Synthetic Studies Aimed at Heterocyclic Organic Compounds, 2nd Edition
A special issue of Molecules (ISSN 1420-3049). This special issue belongs to the section "Organic Chemistry".
Deadline for manuscript submissions: 31 March 2026 | Viewed by 6078
Special Issue Editor
Interests: organic synthesis; heterocycles; drug discovery
Special Issues, Collections and Topics in MDPI journals
Special Issue Information
Dear Colleagues,
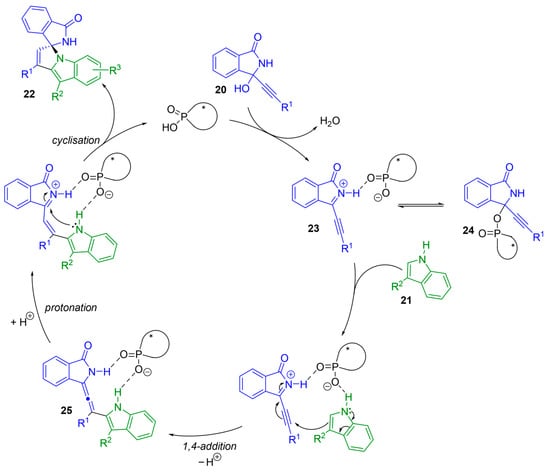
Organic heterocycles are a broad but very important category of molecules. They are widely found in compounds of medicinal and agricultural use. Many of them are considered privileged structures. They are also biologically important, found in groups such as nucleic acids and carbohydrates, as well as many other natural products. They are, thus, important targets of synthetic chemistry. This Special Issue will focus on the synthesis of heterocyclic compounds. Papers are welcomed that describe the synthesis of specific heterocycles, as well as papers that disclose methods or strategies that could be applied to heterocyclic synthesis. Papers may be articles, communications, or reviews.
Dr. Lee J. Silverberg
Guest Editor
Manuscript Submission Information
Manuscripts should be submitted online at www.mdpi.com by registering and logging in to this website. Once you are registered, click here to go to the submission form. Manuscripts can be submitted until the deadline. All submissions that pass pre-check are peer-reviewed. Accepted papers will be published continuously in the journal (as soon as accepted) and will be listed together on the special issue website. Research articles, review articles as well as short communications are invited. For planned papers, a title and short abstract (about 100 words) can be sent to the Editorial Office for announcement on this website.
Submitted manuscripts should not have been published previously, nor be under consideration for publication elsewhere (except conference proceedings papers). All manuscripts are thoroughly refereed through a single-blind peer-review process. A guide for authors and other relevant information for submission of manuscripts is available on the Instructions for Authors page. Molecules is an international peer-reviewed open access semimonthly journal published by MDPI.
Please visit the Instructions for Authors page before submitting a manuscript. The Article Processing Charge (APC) for publication in this open access journal is 2700 CHF (Swiss Francs). Submitted papers should be well formatted and use good English. Authors may use MDPI's English editing service prior to publication or during author revisions.
Keywords
- heterocycles
- synthesis
- methods
- medicinal
- agricultural
Benefits of Publishing in a Special Issue
- Ease of navigation: Grouping papers by topic helps scholars navigate broad scope journals more efficiently.
- Greater discoverability: Special Issues support the reach and impact of scientific research. Articles in Special Issues are more discoverable and cited more frequently.
- Expansion of research network: Special Issues facilitate connections among authors, fostering scientific collaborations.
- External promotion: Articles in Special Issues are often promoted through the journal's social media, increasing their visibility.
- Reprint: MDPI Books provides the opportunity to republish successful Special Issues in book format, both online and in print.
Further information on MDPI's Special Issue policies can be found here.
Related Special Issue
- Synthetic Studies Aimed at Heterocyclic Organic Compounds in Molecules (10 articles)
