girder under two working conditions of 90° wind angle: (a) linear static condition, (b) fluid–structure interaction condition.
Figure 12. Stress of steel box girder under two working conditions of 90° wind angle: (a) linear static condition, (b) fluid–structure interaction condition.
Buildings 16 00251 g012
Figure 13. Drainage pressure outside the steel box girder under strong breeze load at 60° wind angle.
Figure 13. Drainage pressure outside the steel box girder under strong breeze load at 60° wind angle.
Buildings 16 00251 g013
Figure 14. Stress of steel box girder under two working conditions of 90° wind angle: (a) linear static condition, (b) fluid–structure interaction condition.
Figure 14. Stress of steel box girder under two working conditions of 90° wind angle: (a) linear static condition, (b) fluid–structure interaction condition.
Buildings 16 00251 g014
Figure 15. Maximum stress of steel box girder lifting point at two wind directions: (a) wind direction angle 90°, (b) wind direction angle 60°.
Figure 15. Maximum stress of steel box girder lifting point at two wind directions: (a) wind direction angle 90°, (b) wind direction angle 60°.
Buildings 16 00251 g015
Figure 16. Vibration frequency curve of lifting platform.
Figure 16. Vibration frequency curve of lifting platform.
Buildings 16 00251 g016
Figure 17. Lifting stress of Working Conditions 1 and 2: (a) Condition 1 (b) Condition 2.
Figure 17. Lifting stress of Working Conditions 1 and 2: (a) Condition 1 (b) Condition 2.
Buildings 16 00251 g017
Figure 18. Fluid domain vector diagram of Working Conditions 3 and 4.
Figure 18. Fluid domain vector diagram of Working Conditions 3 and 4.
Buildings 16 00251 g018
Figure 19. Lifting stress of Working Conditions 3 and 4: (a) Condition 3, (b) Condition 4.
Figure 19. Lifting stress of Working Conditions 3 and 4: (a) Condition 3, (b) Condition 4.
Buildings 16 00251 g019
Figure 20. Variation curves of the stability coefficient under different wind speeds.
Figure 20. Variation curves of the stability coefficient under different wind speeds.
Buildings 16 00251 g020
Figure 21. Layout of measuring points of steel box girder: (a) layout of stress measuring points of steel box girder midspan section, (b) layout of stress measuring points of steel box girder lifting lugs.
Figure 21. Layout of measuring points of steel box girder: (a) layout of stress measuring points of steel box girder midspan section, (b) layout of stress measuring points of steel box girder lifting lugs.
Buildings 16 00251 g021
Figure 22. Comparison between simulated and measured stress values: (a) comparison between simulated and measured values of maximum stress at lifting point; (b) comparison between simulated and measured values of maximum stress at midspan.
Figure 22. Comparison between simulated and measured stress values: (a) comparison between simulated and measured values of maximum stress at lifting point; (b) comparison between simulated and measured values of maximum stress at midspan.
Buildings 16 00251 g022
Figure 23. Schematic diagram of the pre-enhancement stage.
Figure 23. Schematic diagram of the pre-enhancement stage.
Buildings 16 00251 g023
Table 1. Parameters of the finite element model.
Table 1. Parameters of the finite element model.
MaterialsDensity/(kg·m−3)Poisson’s RatioElastic ModulusTemperature
Steel78500.312.06 × 105\
Air1.1845\\25 °C
Table 2. Loading cases of displacement and stress of steel box girders during the lifting process.
Table 2. Loading cases of displacement and stress of steel box girders during the lifting process.
Calculation MethodWind Direction AngleWind Load GradeLifting Height (m)
linear static force90°, 60°moderate breeze,
strong breeze,
fresh gale
3, 10, 17, 25, 32, 38, 45
fluid–structure interaction
Table 3. Working condition table for stability study.
Table 3. Working condition table for stability study.
Working Condition Sequence NumberLoad Combination
Working Condition 1self-weight + horizontal vibration
Working Condition 2self-weight + longitudinal vibration
Working Condition 3self-weight + horizontal vibration + strong breeze load
Working Condition 4self-weight + longitudinal vibration + strong breeze load
Table 4. Grid division method.
Table 4. Grid division method.
NumberTotal Number of Unitsy+
method 11.5 × 1061.2
method 23.2 × 1060.8
method 36 × 1060.5
Table 5. Amplitude and spectral frequency energy of lift coefficient with different steps.
Table 5. Amplitude and spectral frequency energy of lift coefficient with different steps.
Step Length (s)ACLΔACL (%)Ef (dB)
0.0010.318/−12.6
0.0050.3121.9−12.8
0.010.2879.715.2
Table 6. Maximum lateral displacement of steel box girder under different working conditions (mm).
Table 6. Maximum lateral displacement of steel box girder under different working conditions (mm).
Calculation MethodWind Direction Angle (°)Wind Load GradeLifting Height (m)
3101725323845
linear static force90moderate breeze8.7111.5212.1112.5311.610.79.82
strong breeze14.6725.8027.3328.5825.7622.1719.25
fresh gale20.1140.7243.3845.8738.9733.0929.66
60moderate breeze2.605.846.328.485.995.134.32
strong breeze7.3513.9515.3316.0814.3712.6610.95
fresh gale13.2922.0223.2024.2721.6719.3416.78
fluid–structure interaction90moderate breeze12.5217.2318.4219.0517.4615.8714.29
strong breeze20.8238.2740.7342.8836.3830.5627.38
fresh gale30.3959.8363.4967.1557.9549.2240.23
60moderate breeze5.7510.8911.5512.3010.669.027.38
strong breeze12.6520.8521.923.0020.718.416.10
fresh gale20.0333.0134.8036.4132.1127.823.48
Table 7. Maximum stress of steel box girder lifting lugs under different working conditions (n/mm2).
Table 7. Maximum stress of steel box girder lifting lugs under different working conditions (n/mm2).
Calculation MethodWind Direction Angle (°)Wind Load GradeLifting Height (m)
3101725323845
linear static force90moderate breeze26.7148.9251.3154.4754.654.754.84
strong breeze68.67112.80117.33123.83123.76123.10123.17
fresh gale89.2940.7243.38168.67168.97168.09168.64
60moderate breeze21.6533.8434.3236.9836.9936.1336.37
strong breeze45.7991.9597.33103.67103.37103.66103.35
fresh gale85.50124.72129.20134.59134.67134.34135.24
fluid–structure interaction90moderate breeze39.5272.2376.4279.7578.4679.8780.09
strong breeze100.29172.27182.13190.80191.38191.56191.27
fresh gale134.33221.83233.49253.15252.95235.22252.96
60moderate breeze30.4651.5954.8258.0658.4058.8058.43
strong breeze84.32140.85148.9156.93157.7157.4158.33
fresh gale121.83181.01189.80197.11197.11198.80199.48
Table 8. Anti-overturning stability coefficient under four working conditions.
Table 8. Anti-overturning stability coefficient under four working conditions.
Working Condition CategoryWork Condition 1Work Condition 2Work Condition 3Work Condition 4
stability coefficient K8.537.435.284.51
Table 9. First-order stability coefficients of four working conditions.
Table 9. First-order stability coefficients of four working conditions.
Working Condition CategoryWork Condition 1Work Condition 2Work Condition 3Work Condition 4
first-order stability coefficient8.699.914.574.98
Disclaimer/Publisher’s Note: The statements, opinions and data contained in all publications are solely those of the individual author(s) and contributor(s) and not of MDPI and/or the editor(s). MDPI and/or the editor(s) disclaim responsibility for any injury to people or property resulting from any ideas, methods, instructions or products referred to in the content.

Share and Cite

MDPI and ACS Style

Zhu, S.; Sun, X.; Liu, X.; Li, W.; Liang, B. Analysis of Wind-Induced Response During the Lifting Construction of Super-Large-Span Heavy Steel Box Girders. Buildings 2026, 16, 251. https://doi.org/10.3390/buildings16020251

AMA Style

Zhu S, Sun X, Liu X, Li W, Liang B. Analysis of Wind-Induced Response During the Lifting Construction of Super-Large-Span Heavy Steel Box Girders. Buildings. 2026; 16(2):251. https://doi.org/10.3390/buildings16020251

Chicago/Turabian Style

Zhu, Shuhong, Xiaotong Sun, Xiaofeng Liu, Wenjie Li, and Bin Liang. 2026. "Analysis of Wind-Induced Response During the Lifting Construction of Super-Large-Span Heavy Steel Box Girders" Buildings 16, no. 2: 251. https://doi.org/10.3390/buildings16020251

APA Style

Zhu, S., Sun, X., Liu, X., Li, W., & Liang, B. (2026). Analysis of Wind-Induced Response During the Lifting Construction of Super-Large-Span Heavy Steel Box Girders. Buildings, 16(2), 251. https://doi.org/10.3390/buildings16020251

Note that from the first issue of 2016, this journal uses article numbers instead of page numbers. See further details here.

Article Metrics

Back to TopTop