Abstract
This review highlights enantioselective strategies for preparing (N,O)- (N,N)- and (N,S)-spiroketal skeleton, which are key structural units found in many natural products and pharmacologically active substances. The strategies are mainly based on metallo-, organo- or Lewis acid-catalyzed cycloaddition or annulation reactions.
1. Introduction
According to the International Union of Pure and Applied Chemistry (IUPAC), spirocyclic compounds are defined as “compounds having one atom (usually a quaternary carbon) as the only common member of two rings” [1]. These molecules have attracted considerable interest due to the unique properties imparted by the spirocyclic quaternary carbon stereocenter, which confers conformational rigidity to the structure [2,3,4,5,6,7,8]. Since nitrogen-containing heterocyclic scaffolds represent a crucial class of compounds, it is not surprising that a wide variety of aza-spiroheterocyclic molecules are found in biologically active compounds and natural products. Among them, (N,O)-spiroketal derivatives are no exception (Figure 1). Compared to racemic strategies for the construction of such spiroaminals [9], the enantioselective construction of (N,O)-spirocenters is challenging due to its instability and propensity for racemization, even in mildly acidic conditions. In this review, we would like to describe progress in the field of enantioselective synthesis of such derivatives, as well as less studied (N,N)- and (N,S)-spiroketals.
Figure 1.
Selected natural products with spiroaminal skeleton.
2. (N,O)-Spiroketals
(N,O)-Spiroketal scaffolds represent a distinct class of spiroheterocyclic frameworks found in both natural and synthetic bioactive molecules. Their uniquely rigid three-dimensional architecture, along with their capacity to influence the physicochemical and pharmacokinetic properties of drug candidates, has driven increasing interest among synthetic and medicinal chemists. This has motivated the development of enantioselective strategies, including metallo-, Lewis acid- and organocatalyzed activation, for constructing these challenging spiroheterocyclic moieties.
2.1. Metallocatalyzed [4 + 2] Cycloaddition Reaction
Alkynyl alcohols and amides 1 are versatile precursors that can undergo 5-exo-dig cyclization in the presence of a gold(I) catalyst to generate enol-ether or enamine-ether intermediates 2. These electron-rich alkene intermediates can be engaged in situ in an inverse electron-demand hetero-Diels–Alder reaction (IED hetero-DA reaction) with Lewis acid-activated α,β-unsaturated keto esters 4, leading to the formation of (O,O)- or (N,O)-spiroketals 5. A key challenge in this reaction is the control of the isomerization of the intermediate 2 to form the more thermodynamically stable species 3 (Scheme 1). This process can lead to the formation of fused (O,O)- or (N,O)-ketals 6 instead of the spirocyclic products 5 [10,11,12,13].
Scheme 1.
Racemic inverse electron-demand hetero-Diels–Alder.
In 2016, Liu and Feng demonstrated that introducing a bulkier chiral ligand to the Lewis acid favored the reactivity of the less sterically hindered enamine-ether 2 over 3 in the IED hetero-DA reaction. This shifted the isomerization equilibrium towards 2, thereby enhancing the formation of the desired spirocyclic products. Therefore, using an enantioselective relay catalytic system based on the combination of achiral π-acid gold(I) catalysis and chiral Lewis acid N,N’-dioxyde nickel(II) catalysis (Scheme 2), the authors obtained the desired spiroaminal 5 in good yields (34–91%), with high diastereoselectivity and excellent enantioselectivity (96–99%) [14]. It is worth noting that alkynyl amides were found to be more reactive than alkynyl alcohols, and that the spiroaminal products were obtained with higher yields and greater diastereo- and enantioselectivities. The lowest enantioselectivity (80%) was observed with phenyl-substituted alkynyl amide 1.
Scheme 2.
Enantioselective synthesis of spiroaminals via gold/nickel sequential catalysis.
It is worth noting that Kang reported a gold(I)/rhodium(III) bimetallic relay catalysis to furnish the spiroaminal using a similar strategy. Unlike spiroketals, which were obtained with excellent enantioselectivity, this approach was less effective for spiroaminal moieties [15].
2.2. Metallocatalyzed (4 + 2) Annulation Reaction
In the previous example (Scheme 2), an IED hetero-DA reaction involving vinyl enamides 2 and α,β-unsaturated keto esters 3 was used to form spiroaminal moieties 5. Another method of accessing these motifs involves a cascade reaction comprising an addition reaction followed by a spiroacetalization reaction (Scheme 3) [16,17,18,19]. This methodology involves a reaction between a nucleophile 2 (an exocyclic vinyl enol ether or an exocyclic vinyl enamine) and an amphiphilic compound 8 that has both an electrophilic and a nucleophilic site. These amphiphilic species 8, which are chiral π-allyl-Ir intermediates, can be obtained via iridium-mediated dehydration of 2-(1-hydroxyallyl)phenols or 2-(1-hydroxylallyl)anilines 7 in the presence of an acid promoter.
Scheme 3.
General route for iridium-catalyzed synthesis of (N,O)-spiroketals.
In 2022, Deng and Yang investigated the use of amphiphilic reagents alongside alkynyl amides to create (N,O)-spiroketals 5 (Scheme 4) [16]. In the presence of in situ-generated gold(I)-catalyzed vinyl enamides 2 from 1, the desired spiroaminal products 5 were obtained via an enantioselective addition/spiroacetalization process. Under optimized conditions, 5 were obtained with good yields (40–78%) and high diastereo- and enantioselectivities (5:1–20:1 dr, 94–99% ee). The lowest diastereoselectivity (5:1–10:1) was observed when the aromatic ring of 7 was substituted in position 3.
Scheme 4.
Enantioselective synthesis of spiroaminals via gold/iridium sequential catalysis.
From a mechanistic point of view (Scheme 5), the first step is the gold(I)-catalyzed 5-exo-dig intramolecular hydroamination, which produces the corresponding exocyclic enamide 2. Simultaneously, in the presence of Fe(OTf)2, the chiral Ir(I) complex would produce chiral π-allyl-Ir intermediates 8, which would react with the exocyclic enamine to give the allylation intermediate 9. Due to the shielded Si-face of 7, enamide 2 would approach 7 from the Re-face. Finally, the spirocyclization step would occur via a chair-like Zimmerman–Traxler transition state, giving the desired (N,O)-spiroketal 5.
Scheme 5.
Proposed mechanism for the enantioselective synthesis of spiroaminals via gold/iridium sequential catalysis.
Interestingly, when using 2-(1-hydroxylallyl)anilines 7 as pre-amphiphilic species and alkynyl alcohols 1 (Scheme 6), the authors observed a kinetic resolution of 7 leading to both spiroaminal moieties 5 (with average diastereoselectivities of 2:1–4:1 and excellent enantioselectivities of 95–99% ee) and the enantiomerically enriched (90–99% ee) residual alcohols 7.
Scheme 6.
Enantioselective synthesis of spiroaminals from 2-(1-hydroxylallyl) anilines.
The same group extended this methodology for use with electron-rich methyleneisochromenes 2 as exocyclic enol ethers (Scheme 7). These are formed in situ from ortho-alkynylacetophenones 10 via a 6-endo-dig cycloisomerization reaction followed by a proton transfer step [17]. In the presence of the iridium-π-allyl-amino-dipole intermediate 8, bisbenzannulated spiroaminals 5 are obtained in an extremely stereoselective manner (8:1–12:1 dr, >98% ee). Unlike the previous example, this challenging Ir/Ag/acid ternary catalysis does not lead to kinetic resolution of the starting 2-(1-hydroxylallyl)anilines 7. Moreover, mechanistic investigations and theoretical calculations revealed that the enantioselectivity (allylation step) was controlled by the chiral iridium catalyst, while the diastereoselectivity was attributed to thermodynamically promoted spiroamination, catalyzed by a Brønsted acid.
Scheme 7.
Enantioselective synthesis of spiroaminals from 2-(1-hydroxylallyl)anilines and methyleneisochromenes.
Despite the flexibility and modularity of the precedented reported methodologies, the use of a bi- or trimetallic catalytic system increases the complexity of the process. Indeed, all of the above examples use exocyclic enol ethers or exocyclic enamines 2 formed in situ via metal catalysis. However, in the following example, Yang and Zheng used isochromane ketals 11, which produce exocyclic enol ethers 2 in an acidic environment, eliminating the need for a metal-catalyzed cycloisomerization reaction (Scheme 8) [18]. In the presence of [Ir(cod)Cl]2, Carreira’s P-olefin ligand and CF3CO2H, the cascade reaction proceeded smoothly, providing the (N,O)-spiroketal products 5 with moderate diastereoselectivities (4:1–10:1 dr) and excellent enantioselectivities (>98% ee) in 40–89% yields.
Scheme 8.
Enantioselective synthesis of spiroaminals from 2-(1-hydroxylallyl)anilines and isochromane acetals.
In 2024, Liu and Li developed a similar strategy involving 3-methylene isoindolones 2 (Scheme 9) [19]. These compounds are interesting because they are easily accessible and stable enamide moieties. After determining the optimal conditions, the authors demonstrated that this strategy could efficiently produce the desired spiroaminal moieties 5, regardless of the nature of the substituents (electron-withdrawing, electron-donating or bulky groups) present on the isoindolinones 2 and/or pre-amphiphilic 2-(1-hydroxyallyl)phenols 7.
Scheme 9.
Enantioselective synthesis of spiroaminals from 2-(1-hydroxylallyl)phenols and 3-methylene isoindolones.
2.3. Metallocatalyzed (3 + 2) Annulation Reaction
Another proven strategy for accessing enantiomerically enriched (N,O)-spiroketal moieties is based on a process consisting of a cyclopropanation reaction followed by a rearrangement (CP-RA). Tang and Wang developed a copper-catalyzed enantioselective CP-RA reaction involving exocyclic enamides 2 and α-aryl-α-diazoketones 12, achieving high levels of selectivity (Scheme 10) [20]. Indeed, both α-diazoketones 12, bearing various carbonyl substituents (such as acetyl, propionyl and isopropyl groups), and five- or six-membered exocyclic enamides 2 have been shown to be suitable substrates. The corresponding products 5 were obtained in good yields (53–99%) and with high enantiomeric excesses (91–96% ee).
Scheme 10.
Copper-catalyzed enantioselective CP-RA reaction involving exocyclic enamides and α-aryl-α-diazoketones.
1,4-Benzoquinone derivatives are readily available starting materials that have been shown to undergo a conjugate addition reaction with nucleophiles. Following proton transfer and aromatization steps, the resulting phenolate anions formed in situ can engage in a cyclization reaction to produce oxygen-containing five-membered rings. In this context, the same group developed a copper-catalyzed series of annulation reactions using 1,4-benzoquinone derivatives (Scheme 11) [21,22,23]. More specifically, the authors studied the racemic reaction of five- or six-membered exocyclic enamides and sulfonylenamides 2 with 1,4-benzoquinone derivatives 13 in order to construct (N,O)-spiroketal moieties 5 via (3 + 2) annulation reactions. The authors validated their methodology by reporting an enantioselective example. Using a chiral bisoxazoline ligand, they obtained the desired product with a yield of 98% and an enantiomeric excess of 65% (98% after recrystallization) [23].
Scheme 11.
Copper-catalyzed enantioselective (3 + 2) annulation reactions involving exocyclic enamides and 1,4-benzoquinone derivatives.
2.4. Lewis Acid Catalysis
Yoda described the synthesis of new types of biologically active (N,O)-spirocyclic compounds. These were formed via a Lewis acid-catalyzed reaction cascade involving the nucleophilic addition of amide-functionalized allylboronates 15 to N-carbonylimides 14, followed by the opening reaction and the closing reaction of the intermediate hydroxylactam ring 16 [24,25,26]. In 2020, the authors attempted to convert the racemic version into an enantioselective one by adding a chiral ligand, but this proved unsuccessful (Scheme 12a) [27]. Therefore, they simplified the system and began working with γ-hydroxylactam derivatives with a methacrylamide side chain 16 (Scheme 12b). Using a new MgBr2-chiral aminophenol-based catalyst, Yoda reported an enantioselective ring-opening and -reclosing cascade smoothly enabling the synthesis of enantiomerically enriched (N,O)-spirocyclic compounds 5 (20–95% yield, 57–90% ee). It was observed that the enantiomeric excess was at its lowest (57% ee) when a bulky substituent, such as tert-butyl group, was attached to the nitrogen atom. This would directly impact the coordination of the substrate with the chiral catalyst.
Scheme 12.
(a) Lewis acid-catalyzed reaction cascade involving γ-hydroxylactam derivatives and allylboronates. (b) Ring opening–enantioselective reclosure of γ-hydroxylactam derivatives with a methacrylamide side chain.
2.5. Organocatalysis
ortho-Quinone methides (o-QMs) typically act as Michael acceptors and serve as versatile synthetic transient intermediates in catalytic asymmetric conjugate addition and (4 + 2) cycloaddition reactions. One way to obtain o-QMs is to treat ortho-hydroxybenzyl alcohols 17 with a Brønsted acid. From this observation, in 2022, Wang’s group used chiral phosphoric acids as bifunctional catalysts to (1) generate o-QMs from ortho-hydroxybenzyl alcohols 17 and (2) synthesize enantioenriched (N,O)-spiroaminal moieties 5 via a formal (4 + 2) cycloaddition reaction in the presence of 3-methylene isoindolinone 2 (Scheme 13) [28]. Indeed, in the optimal conditions, they obtained the desired spiro chroman-isoindolinones containing (N,O)-spiroketal moieties with moderate diastereoselectivity (1.6:1–3.6:1 dr) and with good enantioselectivities (48–93% ee). During the optimization steps, the authors found that adding the 3-methylene isoindolinone in two batches (60% then 40%) improved the yield of product 5 while maintaining the stereoselectivity. Additionally, the lowest diastereoselectivity (1.6:1 dr) was observed when R2 = 4-Br, and the lowest enantioselectivity (48% ee) when R3 = m-F-Ph. From a mechanistic point of view, the possibility of a concerted mechanism between 3-methylene isoindolinone and o-QMs could not be ruled out. However, the authors proposed a transition state assembly for the CPA-catalyzed asymmetric formal (4 + 2) cycloaddition, as they suggested that a stepwise Michael addition and subsequent nucleophilic oxygen addition seem more reasonable.
Scheme 13.
CPA-catalyzed enantioselective synthesis of spiroaminals from ortho-hydroxybenzyl alcohols and 3-methylene isoindolones.
In 2024, Ghorai’s group also exploited a non-covalent interaction to achieve enantioselective synthesis of (N,O)-spiroketal moieties (Scheme 14). Starting with a multifunctional substrate 18, containing a keto-tethered Michael acceptor unit and a protected amine group, they carried out the first stereodivergent synthesis of these spiroheterocycles by using chiral bifunctional organic catalysts [29]. This stereodivergent strategy is based on reversible intramolecular 1,2-addition of the N-protected amine to the carbonyl function, forming the chiral hemiaminal intermediate 19. This is then followed by an oxa-Michael addition via a dynamic kinetic asymmetric transformation (DyKAT). This cascade spirocyclization successfully produced all four highly enantioenriched stereoisomers of spiroisoindolines from the same starting material by modulating the chiral components of squaramide catalysts with a suitable combination of chiral amines. The authors have demonstrated the power and efficiency of this strategy with more than 60 examples. For greater clarity, Scheme 14 only describes examples leading to all stereoisomers. To prove that the second step of spirocyclization is a DyKAT, the authors synthesized a racemic hemiaminal. Treatment with the optimized catalysts provided all the respective stereoisomers with excellent stereocontrol.
Scheme 14.
Stereodivergent synthesis of (N,O)-spiroketals.
3. (N,N)-Spiroketals
Compared with (N,O)-spiroketal units, (N,N)-spiroketal backbones are less prevalent in natural products (see some examples in Figure 2) and have therefore attracted less interest. Nevertheless, several groups have developed enantioselective methods for these spiroaminal structures with the aim of incorporating them into indole and/or isoindoline frameworks. These frameworks represent indispensable structural motifs in numerous pharmaceutical agents that exhibit a wide range of biological activities.
Figure 2.
Selected natural products with (N,N)-spiroketal skeleton.
3.1. CPA-Catalyzed (3 + 2) Annulation Reaction
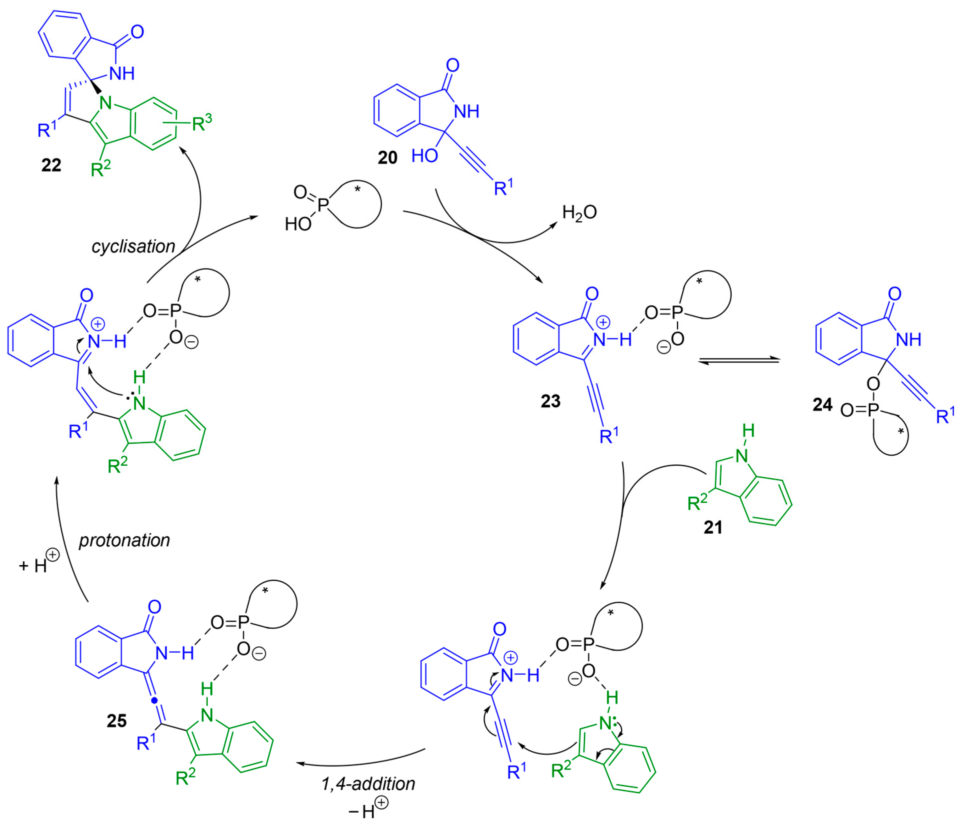
Propargylic alcohols are readily available and versatile synthons in organic synthesis. Their unique bifunctional character makes them valuable intermediates in a range of transformations, including substitutions, conjugate additions and annulations, for the efficient construction of diverse, functionalized molecular architectures [30,31]. Recent advances in stereoselective organocatalysis have enabled the enantioselective transformation of propargylic alcohols, particularly α-functionalized propargylic alcohols (α-FPAs) [32]. More precisely, chiral phosphoric acids (CPAs) and their analogs facilitate the in situ dehydration of α-FPAs to generate electron-deficient intermediates, which undergo highly enantioselective additions. Building on their previous work in CPA-catalyzed reactions of propargylic alcohols, Li and Sun became interested in exploring indolinones as α-auxiliary groups. They achieved an organocatalytic (3 + 2) annulation of 3-alkynyl-3-hydroxyisoindolinones 20 with 1H-indoles 21 affording spiro-isoindolinone-indoline moieties 22 (Scheme 15a) [33]. Strategically, the in situ-generated β,γ-alkynyl-α-ketimine intermediate 23 is comparable to 1,3 di-electrophiles and the 1H-indoles as 1,2 nucleophiles. Regardless of the nature of the substituent R1, R2 and R3, the (N,N)-spiroketal compounds were obtained in good yield (61–98%) and with high enantioselectivity (77–99%). The lowest enantioselectivity (77%) was observed with the cyclopropyl alkyne-derived substrate. In a subsequent study, Singh and coworkers described a related transformation (Scheme 15b). Using slightly modified conditions, they observed the same yields and the same enantioselectivities with similar alkyl groups [34].
Scheme 15.
(a) Sun and Li organocatalytic (3 + 2) annulation of 3-alkynyl-3-hydroxyisoindolinones with 1H-indoles [33]; (b) Singh organocatalytic (3 + 2) annulation of 3-alkynyl-3-hydroxyisoindolinones with 1H-indoles [34].
Based on control experiments and mechanistic studies, the authors proposed the following mechanism based on ion-pair and hydrogen-bonding catalysis (Scheme 16). The first step would be the formation of the acyliminium 23. In contrast to Singh’s finding, Sun and Li observed the formation of a covalent phosphate ester intermediate 24 by 1H NMR, which would act as a pre-catalyst. This would be followed by a 1,4-addition reaction furnishing tetra-substituted allene 25. Protonation of 25, followed by intramolecular cyclization, would lead to the desired product 22. Interestingly, when 3-unsubstituted 1H-indole is used, the 1,2-addition takes place instead of the 1,4-addition reaction.
Scheme 16.
Proposed mechanism.
The presence of multiple stereogenic elements within a molecule can have a significant impact on its chemical, biological and physical properties. These fascinating molecules are not only encountered in nature, but also designed for a variety of applications, including use as organocatalysts and ligands in enantioselective catalysis. Consequently, molecules bearing multiple stereogenic elements have attracted significant interest, as their distinct three-dimensional features can be exploited in many different areas [35].
In this context, Li, Dong and Li successfully developed an organocatalytic approach for the construction of both axial and central chirality thanks to a similar CPA-catalyzed (3 + 2) annulation between 3-alkynyl-3-hydroxyisoindolinones (α-FPAs) 20 and 1-(3-indolyl)naphthalen-2-ols 21 (Scheme 17a) [36]. This strategy allowed the smooth construction of enantioenriched (N,N)-spiroketal moieties 22, bearing both one stereogenic center and one chirality axis, with excellent diastereo- and enantioselectivities (77–93% yield, 11:1–20:1 dr and 80–97% ee). As previously stated, when R1 is a cyclopropyl group, the stereoselectivity is drastically affected, leading to the formation of a racemic product. At the same time, Zhang and Shi reported the same strategy with the same efficiency starting from 3,3-bisindoles 21 as 1,2-dinucleophiles (Scheme 17b) [37].
Scheme 17.
(a) Li, Dong and Li (3 + 2) annulation: synergistic construction of axial and central chirality [36]; (b) Zhang and shi (3 + 2) annulation: synergistic construction of axial and central chirality [37].
3.2. Photocatalytic Process
Chiral hydrogen-bond catalysis has been successfully applied to a wide range of stereoselective photocatalytic radical-based reactions. A critical problem for these processes is the formation of secondary anionic intermediates that interact preferentially with the protons of chiral catalysts, thus compromising the enantioselective control. The key innovation brought about by Jiang’s group lies in modulating the redox mechanism (single-electron transfer, SET) towards an energy transfer (EnT) process. This adjustment shifts the generation of anionic intermediates in chiral catalysis by hydrogen bonding to a stage after the formation of stereogenic centers. The result is an enhanced preferential interaction between acid catalysts and key radical species. The researchers have succeeded in carrying out the first stereoselective photochemical spirocyclization reaction for building spiro quaternary stereogenic centers through enantioselective radical addition (Scheme 18) [38]. Through use of a dual-catalysis system that combines a photosensitizer and a chiral Brønsted acid, a wide range of olefinic sulfonyl oximes 26 can be efficiently reacted with vinyl azides 27 to produce azaarene-functionalized (N,N)-spiroketals 28 in good yields (43–94%) and with excellent enantioselectivity (63–99%). The two hydrogen-bonding interactions between the chiral CPA and azarene 29 would be responsible for the enantiocontrol of the 5-endo-trig cyclization step. It is worth noting that the lowest enantioselectivity was observed when R2 was a cyclobutyl group. The incorporation of a sulfonyl protecting group on the oximes enables these transformations to be initiated via an EnT process rather than the SET approach used previously [39].
Scheme 18.
Enantioselective radical addition.
4. (N,S)-Spiroketals
Sulfur-containing heterocyclic frameworks are commonly found in biologically active molecules and are associated with a wide range of pharmacological properties. Among them, benzothiophene and its derivatives have emerged as particularly interesting structural frameworks. Therefore, significant synthetic efforts have been devoted to developing and diversifying the structure of benzothiophene-based compounds. In addition, introducing fluorine into bioactive molecules can result in significant changes to their chemical, physical and biological properties. The fluorine atom uniquely affects the properties of organic molecules due to its blocking effect in metabolic transformations and its ability to mimic enzyme substrates, increasing their lipophilicity and enhancing bioavailability. Consequently, organofluorine compounds have attracted considerable attention in the development of new drugs and agrochemicals.
In this context, several groups have employed trifluoro- or difluoroethyl benzothiophene ketimines 30 in enantioselective (3 + 2) annulation reactions to construct enantioenriched CF3- or CF2H-embedded spiro-benzothiophenone 33 (Scheme 19). Indeed, in the presence of a base, which, for the purposes of the following examples, is a tertiary amine carried by a bifunctional squaramide or thiourea catalyst, benzothiophene ketimines 30 are transformed into a 1,3-amphiphilic intermediate 32 and can therefore react with a α,β-unsaturated ketone 31 to form (N,S)-spiroketal units 33 with up to four stereogenic centers. This strategy can be associated with either a two-step mechanism or a concerted 1,3-dipolar (3 + 2) cycloaddition reaction.
Scheme 19.
Enantioselective (3 + 2) annulation reactions with trifluoro- or difluoroethyl benzothiophene ketimines.
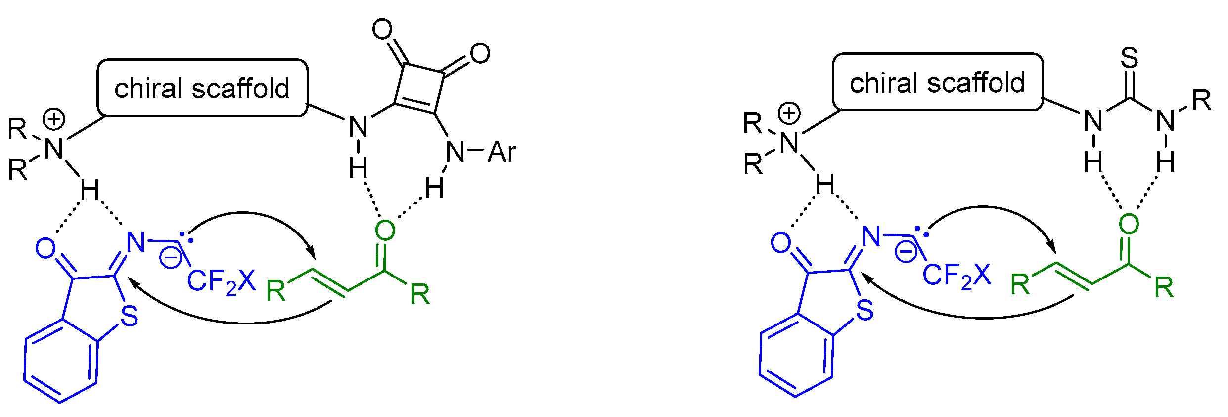
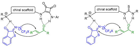
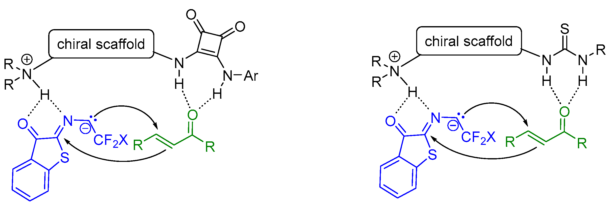
The stereoselectivity of this reaction can be explained by a dual-activation model of the catalyst, whereby both substrates are simultaneously activated via hydrogen bonds (Scheme 20). The carbanion formed by the catalyst deprotonating benzothiophene ketimines coordinates with the protonated cinchonidin nitrogen atom to form a five-membered ring. At the same time, the two squaramide or thioamide N–H bonds of the catalyst coordinate with the α,β-unsaturated ketone. The chiral catalyst brings the two substrates close together, inducing a highly stereoselective reaction that delivers the desired product.
Scheme 20.
Dual-activation model.
In 2022, the group of Yan described a squaramide-catalyzed enantioselective (3 + 2) cycloaddition reaction between the N-(2,2)-difluoroethyl benzothiophene ketimine 30 and the 2-oxoindolin-3-ylidene acetate 31 (Scheme 21) [40]. Under optimized conditions, they obtained the desired CF2H-containing bispiro(oxindole-pyrrolidine-benzothiophenone)s 33 with four adjacent stereogenic centers, including two adjacent spirocyclic tetra-substituted stereocenters. These bispiro-compounds were formed in a single diastereomer (>20:1), in high yields (70–96%) and typically with excellent enantioselectivities (64–98% ee), whatever the nature of the substituents borne by both substrates. The lowest enantioselectivity (64% ee) was observed when R2 = H. In this case, the 2-oxoindolin-3-ylidene acetate 31 is not very soluble and the reaction has to be performed at room temperature.
Scheme 21.
Squaramide-catalyzed enantioselective (3 + 2) cycloaddition reaction between the N-(2,2)-difluoroethyl benzothiophene ketimine and the 2-oxoindolin-3-ylidene acetate.
In 2023, in collaboration with Huang, Yan reported a similar squaramide-catalyzed enantioselective (3 + 2) cycloaddition strategy from trifluoroethyl benzothiophene ketimine 30 (Scheme 22) [41]. The CF3-containing bispiro(oxindole-pyrrolidine-benzothiophenone)s were obtained with the same efficiency. However, the nature and position of the substituents on both partners significantly affect the diastereoselectivity (2:1–>20:1 dr).
Scheme 22.
Squaramide-catalyzed enantioselective (3 + 2) cycloaddition reaction between the N-(2,2,2)-trifluoroethyl benzothiophene ketimine and the 2-oxoindolin-3-ylidene acetate.
As part of their ongoing interest in the synthesis of optically pure F-containing pyrrolidines, the same group reported in 2023 on the use of Meldrum’s acid-derived electron-deficient olefins as dipolarophiles in enantioselective (3 + 2) cycloaddition reactions (Scheme 23) [42]. In the presence of a cinchonidine-thiourea-based bifunctional catalyst, this approach produced highly enantioenriched (60–93% ee) α-CF2H pyrrolidines embedded in (N,S)-spiroketals with three adjacent stereogenic centers in good yields (50–92%) and excellent diastereoselectivity (10:1–20:1 dr). The lowest enantioselectivity (60%) was obtained when an electron-withdrawing group (R1 = Cl) was present on the 1,3-dipole. Additionally, the use of aliphatic chain-substituted Meldrum’s acid affected the diastereoselectivity (10:1 and 12:1 dr) and the yield (50% and 70%) of the reaction.
Scheme 23.
Thiourea-catalyzed enantioselective (3 + 2) cycloaddition reaction between the N-(2,2)-difluoroethyl benzothiophene ketimine and the Meldrum’s acid derivatives.
Enantiopure spiropyrazolones are well recognized for their diverse and valuable biological activities. Building on this, Li, Huang and Yan have recently applied their expertise in organocatalyzed (3 + 2) cycloaddition reactions of 1,3-dipoles derived from N-(2,2-difluoroethyl) benzothiophene ketimines 31 to synthesize optically active dispiro[benzo[b]thiophene-pyrrolidine-pyrazole] derivatives 33 bearing a (N,S) acetal moiety (Scheme 24) [43]. Indeed, the authors demonstrated that unsaturated pyrazolone derivatives 32 were effective partners in this enantioselective (3 + 2) cycloaddition reaction using a bifunctional thiourea catalyst. Cycloadducts, containing two adjacent spiral units, including one (N,S)-ketal moiety and four contiguous stereogenic centers, were obtained in good yields (66–95%) with general diastereoselectivities (82:18–95:5 dr) and with good-to-high enantioselectivities (70–95% ee).
Scheme 24.
Thiourea-catalyzed enantioselective (3 + 2) cycloaddition reaction between the N-(2,2)-difluoroethyl benzothiophene ketimine and pyrazolone derivatives.
Two other groups have also recently studied this organocatalyzed (3 + 2) cycloaddition reaction in order to produce spiroacetal (N,S) units from benzothiophene ketimines.
In 2023, Yuan’s group used β-trifluoromethyl enones 32 as a dipolarophile in an enantioselective (3 + 2) cycloaddition reaction involving trifluoroethyl benzothiophene ketimines 31 (Scheme 25) [44]. This strategy employed a chiral bifunctional squaramide–tertiary amine catalyst to prepare challenging and potentially bioactive vicinally bis(trifluoromethyl)-substituted (N,S)-spiroketals bearing four contiguous stereogenic centers with excellent stereocontrol (86–99% ee, >20:1 dr).
Scheme 25.
Squaramide-catalyzed enantioselective (3 + 2) cycloaddition reaction between the N-(2,2,2)-trifluoroethyl benzothiophene ketimine and β-trifluoromethyl enones.
Finally, Du demonstrated the efficiency with which 2-arylidene-1,3-diones [45,46] react with N-2,2-difluoroethyl benzothiophenone imines in this type of reaction (Scheme 26) [47]. Under mild conditions, the thiourea-catalyzed enantioselective (3 + 2) cycloaddition produced a range of dispiro[benzothiophenone-indandione-pyrrolidine] products with excellent yields (84–98%). It is worth noting that the stereoselectivity is influenced by the nature of the substituents on both substrates. Indeed, the dispiro-derivatives display enantioselectivities of 3–93% ee and diastereomeric ratios ranging from 9:1 to 20:1.
Scheme 26.
Thiourea-catalyzed enantioselective (3 + 2) cycloaddition reaction between the N-(2,2)-difluoroethyl benzothiophene ketimine and 2-arylidene-1,3-diones.
5. Conclusions
In this review, we describe progress in the field of enantioselective synthesis of (N,O)-, (N,N)- and (N,S)-spiroketals. The strategies are mainly based on metallo- and organocatalyzed (4 + 2) and (3 + 2) annulation reactions, Lewis acid-catalyzed cascade reactions and photocatalytic radical-based reactions.
Author Contributions
Conceptualization, L.C.; methodology, L.C.; writing—original draft preparation, L.C., M.S. and E.F.; writing—review and editing, L.C., M.S. and E.F. All authors have read and agreed to the published version of the manuscript.
Funding
This research was funded by French Research Ministry, Aix-Marseille University, CNRS and Erasmus+ (2022-1-FR01-KA171-HED-000072859).
Institutional Review Board Statement
Not applicable.
Informed Consent Statement
Not applicable.
Data Availability Statement
Not applicable.
Acknowledgments
L.C., E.F and M.S. thank the French Research Ministry, Aix-Marseille University, CNRS and Erasmus+ (2022-1-FR01-KA171-HED-000072859) for their financial support.
Conflicts of Interest
The authors declare no conflicts of interest.
Abbreviations
The following abbreviations are used in this manuscript:
| IED hetero-DA reaction | Inverse Electron-Demand Hetero-Diels–Alder Reaction |
| CP-RA | Cyclopropanation Reaction–Rearrangement |
| DyKAT | Dynamic Kinetic Asymmetric Transformation |
| CPA | Chiral Phosphoric Acid |
| ortho-Quinone Methides | o-QMs |
| α-Functionalized Propargylic Alcohols | α-FPAs |
| SET | Single-Electron Transfer |
| EnT | Energy Transfer |
| ee | Enantiomeric Excess |
| dr | Diastereomeric Excess |
| rt | Room Temperature |
| MS | Molecular Sieves |
| cat | Catalyst |
References
- “Spiro compounds” in IUPAC Compendium of Chemical Terminology, 5th ed.; International Union of Pure and Applied Chemistry: Research Triangle Park, NC, USA, 2025; Online Version 5.0.0. [CrossRef]
- Varela, M.T.; Dias, G.G.; de Oliveira, L.F.N.; de Oliveira, G.G.; Aguiar, F.D.; Nogueira, J.P.; Cruz, L.R.; Dias, L.C. Spirocyclic compounds as innovative tools in drug discovery for medicinal chemists. Eur. J. Med. Chem. 2025, 287, 117368. [Google Scholar] [CrossRef]
- Moshnenko, N.; Kazantsev, A.; Chupakhin, E.; Bakulina, O.; Dar’in, D. Synthetic Routes to Approved Drugs Containing a Spirocycle. Molecules 2023, 28, 4209. [Google Scholar] [CrossRef]
- Gilles, L.; Antoniotti, S. Spirocyclic Compounds in Fragrance Chemistry: Synthesis and Olfactory Properties. ChemPlusChem 2022, 87, e202200227. [Google Scholar] [CrossRef] [PubMed]
- Kotha, S.B.; Deb, A.C.; Lahiri, K.; Manivannan, E. Selected Synthetic Strategies to Spirocyclics. Synthesis 2009, 165–193. [Google Scholar] [CrossRef]
- Acosta-Quiroga, K.; Rojas-Pẽna, C.; Nerio, L.S.; Gutíerrez, M.; Polo-Cuadrado, E. Spirocyclic derivatives as antioxidants: A review. RSC Adv. 2021, 11, 21926–21954. [Google Scholar] [CrossRef] [PubMed]
- Basavaraja, D.; Siddalingeshwar, V.D.; Athira, C.S.; Aiswarya, S.; Sreelakshmi, V.; Ancy, A.; Sasidhar, B.S. Spiro-hetrocycles: Recent advances in biological application and synthetic strategies. Tetrahedron 2025, 173, 134468. [Google Scholar] [CrossRef]
- Kamlar, M.; Urban, M.; Veselý, J. Enantioselective Synthesis of Spiro Heterocyclic Compounds Using a Combination of Organocatalysis and Transition-Metal Catalysis. Chem. Rec. 2023, 23, e202200284. [Google Scholar] [CrossRef]
- Sinibaldi, M.-E.; Canet, I. Synthetic Approaches to Spiroaminals. Eur. J. Org. Chem. 2008, 4391–4399. [Google Scholar] [CrossRef]
- Wang, X.; Yao, Z.; Dong, S.; Wei, F.; Wang, H.; Xu, Z. Synthesis of Fused Bicyclic Aminals through Sequential Gold/Lewis Acid Catalysis. Org. Lett. 2013, 15, 2234–2237. [Google Scholar] [CrossRef]
- Wang, X.; Dong, S.; Yao, Z.; Feng, L.; Daka, P.; Wang, H.; Xu, Z. Synthesis of Spiroaminals and Spiroketals with Bimetallic Relay Catalysis. Org. Lett. 2014, 16, 22–25. [Google Scholar] [CrossRef]
- Zhang, S.; Xu, Z.; Jia, J.; Tung, C.-H.; Xu, Z. Synthesis of spiroaminals by bimetallic Au/Sc relay catalysis: TMS as a traceless controlling group. Chem. Commun. 2014, 50, 12084–12087. [Google Scholar] [CrossRef]
- Liang, M.; Zhang, S.; Jia, J.; Tung, C.-H.; Wang, J.; Xu, Z. Synthesis of Spiroketals by Synergistic Gold and Scandium Catalysis. Org. Lett. 2017, 19, 2526–2529. [Google Scholar] [CrossRef] [PubMed]
- Li, J.; Lin, L.; Hu, B.; Lian, X.; Wang, G.; Liu, X.; Feng, X. Bimetallic Gold(I)/Chiral N,N′-Dioxide Nickel(II) Asymmetric Relay Catalysis: Chemo- and Enantioselective Synthesis of Spiroketals and Spiroaminals. Angew. Chem. Int. Ed. 2016, 55, 6075–6078. [Google Scholar] [CrossRef] [PubMed]
- Gong, J.; Wan, Q.; Kang, Q. Gold(I)/Chiral Rh(III) Lewis Acid Relay Catalysis Enables Asymmetric Synthesis of Spiroketals and Spiroaminals. Adv. Synth. Catal. 2018, 360, 4031–4036. [Google Scholar] [CrossRef]
- Yang, W.-L.; Shang, X.-Y.; Luo, X.; Deng, W.-P. Enantioselective Synthesis of Spiroketals and Spiroaminals via Gold and Iridium Sequential Catalysis. Angew. Chem. Int. Ed. Engl. 2022, 61, e202203661. [Google Scholar] [CrossRef]
- Yang, W.-L.; Shang, X.-Y.; Ni, T.; Yan, H.; Luo, X.; Zheng, H.; Li, Z.; Deng, W.-P. Diastereo- and Enantioselective Synthesis of Bisbenzannulated Spiroketals and Spiroaminals by Ir/Ag/Acid Ternary Catalysis. Angew. Chem. Int. Ed. 2022, 61, e202210207. [Google Scholar] [CrossRef]
- Chen, Y.; Yan, H.; Zheng, H.; Deng, W.-P.; Li, Z.; Yang, W.-L. Ir/Brønsted acid dual-catalyzed asymmetric synthesis of bisbenzannulated spiroketals and spiroaminals from isochroman ketals. Org. Chem. Front. 2024, 11, 5831–5840. [Google Scholar] [CrossRef]
- Xie, X.-Q.; Li, X.; Liu, P.-N. Enantioselective synthesis of spiro-N,O-ketals via iridium and Brønsted acid co-catalyzed asymmetric formal [4 + 2] cycloaddition. Chem. Commun. 2024, 60, 1448–1451. [Google Scholar] [CrossRef]
- Zhou, L.; Yan, W.-G.; Sun, X.-L.; Wang, L.; Tang, Y. A Versatile Enantioselective Catalytic Cyclopropanation-Rearrangement Approach to the Divergent Construction of Chiral Spiroaminals and Fused Bicyclic Acetals. Angew. Chem. Int. Ed. Engl. 2020, 59, 18964–18969. [Google Scholar] [CrossRef]
- Liu, Q.-J.; Zhu, J.; Song, X.-Y.; Wang, L.; Wang, S.R.; Tang, Y. Highly Enantioselective [3 + 2] Annulation of Indoles with Quinones to Access Structurally Diverse Benzofuroindolines. Angew. Chem. Int. Ed. 2018, 57, 3810–3814. [Google Scholar] [CrossRef]
- Chen, Y.; Li, G.-X.; Peng, A.-Q.; Tang, Y.; Wang, L. Rapid Construction of Enantioenriched Benzofurochromanes by SaBOX/Copper(II) Catalyzed Enantioselective [3 + 2] Annulation of γ-Chromenes with Quinones. Org. Lett. 2022, 24, 5525–5529. [Google Scholar] [CrossRef]
- Cheng, W.-F.; Gao, S.-Z.; Yang, Y.-C.; Wang, L. Copper Catalyzed [3 + 2] Annulation Reaction of Exocyclic Sulfonyl Enamides for the Synthesis of N,O-Spiroketal and Spiroketal. Chem. Eur. J. 2024, 30, e202401062. [Google Scholar] [CrossRef] [PubMed]
- Sengoku, T.; Murata, Y.; Aso, Y.; Kawakami, A.; Inuzuka, T.; Sakamoto, M.; Takahashi, M.; Yoda, H. Indium-Catalyzed Amide Allylation of N-Carbonyl Imides: Formation of Azaspiro-γ-lactones via Ring Opening–Reclosure. Org. Lett. 2015, 17, 5846–5849. [Google Scholar] [CrossRef] [PubMed]
- Sengoku, T.; Kamiya, Y.; Kawakami, A.; Takahashi, M.; Yoda, H. Use of β-Amido Allylboronate as a Nucleophilic Reagent in Catalytic Amide Allylation of N-Carbonyl Imides. Eur. J. Org. Chem. 2017, 40, 6096–6098. [Google Scholar] [CrossRef]
- Sengoku, T.; Shirai, A.; Takano, A.; Inuzuka, T.; Sakamoto, M.; Takahashi, M.; Yoda, H. Divergent Synthesis of Methylene Lactone- and Methylene Lactam-Based Spiro Compounds: Utility of Amido-Functionalized γ-Hydroxylactam as a Precursor for Cytotoxic N,O- and N,N-Spiro Compounds. J. Org. Chem. 2019, 84, 12532–12541. [Google Scholar] [CrossRef]
- Sengoku, T.; Miyoshi, A.; Tsuda, T.; Inuzuka, T.; Sakamoto, M.; Takahashi, M.; Yoda, H. Development of new catalytic enantioselective formation of methylenelactam-based N,O-spirocyclic compounds via ring opening-asymmetric reclosure of hydroxylactams. Tetrahedron 2020, 76, 131252. [Google Scholar] [CrossRef]
- Wang, T.; Huang, B.; Wang, Y.-Q. Enantioselective Synthesis of Spiro Chroman-Isoindolinones via Formal (4 + 2) Cycloaddition of In Situ-Generated ortho-Quinone Methides with 3-Methylene Isoindolinones. Adv. Synth. Catal. 2022, 364, 2596–2605. [Google Scholar] [CrossRef]
- Gayen, P.; Sar, S.; Ghorai, P. Stereodivergent Synthesis of Spiroaminals via Chiral Bifunctional Hydrogen Bonding Organocatalysis. Angew. Chem. Int. Ed. 2024, 63, e202404106. [Google Scholar] [CrossRef]
- Doraghi, F.; Mahdavian, A.M.; Karimian, S.; Larijani, B.; Mahdavi, M. Recent Progress in Application of Propargylic Alcohols in Organic Syntheses. Adv. Synth. Catal. 2023, 365, 2991–3019. [Google Scholar] [CrossRef]
- Liang, M.; Ma, H.; Song, X.-R.; Xiao, Q. Recent Advances in Radical Transformations of Propargylic Alcohols. Adv. Synth. Catal. 2024, 366, 2659–2677. [Google Scholar] [CrossRef]
- Xia, Y.; Liu, M.; Li, W.; Li, P. Recent Advances in Organocatalytic Enantioselective Reactions of α-Functionalized Propargylic Alcohols. Asian J. Org. Chem. 2024, 13, e202400377. [Google Scholar] [CrossRef]
- Qian, C.; Liu, M.; Sun, J.; Li, P. Chiral phosphoric acid-catalyzed regio- and enantioselective reactions of functionalized propargylic alcohols. Org. Chem. Front. 2022, 9, 1234–1240. [Google Scholar] [CrossRef]
- Unhale, R.A.; Sadhu, M.M.; Singh, V.K. Chiral Brønsted Acid Catalyzed Enantioselective Synthesis of Spiro-Isoindolinone-Indolines via Formal [3 + 2] Cycloaddition. Org. Lett. 2022, 24, 3319–3324. [Google Scholar] [CrossRef] [PubMed]
- Gaucherand, A.; Yen-Pon, E.; Domain, A.; Bourhis, A.; Rodriguez, J.; Bonne, D. Enantioselective synthesis of molecules with multiple stereogenic elements. Chem. Soc. Rev. 2024, 53, 11165–11206. [Google Scholar] [CrossRef]
- Xia, Y.; Liu, M.; Qian, C.; Li, P.; Dong, M.; Li, W. Asymmetric organocatalytic (3 + 2) annulation of propargylic alcohols with indolylnaphthalenols: Synergistic construction of axial and central chirality. Org. Chem. Front. 2023, 10, 30–34. [Google Scholar] [CrossRef]
- Wang, H.-Q.; Wu, S.-F.; Yang, J.-R.; Zhang, Y.-C.; Shi, F. Design and Organocatalytic Asymmetric Synthesis of Indolyl-Pyrroloindoles Bearing Both Axial and Central Chirality. J. Org. Chem. 2023, 88, 7684–7702. [Google Scholar] [CrossRef]
- Liu, F.; Guo, Y.; Lu, W.; Zhao, X.; Yin, Y.; Jiang, Z. Precise construction of spiro stereocenters via enantioselective radical addition through modulating photocatalysis from redox to energy transfer. Chem. Sci. 2025, 16, 10555–10562. [Google Scholar] [CrossRef]
- Qi, Z.; Zhang, Z.; Yang, L.; Zhang, D.; Lu, J.; Wei, J.; Wei, S.; Fu, Q.; Du, X.; Yi, D. Nitrogen-Radical-Triggered Trifunctionalizing ipso-Spirocyclization of Unactivated Alkenes with Vinyl Azides: A Modular Access to Spiroaminal Frameworks. Adv. Synth. Catal. 2021, 363, 3762–3768. [Google Scholar] [CrossRef]
- Deng, Y.; Li, Y.; Wang, Y.; Sun, S.; Ma, S.; Jia, P.; Li, W.; Wang, K.; Yan, W. Efficient enantioselective synthesis of CF2H- containing dispiro[benzo[b]thiophene-oxindolepyrrolidine]s via organocatalytic cycloaddition. Org. Chem. Front. 2022, 9, 210–215. [Google Scholar] [CrossRef]
- Sun, S.; Chen, D.; Guo, H.; Liu, Y.; Liu, X.; Yan, W.; Huang, J. Acid-Controlled Regional Diverse Synthesis of CF3-Containing Ketoimines and Application in the Construction of Bispiro[oxindole-pyrrolidine-benzothiophenone]s. Eur. J. Org. Chem. 2023, 26, e202300586. [Google Scholar] [CrossRef]
- Sun, S.; Deng, Y.; Chen, D.; Guo, H.; Sun, M.; He, H.; Yan, W.; Huang, J. The Asymmetric Construction α-CF2H Pyrrolidine via 1,3-Dipolar Cycloaddition of N-2,2-Difluoroethylthioisatin Ketoimines with Meldrum’s Acid Derived Electron-Deficient Olefins. Asian J. Org. Chem. 2023, 12, e202300184. [Google Scholar] [CrossRef]
- Deng, Y.; Yang, C.; Shi, S.; Cao, Y.; Jia, P.; Li, Y.; Huang, J.; Yan, W. Efficient enantioselective synthesis of CF2H-containing dispiro [benzo[b] thiophene-pyrrolidine-pyrazole]s via organocatalytic cycloaddition. Tetrahedron 2023, 144, 133580. [Google Scholar] [CrossRef]
- Zhao, J.-Q.; Zhang, X.-M.; He, Y.-Y.; Peng, Q.-Q.; Rao, H.-W.; Zhang, Y.-P.; Wang, Z.-H.; You, Y.; Yuan, W.-C. Catalytic Asymmetric Synthesis of Vicinally Bis(trifluoromethyl)-Substituted Molecules via Normal [3 + 2] Cycloaddition of N-2,2,2-Trifluoroethyl Benzothiophene Ketimines and β-Trifluoromethyl Enones. Org. Lett. 2023, 25, 8027–8032. [Google Scholar] [CrossRef]
- Zhai, J.S.; Xie, D.H.; Du, D.M. Bifunctional Squaramide-Catalyzed Asymmetric [3 + 2] Annluation Reactions of 2-Isothiocyanato-1-indanones with 2-Arylidene-1,3-indanediones. ChemistrySelect 2022, 7, e202203142. [Google Scholar] [CrossRef]
- Li, F.; Li, Z.; Wang, Y.; Zhou, Z. Synthesis of Chiral Spiro[oxindole-3,2′-pyrrolidine] Derivatives Integrated with Spiro Indane-1,3-dione and Trifluoromethyl Group Pharmacophores via Organocatalyzed Asymmetric [3 + 2] Annulation. Synthesis 2023, 55, 1427–1440. [Google Scholar] [CrossRef]
- Liu, H.-Y.; Du, D.-M. Organocatalyzed Enantioselective [3 + 2] Cycloaddition Reactions for Synthesis of Dispiro[benzothiophenone-indandionepyrrolidine] Derivatives. Molecules 2024, 29, 4856–4871. [Google Scholar] [CrossRef]
Disclaimer/Publisher’s Note: The statements, opinions and data contained in all publications are solely those of the individual author(s) and contributor(s) and not of MDPI and/or the editor(s). MDPI and/or the editor(s) disclaim responsibility for any injury to people or property resulting from any ideas, methods, instructions or products referred to in the content. |
© 2025 by the authors. Licensee MDPI, Basel, Switzerland. This article is an open access article distributed under the terms and conditions of the Creative Commons Attribution (CC BY) license (https://creativecommons.org/licenses/by/4.0/).



























