Sign in to use this feature.

Years

Between: -

Subjects

remove_circle_outline
remove_circle_outline
remove_circle_outline
remove_circle_outline
remove_circle_outline
remove_circle_outline
remove_circle_outline
remove_circle_outline
remove_circle_outline

Journals

Article Types

Countries / Regions

remove_circle_outline
remove_circle_outline
remove_circle_outline
remove_circle_outline
remove_circle_outline

Search Results (328)

Search Parameters:
Keywords = azide–alkyne cycloaddition

Order results
Result details
Results per page
Select all
Export citation of selected articles as:
46 pages, 8578 KB  
Review
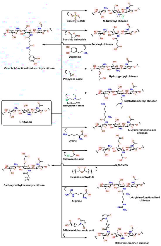
Versatility of Click Chemistry in Hydrogel Synthesis: From Molecular Strategies to Applications in Regenerative Medicine
by Domingo Cesar Carrascal-Hernández, Carlos David Grande-Tovar, Daniel Insuasty, Edgar Márquez and Maximiliano Mendez-Lopez
Gels 2026, 12(2), 127; https://doi.org/10.3390/gels12020127 - 1 Feb 2026
Abstract
Click chemistry is highly valued in the design of polymeric biomaterials due to its ability to generate complex structures and localized surface modifications. However, prominent mechanisms in click chemistry, such as copper-catalyzed azide-alkyne cycloaddition (CuAAC), are inefficient for the synthesis and/or modification of [...] Read more.
Click chemistry is highly valued in the design of polymeric biomaterials due to its ability to generate complex structures and localized surface modifications. However, prominent mechanisms in click chemistry, such as copper-catalyzed azide-alkyne cycloaddition (CuAAC), are inefficient for the synthesis and/or modification of biomaterials because they present significant limitations for in vivo applications. The presence of residual copper in the material is toxic and requires extensive purification, increasing production costs and hindering scalability and availability for in vivo applications. To overcome these limitations and ensure the safety and biocompatibility of materials, biorthogonal reactions such as strain-promoted azide-alkyne cycloaddition (SPAAC) have been developed. Thiol-ene/thiol-yne and Diels–Alder mechanisms are also relevant for the formation of robust polymer networks with specific characteristics and attractive advantages for generating biocompatible materials. These reactions not only improve cell integration and reduce fibrosis in in vivo applications but also enable the creation of functional structures for tissue regeneration. This review provides a comprehensive analysis of advances in the synthesis of biomaterials for tissue regeneration using hydrogels designed via click chemistry, as well as the various mechanisms and structural considerations. Full article
(This article belongs to the Special Issue Advances in Hydrogels for Regenerative Medicine)
Show Figures

Figure 1

15 pages, 615 KB  
Article
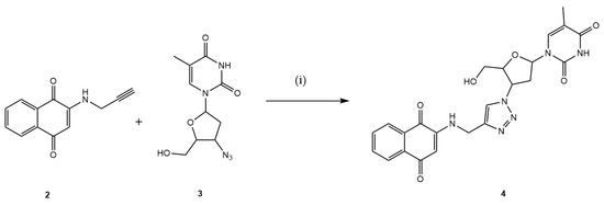
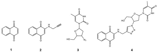
Novel 1,4-Naphthoquinone-Zidovudine Hybrid: Design, Synthesis, and In Vitro Evaluation of Its Anti-Trypanosomatid and Cytotoxic Activities
by Thiago de Souza Dias Silva, Afonso Santine M. M. Velez, Tiago Ribeiro Rodriguez, João Vitor da Costa Silva, Henrique Previtalli-Silva, Flávia de Oliveira Cardoso, Célio Geraldo Freire-de-Lima, Otávio Augusto Chaves, Debora Decote-Ricardo and Marco Edilson Freire de Lima
Chemistry 2026, 8(2), 15; https://doi.org/10.3390/chemistry8020015 - 29 Jan 2026
Viewed by 103
Abstract
This work reports the synthesis and characterization of a new molecular hybrid 4, created by combining 1,4-naphthoquinone with the drug zidovudine (AZT) through an azide-alkyne cycloaddition reaction catalyzed by Cu1+. In vitro studies assessed the anti-trypanosomatid activity of hybrid 4 [...] Read more.
This work reports the synthesis and characterization of a new molecular hybrid 4, created by combining 1,4-naphthoquinone with the drug zidovudine (AZT) through an azide-alkyne cycloaddition reaction catalyzed by Cu1+. In vitro studies assessed the anti-trypanosomatid activity of hybrid 4, along with its precursors and synthetic intermediates (1, 2, and 3), against Trypanosoma cruzi (T. cruzi Tulahuen C2C4 LacZ), Trypanosoma brucei (T. b. brucei 427), and Leishmania infantum, as well as cytotoxicity in RAW 264.7 macrophages and LLC-MK2 cells. The biological results confirm the molecular design, showing that the new hybrid is effective against both epimastigotes and amastigotes of T. cruzi (IC50 = 22.26 ± 5.78 μM and 143.10 ± 5.79 μM, respectively), with approximately 4.5-fold better capacity than AZT to inhibit the epimastigote form. Additionally, the hybrid was also active against bloodstream T. b. brucei (IC50 = 54.47 ± 6.70 μM), with approximately 2.2-fold better capacity than AZT to inhibit this parasite. It also shows low toxicity in RAW 264.7 macrophages (CC50 > 200 μM) and LLC-MK2 cells (CC50 > 200 μM). For example, hybrid 4 exhibited approximately a 6.6-fold higher SI than 1,4-naphthoquinone 1 against T. cruzi amastigotes. In this context, the work contributes to the broader knowledge base guiding the design of hybrid molecules for antiparasitic chemotherapy. It provides a rational foundation for preparing subsequent, more potent analogues. Full article
Show Figures

Graphical abstract

11 pages, 1734 KB  
Article
Click Chemistry-Enabled Parallel Synthesis of N-Acyl Sulfonamides and Their Evaluation as Carbonic Anhydrase Inhibitors
by Oleksii V. Gavrylenko, Bohdan V. Vashchenko, Vasyl Naumchyk, Bohdan S. Sosunovych, Oleksii Chuk, Oleksii Hrabovskyi, Olga Kuchuk, Alla Pogribna, Sergiy O. Nikitin, Anzhelika I. Konovets, Volodymyr S. Brovarets, Sergey A. Zozulya, Dmytro S. Radchenko, Oleksandr O. Grygorenko and Yurii S. Moroz
Molecules 2026, 31(2), 318; https://doi.org/10.3390/molecules31020318 - 16 Jan 2026
Viewed by 312
Abstract
A synthetically accessible library of N-acyl sulfonamides was constructed using a combination of copper(I)-catalyzed azide–alkyne cycloaddition (CuAAC) and N-acylation of primary sulfonamides. The proposed two-step reaction sequence had a high experimentally confirmed synthetic success rate (up to 85%) and gave reasonable [...] Read more.
A synthetically accessible library of N-acyl sulfonamides was constructed using a combination of copper(I)-catalyzed azide–alkyne cycloaddition (CuAAC) and N-acylation of primary sulfonamides. The proposed two-step reaction sequence had a high experimentally confirmed synthetic success rate (up to 85%) and gave reasonable product yields (up to 61%). As a result of the validation process, a 262-member compound library (out of >70K accessible combinations) was prepared. Biological profiling of the synthesized library by differential scanning fluorimetry and enzymatic assays identified several low micromolar inhibitors of human carbonic anhydrase. The interaction of the discovered hits with the biological target was studied by docking and molecular dynamics. Full article
(This article belongs to the Special Issue Heterocyclic Molecules in Drug Discovery)
Show Figures

Graphical abstract

24 pages, 3174 KB  
Article
Synthesis and Bioactivity Assessment of Novel Quinolinone–Triazole Hybrids
by Ioanna Kostopoulou, Maria-Anna Karadendrou, Manolis Matzapetakis, Maria Zervou, Georgia-Eirini Deligiannidou, Christos Kontogiorgis, Eleni Pontiki, Dimitra Hadjipavlou-Litina and Anastasia Detsi
Biomolecules 2026, 16(1), 29; https://doi.org/10.3390/biom16010029 - 24 Dec 2025
Viewed by 371
Abstract
Click chemistry, and particularly the Cu-catalyzed Azide Alkyne Cycloaddition (CuAAC) reaction has gained increased attention in recent years as an invaluable tool for synthesizing pharmaceutical active organic compounds. In this study, quinolinones and triazoles, two bioactive heterocyclic moieties amenable to various substitutions, were [...] Read more.
Click chemistry, and particularly the Cu-catalyzed Azide Alkyne Cycloaddition (CuAAC) reaction has gained increased attention in recent years as an invaluable tool for synthesizing pharmaceutical active organic compounds. In this study, quinolinones and triazoles, two bioactive heterocyclic moieties amenable to various substitutions, were employed to design and synthesize novel quinolinone–triazole hybrid molecules via the CuAAC click reaction under microwave irradiation. The synthesized hybrid molecules and their alkyne precursors were structurally characterized and evaluated for their antioxidant capacity, lipoxygenase (LOX) inhibitory activity, cell viability using HaCaT epithelial cells, and cytotoxicity against two cancer lines. The results indicated that, among the precursors, alkyne 4c exhibits the best combined antioxidant and anti-inflammatory activity (100% lipid peroxidation inhibition, IC50 = 22.5 μM for LOX inhibition); among the hybrid molecules, compound 5a was the most potent (98.0% lipid peroxidation inhibition, IC50 = 10.0 μM for LOX inhibition). Regarding the assessment of HaCaT cell viability, all studied compounds showed encouraging results, with cell viability rates between 61.5% and 100%. Moreover, based on the results of the cytotoxicity against cancer lines A549 and A375, it emerged that the tested compounds exhibited moderate–low or no cytotoxicity. These results highlight the potential of quinolinone–triazole hybrids as valuable candidates in drug discovery. Full article
(This article belongs to the Special Issue Heterocyclic Compounds: Synthesis, Characterization, and Validation)
Show Figures

Figure 1

21 pages, 2883 KB  
Article
Solid-Phase Synthesis Approaches and U-Rich RNA-Binding Activity of Homotrimer Nucleopeptide Containing Adenine Linked to L-azidohomoalanine Side Chain via 1,4-Linked-1,2,3-Triazole
by Piotr Mucha, Małgorzata Pieszko, Irena Bylińska, Wiesław Wiczk, Jarosław Ruczyński and Piotr Rekowski
Int. J. Mol. Sci. 2025, 26(23), 11687; https://doi.org/10.3390/ijms262311687 - 2 Dec 2025
Viewed by 406
Abstract
Nucleopeptides (NPs) are unnatural hybrid polymers designed by coupling nucleobases to the side chains of amino acid residues within peptides. In this study, we present the synthesis of an Fmoc-protected nucleobase amino acid (NBA) monomer (Fmoc-1,4-TzlNBAA) with adenine attached to the [...] Read more.
Nucleopeptides (NPs) are unnatural hybrid polymers designed by coupling nucleobases to the side chains of amino acid residues within peptides. In this study, we present the synthesis of an Fmoc-protected nucleobase amino acid (NBA) monomer (Fmoc-1,4-TzlNBAA) with adenine attached to the side chain of L-homoazidoalanine (Aha) through a 1,4-linked-1,2,3-triazole. The coupling was accomplished by a Cu(I)-catalyzed azide–alkyne cycloaddition (CuAAC) of Fmoc-Aha and N9-propargyladenine. Subsequently, a homotrinucleopeptide (HalTzlAAA) containing three 1,4-TzlNBAA residues was synthesized, using different solid-phase peptide synthesis (SPPS) approaches, and its ability to recognize U-rich motifs of RNAs involved in the HIV replication cycle was studied using circular dichroism (CD) and fluorescence spectroscopy. CD curves confirmed the binding of HalTzlAAA to U-rich motifs of the transactivation responsive element (TAR UUU RNA HIV-1) bulge and the anticodon stem–loop domain of human tRNALys3 (ASLLys3) by a decrease in the positive ellipticity band intensity around 265 nm during the complexation. 5′-(FAM(6))-labeled TAR UUU and hASLLys3 were used for fluorescence anisotropy binding studies. Fluorescence data revealed that HalTzlAAA bound TAR’s UUU bulge with a moderate affinity (Kd ≈ 38 µM), whereas the ASLLys3 UUUU-containing loop sequence was recognized with 2.5 times lower affinity (with Kd ≈ 75 µM). Both the standard SPPS method and its variants, which involved the attachment of adenine to the L-Aha side chain using the click reaction during the synthesis on the resin or after the nucleopeptide cleavage, were characterized by a similar efficiency and yield. The CD and fluorescence results demonstrated that HalTzlAAA recognized the U-rich sequences of the RNAs with moderate and varied affinities. It is likely that both the hydrogen bonds associated with the complementarity of the interacting sequences and the conformational aspects associated with the high conformational dynamics of U-rich motifs are important in the recognition process. The nucleopeptide represents a new class of RNA binders and may be a promising scaffold for the development of new antiviral drugs. Full article
(This article belongs to the Section Molecular Biology)
Show Figures

Figure 1

26 pages, 1651 KB  
Article
Synthesis of Bioconjugation Reagents for Use in Covalent Cross-Linking of Proteins by Azide-Alkyne Cycloaddition
by Nadja Suhorepec, Luka Ciber, Uroš Grošelj, Nejc Petek, Bogdan Štefane, Marko Novinec and Jurij Svete
Molecules 2025, 30(23), 4623; https://doi.org/10.3390/molecules30234623 - 2 Dec 2025
Viewed by 847
Abstract
A series of azide- and cyclooctyne-functionalized N-hydroxysuccinimidyl esters (NHS esters) and benzotriazolides were prepared and used as N-acylation reagents to obtain azide-(BSA-1) and cyclooctyne-functionalized bovine serum albumin proteins (BSA-2), fluorescein derivatives 5 and 6, and homobifunctional linkers [...] Read more.
A series of azide- and cyclooctyne-functionalized N-hydroxysuccinimidyl esters (NHS esters) and benzotriazolides were prepared and used as N-acylation reagents to obtain azide-(BSA-1) and cyclooctyne-functionalized bovine serum albumin proteins (BSA-2), fluorescein derivatives 5 and 6, and homobifunctional linkers 3 and 4. Strain-promoted azide-alkyne cycloaddition (SPAAC) and copper-catalyzed azide-alkyne cycloaddition (CuAAC) of azide-functionalized fluorescent probe 5 and alkyne-functionalized fluorescent probe 6 with complementary functionalized proteins BSA-2 and BSA-1 yielded fluorescent cycloadducts BSA-2-5 and BSA-1-6. These cycloadducts were used to determine the loading of BSA-1 and BSA-2 with the respective azido and cyclooctyne groups based on their molar absorbances and fluorescence intensities. Dimerization through covalent cross-linking of BSA was then performed by SPAAC between azide-functionalized BSA-1 and cyclooctyne-functionalized BSA-2, and by treating BSA-1 and BSA-2 with 0.5 equiv. of complementary bis-cyclooctyne linker 4 and bis-azide linker 3. Although the formation of covalent dimers BSA-1-2-BSA, BSA-1-6-1-BSA, and BSA-2-5-2-BSA was detected by SDS-PAGE analysis, this was a minor process, and most of the functionalized BSA did not form covalent dimers. Full article
Show Figures

Graphical abstract

24 pages, 2953 KB  
Article
Triazole-Based Functionalized Olygo(Arylene Ethynylene)s—Synthesis and Properties
by Anastasia I. Govdi, Vasiliy V. Menchikov, Ilya E. Kolesnikov and Irina A. Balova
Molecules 2025, 30(23), 4508; https://doi.org/10.3390/molecules30234508 - 22 Nov 2025
Viewed by 594
Abstract
Oligo(arylene ethynylene)s (OAEs) containing 4,5-(diethynylaryl)-1,2,3-triazoles with 3(OMe) and NR2 substituents at the 5-position and bis-1,4-dialkoxybenzene moieties as spacers at the 4-position were obtained using the retro-Favorskii reaction as a key step. The most intense fluorescence was observed for OAEs with a [...] Read more.
Oligo(arylene ethynylene)s (OAEs) containing 4,5-(diethynylaryl)-1,2,3-triazoles with 3(OMe) and NR2 substituents at the 5-position and bis-1,4-dialkoxybenzene moieties as spacers at the 4-position were obtained using the retro-Favorskii reaction as a key step. The most intense fluorescence was observed for OAEs with a trimethoxyphenyl substituent in THF solutions, with a quantum yield of up to 88%. Increasing the solvent polarity had minimal effect on the emission of trimethoxyphenyl substituted derivatives. A notable red shift in emission spectra was observed with increasing solvent polarity for OAEs 10a,g containing para-dimethylaminophenyl group. Their emission spectra in aqueous organic solutions revealed that an increase in water fraction in THF/water mixtures led to a bathochromic shift in emission spectra maxima accompanied by a hypochromic effect. An increase in intensity was observed in aqueous acetonitrile and DMSO. The maximum intensity was observed in DMSO solutions containing 30% water, which is attributed to aggregate-induced emission enhancement. Dynamic light scattering data also confirmed the formation of nanoscale aggregates in aqueous organic mixtures. Full article
(This article belongs to the Special Issue Organic and Inorganic Luminescent Materials, 3rd Edition)
Show Figures

Graphical abstract

32 pages, 4265 KB  
Article
PEGylation Enhances Colloidal Stability and Promotes Ligand-Mediated Targeting of LAF–Xenopeptide mRNA Complexes
by Paul Folda, Eric Weidinger, Johanna Seidl, Mina Yazdi, Jana Pöhmerer, Melina Grau, David P. Minde, Mayar Ali, Ceren Kimna and Ernst Wagner
Polymers 2025, 17(22), 2979; https://doi.org/10.3390/polym17222979 - 9 Nov 2025
Cited by 1 | Viewed by 1411
Abstract
For complexation of mRNA into polyplexes, double-pH-responsive lipo-xenopeptides (XP), comprising tetraethylene pentamino succinic acid (Stp) and lipoamino fatty acids (LAFs), were combined with PEGylated lipids, either DMG-PEG 2 kDa (DMG-PEG) or azido-group-containing DSPE-PEG 2 kDa (DSPE-PEG-N3), to increase colloidal stability and to facilitate [...] Read more.
For complexation of mRNA into polyplexes, double-pH-responsive lipo-xenopeptides (XP), comprising tetraethylene pentamino succinic acid (Stp) and lipoamino fatty acids (LAFs), were combined with PEGylated lipids, either DMG-PEG 2 kDa (DMG-PEG) or azido-group-containing DSPE-PEG 2 kDa (DSPE-PEG-N3), to increase colloidal stability and to facilitate ligand-mediated targeted mRNA delivery. LAF-XPs mixed with DMG-PEG at low (1.5% and 3%) molar ratios improved colloidal stability and retained transfection efficiency. PEGylation also enabled the formulation of otherwise unstable carrier complexes and prevented aggregation induced by salt, proteins, and serum. PEGylation of more positively charged Stp-LAF2 mRNA polyplexes decreased fibrinogen adsorption. More neutral, LAF-rich Stp-LAF4 polyplexes exhibited low fibrinogen binding without PEGylation. Intravenous administration of these stabilized mRNA complexes demonstrated enhanced biosafety while preserving transfection efficiency. DSPE-PEG-N3 was selected for cell targeting after strain-promoted azide-alkyne cycloaddition (SPAAC)-mediated click-coupling of DBCO-modified ligands. Higher PEG ratios (10% and 20%) provided effective shielding but reduced transfection efficiency, a drawback known as the “PEG dilemma”. Functionalization with an EGFR-targeting ligand restored transfection in EGFR-positive cell lines in a ligand-specific manner. High transfection efficiency is consistent with a lipophilic-to-hydrophilic polarity switch of LAF-XP carriers upon endosomal protonation, triggering dissociation of the PEG lipids and deshielding of the polyplex. Full article
(This article belongs to the Section Polymer Chemistry)
Show Figures

Graphical abstract

12 pages, 1500 KB  
Article
Linker-Engineered Tyrosine–Azide Coatings for Stable Strain-Promoted Azide–Alkyne Cycloaddition (SPAAC) Functionalization
by Suho Park, Himani Bisht, Jiwoo Park, Seongchul Park, Yubin Hong, Daeun Chu, Minseob Koh, Hojae Lee and Daewha Hong
Polymers 2025, 17(22), 2969; https://doi.org/10.3390/polym17222969 - 7 Nov 2025
Viewed by 2987
Abstract
Strain-promoted azide–alkyne cycloaddition (SPAAC) is widely used in solution-phase bioconjugation. However, its application in surface chemistry remains limited because substrate-independent azide films that remain stable upon reaction with bulky strained alkynes have not yet been developed. In this study, we address this challenge [...] Read more.
Strain-promoted azide–alkyne cycloaddition (SPAAC) is widely used in solution-phase bioconjugation. However, its application in surface chemistry remains limited because substrate-independent azide films that remain stable upon reaction with bulky strained alkynes have not yet been developed. In this study, we address this challenge using a melanin-inspired coating based on tyrosine–azide derivatives with different linkers. In particular, we investigated how differences in linker length and hydrophilicity affect the hydrophobic interactions within the film network and, ultimately, determine film stability. Specifically, Tyr-3-N3, a tyrosine–azide derivative having an azide group tethered to tyrosine through a short three-carbon alkyl linker, was identified as optimal, forming azide-presenting films via tyrosinase-mediated oxidation and retaining integrity during SPAAC with external dibenzocyclooctyne (DBCO) ligands. The optimized poly(Tyr-3-N3) coatings enabled efficient methoxypolyethylene glycol (mPEG) immobilization, thereby exhibiting excellent antifouling performance against protein adsorption, and further supported spatially controlled protein patterning through soft lithography techniques such as micromolding in capillaries (MIMIC) and microcontact printing (µCP). The approach was broadly applicable with a range of inorganic and polymeric substrates, as well as living cell surfaces; even after encapsulation and SPAAC-based functionalization, the cells remained viable. Collectively, these findings establish a substrate-independent and biocompatible coating platform that preserves film stability through SPAAC functionalization, supporting applications in antifouling coatings, biosensing, and cell surface engineering. Full article
(This article belongs to the Section Polymer Chemistry)
Show Figures

Figure 1

25 pages, 6144 KB  
Article
Click-Ready Gold Nanoparticles from Aqueous Mechanochemistry: 2-Propynylamine as a Reducing Agent and Surface Ligand
by Amber L. Garcia, Brian S. Mitchell, Amanda Reusch, Mark J. Fink, Juan P. Hinestroza, Yelin Ko and Julie P. Vanegas
Materials 2025, 18(19), 4470; https://doi.org/10.3390/ma18194470 - 25 Sep 2025
Viewed by 930
Abstract
We report a rapid aqueous method for synthesizing monodisperse gold nanoparticles (AuNPs), employing 2-propynylamine as both an intrinsic reducing agent and a surface-stabilizing ligand. This self-mediated process—achieved in a single step—yields spherical AuNPs with an average diameter of 4.0 ± 1.0 nm and [...] Read more.
We report a rapid aqueous method for synthesizing monodisperse gold nanoparticles (AuNPs), employing 2-propynylamine as both an intrinsic reducing agent and a surface-stabilizing ligand. This self-mediated process—achieved in a single step—yields spherical AuNPs with an average diameter of 4.0 ± 1.0 nm and a well-defined localized surface plasmon resonance band centered at 520 nm. Acting as a bifunctional molecule, 2-propynylamine simultaneously reduces HAuCl4·3H2O to elemental gold and passivates the nanoparticle surface through coordination via the amine group, while preserving a terminal alkyne (–C≡CH) functionality. This reactive moiety remains exposed and chemically accessible, enabling post-synthetic modification through Cu(I)-catalyzed azide–alkyne cycloaddition. Control experiments using alternate milling times and vial composition confirmed the essential role of 2-propynylamine in mediating both reduction and surface functionalization. The resulting alkyne-functionalized AuNPs serve as versatile “click-ready” platforms for bioconjugation, sensing, and advanced material assembly. Overall, this scalable, green approach eliminates the need for external reducing or capping agents and provides a modular route to chemically addressable nanomaterials with tunable surface reactivity. Full article
(This article belongs to the Section Advanced Nanomaterials and Nanotechnology)
Show Figures

Figure 1

12 pages, 2417 KB  
Article
Synthesis and Characterization of Cholesterol-Based Liquid Crystals Linked with Perfluorinated Alkyl Chains
by Austin Che, Carson O. Zellmann-Parrotta, Homayoun Ghaseminezhad, Jessica Duong, Vance E. Williams and Chang-Chun Ling
Molecules 2025, 30(18), 3731; https://doi.org/10.3390/molecules30183731 - 13 Sep 2025
Cited by 1 | Viewed by 1029
Abstract
Two cholesterol-based liquid crystalline materials were synthesized by incorporating perfluorinated acyl chains of different lengths with the help of epichlorohydrin and copper(I)-mediated azide-alkyne 2+3 dipolar cycloaddition chemistries. These materials were characterized by differential scanning calorimetry, cross-polarized optical microscopy and powder X-ray diffraction. The [...] Read more.
Two cholesterol-based liquid crystalline materials were synthesized by incorporating perfluorinated acyl chains of different lengths with the help of epichlorohydrin and copper(I)-mediated azide-alkyne 2+3 dipolar cycloaddition chemistries. These materials were characterized by differential scanning calorimetry, cross-polarized optical microscopy and powder X-ray diffraction. The compound with the longer perfluorinated chain exhibited a smectic A (SmA) phase as confirmed by XRD and POM, while the shorter-chain derivative exhibited diffraction peaks suggestive of both simple SmA* ordering as well as lamellar solid phase exhibiting multilayer ordering. Full article
(This article belongs to the Section Materials Chemistry)
Show Figures

Graphical abstract

43 pages, 2154 KB  
Review
Click Chemistry-Based Hydrogels for Tissue Engineering
by Soheil Sojdeh, Amirhosein Panjipour, Amal Yaghmour, Zohreh Arabpour and Ali R. Djalilian
Gels 2025, 11(9), 724; https://doi.org/10.3390/gels11090724 - 11 Sep 2025
Cited by 9 | Viewed by 3888
Abstract
Click chemistry has become a powerful and flexible approach for designing hydrogels used in tissue engineering thanks to its high specificity, fast reaction rates, and compatibility with biological systems. In this review, we introduce the core principles of click chemistry, including efficiency, orthogonality, [...] Read more.
Click chemistry has become a powerful and flexible approach for designing hydrogels used in tissue engineering thanks to its high specificity, fast reaction rates, and compatibility with biological systems. In this review, we introduce the core principles of click chemistry, including efficiency, orthogonality, and modularity, and highlight the main types of reactions commonly used in hydrogel formation, such as azide-alkyne c-cloadditions, thiol-ene/yne reactions, Diels–Alder cycloadditions, and tetrazine–norbornene couplings. These chemistries allow researchers to create covalently crosslinked hydrogels that are injectable, responsive to environmental stimuli, biodegradable, or multifunctional. We also explore strategies to enhance bioactivity, such as incorporating peptides, growth factors, or extracellular matrix components, and enabling precise spatial and temporal control over biological cues. Click-based hydrogels have shown promise across a wide range of tissue engineering applications, from cartilage and skin repair to neural regeneration, corneal healing, and cardiovascular scaffolds, as well as in 3D bioprinting technologies. Despite the many advantages of click chemistry such as mild reaction conditions and customizable material properties, some challenges remain, including concerns around copper toxicity, the cost of specialized reagents, and scalability. Finally, we discuss the status of clinical translation, regulatory considerations, and future directions, including integration with advanced bio fabrication methods, the design of dual-click systems, and the emerging role of in vivo click chemistry in creating next-generation biomaterials. Full article
Show Figures

Figure 1

21 pages, 2216 KB  
Article
Microfluidic Assembly of Poly(glutamic acid) Nanogels Through SPAAC Click Chemistry
by Pasquale Mastella and Stefano Luin
Pharmaceutics 2025, 17(9), 1150; https://doi.org/10.3390/pharmaceutics17091150 - 2 Sep 2025
Cited by 1 | Viewed by 1089
Abstract
Background/Objectives: Nanogels (NGs) are promising carriers for drug delivery due to their tunable size, biocompatibility, and capability to encapsulate sensitive molecules. However, conventional batch synthesis often lacks control over key parameters, such as size distribution and encapsulation efficiency. This study aimed to develop [...] Read more.
Background/Objectives: Nanogels (NGs) are promising carriers for drug delivery due to their tunable size, biocompatibility, and capability to encapsulate sensitive molecules. However, conventional batch synthesis often lacks control over key parameters, such as size distribution and encapsulation efficiency. This study aimed to develop a microfluidic platform for the reproducible synthesis of poly(α-glutamic acid) (PGA)-based NGs using strain-promoted azide–alkyne cycloaddition (SPAAC) click chemistry and to investigate the effects of flow parameters on the physicochemical properties of nanogels. Methods: Functionalized PGAs (with azide and DBCO) were co-injected into a microfluidic system within a flux of acetone to form NGs via SPAAC. Flow rate ratios (FRR) and total flow rates were systematically screened at 25 °C, with tests at 50 °C. We evaluated the particle size, polydispersity index (PDI), zeta potential, and encapsulation efficiency (EE%) of doxorubicin-loaded NGs. Results: NGs with tunable sizes ranging from ~50 nm to >170 nm and low PDI (<0.1 in optimal conditions) were obtained. Higher FRR and total flow rates yielded smaller and more uniform NGs. Doxorubicin loading did not affect the nanogel size and uniformity, and in some cases, it improved them. The EE% reached up to ~65%, and ~40% for the best formulations. Elevated temperature improved the characteristics of drug-loaded nanogels at intermediate solvent ratios. Compared to batch synthesis, the microfluidic process offers enhanced reproducibility and size control. Conclusions: Microfluidic SPAAC synthesis enables precise and scalable fabrication of PGA NGs with controllable size and drug loading. This platform supports future integration of on-chip purification and monitoring for clinical nanomedicine applications. Full article
Show Figures

Graphical abstract

12 pages, 383 KB  
Article
Synthesis and Biological Activity of Novel Polyazaheterocyclic Derivatives of Quinine
by Gulim K. Mukusheva, Nurizat N. Toigambekova, Roza B. Seidakhmetova, Roza I. Jalmakhanbetova, Mukhlissa N. Babakhanova, Oralgazy A. Nurkenov, Ekaterina A. Akishina, Evgenij A. Dikusar, Irina A. Kolesnik, Hongwei Zhou and Vladimir I. Potkin
Molecules 2025, 30(15), 3301; https://doi.org/10.3390/molecules30153301 - 7 Aug 2025
Viewed by 1060
Abstract
A synthetic methodology of the CuAAC “click” approach was exploited for the construction of 1,2-azolyltriazole quinine derivatives by the reaction of O-propargylquinine with azidomethyl-1,2-azoles in methanol. Quinine–piperidine and quinine–anabasine conjugates were obtained using a chloroacetate linker by reacting quinine chloroacetate with piperidine or [...] Read more.
A synthetic methodology of the CuAAC “click” approach was exploited for the construction of 1,2-azolyltriazole quinine derivatives by the reaction of O-propargylquinine with azidomethyl-1,2-azoles in methanol. Quinine–piperidine and quinine–anabasine conjugates were obtained using a chloroacetate linker by reacting quinine chloroacetate with piperidine or anabasine in a diethyl ether medium. Cinchophene ester was obtained by the acylation of quinine with cinchophen acid chloride in methylene chloride. The antibacterial, fungicidal, analgesic and cytotoxic properties of the obtained compounds were examined. Full article
Show Figures

Graphical abstract

18 pages, 6300 KB  
Article
Clove as a Versatile Resource: CuO Nanoparticles and Their Catalytic Role in Eugenol-Based Triazole Synthesis
by Sarra Zouaoui, Brahim Djemoui, Miloud Mohamed Mazari, Margherita Miele, Vittorio Pace, Haroun Houicha, Sérine Madji, Choukry Kamel Bendeddouche, Mehdi Adjdir and Seif El Islam Lebouachera
Processes 2025, 13(8), 2378; https://doi.org/10.3390/pr13082378 - 26 Jul 2025
Cited by 1 | Viewed by 1420
Abstract
As eco-friendly processes become central to modern organic synthesis, plant-based materials are emerging as attractive alternatives for both nanoparticle fabrication and catalysis. In this study, we explore the use of clove extract, a natural and renewable resource, for the green synthesis of copper [...] Read more.
As eco-friendly processes become central to modern organic synthesis, plant-based materials are emerging as attractive alternatives for both nanoparticle fabrication and catalysis. In this study, we explore the use of clove extract, a natural and renewable resource, for the green synthesis of copper oxide (CuO) nanoparticles and their subsequent application in organic transformations. Clove extract was employed to reduce copper chloride via a simple co-precipitation method under mild conditions, yielding CuO nanoparticles characterized by XRD, FTIR, and SEM-EDX techniques. These nanoparticles were then used as catalysts in the copper-catalyzed azide–alkyne cycloaddition (CuAAC) to afford eugenol-based 1,2,3-triazoles in excellent yields. This dual use of clove extract exemplifies a sustainable approach that merges natural product valorization with efficient catalysis for triazole synthesis. Full article
Show Figures

Figure 1

Back to TopTop