Investigation of Edge Scour and Undermining Process of Conical Structure Around a Monopile
Abstract
1. Introduction
2. Numerical Methodology
2.1. Numerical Simulation Setup
2.2. Governing Equations and Turbulence Model
2.3. Sediment Transport Model
2.4. Computational Domain and Boundary Condition
2.5. Validation of Numerical Model
3. Results and Discussion
3.1. Effects of Conical Structure on Scour Development
3.2. Effetcs of Slope Angle α
3.2.1. Scour Depth Development
3.2.2. Undermining Process Around the Conical Structure
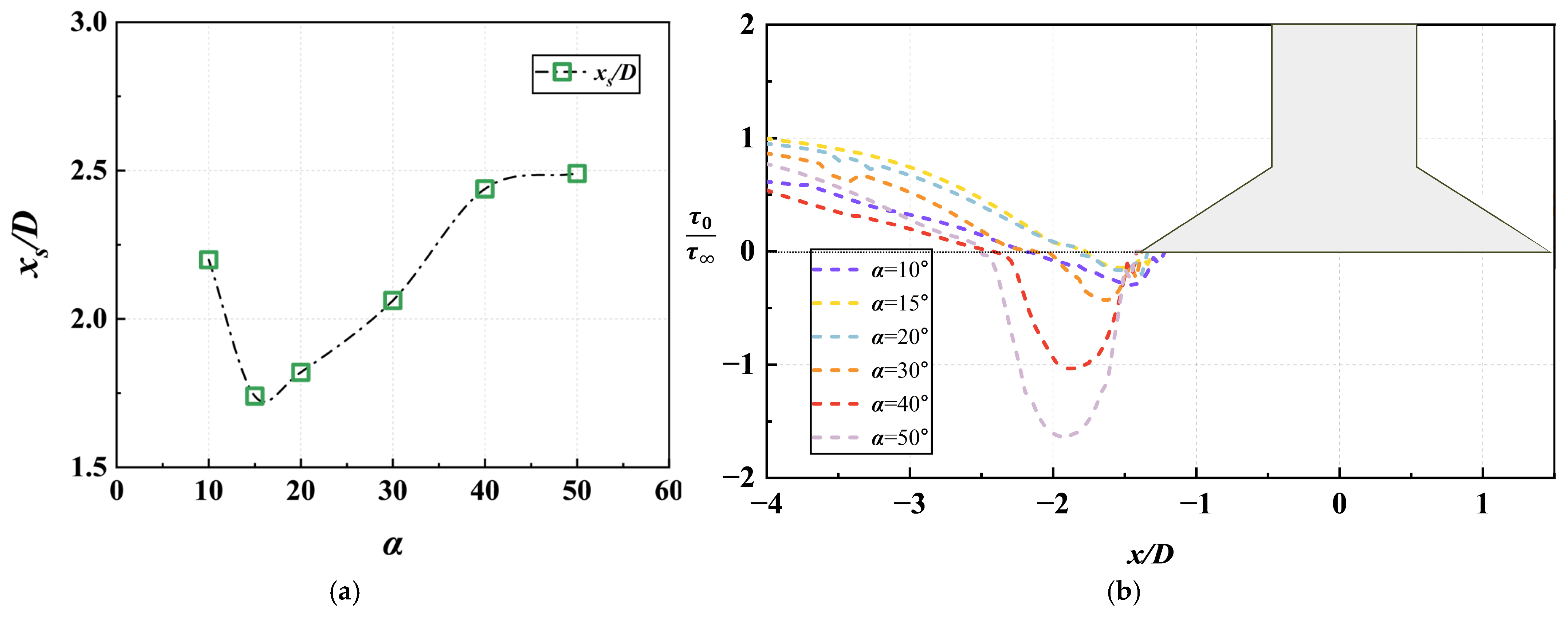
3.2.3. Seabed Shear Stress Distribution
3.3. Flow Characteristics
3.3.1. Downstream Vortices Distribution
3.3.2. Time-Averaged Near-Bed Velocity
3.3.3. Turbulence Kinetic Energy Distribution
4. Conclusions
- Conical structures exhibit excellent scour protection performance. Compared with unprotected conditions, their scour protection efficiency can exceed 70%. Furthermore, the protective performance improves as the slope angle decreases. A critical slope angle was identified between 30° and 40°. The slope angle exerts a pronounced influence on scour depth below this range, whereas its effect diminishes significantly at higher angles.
- The undermining process is also affected by slope angle α. Local scour around conical scour protection could be divided into two main stages: the initial edge scour stage and the undermining stage. Upstream undermining is obvious, while the downstream undermining is not significant due to flow separation and shield effects. Downstream undermining development is largely related to the flow separation point of near-bed velocity. The critical undermining point (CUP) is proposed based on the undermining curve, which means the two side edge scours hole develops to be combined into one. The CUP distinguishes between different states of undermining, and it is vital for structural stability. When the slope angle α is large, the CUP appears; otherwise, it does not appear or appears in a later scour stage.
- Two symmetry vortices were observed downstream. The downstream undermining area is related to near-bed flow separation. Also, the turbulent kinetic energy peaks vary with increasing slope angle. The maximum value is located around x/D = 2.5, and the peak position of turbulent kinetic energy shifts upward as the slope angle increases.
Author Contributions
Funding
Data Availability Statement
Conflicts of Interest
References
- Gazi, A.H.; Afzal, M.S. A review on hydrodynamics of horseshoe vortex at a vertical cylinder mounted on a flat bed and its implication to scour at a cylinder. Acta Geophys. 2020, 68, 861–875. [Google Scholar] [CrossRef]
- Guan, D.-W.; Xie, Y.-X.; Yao, Z.-S.; Chiew, Y.-M.; Zhang, J.-S.; Zheng, J.-S. Local scour at offshore windfarm monopile foundations: A review. Water Sci. Eng. 2021, 15, 29–39. [Google Scholar] [CrossRef]
- Tang, Z.-H.; Melville, B.; Singhal, N.; Shamseldin, A.; Zheng, J.-H.; Guan, D.-W.; Cheng, L. Countermeasures for local scour at offshore wind turbine monopile foundations: A review. Water Sci. Eng. 2022, 15, 15–28. [Google Scholar] [CrossRef]
- Mutlu, S.B.; Jørgen, F. The Mechanics of Scour in the Marine Environment; World Scientific: Singapore, 2002. [Google Scholar]
- Hu, D.; Tang, W.; Sun, L.; Li, F.; Ji, X.; Duan, Z. Numerical simulation of local scour around two pipelines in tandem using CFD–DEM method. Appl. Ocean Res. 2019, 93, 101968. [Google Scholar] [CrossRef]
- Hu, Z.; Li, Y.P. Full-scale tsunami-induced scour around a circular pile with three-dimensional seepage. Coast. Eng. 2025, 197, 104676. [Google Scholar] [CrossRef]
- Hu, Z.; Qi, W.-G.; Li, Y.P. The Role of Dynamic Seepage Response in Sediment Transport and Tsunami-Induced Scour. J. Geophys. Res. Ocean 2025, 130, e2024JC021084. [Google Scholar] [CrossRef]
- Chiew, Y.M. Scour Protection at Bridge Piers. J. Hydraul. Eng. 1992, 118, 1260–1269. [Google Scholar] [CrossRef]
- Kumar, V.; Raju Kittur, G.R.; Vittal, N. Reduction of Local Scour around Bridge Piers Using Slots and Collars. J. Hydraul. Eng. 1999, 125, 1302–1305. [Google Scholar] [CrossRef]
- Chiew, Y.; Lim, S. Protection of bridge piers using a sacrificial sill. Proc. Inst. Civ. Eng. Water Marit. Eng. 2003, 156, 53–62. [Google Scholar] [CrossRef]
- Zhai, Y.; Fuhrman, D.R.; Damgaard Christensen, E. Numerical simulations of flow inside a stone protection layer with a modified k-ω turbulence model. Coast. Eng. 2024, 189, 104469. [Google Scholar] [CrossRef]
- Ismail, H.; Xu, Y.; Liu, X. Flow and scour around idealized porous engineered log jam structures. J. Hydraul. Eng. 2021, 147, 04020089. [Google Scholar] [CrossRef]
- Fan, Y.; Lili, Q.; Guoqiang, T.; Lin, L. Local scour around a porous surface-piercing square monopile in steady current. Ocean Eng. 2021, 223, 108716. [Google Scholar] [CrossRef]
- Qi, H.; Wang, J.; Zou, W.; Luo, W.; Tian, W.; Li, J. Characteristics and mechanism of local scour reduction around spur dike using the collar in clear water. Sci. Rep. 2024, 14, 12299. [Google Scholar] [CrossRef]
- Liu, X.; Chen, J.; Lei, Y.; Liu, R.; Zhou, Y.; Li, H.; Yuan, J. An experimental study of using artificial reefs as scour protection around an offshore wind monopile. Ocean Eng. 2025, 337, 121932. [Google Scholar] [CrossRef]
- Tang, Z.; Melville, B.; Shamseldin, A.Y.; Singhal, N.; Guan, D. Experimental study of bed solidification as a local scour countermeasure for offshore wind turbine monopile foundations. Ocean Eng. 2024, 299, 117369. [Google Scholar] [CrossRef]
- Tang, Z.; Melville, B.; Shamseldin, A.; Guan, D.; Singhal, N.; Yao, Z. Experimental study of collar protection for local scour reduction around offshore wind turbine monopile foundations. Coast. Eng. 2023, 183, 104324. [Google Scholar] [CrossRef]
- Petersen, T.U.; Mutlu Sumer, B.; Fredsøe, J.; Raaijmakers, T.C.; Schouten, J.-J. Edge scour at scour protections around piles in the marine environment—Laboratory and field investigation. Coast. Eng. 2015, 106, 42–72. [Google Scholar] [CrossRef]
- Shahhosseini, M.; Yue, S.; Xu, J.; Zhang, M.; Yu, G. Scour depth at a pile with a collar at bed level in clear-water current. Ocean Eng. 2025, 320, 120319. [Google Scholar] [CrossRef]
- Zhang, Q.; Tang, G.; Lu, L.; Yang, F. Scour protections of collar around a monopile foundation in steady current. Appl. Ocean Res. 2021, 112, 102718. [Google Scholar] [CrossRef]
- Sumer, B.M.; Fredsøe, J.; Christiansen, N.; Hansen, S.B. Bed Shear Stress and Scour Around Coastal Structures. In Coastal Engineering 1994; Proceedings; ASCE Labrary: Reston, VA, USA, 2015; pp. 1595–1609. [Google Scholar]
- Mehrzad, R.; Hakimzadeh, H. Experimental Investigation of the Effects of Slotted Cone-Shaped Piers on Scour Reduction Due to Steady Flows. Int. J. Offshore Polar Eng. 2017, 27, 318–325. [Google Scholar] [CrossRef]
- Aghaee-Shalmani, Y.; Hakimzadeh, H. Experimental investigation of scour around semi-conical piers under steady current action. Eur. J. Environ. Civ. Eng. 2015, 19, 717–732. [Google Scholar] [CrossRef]
- Chiew, Y.-M. Mechanics of local scour around submarine pipelines. J. Hydraul. Eng. 1990, 116, 515–529. [Google Scholar] [CrossRef]
- Galán, Á.; González, J. Effects of shape, inlet blockage and wing walls on local scour at the outlet of non-submerged culverts: Undermining of the embankment. Environ. Earth Sci. 2019, 79, 25. [Google Scholar] [CrossRef]
- Lancaster, O.; Cossu, R.; Baldock, T.E. Experimental investigation into 3D scour processes around a gravity based Oscillating Water Column Wave Energy Converter. Coast. Eng. 2020, 161, 103754. [Google Scholar] [CrossRef]
- Qu, L.; An, H.; Draper, S.; Watson, P.; Cheng, L. An experimental investigation of local scour at squat, shallowly embedded subsea structures. Coast. Eng. 2025, 202, 104851. [Google Scholar] [CrossRef]
- Raudkivi, A.J.; Ettema, R. Effect of sediment gradation on clear water scour. J. Hydraul. Div. 1977, 103, 1209–1213. [Google Scholar] [CrossRef]
- Soulsby, R.L.; Whitehouse, R.J. Threshold of sediment motion in coastal environments. In Pacific Coasts and Ports’ 97: Proceedings of the 13th Australasian Coastal and Ocean Engineering Conference and the 6th Australasian Port and Harbour Conference; Centre for Advanced Engineering, University of Canterbury: Christchurch, New Zealand, 1997; Volume 1, pp. 145–150. [Google Scholar]
- Qin, J.; Yang, X.; Wei, K.; Qiu, F. Cross-sectional blockage effect on the drag force of a scaled round-ended pier model under directional flow. Ocean Eng. 2022, 264, 112532. [Google Scholar] [CrossRef]
- Qiu, F.; Wei, K.; Xiang, Q.; Jiang, Z. Effects of local scour and caisson geometry on the drag force of bridge foundations under steady flow. Appl. Ocean Res. 2023, 133, 103506. [Google Scholar] [CrossRef]
- Zhu, Y.; Li, Y.; Xie, L. Hydrodynamic Effects and Scour Protection of a Geotextile Mattress with a Floating Plate. J. Mar. Sci. Eng. 2025, 13, 2215. [Google Scholar] [CrossRef]
- Mohapatra, S.C.; Islam, H.; Guedes Soares, C. Boussinesq Model and CFD Simulations of Non-Linear Wave Diffraction by a Floating Vertical Cylinder. J. Mar. Sci. Eng. 2020, 8, 575. [Google Scholar] [CrossRef]
- Guo, Y.C.; Mohapatra, S.C.; Guedes Soares, C. Experimental study on the performance of an array of vertical flexible porous membrane type breakwater under regular waves. Ocean Eng. 2022, 264, 112328. [Google Scholar] [CrossRef]
- Yakhot, V.; Smith, L.M. The renormalization group, the ɛ-expansion and derivation of turbulence models. J. Sci. Comput. 1992, 7, 35–61. [Google Scholar] [CrossRef]
- Wong, M.; Parker, G. Reanalysis and correction of bed-load relation of Meyer-Peter and Müller using their own database. J. Hydraul. Eng. 2006, 132, 1159–1168. [Google Scholar] [CrossRef]
- Deng, X.; He, S.; Cao, Z. Numerical investigation of the local scour around a coconut tree root foundation under wave-current joint actions. Ocean Eng. 2022, 245, 110563. [Google Scholar] [CrossRef]
- Roulund, A.; Sumer, B.M.; Fredsøe, J.; Michelsen, J. Numerical and experimental investigation of flow and scour around a circular pile. J. Fluid Mech. 2005, 534, 351–401. [Google Scholar] [CrossRef]
- Qu, L.; Draper, S.; An, H.; Watson, P.; Cheng, L.; Harris, J.M.; Whitehouse, R.J.S. Prediction of Scour Around Subsea Shallow Foundations Under Time-Varying Currents. In Proceedings of the ASME 2024 43rd International Conference on Ocean, Offshore and Arctic Engineering, Singapore, 9–14 June 2024. [Google Scholar]
- Baykal, C.; Sumer, B.M.; Fuhrman, D.R.; Jacobsen, N.G.; Fredsøe, J. Numerical investigation of flow and scour around a vertical circular cylinder. Philos. Trans. R. Soc. A Math. Phys. Eng. Sci. 2015, 373, 20140104. [Google Scholar] [CrossRef] [PubMed]
- Chang, W.-Y.; Constantinescu, G.; Tsai, W.-F. Effect of array submergence on flow and coherent structures through and around a circular array of rigid vertical cylinders. Phys. Fluids 2020, 32, 035110. [Google Scholar] [CrossRef]

















| h/m | U/(m/s) | d50/mm | D* | θ | θcr | θ/θcr |
|---|---|---|---|---|---|---|
| 0.5 | 0.35 | 0.486 | 11.88 | 0.041 | 0.031 | 1.3 |
| Test | Slope Angle α | Scour Depth Sp/D | Kp |
|---|---|---|---|
| B1 | 10 | 0.21 | 81% |
| B2 | 15 | 0.24 | 78% |
| B3 | 20 | 0.27 | 75% |
| B4 | 30 | 0.29 | 73% |
| B5 | 40 | 0.43 | 59% |
| B6 | 50 | 0.41 | 61% |
| B7 | 0 | 1.02 | 0 |
| Scour Test | Rigid Bed Test | |
|---|---|---|
| Water depth h (m) | 0.4 | 0.54 |
| Velocity U (m/s) | 0.46 | 0.326 |
| Boundary layer thickness δ (m) | 0.2 | 0.54 |
| Diameter D (m) | 0.1 | 0.536 |
| Seabed roughness ks (mm) | 0.55 | 0 |
| Sand medium diameter d50 (mm) | 0.26 | |
| Shields number θ | 0.55 |
| Coarse Mesh | Medium Mesh | Fine Mesh | Reference Exp. | Reference Num. | |
|---|---|---|---|---|---|
| Mesh size | 0.1D | 0.08D | 0.04D | ||
| Scour depth (S0/D) | 0.93 | 1.09 | 1.21 | 1.05 | 1.23 |
Disclaimer/Publisher’s Note: The statements, opinions and data contained in all publications are solely those of the individual author(s) and contributor(s) and not of MDPI and/or the editor(s). MDPI and/or the editor(s) disclaim responsibility for any injury to people or property resulting from any ideas, methods, instructions or products referred to in the content. |
© 2026 by the authors. Licensee MDPI, Basel, Switzerland. This article is an open access article distributed under the terms and conditions of the Creative Commons Attribution (CC BY) license.
Share and Cite
Tu, J.; Yang, F.; Yu, C.; Wang, F. Investigation of Edge Scour and Undermining Process of Conical Structure Around a Monopile. J. Mar. Sci. Eng. 2026, 14, 90. https://doi.org/10.3390/jmse14010090
Tu J, Yang F, Yu C, Wang F. Investigation of Edge Scour and Undermining Process of Conical Structure Around a Monopile. Journal of Marine Science and Engineering. 2026; 14(1):90. https://doi.org/10.3390/jmse14010090
Chicago/Turabian StyleTu, Jinming, Fan Yang, Chi Yu, and Fuming Wang. 2026. "Investigation of Edge Scour and Undermining Process of Conical Structure Around a Monopile" Journal of Marine Science and Engineering 14, no. 1: 90. https://doi.org/10.3390/jmse14010090
APA StyleTu, J., Yang, F., Yu, C., & Wang, F. (2026). Investigation of Edge Scour and Undermining Process of Conical Structure Around a Monopile. Journal of Marine Science and Engineering, 14(1), 90. https://doi.org/10.3390/jmse14010090

