Response Surface Methodology for Wear Optimization of Irrigation Centrifugal Pumps in High-Sediment Water Conditions of Southern Xinjiang: Design and Experimental Validation
Abstract
1. Introduction
2. Modeling and Numerical Computation Methods
2.1. Model Construction
2.2. Grid Generation
2.3. Grid Independence Verification and y+ Evaluation
2.4. Numerical Computation Methods
2.4.1. Turbulence Model
2.4.2. Particle Motion Model
2.4.3. Wear Model
3. Experiment Verification and Wear Patterns
3.1. Boundary Conditions
3.2. Experimental System and Process
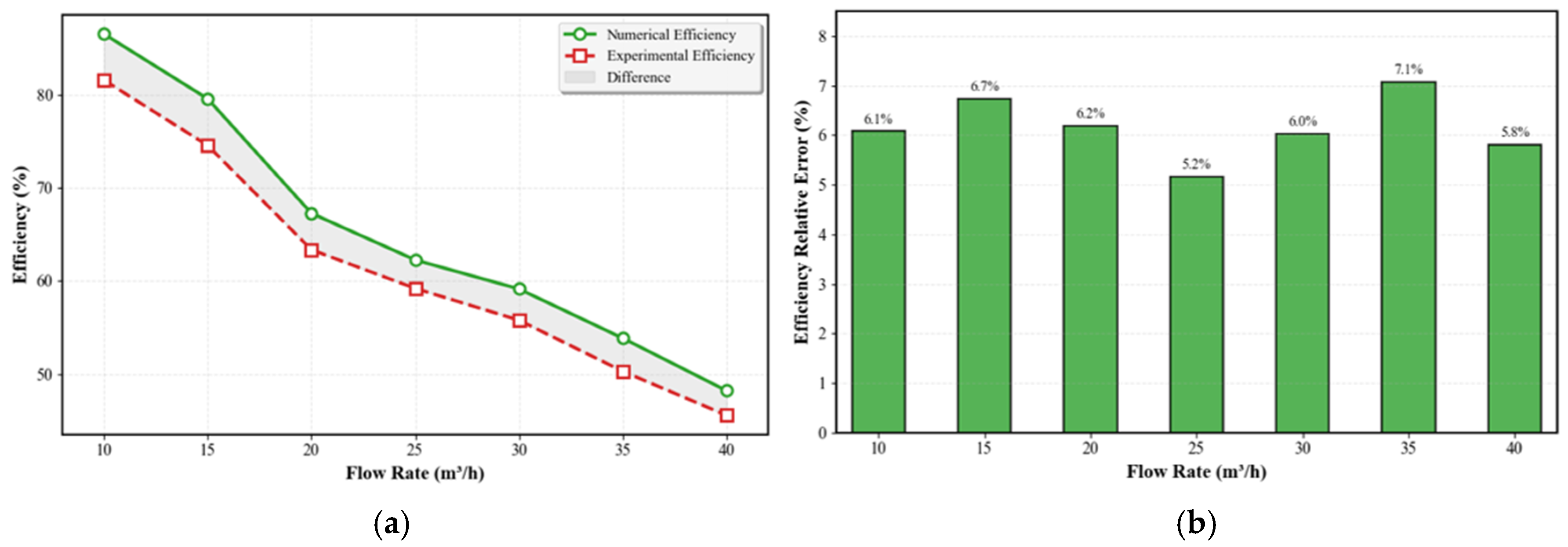
3.3. Comparison of Results
3.4. Analysis of Wear Characteristics of Prototype Pumps
4. Experimental Design Based on RSM
4.1. Plackett–Burman Screening Design
4.2. Full Factorial Design
4.3. Response Surface Experiment
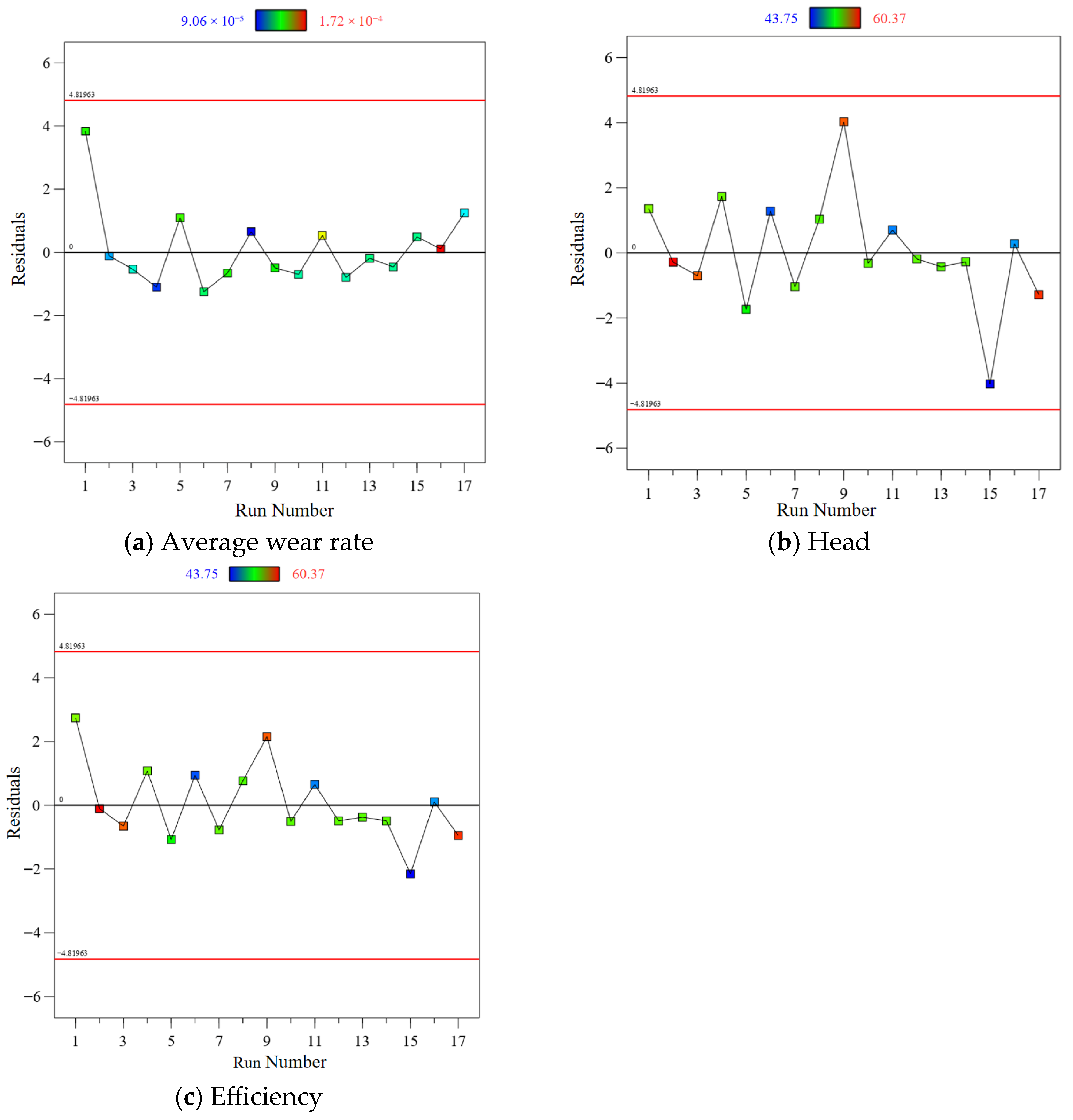
4.4. Fitted Regression Equation and Significance Testing
- (1)
- Regression equation for head:
- (2)
- Regression equation for shaft power:
- (3)
- Regression equation for efficiency:
- (4)
- Regression equation for average erosion rate:
5. Results and Discussion
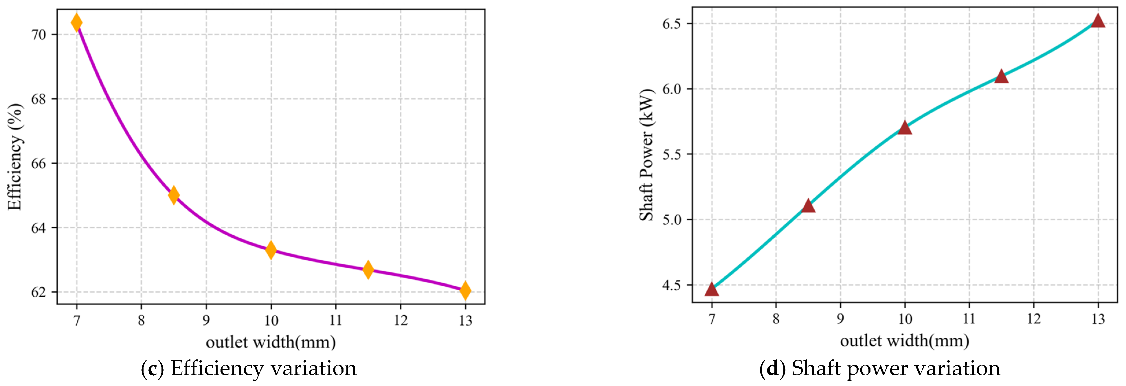
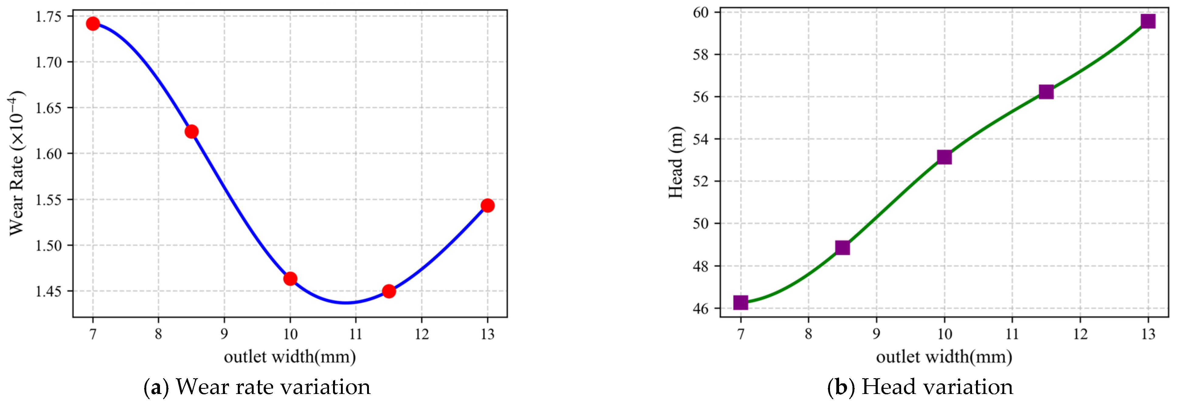
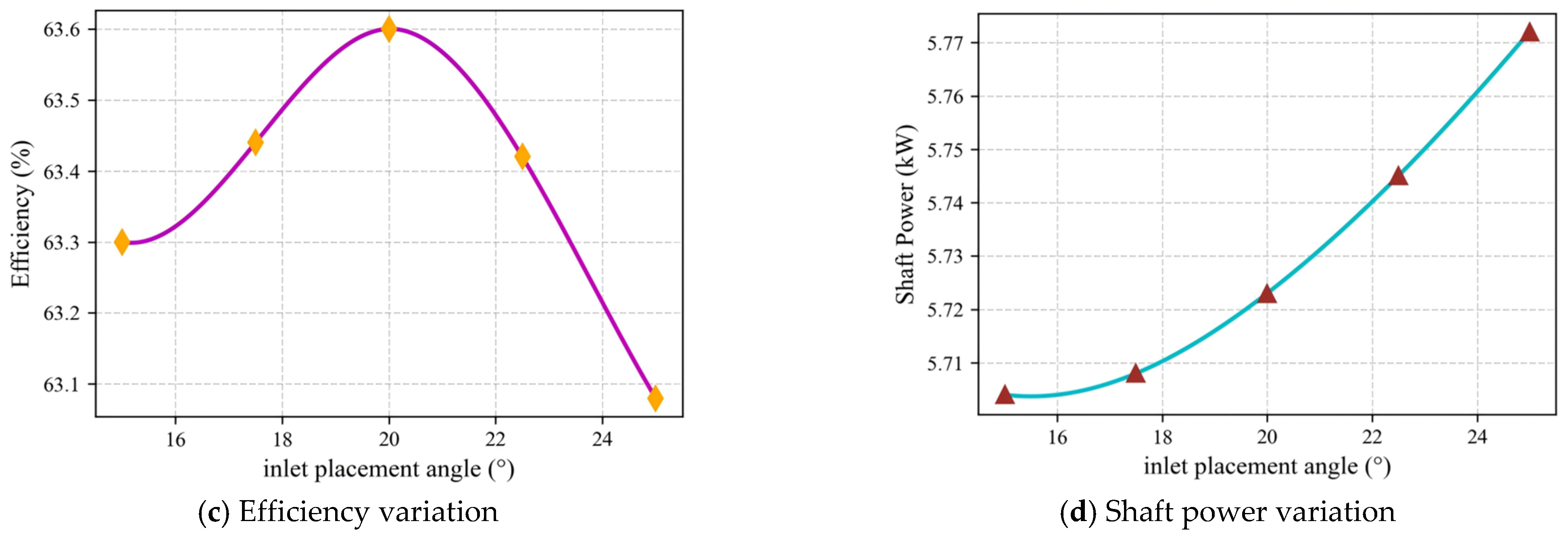
5.1. Main Effect Analysis of Variables
5.2. Analysis of Interaction Effects Between Variables
5.3. Comparison of Pump Performance Before and After Optimization
6. Conclusions
Author Contributions
Funding
Institutional Review Board Statement
Informed Consent Statement
Data Availability Statement
Acknowledgments
Conflicts of Interest
References
- Zhu, C.B.; Zhou, Y.J.; Bian, Z.F.; Xu, Y.N.; Chen, J.C.; Chen, Z. Study on the division and calculation of reservoir capacity in tunnel underground reservoirs for pumped storage power stations in abandoned mines (PSPSAM). Int. J. Electr. Power Energy Syst. 2025, 171, 110983. [Google Scholar] [CrossRef]
- Feng, C.; Li, C.S.; Chang, L.; Ding, T.; Mai, Z.J. Advantage analysis of variable-speed pumped storage units in renewable energy power grid: Mechanism of avoiding S-shaped region. Int. J. Electr. Power Energy Syst. 2020, 120, 105976. [Google Scholar] [CrossRef]
- Kang, C.; Cao, Q.; Teng, S.; Liu, H.X.; Ding, K.J. Wear characteristics of a centrifugal pump transporting solid-liquid mixture: An experimental and numerical study. Ain Shams Eng. J. 2024, 15, 102277. [Google Scholar] [CrossRef]
- Wang, Y.P.; Li, W.Q.; He, T.L.; Liu, H.; Han, C.F.; Zhu, Z.C. Experimental study on the influence of particle diameter, mass concentration, and impeller material on the wear performance of solid-liquid two-phase centrifugal pump blade. Front. Energy Res. 2022, 10, 893385. [Google Scholar] [CrossRef]
- Shen, Z.; Li, R.; Han, W.; Quan, H.; Guo, R. Erosion wear on impeller of double-suction centrifugal pump due to sediment flow. J. Appl. Fluid Mech. 2020, 13, 1131–1142. [Google Scholar] [CrossRef]
- Wang, Y.; Wang, X.; Chen, J.; Li, G.X.; Liu, H.L.; Xiong, W. An experimental insight into dynamic characteristics and wear of centrifugal pump handling multi-size particulate slurry. Eng. Fail. Anal. 2022, 138, 106303. [Google Scholar] [CrossRef]
- Tang, C.; Yang, Y.C.; Liu, P.Z.; Kim, Y.J. Prediction of abrasive and impact wear due to multi-shaped particles in a centrifugal pump via CFD-DEM coupling method. Energies 2021, 14, 2391. [Google Scholar] [CrossRef]
- Zhang, W.Q.; Yang, S.; Wu, D.Z.A.; Mou, J.G. Effect of particle mass concentration on erosion characteristics of self-priming pump. Proc. Inst. Mech. Eng. Part C J. Mech. Eng. Sci. 2021, 235, 6782–6797. [Google Scholar] [CrossRef]
- Tarodiya, R.; Gandhi, B.K. Numerical simulation of a centrifugal slurry pump handling solid-liquid mixture: Effect of solids on flow field and performance. Adv. Powder Technol. 2019, 30, 2225–2239. [Google Scholar] [CrossRef]
- Oka, Y.I.; Okamura, K.; Yoshida, T. Practical estimation of erosion damage caused by solid particle impact: Part 1: Effects of impact parameters on a predictive equation. Wear 2005, 259, 95–101. [Google Scholar] [CrossRef]
- Oka, Y.I.; Yoshida, T. Practical estimation of erosion damage caused by solid particle impact: Part 2: Mechanical properties of materials directly associated with erosion damage. Wear 2005, 259, 102–109. [Google Scholar] [CrossRef]
- Shi, X.W.; Ding, W.J.; Xu, C.J.; Xie, F.W.; Tian, Z.Z. Numerical investigation of particle effect on wear characteristic of centrifugal slurry pump based on CFD-DEM coupling. Eng. Comput. 2023, 40, 2386–2408. [Google Scholar] [CrossRef]
- Shi, B.C.; Zhou, K.L.; Pan, J.P.; Zhang, X.K.; Ying, R.M.; Wu, L.J.; Zhang, Y.D. PIV test of the flow field of a centrifugal pump with four types of impeller blades. J. Mech. 2021, 37, 192–204. [Google Scholar] [CrossRef]
- Gu, Y.Q.; Liu, N.J.; Mou, J.G.; Zhou, P.J.; Qian, H.; Dai, D.S. Study on solid–liquid two-phase flow characteristics of centrifugal pump impeller with non-smooth surface. Adv. Mech. Eng. 2019, 11, 1687814019848269. [Google Scholar] [CrossRef]
- Shi, X.W.; Ding, W.J.; Xu, C.J.; Xie, F.W.; Tian, Z.Z. Numerical investigation of inlet section structure effect on wear characteristic of particle condition in centrifugal slurry pump by CFD-DEM coupling. Part. Sci. Technol. 2023, 41, 834–843. [Google Scholar] [CrossRef]
- Tarodiya, R.; Gandhi, B.K. Effect of particle size distribution on performance and particle kinetics in a centrifugal slurry pump handling multi-size particulate slurry. Adv. Powder Technol. 2020, 31, 4751–4767. [Google Scholar] [CrossRef]
- Duan, A.Q.; Lin, Z.; Chen, D.S.; Li, Y. A review on the hydraulic performance and erosion wear characteristic of the centrifugal slurry pump. Particuology 2024, 95, 370–392. [Google Scholar] [CrossRef]
- Teng, S.; Kang, C.; Li, M.H.; Qiao, Y.J.; Ding, K.J. Blockage of the deep-sea mining pump transporting large particles with different sphericity. China Ocean Eng. 2023, 37, 343–352. [Google Scholar] [CrossRef]
- Xiao, Y.X.; Guo, B.; Ahn, S.H.; Luo, Y.Y.; Wang, Z.W.; Shi, G.T.; Li, Y.H. Slurry flow and erosion prediction in a centrifugal pump after long-term operation. Energies 2019, 12, 1523. [Google Scholar] [CrossRef]
- Pu, W.; Ji, L.L.; Li, W.; Shi, W.D.; Tian, F.; Xiao, C.; Yang, Y.; Agarwal, R. Blade wear intensity of a centrifugal pump based on an improved four-way coupling method. Phys. Fluids 2025, 37, 043323. [Google Scholar] [CrossRef]
- Lin, P.; Hu, D.; Lu, J.M.; Wang, S. CFD numerical simulation of sand-contained cavitation characteristics of axial-flow pump. Adv. Mech. Eng. 2021, 13, 16878140211032785. [Google Scholar] [CrossRef]
- Chen, M.D.; Tan, L. Solid-liquid multiphase flow and erosion in the energy storage pump using modified drag model and erosion model. J. Energy Storage 2023, 73, 108859. [Google Scholar] [CrossRef]
- Jiang, Z.Q.; Zeng, X.D.; Li, Y. Study on the relationship between wear and flow characteristics of a centrifugal pump at different mass concentrations. Processes 2021, 9, 988. [Google Scholar] [CrossRef]
- Dong, W.; Li, S.C.; He, F.; Fan, X.G.; Li, P.X. Effect of variable conditions on transient flow in a solid–liquid two-phase centrifugal pump. Phys. Fluids 2024, 36, 073340. [Google Scholar] [CrossRef]
- Qiu, N.; Li, M.; Wu, J.; Zhu, H.; Xu, P. Numerical Investigation of Vortex Generator on Controlling Flow Field of Centrifugal Pump Based on Response Surface Method. J. Appl. Fluid Mech. 2024, 17, 1774–1791. [Google Scholar] [CrossRef]
- Yuksel, O. Modelling of a cargo oil pump turbine system to find the optimum pump operation capacities through the design of experiments approaches. Ships Offshore Struct. 2025, 20, 384–396. [Google Scholar] [CrossRef]
- Li, H.; Yu, Z.F.; Hua, R.N.; Li, C.Q.; Guo, C.; Liu, H.L.; Dong, L. Optimization Research on the Space-V-Type Biomimetic Surface Grooves of a Marine Centrifugal Pump. Water 2023, 15, 4031. [Google Scholar] [CrossRef]
- Alawadhi, K.; Alzuwayer, B.; Mohammad, T.A.; Buhemdi, M.H. Design and optimization of a centrifugal pump for slurry transport using the response surface method. Machines 2021, 9, 60. [Google Scholar] [CrossRef]
- Liu, X.W.; Li, H.C.; Shi, X.X.; Fu, J.F. Application of biharmonic equation in impeller profile optimization design of an aero-centrifugal pump. Eng. Comput. 2019, 36, 1764–1795. [Google Scholar] [CrossRef]
- Zhou, J.B.; He, D.J.; Zhang, R.; Zhao, W.D. Research on the performance of a centrifugal aviation fuel pump based on response surface methodology. Processes 2023, 11, 3055. [Google Scholar] [CrossRef]
- Wang, W.J.; Sun, J.; Liu, J.; Zhao, J.T.; Pei, J.; Wang, J.B. Introducing non-hierarchical RSM and MIGA for performance prediction and optimization of a centrifugal pump under the nominal condition. Processes 2022, 10, 1529. [Google Scholar] [CrossRef]
- Shim, H.S.; Afzal, A.; Kim, K.Y.; Jeong, H.S. Three-objective optimization of a centrifugal pump with double volute to minimize radial thrust at off-design conditions. Proc. Inst. Mech. Eng. Part A J. Power Energy 2016, 230, 598–615. [Google Scholar] [CrossRef]
- Wang, C.; Yao, Y.L.; Yang, Y.; Chen, X.H.; Wang, H.; Ge, J.; Cao, W.D.; Zhang, Q.Q. Automatic optimization of centrifugal pump for energy conservation and efficiency enhancement based on response surface methodology and computational fluid dynamics. Eng. Appl. Comput. Fluid Mech. 2023, 17, 2227686. [Google Scholar] [CrossRef]
- Cao, W.D.; Wang, H.; Yang, X.Y.; Leng, X.Y. Optimization of guide vane centrifugal pumps based on response surface methodology and study of internal flow characteristics. J. Mar. Sci. Eng. 2023, 11, 1917. [Google Scholar] [CrossRef]
- Singh, K.; Singh, A.; Singh, D.K. Modelling and Optimization of Fluid Frictional Torque in a Single Stage Centrifugal Pump with a Vaned Diffuser Based on RSM, ANN and Desirability Function. J. Appl. Fluid Mech. 2025, 18, 728–741. [Google Scholar] [CrossRef]
- Nataraj, M.; Singh, R.R. Analyzing pump impeller for performance evaluation using RSM and CFD. Desalination Water Treat. 2014, 52, 6822–6831. [Google Scholar] [CrossRef]
- Pei, J.; Wang, W.J.; Yuan, S.Q. Multi-point optimization on meridional shape of a centrifugal pump impeller for performance improvement. J. Mech. Sci. Technol. 2016, 30, 4949–4960. [Google Scholar] [CrossRef]
- Xu, Z.F.; Kong, F.; Zhang, K.; Zhu, H.; Wang, J.Q.; Qiu, N. Optimization of the impeller for hydraulic performance improvement of a high-speed magnetic drive pump. Adv. Mech. Eng. 2022, 14, 16878132221104576. [Google Scholar] [CrossRef]
- Si, Q.R.; Xu, H.; Deng, F.J.; Xia, X.; Ma, W.S.; Guo, Y.S.; Wang, P. Study on performance improvement of low specific speed multistage pumps by applying full channel hydraulic optimization. J. Energy Storage 2024, 99, 113238. [Google Scholar] [CrossRef]
- Zhang, W.W.; Zhu, B.S.; Zi, D.; Ma, Z.; Wang, F.J. Transportability improvement of a gas-liquid rotodynamic pump using the two-step multi-objective optimization strategy. Front. Energy Res. 2022, 10, 900182. [Google Scholar] [CrossRef]
- Kim, S.; Kim, Y.I.; Kim, J.H.; Choi, Y.S. Three-objective optimization of a mixed-flow pump impeller for improved suction performance and efficiency. Adv. Mech. Eng. 2019, 11, 1687814019898969. [Google Scholar] [CrossRef]
- Maroufi, H.; Mehdinejadiani, B. A comparative study on using metaheuristic algorithms for simultaneously estimating parameters of space fractional advection-dispersion equation. J. Hydrol. 2021, 602, 126757. [Google Scholar] [CrossRef]
- Mehdinejadiani, B. A novel inverse model insensitive to initial guesses for estimating parameters of continuous time random walk-truncated power law model. J. Hydrol. 2025, 658, 133206. [Google Scholar] [CrossRef]
- Liu, Z.Z.; Li, G.J. Numerical simulation of centrifugal pump impeller erosion caused by particles in lead-bismuth alloy. Int. J. Mod. Phys. B 2023, 37, 2350225. [Google Scholar] [CrossRef]
- Wang, H.Y.; Tan, Z.; Kuang, S.B.; Yu, A.B. Numerical modeling and analysis of particle-fluid flow and wall erosion in centrifugal slurry pumps under different solid concentrations. Powder Technol. 2022, 410, 117861. [Google Scholar] [CrossRef]
- Xie, Y.S.; Jiang, J.R.; Islam, M.A. Applications of elastomers in slurry transport. Wear 2021, 477, 203773. [Google Scholar] [CrossRef]
- Sharma, S.; Gandhi, B.K. Experimental investigation on rotating domain wear of hydrodynamic machine due to particulate flow. Powder Technol. 2022, 410, 117884. [Google Scholar] [CrossRef]
- Su, X.H.; Tang, Z.J.; Li, Y.; Zhu, Z.C.; Mianowicz, K.; Balaz, P. Research of particle motion in a two-stage slurry transport pump for deep-ocean mining by the CFD-DEM method. Energies 2020, 13, 6711. [Google Scholar] [CrossRef]
- Li, Z.Q.; Wei, X.T.; Yi, Z.Y.; Ma, Z.; Yu, Y.L.; Wang, W.Y. Numerical analysis of gas-liquid-solid erosion characteristics of the oil and gas multiphase pump. Eng. Fail. Anal. 2024, 157, 107889. [Google Scholar] [CrossRef]
- Peng, G.J.; Chen, Q.; Bai, L.; Hu, Z.Q.; Zhou, L.; Huang, X. Wear mechanism investigation in a centrifugal slurry pump impeller by numerical simulation and experiments. Eng. Fail. Anal. 2021, 128, 105637. [Google Scholar] [CrossRef]
- Tarodiya, R.; Gandhi, B.K. Experimental investigation of centrifugal slurry pump casing wear handling solid-liquid mixtures. Wear 2019, 434, 202972. [Google Scholar] [CrossRef]
- Jiang, L.; Bai, L.; Xue, P.; Peng, G.J.; Zhou, L. Two-way coupling simulation of solid-liquid two-phase flow and wear experiments in a slurry pump. J. Mar. Sci. Eng. 2022, 10, 57. [Google Scholar] [CrossRef]
- Tan, L.W.; Wang, W.R.; Shi, W.D.; Yang, Y.; Bao, L.L.; Wang, C.L.; Wang, T.; Li, H. A study on the internal vortex structure within a single-blade pump via numerical methods and particle image velocimetry experiments. Phys. Fluids 2024, 36, 115130. [Google Scholar] [CrossRef]
- Li, Y.; Zhang, H.Y.; Lin, Z.; Zhang, G.; Zhu, Z.C. Analysis of particle motion and wear characteristics for mixed particle sizes in centrifugal pumps. J. Mech. Sci. Technol. 2023, 37, 4705–4716. [Google Scholar] [CrossRef]
- Singh, J.; Mohapatra, S.K.; Kumar, S. Performance analysis of pump materials employed in bottom ash slurry erosion conditions. J. Tribol. 2021, 30, 73–89. [Google Scholar]
- Wang, Y.; Wang, X.L.; Chen, J.; Li, G.X.; Liu, H.L.; Xiong, W. Numerical simulation of the influence of mixed sand on erosion characteristics of centrifugal pump. Eng. Comput. 2022, 39, 2053–2080. [Google Scholar] [CrossRef]
- Peng, G.J.; Huang, X.; Zhou, L.; Zhou, G.X.; Zhou, H. Solid-liquid two-phase flow and wear analysis in a large-scale centrifugal slurry pump. Eng. Fail. Anal. 2020, 114, 104602. [Google Scholar] [CrossRef]
- Wang, H.Y.; Tan, Z.; Kuang, S.B.; Yu, A.B. Systematic investigation of centrifugal slurry pump under different operating condition by DDPM method. Powder Technol. 2023, 430, 119024. [Google Scholar] [CrossRef]
- Tao, Y.; Bai, Y.M.; Wu, Y.C. Influence of blade thickness on solid–liquid two-phase flow and impeller wear in a ceramic centrifugal slurry pump. Processes 2021, 9, 1259. [Google Scholar] [CrossRef]
- Guo, X.; Shi, G.T.; Xiao, Y.X.; Ye, X.Y. A study of the relationship between sand movement and flow field distribution and wear causes in a multiphase pump. J. Mar. Sci. Eng. 2024, 12, 1203. [Google Scholar] [CrossRef]
- Hong, S.J.; Hu, X.Z. Optimization of impeller of deep-sea mining pump for erosive wear reduction based on response surface methodology. Mar. Georesources Geotechnol. 2023, 41, 295–311. [Google Scholar] [CrossRef]
- Peng, G.J.; Hong, S.M.; Chang, H.; Zhang, Z.R.; Fan, F.Y. Optimization design of multistage pump impeller based on response surface methodology. J. Theor. Appl. Mech. 2021, 59, 595–609. [Google Scholar] [CrossRef]
- He, C.P.; Han, W.; Li, R.N.; Dong, Y.F.; Zhang, Y.K. Multi-objective optimization and performance analysis of the splitter blades in a multiphase pump. Int. J. Fluid Eng. 2025, 2, 013501. [Google Scholar] [CrossRef]
- Li, X.J.; Cao, Z.T.; Wei, Z.C.; Ren, Q.L. Theoretical model of energy conversion and loss prediction for multi-stage centrifugal pump as turbine. Energy Convers. Manag. 2025, 325, 119379. [Google Scholar] [CrossRef]
- Sarasua, J.I.; Martinez-Lucas, G.; Lafoz, M. Analysis of alternative frequency control schemes for increasing renewable energy penetration in El Hierro Island power system. Int. J. Electr. Power Energy Syst. 2019, 113, 807–823. [Google Scholar] [CrossRef]


























| Parameter | Value | |
|---|---|---|
| Impeller | Inlet diameter/mm | 65 |
| Hub diameter/mm | 25 | |
| Outlet width/mm | 10 | |
| Number of blades/pcs | 5 | |
| Outlet diameter/mm | 200 | |
| Wrap angle/(°) | 120 | |
| Inlet placement angle/(°) | 15 | |
| Outlet placement angle/(°) | 25 |
| Grid Scheme | Number of Grids | H (m) | Average Wear Rate (kg·m−2·s−1) |
|---|---|---|---|
| 1 | 860,054 | 52.50 | 1.0547 × 10−4 |
| 2 | 1,204,147 | 52.45 | 1.0887 × 10−4 |
| 3 | 1,543,867 | 52.34 | 1.0974 × 10−4 |
| 4 | 1,887,081 | 52.09 | 1.1259 × 10−4 |
| 5 | 2,405,394 | 52.11 | 1.126 × 10−4 |
| 6 | 3,038,054 | 52.09 | 1.1261 × 10−4 |
| 1.8 | 0.8 | 1.3 | 0.326 | 104 |
| No. | Parameter | Unit | Value |
|---|---|---|---|
| 1 | particle size | mm | 0.5, 1, 1.5, 2, 2.5, 3 |
| 2 | particle density | kg/m3 | 1350, 2000, 2650, 3300 |
| 3 | mass flow rate | kg/s | 0.46, 0.92, 1.38, 1.84 |
| Variable | Parameters | Low Level | High Level |
|---|---|---|---|
| X1 | Inlet diameter D1/mm | 60 | 70 |
| X2 | Outlet diameter D2/mm | 196 | 204 |
| X3 | Hub diameter D3/mm | 20 | 30 |
| X4 | Outlet width b/mm | 7 | 13 |
| X5 | Number of blades/pcs | 4 | 6 |
| X6 | /(°) | 110 | 130 |
| X7 | /(°) | 15 | 25 |
| X8 | /(°) | 20 | 30 |
| No. | Inlet Placement Angle (°) | Outlet Placement Angle (°) | Inlet Diameter (mm) | Hub Diameter (mm) | Outlet Width (mm) | Number of Blades | Wrap Angle (°) | Outlet Diameter (mm) | H (m) | (%) |
|---|---|---|---|---|---|---|---|---|---|---|
| 1 | 15 | 30 | 70 | 20 | 13 | 4 | 110 | 196 | 54.25 | 64.85 |
| 2 | 15 | 30 | 60 | 20 | 7 | 6 | 130 | 204 | 52.78 | 75.14 |
| 3 | 15 | 20 | 70 | 30 | 13 | 4 | 130 | 204 | 57.96 | 63.29 |
| 4 | 25 | 30 | 70 | 20 | 13 | 6 | 110 | 204 | 62.93 | 73.24 |
| 5 | 15 | 30 | 70 | 30 | 7 | 6 | 130 | 196 | 48.76 | 76.93 |
| 6 | 25 | 20 | 70 | 20 | 7 | 4 | 130 | 204 | 44.81 | 76.32 |
| 7 | 15 | 20 | 60 | 20 | 7 | 4 | 110 | 196 | 42.13 | 80.71 |
| 8 | 25 | 20 | 60 | 20 | 13 | 6 | 130 | 196 | 57.39 | 67.62 |
| 9 | 25 | 20 | 70 | 30 | 7 | 6 | 110 | 196 | 48.63 | 78.29 |
| 10 | 15 | 20 | 60 | 30 | 13 | 6 | 110 | 204 | 61.98 | 63.47 |
| 11 | 25 | 30 | 60 | 30 | 13 | 4 | 130 | 196 | 53.76 | 64.65 |
| 12 | 25 | 30 | 60 | 30 | 7 | 4 | 110 | 204 | 46.35 | 77.48 |
| Coding Proficiency | Factor | ||
|---|---|---|---|
| A | C | E | |
| −1 | 15 | 60 | 7 |
| 0 | 20 | 65 | 10 |
| 1 | 25 | 70 | 13 |
| No. | Inlet Placement Angle (°) | Inlet Diameter (mm) | Outlet Width (mm) | Average Wear Rate (kg·m−2·s−1) |
|---|---|---|---|---|
| 1 | 15 | 60 | 7 | 1.374 × 10−4 |
| 2 | 25 | 60 | 7 | 9.76 × 10−5 |
| 3 | 15 | 70 | 7 | 1.733 × 10−4 |
| 4 | 25 | 70 | 7 | 1.168 × 10−4 |
| 5 | 15 | 60 | 13 | 1.288 × 10−4 |
| 6 | 25 | 60 | 13 | 9.63 × 10−5 |
| 7 | 15 | 70 | 13 | 1.448 × 10−4 |
| 8 | 25 | 70 | 13 | 8.33 × 10−5 |
| 9 | 15 | 60 | 7 | 1.388 × 10−4 |
| 10 | 25 | 60 | 7 | 9.97 × 10−5 |
| 11 | 15 | 70 | 7 | 1.815 × 10−4 |
| 12 | 25 | 70 | 7 | 1.293 × 10−4 |
| 13 | 15 | 60 | 13 | 1.340 × 10−4 |
| 14 | 25 | 60 | 13 | 9.95 × 10−5 |
| 15 | 15 | 70 | 13 | 1.470 × 10−4 |
| 16 | 25 | 70 | 13 | 8.14 × 10−5 |
| 17 | 20 | 65 | 10 | 1.370 × 10−4 |
| 18 | 20 | 65 | 10 | 1.345 × 10−4 |
| 19 | 20 | 65 | 10 | 1.365 × 10−4 |
| Type | Degree of Freedom | Adj SS | Adj MS | Value of F | Value of p |
|---|---|---|---|---|---|
| Model | 7 | 1.3566 × 10−8 | 1.938 × 10−9 | 107.44 | <0.001 |
| Linear | 3 | 1.1669 × 10−8 | 3.890 × 10−9 | 215.64 | <0.001 |
| A | 1 | 9.1030 × 10−9 | 9.103 × 10−9 | 504.67 | <0.001 |
| C | 1 | 9.8000 × 10−10 | 9.800 × 10−10 | 54.32 | <0.001 |
| E | 1 | 1.5860 × 10−9 | 1.586 × 10−9 | 87.92 | <0.001 |
| Factor interaction | 3 | 1.5540 × 10−9 | 5.180 × 10−10 | 28.72 | <0.001 |
| A × C | 1 | 5.0600 × 10−10 | 5.060 × 10−10 | 28.03 | <0.001 |
| A × E | 1 | 3.0000 × 10−12 | 3.000 × 10−12 | 0.15 | 0.706 |
| C × E | 1 | 1.0460 × 10−9 | 1.046 × 10−9 | 57.99 | <0.001 |
| Bend | 1 | 3.4300 × 10−10 | 3.430 × 10−10 | 19.03 | 0.001 |
| Error | 11 | 1.9800 × 10−10 | 1.800 × 10−11 | ||
| Lack-of-fit | 1 | 5.7000 × 10−11 | 5.700 × 10−11 | 4.08 | 0.071 |
| Pure error | 10 | 1.4100 × 10−10 | 1.400 × 10−11 | ||
| Total | 18 | 1.3765 × 10−8 |
| S | R-Sq | R-Sq (Adjustment) | R-Sq (Prediction) |
|---|---|---|---|
| 4.2 × 10−6 | 98.56% | 97.64% | 95.47% |
| Model | Outlet Width (mm) | Inlet Diameter (mm) | Inlet Placement Angle (°) | H (m) | P (kW) | η (%) | Average Wear Rate (kg·m−2·s−1) |
|---|---|---|---|---|---|---|---|
| 1 | 20 | 65 | 10 | 54.21 | 5.733 | 64.26 | 1.34 × 10−4 |
| 2 | 25 | 65 | 13 | 43.75 | 4.521 | 65.78 | 1.04 × 10−4 |
| 3 | 20 | 60 | 13 | 52.07 | 5.591 | 63.29 | 1.14 × 10−4 |
| 4 | 25 | 70 | 10 | 53.32 | 5.815 | 62.31 | 9.51 × 10−5 |
| 5 | 15 | 60 | 10 | 58.78 | 6.499 | 61.46 | 1.36 × 10−4 |
| 6 | 20 | 60 | 7 | 45.11 | 4.499 | 68.14 | 1.23 × 10−4 |
| 7 | 15 | 70 | 10 | 53.82 | 5.844 | 62.59 | 1.33 × 10−4 |
| 8 | 25 | 60 | 10 | 53.51 | 5.793 | 62.77 | 9.06 × 105 |
| 9 | 15 | 65 | 13 | 53.57 | 5.799 | 62.78 | 1.32 × 10−4 |
| 10 | 20 | 65 | 10 | 46.25 | 4.560 | 68.92 | 1.18 × 10−4 |
| 11 | 20 | 70 | 7 | 45.88 | 4.558 | 68.40 | 1.5 × 10−4 |
| 12 | 20 | 65 | 10 | 59.60 | 6.663 | 60.79 | 1.18 × 10−4 |
| 13 | 20 | 65 | 10 | 60.37 | 6.731 | 60.95 | 1.21 × 10−4 |
| 14 | 20 | 65 | 10 | 53.64 | 5.790 | 62.96 | 1.19 × 10−4 |
| 15 | 25 | 65 | 7 | 58.91 | 6.496 | 61.63 | 1.21 × 10−4 |
| 16 | 15 | 65 | 7 | 53.46 | 5.780 | 62.85 | 1.72 × 10−4 |
| 17 | 20 | 70 | 13 | 53.53 | 5.794 | 62.78 | 1.1 × 10−4 |
| Average Wear Rate (kg·m−2·s−1) | H (m) | H (%) | P (kW) | |
|---|---|---|---|---|
| 0.9591 | 0.9961 | 0.9709 | 0.9995 | |
| 0.9065 | 0.9910 | 0.9335 | 0.9990 | |
| 0.7804 | 0.9508 | 0.7686 | 0.9976 |
| Model | Inlet Placement Angle (°) | Inlet Diameter (mm) | Outlet Width (mm) |
|---|---|---|---|
| Prototype pump | 15 | 65 | 10 |
| Optimized pump | 21 | 60 | 9.9 |
| Model | Average Wear Rate(kg·m−2·s−1) | H (m) | η (%) | P (kW) |
|---|---|---|---|---|
| Prototype pump | 1.550 × 10−4 | 53.00 | 63.21 | 5.698 |
| Optimized pump | 1.064 × 10−4 | 52.41 | 62.84 | 5.668 |
| Variation | −4.86 × 10−5 | −0.59 | −0.37 | −0.03 |
Disclaimer/Publisher’s Note: The statements, opinions and data contained in all publications are solely those of the individual author(s) and contributor(s) and not of MDPI and/or the editor(s). MDPI and/or the editor(s) disclaim responsibility for any injury to people or property resulting from any ideas, methods, instructions or products referred to in the content. |
© 2026 by the authors. Licensee MDPI, Basel, Switzerland. This article is an open access article distributed under the terms and conditions of the Creative Commons Attribution (CC BY) license.
Share and Cite
Chen, H.; Shi, Z.; Hong, S.; Hu, X. Response Surface Methodology for Wear Optimization of Irrigation Centrifugal Pumps in High-Sediment Water Conditions of Southern Xinjiang: Design and Experimental Validation. Agriculture 2026, 16, 177. https://doi.org/10.3390/agriculture16020177
Chen H, Shi Z, Hong S, Hu X. Response Surface Methodology for Wear Optimization of Irrigation Centrifugal Pumps in High-Sediment Water Conditions of Southern Xinjiang: Design and Experimental Validation. Agriculture. 2026; 16(2):177. https://doi.org/10.3390/agriculture16020177
Chicago/Turabian StyleChen, Haoran, Zhuo Shi, Shunjun Hong, and Xiaozhou Hu. 2026. "Response Surface Methodology for Wear Optimization of Irrigation Centrifugal Pumps in High-Sediment Water Conditions of Southern Xinjiang: Design and Experimental Validation" Agriculture 16, no. 2: 177. https://doi.org/10.3390/agriculture16020177
APA StyleChen, H., Shi, Z., Hong, S., & Hu, X. (2026). Response Surface Methodology for Wear Optimization of Irrigation Centrifugal Pumps in High-Sediment Water Conditions of Southern Xinjiang: Design and Experimental Validation. Agriculture, 16(2), 177. https://doi.org/10.3390/agriculture16020177

